
Ministru kabineta rīkojums Nr.185
Rīgā 2002.gada 10.aprīlī (prot. Nr.15, 5.§)
Par Latvijas Republikas un Lietuvas Republikas valsts robežas redemarkācijas dokumentu apstiprināšanu
1. Apstiprināt Latvijas Republikas un Lietuvas Republikas valsts robežas karti un tai pievienoto valsts robežas aprakstu (turpmāk — redemarkācijas dokumenti).
2. Ārlietu ministrijai paziņot Lietuvas Republikai par redemarkācijas dokumentu apstiprināšanu.
Ministru prezidents A.Bērziņš
Ārlietu ministrs I.Bērziņš
Apstiprināts
ar Ministru kabineta
2002.gada 10.aprīļa
rīkojumu Nr.185
Valsts robežas starp
Latvijas Republiku un Lietuvas Republiku redemarkācija
2000
Valsts robežas apraksts
Valsts robežas Valsts robežas
starp Latvijas Republiku un Lietuvas Republiku starp Lietuvas Republiku un Latvijas Republiku
atjaunošanas Jauktās komisijas atjaunošanas Jauktās komisijas priekšsēdētājs I.Upmacis priekšsēdētājs Z.Kumetaitis
Locekļi: J.Virsis
Locekļi: Z.Derela U.Zakars A.Griška
Saturs
1. Ievads
2. Valsts robežas apraksts
3. Valsts robežas posmu garumu kopsavilkuma tabula
Pielikumi:
1. Valsts robežas līnijas sarežģīto posmu shēmas
2. Valsts robežas līnijas pagriezienu punktu izvietojuma ezeros un ūdenskrātuvēs shēmas
3. Latvijas Republikas un Lietuvas Republikas valsts robežas ūdensteču un ūdenstilpju salu piederības saraksts
4. Dzelzsbetona robežzīmes konstrukcijas rasējums
5. Koka robežzīmes konstrukcijas rasējums
6. Robežzīmes Nr.0582LV rasējums
7. Robežzīmes Nr.1029 rasējums
8. Robežzīmes “Ļudvinova” (“Liudvinavas”) rasējums
9. Valsts robežas robežzīmju koordinātu katalogs (atsevišķa grāmata)*
* Šī daļa tehnisku apsvērumu dēļ laikrakstā netiek publicēta; tā kopā ar pārējiem valsts robežas redemarkācijas dokumentiem — Latvijas Republikas Ārlietu ministrijas Arhīvā.
— “Latvijas Vēstneša” redakcija
Ievads
Valsts robežas atjaunošanas juridiskais pamats un principi
Valsts robeža (turpmāk — robeža) starp Latvijas Republiku un Lietuvas Republiku tika noteikta 1921.–1927.gados, pamatojoties uz 1921.gada 14.maijā starp Latviju un Lietuvu noslēgto Konvenciju.
Robežas apzīmēšanai apvidū izmantoja 488 koka stabus ar apakšzemes centriem un kupicām, kurus uzstādīja robežlīnijas un maģistrāļu pagriezienos.
Robežzīmju numerācija sākās no Baltijas jūras.
Robežzīmēm tika noteiktas ģeogrāfiskās koordinātas (j, L) un plaknes koordinātas Zoldnera sistēmā.
Robežas apraksts bija sastādīts uz 614 lappusēm latviešu un lietuviešu valodā, bet robežas karte izgatavota mērogā 1:10000 uz 111 lapām.
Robežas redemarkācija ir veikta, pamatojoties uz 1993.gada 29.jūnijā Biržu pilsētā noslēgto “Līgumu par valsts robežas atjaunošanu starp Latvijas Republiku un Lietuvas Republiku”, 1994.gada valsts robežas redelimitācijas dokumentiem, 1994.gada 17.maijā apstiprināto “Instrukciju par valsts robežas redemarkāciju starp Latvijas Republiku un Lietuvas Republiku”, valsts robežas starp Latvijas Republiku un Lietuvas Republiku atjaunošanas Jauktās komisijas lēmumiem un citām instrukcijām.
