
Pārtikas un veterinārā dienesta rīkojums Nr.135
2002. gada 5. aprīlī
Par veselības sertifikātu gaļas produktu eksportam uz Igaunijas Republiku
Pamatojoties uz Igaunijas Republikas veterinārā dienesta noteiktajām prasībām, nosaku:
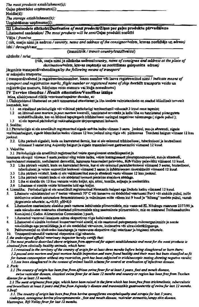
1. Gaļas produktu eksportam uz Igaunijas Republiku izsniegt pielikumā noteiktās formas veselības sertifikātu.
2. Ar rīkojuma stāšanos spēkā atcelt 2001. gada 26. septembra Pārtikas un veterinārā dienesta rīkojumu Nr.247.
3. Atcelt sertifikāta “Eksport 2” izsniegšanu gaļas produktu eksportam uz Igaunijas Republiku.
4. Rīkojumu publicēt laikrakstā “Latvijas Vēstnesis”.
5. Kontroli pār rīkojuma izpildi uzdodu Pārtikas uzraudzības departamenta direktoram E.Zavadskim.
Pārtikas un veterinārā dienesta direktora pienākumu izpildītājs I.Celms
Pielikums