
Ministru kabineta noteikumi Nr.76
Rīgā 2002.gada 19.februārī (prot. Nr.8, 12.§)
Noteikumi par atkritumu ievešanu pārstrādei valsts teritorijā un atkritumu eksporta un tranzīta kārtība
Izdoti saskaņā ar Atkritumu
apsaimniekošanas likuma
23.panta ceturto un piekto daļu
I. Vispārīgie jautājumi
1. Noteikumi nosaka bīstamos atkritumus un sadzīves atkritumus, kuru ievešanai pārstrādei valsts teritorijā nepieciešama atļauja, minētās atļaujas izsniegšanas, anulēšanas un derīguma termiņa pagarināšanas kārtību, kā arī atkritumu eksporta un tranzīta kārtību.
2. Atļauja atkritumu ievešanai pārstrādei valsts teritorijā ir nepieciešama, ievedot:
2.1. šo noteikumu 1. un 2.pielikumā noteiktos atkritumus;
2.2. šo noteikumu 3.pielikumā noteiktos atkritumus, ja tajos ir bīstamas ķīmiskas vielas vai bīstami ķīmiski produkti tādā daudzumā, ka bīstamības ziņā atkritumi ir pielīdzināmi šo noteikumu 1. vai 2.pielikumā minētajiem atkritumiem, vai ja minētie atkritumi, ņemot vērā to apjomu vai īpašības, var radīt kaitējumu cilvēka veselībai, videi vai personas mantai;
2.3. šādu grupu bīstamos atkritumus un sadzīves atkritumus atbilstoši šo noteikumu 3.pielikumam:
2.3.1. citi metālus saturoši atkritumi (GC grupa);
2.3.2. stikla atkritumi cietā veidā (GE grupa);
2.3.3. citi atkritumi, kas sastāv no neorganiskām sastāvdaļām, kurās var būt metāli un organiski materiāli (GG grupa);
2.3.4. cieti plastmasas atkritumi (GH grupa);
2.3.5. gumijas atkritumi (GK grupa);
2.3.6. lauksaimniecības un pārtikas rūpniecības atkritumi (GM grupa);
2.3.7. atkritumi, kuri rodas ādu miecēšanā un kodināšanā, un izlietoti ādas izstrādājumi (GN grupa);
2.3.8. citi atkritumi, kas sastāv galvenokārt no organiskām sastāvdaļām, kurās var būt metāli un neorganiski materiāli (GO grupa).
3. Atļauja atkritumu eksportam vai tranzītam nepieciešama, izvedot vai pārvadājot tranzītā šādus atkritumus:
3.1. šo noteikumu 1. un 2.pielikumā noteiktos atkritumus;
3.2. šo noteikumu 3.pielikumā noteiktos atkritumus, ja tajos ir bīstamas ķīmiskas vielas vai bīstami ķīmiski produkti tādā daudzumā, ka atkritumi bīstamības ziņā pielīdzināmi šo noteikumu 1. vai 2.pielikumā minētajiem atkritumiem, vai ja minētie atkritumi, ņemot vērā to apjomu vai īpašības, var radīt kaitējumu cilvēka veselībai, videi vai personas mantai.
4. Noteikumi neattiecas uz:
4.1. krastā izkrautiem atkritumiem, kuri radušies pēc kuģu un peldošo platformu darbībām;
4.2. atkritumiem, kuri radušies civilās aviācijas pārvadājumos.
5. Noteikumu 1.pielikumā noteikti atkritumi, kas ir īpaši bīstami cilvēka veselībai un videi (turpmāk — atkritumu sarkanais saraksts).
6. Noteikumu 2.pielikumā noteikti atkritumi, kas ir vai var būt bīstami cilvēka veselībai un videi (turpmāk — atkritumu dzeltenais saraksts).
7. Noteikumu 3.pielikumā noteikti atkritumi, kas nav bīstami cilvēka veselībai un videi (turpmāk — atkritumu zaļais saraksts).
8. Persona, kas vēlas saņemt atļauju atkritumu pārvadājumam (turpmāk — pieteicējs), noslēdz līgumu ar personu, kurai atkritumi tiek nosūtīti (turpmāk — saņēmējs). Līgumā norāda:
8.1. līguma termiņu;
8.2. pārstrādājamo vai apglabājamo atkritumu veidu un daudzumu;
8.3. kārtību, kādā nododamas atkritumu īpašumtiesības un atbildība par atkritumiem;
8.4. pušu atbildību par atkritumu pārbaudi, paraugu ņemšanu un analīzi;
8.5. rīcību un atbildību, ja paraugi neatbilst līgumā noteiktajām prasībām vai pārvadājums netiek pieņemts.