Robeža starp Latviju un Lietuvu ir atjaunota pēc stāvokļa uz 1940.gada 15.jūniju.
Robeža, kuru nenosaka 1921.gada 14.maijā starp Latviju un Lietuvu noslēgtā Konvencija un 1930.gada 30.jūnija abu valstu Deklarācija par valstu robežas galīgu noteikšanu, atjaunota pa administratīvo robežu pēc stāvokļa uz 1991.gada 17. septembri — dienu, kurā Latvijas Republika un Lietuvas Republika uzņemtas Apvienoto Nāciju Organizācijā.
Robeža atjaunota no sākumpunkta Baltijas jūras krastā līdz Latvijas Republikas, Lietuvas Republikas un Baltkrievijas Republikas valstu robežu saskares punktam “Ļudvinova” (“Liudvinavas”).
Atjaunošanas darbi tika veikti laika posmā no 1993.gada līdz 2000.gadam. Robežas redemarkāciju no Baltijas jūras līdz 24° meridiānam (apvidū — Bērsteles (Beržtalis) upe) izpildīja Lietuvas Republika, bet no 24° meridiāna līdz robežu saskares punktam “Ļudvinova” (“Liudvinavas”) — Latvijas Republika.
Robežzīmes un robežas līnija
Robeža ir nostiprināta apvidū ar 1806 robežzīmēm, tanī skaitā:
ar 538 divpusējām robežzīmēm ar abu valstu simboliku un uzstādītām uz robežas līnijas un
ar 1268 vienpusējām robežzīmēm ar vienas valsts simboliku un uzstādītām pēc kārtas abos robežas grāvju, strautu, upju, ezeru, ūdenskrātuvju krastos.
Robežzīme sastāv no četrkantīga 3,0 m gara dzelzsbetona staba ar šķērsgriezumu 18x22cm, kurš iebetonēts 1 m dziļi zemē ieraktā betona pamatu blokā. Staba virszemes daļas garums 2,0 m. Stabs ir nokrāsots baltā krāsā, tam piestiprinātas emaljētas plāksnītes ar valstu ģerboņu attēliem un staba numuru, uzkrāsotas valstu karogu krāsu joslas. Robežzīmju konstrukcija un noformējums parādīts 4.pielikumā.
15 gadījumos, kur dzelzsbetona stabu piegāde un uzstādīšana apgrūtināta, uzstādīti tāda paša izmēra un ārējā noformējuma koka stabi (Nr.0463LV, 1179LT, 1181LT, 1249, 1255, 1263, 1264, 1280, 1505LT, 1505LV, 1525LT, 1526LV, 1540LT, 1541LV, 1566) un nostiprināti gruntī ar koka šķēršu palīdzību (5.pielikums).
Par robežzīmi Nr.0582 LV izmantots 1927.gadā uzstādītais Latvijas —Lietuvas valsts robežas dzelzsbetona stabs (6.pielikums).
Ņemot vērā naftas vada ekspluatācijas drošību, robežzīme Nr.1029 izveidota kā speciāla konstrukcija no 3 stabiem: viena centra stabiņa, kurš uzstādīts uz robežas līnijas, un diviem vienpusējiem robežstabiem, izvietotiem vienam pret otru abās pusēs valsts robežai, 5m attālumā no tās (7.pielikums).
Latvijas Republikas, Lietuvas Republikas un Baltkrievijas Republikas valstu robežu saskares punkts “Ļudvinova” (“Liudvinavas”) ir apzīmēts apvidū ar speciālu robežzīmi, kuras konstrukciju un formu saskaņojušas šīs valstis.
Robežzīmēm air piešķirti numuri no Nr.0001 Baltijas jūras krastā līdz Nr.1570 pie triju valstu robežu saskares punkta “Ļudvinova” (“Liudvinavas”). Ar vienādiem numuriem ir apzīmētas tās vienpusējās robežzīmes, kuras uzstādītas viena pret otru robežas grāvju, strautu, upju, ezeru, ūdenskrātuvju krastos. Atsevišķos gadījumos robežzīmju numuriem pievienoti burtu indeksi “A”, “B”, “C”.
