
Pārtikas un veterinārā dienesta rīkojums Nr.168
2002.gada 18.aprīlī
Par dzīvnieku veselības sertifikātu reģistrētu zirgu pagaidu izvešanai uz Vāciju
Pamatojoties uz Eiropas Savienības Komisijas 1992.gada 10.aprīļa lēmumu 92/260, nosaku:
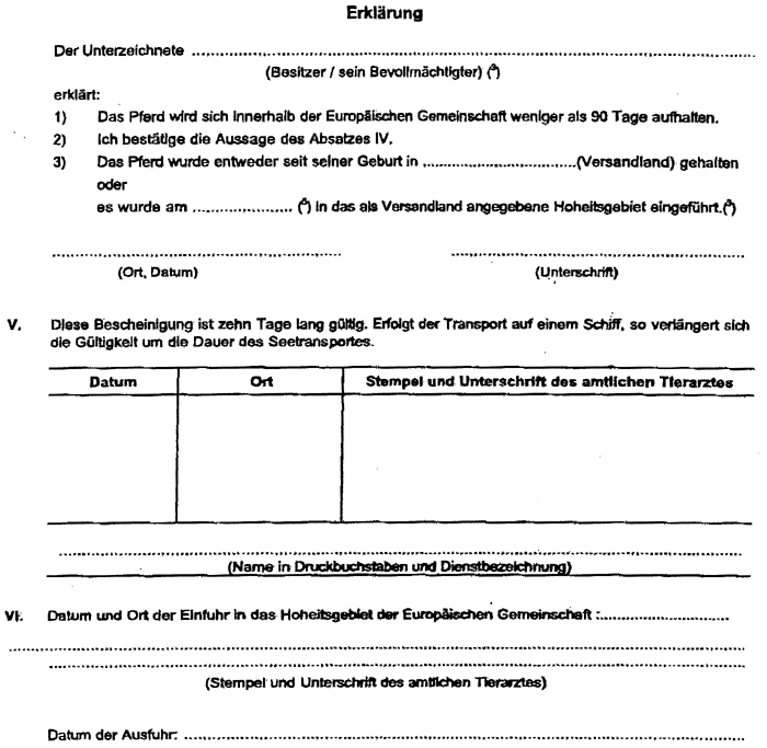
1. Reģistrētu zirgu pagaidu izvešanai uz Vāciju izsniegt rīkojuma pielikumā noteiktās formas sertifikātu.
2. Atcelt sertifikāta “Eksport 1” izsniegšanu reģistrētu zirgu pagaidu izvešanai uz Vāciju.
3. Rīkojumu publicēt laikrakstā “Latvijas Vēstnesis”.
4. Rīkojums stājas spēkā ar parakstīšanas brīdi.
5. Kontroli pār rīkojuma izpildi uzdodu Dzīvnieku veselības un labturības departamenta direktoram I.Celmam.
Pārtikas un veterinārā dienesta direktora
pienākumu izpildītājs E.Zavadskis
Pielikums