
Pārtikas un veterinārā dienesta rīkojums Nr. 231
2002. gada 22. maijā
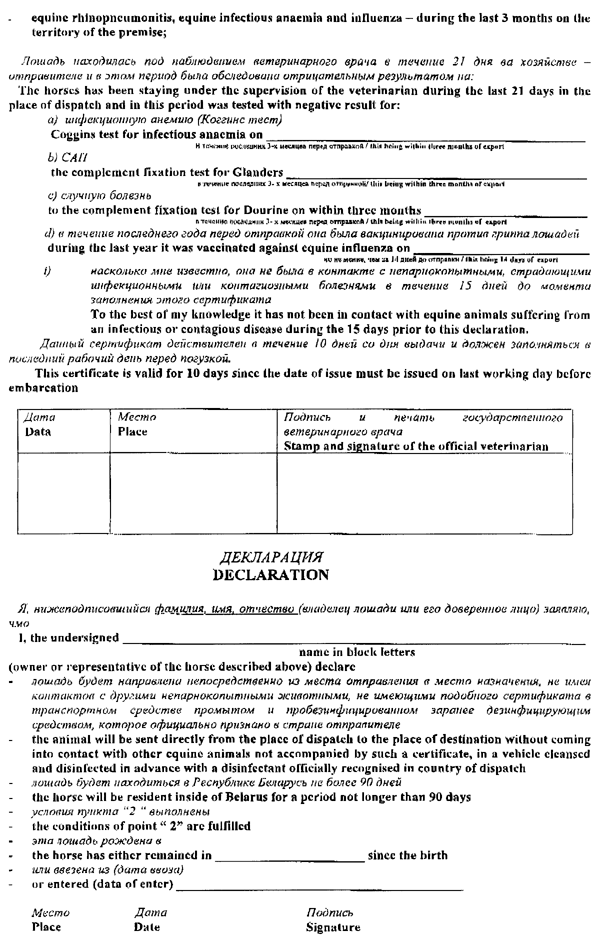
Par veterināro (veselības) sertifikātu zirgu pagaidu izvešanai uz Baltkrieviju
Pamatojoties uz Baltkrievijas veterinārā dienesta prasībām, nosaku:
1. Zirgu izvešanai uz Baltkrieviju uz laiku ne ilgāk par 90 dienām izsniegt rīkojuma pielikumā noteiktā parauga veterināro sertifikātu.
2. Atcelt sertifikāta “Eksport 1” izsniegšanu zirgu izvešanai uz Baltkrieviju.
3. Rīkojumu publicēt laikrakstā “Latvijas Vēstnesis”.
4. Rīkojums stājas spēkā ar parakstīšanas brīdi.
5. Kontroli pār rīkojuma izpildi uzdodu:
5.1. Dzīvnieku veselības un labturības departamenta direktoram I. Celmam.
5.2. Sanitārās robežinspekcijas priekšniecei I. Šicei–Trēdei.
Pārtikas un veterinārā dienesta direktors V. Veldre
Pielikums