
Pārtikas un veterinārā dienesta rīkojums Nr.239
2002. gada 30. maijā
Par veterināro (veselības) sertifikātu zirgu pagaidu izvešanai uz ES dalībvalstīm
Pamatojoties uz Veterinārmedicīnas likuma 20. panta 3. punktu un Eiropas Savienības Komisijas 1992. gada 10. aprīļa lēmumu 92/260 EEC, nosaku:
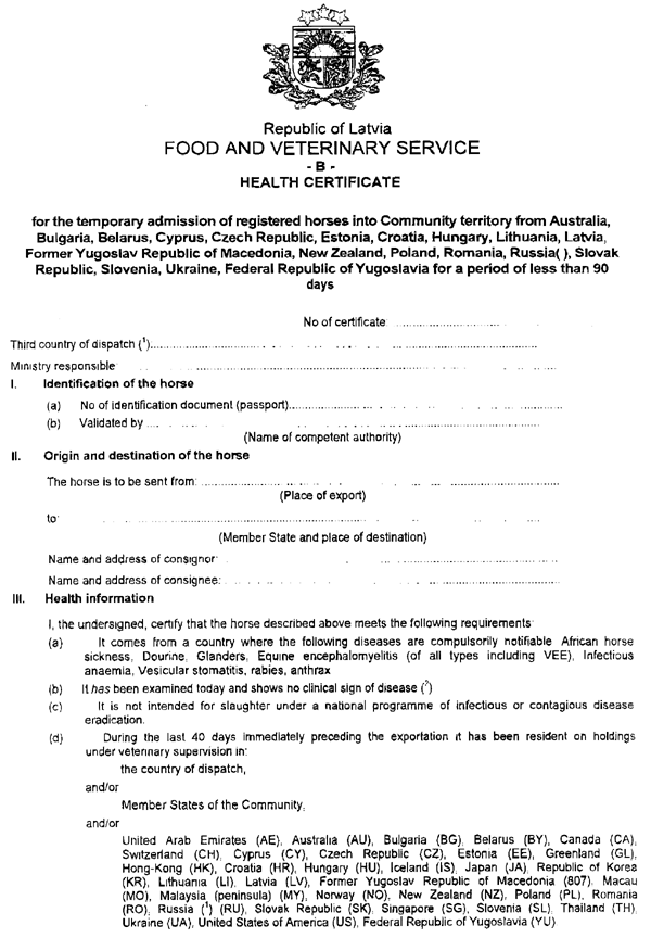
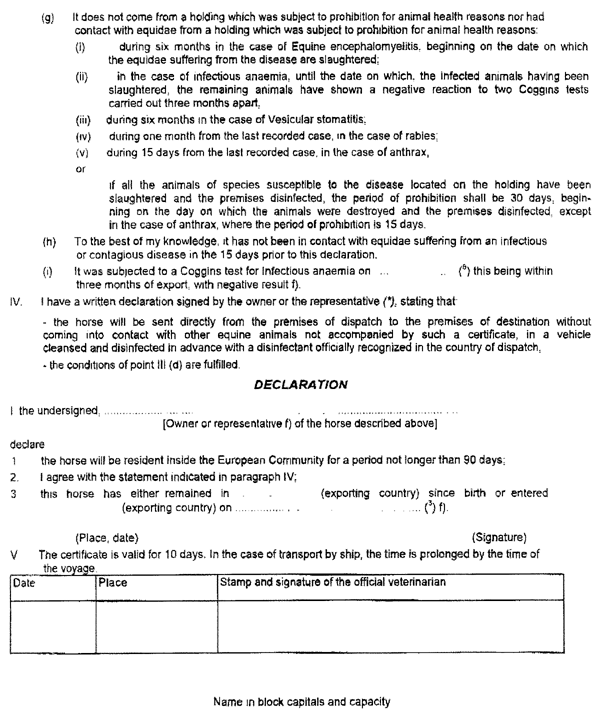
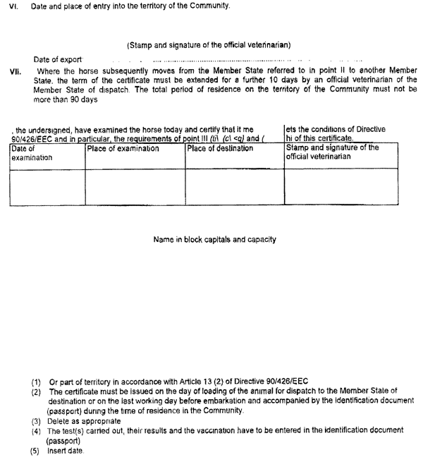
1. Zirgu izvešanai uz Eiropas Savienības dalībvalstīm uz laiku ne ilgāku par 90 dienām izsniegt rīkojuma 1. pielikumā vai 2. pielikumā noteiktā parauga veterināro sertifikātu.
2. Atcelt sertifikāta “Eksport 1” izsniegšanu zirgu pagaidu izvešanai uz ES dalībvalstīm.
3. Rīkojumu publicēt laikrakstā “Latvijas Vēstnesis”.
4. Rīkojums stājas spēkā ar parakstīšanas brīdi.
5. Kontroli pār rīkojuma izpildi uzdodu:
5.1. Dzīvnieku veselības uzraudzības daļas pienākumu izpildītājam E.Jēgeram;
5.2. Sanitārās robežinspekcijas priekšniecei I.Šicei–Trēdei.
Pārtikas un veterinārā dienesta direktora pienākumu izpildītājs I.Celms
1.pielikums
2.pielikums