
Pārtikas un veterinārā dienesta rīkojums Nr.202
2002. gada 14. maijā
Par veterināro sertifikātu sausās mājas un istabas dzīvnieku barības eksportam uz Eiropas Savienības dalībvalstīm
Pamatojoties uz Eiropas Savienības 1994. gada 27. aprīļa Komisijas lēmumu 94/309/EC, nosaku:
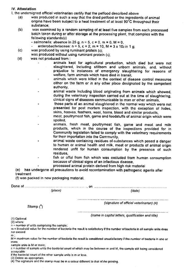
1. Sausās mājas un istabas dzīvnieku barības eksportam uz Eiropas Savienības dalībvalstīm izsniegt noteikta parauga veterināro sertifikātu vācu valodā (1. pielikums) vai angļu valodā (2. pielikums).
2. Atcelt sertifikāta “Eksport 2” izsniegšanu sausās mājas un istabas dzīvnieku barības eksportam uz Eiropas Savienības dalībvalstīm.
3. Rīkojumu publicēt laikrakstā “Latvijas Vēstnesis”.
4. Rīkojums stājas spēkā ar parakstīšanas brīdi.
5. Kontroli pār rīkojuma izpildi uzdodu:
5.1. Dzīvnieku veselības un labturības departamenta direktoram I.Celmam;
5.2. Sanitārās robežinspekcijas priekšniecei I.Šicei–Trēdei.
Pārtikas un veterinārā dienesta direktors V.Veldre
1.pielikums
2.pielikums