Robežzīmes koordinētas, izmantojot GPS metodes un citus ģeodēziskās uzmērīšanas paņēmienus. Maksimāla koordinātu noteikšanas kļūda attiecībā pret GPS tīklu — 0,30 m.
Vietās, kur robeža iet pa krūmāju vai mežu, ir izcirsta 10 m plata stiga (5 m uz katru pusi no robežas līnijas). Robežas josla attīrīta gar robežgrāvjiem, daļēji gar mazajām upēm Lietuvas Republikas teritorijā, bet gar lielo robežupju krastiem stigas nav cirstas.
Pa sauszemes robežas posmiem ir izrakti jauni vai atjaunoti vecie robežgrāvji.
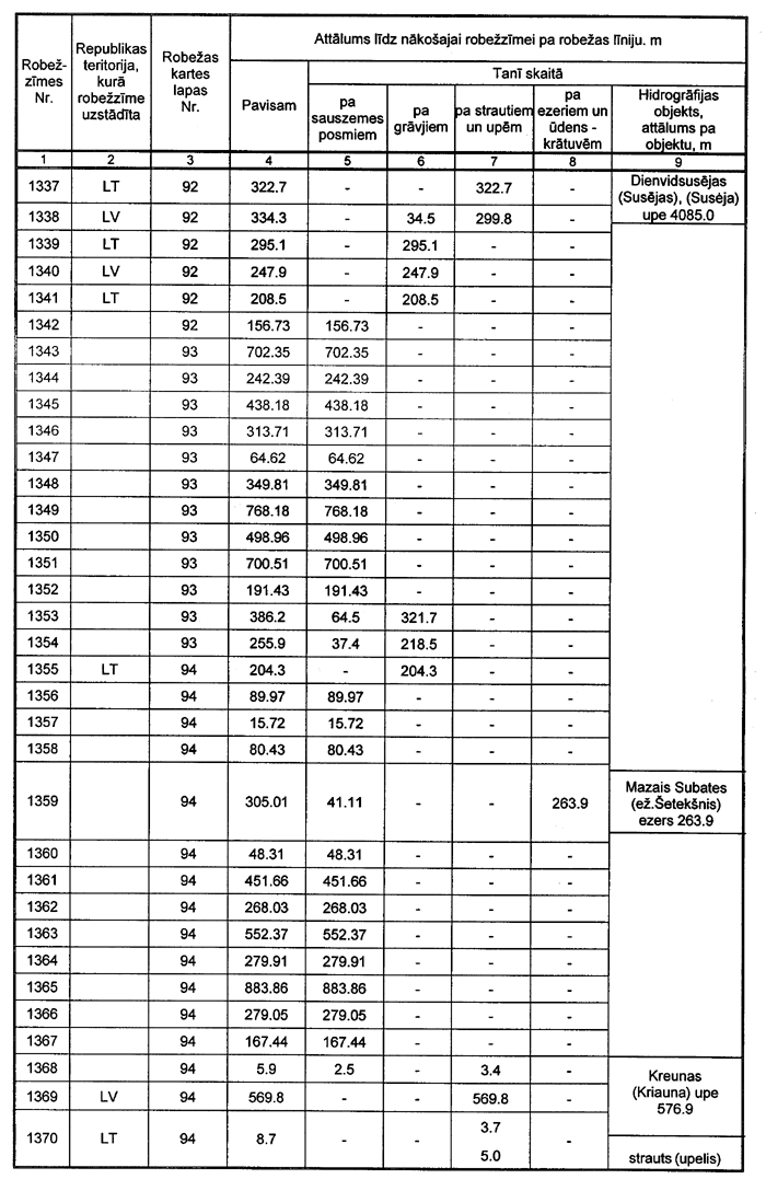
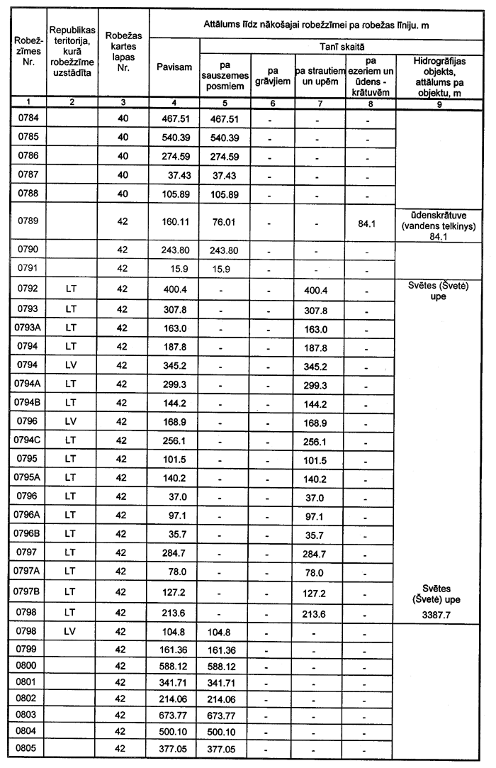
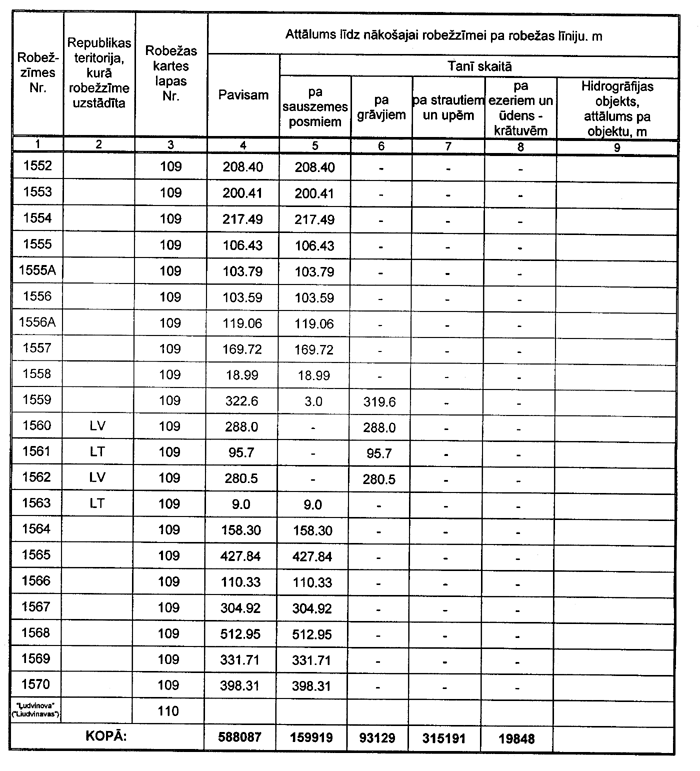
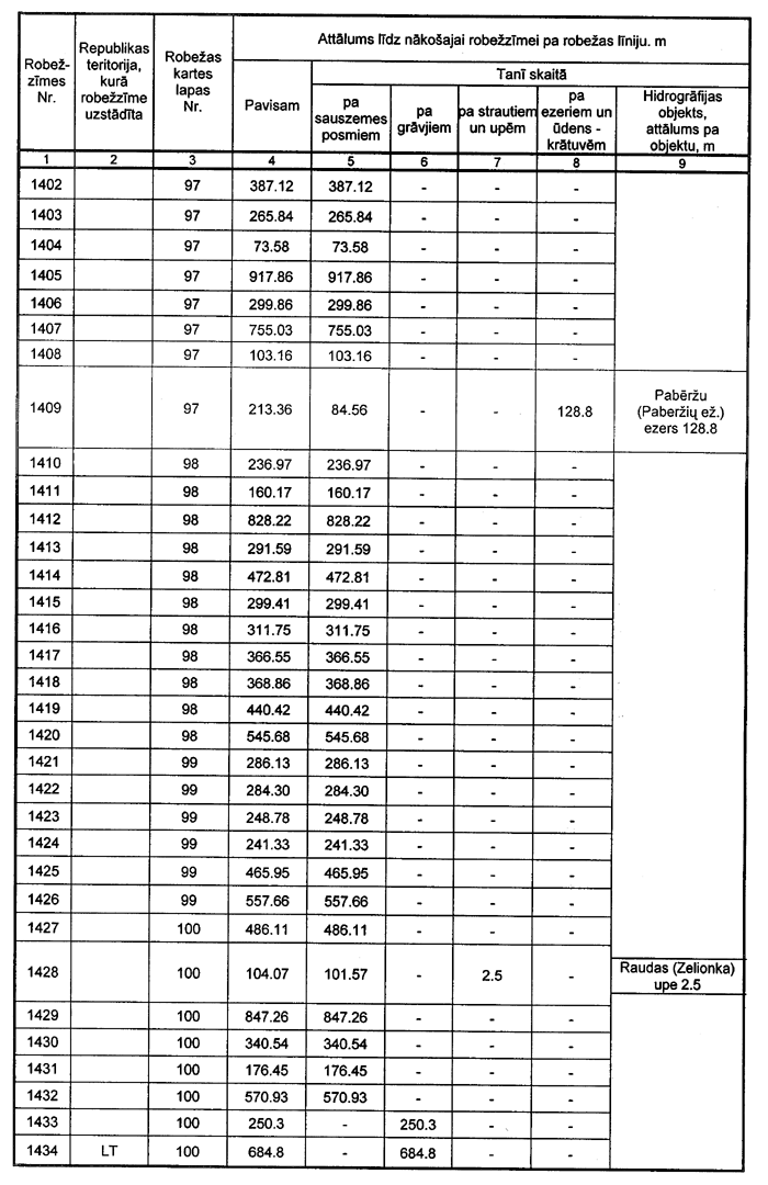
Robežas kopējais garums sastāda 588,1 km, tai skaitā:
pa sauszemes līnijām 159,9 km,
