
Pārtikas un veterinārā dienesta rīkojums Nr. 165
2002. gada 17. aprīlī
Par tūlītēju kaušanai paredzētu liellopu ievešanu Latvijas Republikā
Pamatojoties uz “Veterinārmedicīnas likuma” 20. panta 3. punktu, nosaku:
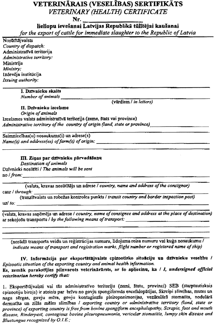
1. Latvijas Republikā tūlītējai kaušanai paredzētus liellopus atļauts ievest ar eksportētājvalsts pilnvarotās institūcijas izdotu noteikta parauga veterināro sertifikātu (pielikums).
2. Sanitārajai robežinspekcijai kontrolēt veterinārā sertifikāta liellopu ievešanai Latvijas Republikā tūlītējai kaušanai atbilstību sertifikātā noteiktajām prasībām (pielikums).
3. Rīkojumu publicēt laikrakstā “Latvijas Vēstnesis”.
4. Rīkojums stājas spēkā ar tā parakstīšanas brīdi.
5. Kontroli pār rīkojuma izpildi uzdodu Dzīvnieku veselības un labturības departamenta direktoram I. Celmam.
Pārtikas un veterinārā dienesta
direktora pienākumu izpildītājs E. Zavadskis
Pielikums