
Pārtikas un veterinārā dienesta rīkojums Nr.143
2002.gada 9.aprīlī
Par veterināro sertifikātu zirgu izvešanai uz Igaunijas Republiku
Pamatojoties uz Igaunijas Republikas veterinārā un pārtikas dienesta prasībām, nosaku:
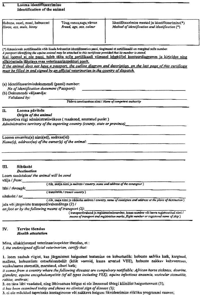
1. Reģistrētu zirgu izvešanai uz Igaunijas Republiku izsniegt rīkojuma 1.pielikumā noteiktā parauga veterināro sertifikātu.
2. Reģistrētu zirgu izvešanai uz Igaunijas Republiku uz sacensībām, izstādēm, kultūras pasākumiem uz laiku ne ilgāk par 30 dienām izsniegt rīkojuma 2.pielikumā noteiktā parauga sertifikātu.
3. Zirgu apzīmēšanai, kuriem nav identifikācijas dokumenta (zirga pase), izsniegt rīkojuma 3.pielikumā noteiktā parauga identifikācijas dokumentu.
4. Atcelt sertifikāta “Eksport 1” izsniegšanu zirgu izvešanai uz Igaunijas Republiku.
5. Atcelt Pārtikas un veterinārā dienesta 2002.gada 12.februāra rīkojumu Nr.58.
6. Rīkojumu publicēt laikrakstā “Latvijas Vēstnesis”.
7. Rīkojums stājas spēkā ar parakstīšanas brīdi.
8. Kontroli pār rīkojuma izpildi uzdodu Dzīvnieku veselības un labturības departamenta direktoram I.Celmam.
Pārtikas un veterinārā dienesta direktors V.Veldre
1.pielikums
2.pielikums
3.pielikums