pa ūdenstecēm un ūdenstilpēm 428,2 km.
Sīkāki dati doti valsts robežas posmu garumu kopsavilkuma tabulā.
Robežas karte
Latvijas Republikas un Lietuvas Republikas valsts robežas karti mērogā 1:10000 uz ortofotoplānu pamata pēc 1995.–1997. gada aerofotografēšanas materiāliem sastādījuši Latvijas Republikas Valsts zemes dienesta Kartogrāfijas pārvalde un Lietuvas Republikas SAS “Aeroģeodēzijas institūts”. Kā palīgmateriāls izmantota valsts robežas starp Latvijas Republiku un Lietuvas Republiku 1992. gadā izdotā redemilitācijas karte mērogā 1:10000.
Karte sastādīta Merkatora šķērseniskajā projekcijā, kura aprēķināta pēc elipsoīda GRS — 80 parametriem. Ass meridiānam ir 24° garums. Taisnleņķa koordinātu sākumpunkts savietots ar ass meridiānu (24°) un ekvatora krustpunktu, kuram pieņemta vērtība X=0 km, Y=500 km.
Kartes lapu rāmji savietoti ar taisnleņķa koordinātu tīkla līnijām. Katra kartes lapa ietver teritoriju 5x5 km, tās iekšējā rāmja izmēri ir 50x50 cm.
Kartes lapu sadalījums nodrošina valsts robežas līnijas un robežai piegulošā apvidus optimālu attēlošanu.
Visās kartes lapās attēloti taisnleņķa koordinātu tīkli ar piesaistītām skaitliskām vērtībām divās koordinātu sistēmās: 1992. gada un Latvijas koordinātu sistēmā (LKS — 92) — sarkanā krāsā un 1994. gada Lietuvas koordinātu sistēmā (LKS — 94) — zaļā krāsā. Katras sistēmas tīklu līnijas novilktas ik pēc 10 cm (1 km apvidū). Uz kartes lapu rāmjiem parādītas meridiānu un paralēļu līniju izejas ik pēc 1'. Garums noteikts, skaitot no Grinvičas.
Kartē attēlotas robežzīmes, robežas līnija un galvenie apvidus elementi robežai piegulošā 1 km platā joslā uz abām pusēm no robežas līnijas. Robežzīmes kartē attēlotas pēc koordinātām.
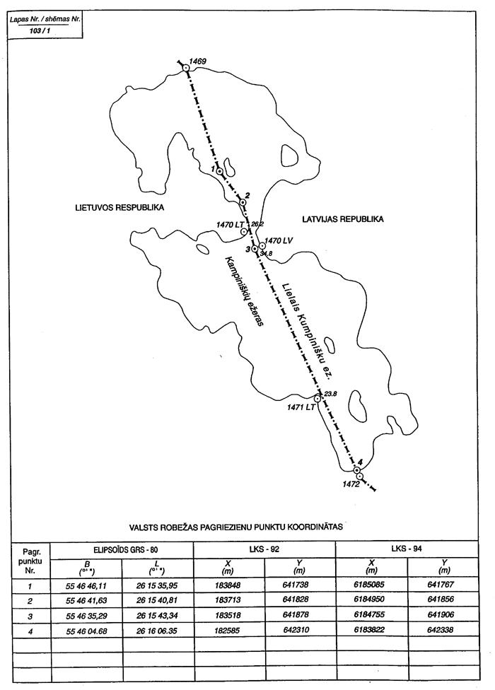
Valsts robežas līnija pa upēm parādīta pa upes vidu, ievērojot salu teritoriālo piederību. Valsts robežas līnija pa ezeru un ūdenskrātuvju akvatorijām parādīta saskaņā ar valsts robežas starp Latvijas Republiku un Lietuvas Republiku atjaunošanas Jauktās komisijas apstiprinātām valsts robežas līnijas un tās pagriezienu punktu izvietojuma ezeros un ūdenskrātuvēs shēmām.
Robežas kartes komplekts sastāv no 110 atsevišķām lapām. Lapu numerācija sākas no Baltijas jūras (1. lapa) un beidzas pie Latvijas Republikas, Lietuvas Republikas un Baltkrievijas Republikas valstu robežu saskares punkta “Ļudvinova” (“Liudvinavas”) (110. lapa).
Robežas karte izdota 4 identiskos eksemplāros, pa 2 alternātu eksemplāriem latviešu un lietuviešu valodā, kurus parakstījuši visi Jauktās komisijas locekļi.
Robežas apraksts
Robežas apraksts sastādīts, pamatojoties uz:
“Latvijas Republikas un Lietuvas Republikas redelimitētās valsts robežas aprakstu”, 1994. gads;
valsts robežas karti;
valsts robežas robežzīmju koordinātu katalogu;
valsts robežas robežzīmju abrisiem.
Robežas aprakstā lietoti šādi saīsinājumi: GPS — globālās pozicionēšanas sistēma; Rz — robežzīme; LV — Latvijas Republika; LT — Lietuvas Republika; robeža — valsts robeža.
Pieraksts “LV” vai “LT” aprakstā pie robežzīmes numura norāda valsti, kuras teritorijā zīme uzstādīta, bet pieraksts “LV, LT”, ka ar vienu numuru apzīmētas divas robežzīmes — viena Latvijas teritorijā, otra Lietuvas teritorijā.
Robežas līnijas atsevišķu posmu garumi aprakstā (4. aile) doti bez projekcijas sagrozījumiem:
sauszemes posmiem ar noteiktību — 0,01 m,
posmiem pa ūdenstecēm un ūdenstilpēm ar noteiktību — 0,1 m.
Robežzīmju ģeodēziskās koordinātas (B, L) dotas atbilstīgi zemes elipsoīda GRS — 80 parametriem.
Valsts robežas līnijas posmiem ar sarežģītu konfigurāciju un pa ūdenstilpēm ir sastādītas shēmas (1. un 2. pielikums). Ūdensteču un ūdenstilpju pa valsts robežu salu piederība parādīta sarakstā (3. pielikums).
Robežu apraksts izdots 2 eksemplāros latviešu valodā un 2 eksemplāros lietuviešu valodā, abi teksti ir autentiski.