9. Atkritumu ievešana pārstrādei notiek Ministru kabineta 1998.gada 30.jūnija noteikumos Nr.237 “Kārtība, kādā izpildāma muitas procedūra — ievešana pārstrādei” noteiktajā kārtībā.
II. Atļaujas atkritumu ievešanai pārstrādei izsniegšana, derīguma termiņa pagarināšana un anulēšana
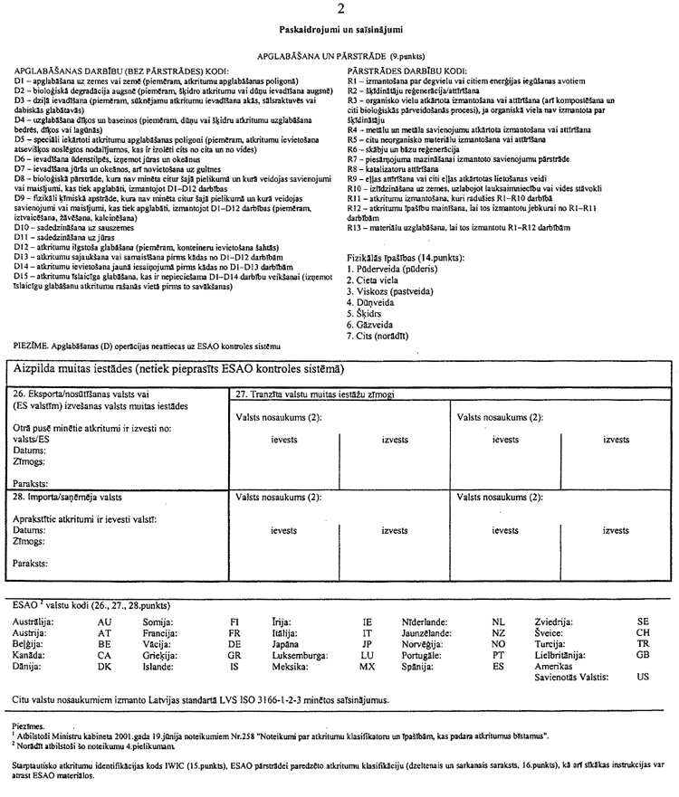
10. Lai saņemtu atļauju atkritumu ievešanai pārstrādei, pieteicējs iesniedz Vides aizsardzības un reģionālās attīstības ministrijā (turpmāk — ministrija) šo noteikumu 8.punktā minēto līgumu un aizpildītu atkritumu pārvadājuma pieteikuma (turpmāk — pieteikums) veidlapu (4.pielikums). Pieteicējs neaizpilda pieteikuma 24., 25. un 26.punktu.
11. Pieteikuma kopiju pieteicējs nosūta atkritumu saņēmējam un tās valsts kompetentajai institūcijai, kura eksportē atkritumus (turpmāk — eksporta valsts), kā arī visu to valstu kompetentajām institūcijām, caur kurām atkritumus paredzēts transportēt (turpmāk — tranzīta valsts).
12. Ministrija triju darbdienu laikā pēc pieteikuma saņemšanas nosūta pieteicējam rakstisku apliecinājumu par pieteikuma saņemšanu, kā arī 1989.gada 22.marta Bāzeles konvencijā par kontroli pār kaitīgo atkritumu robežšķērsojošo transportēšanu un to aizvākšanu (turpmāk — Bāzeles konvencija) noteiktajā kārtībā nosūta apliecinājuma kopiju eksporta valsts un tranzīta valsts kompetentajām institūcijām. Par apliecinājumu izmanto pieteikumu, kurā ir aizpildīts 24.punkts.
13. Pirms tādu atkritumu ievešanas pārstrādei, kuru ievešanai nav nepieciešama atļauja, pieteicējs iesniedz ministrijā šo noteikumu 8.punktā minēto līgumu un aizpildītu pieteikuma veidlapu (zināšanai). Pieteicējs neaizpilda minētā pieteikuma 24., 25. un 26.punktu.
14. Ja pieteikumā nav norādīta visa nepieciešamā informācija, ministrija divu nedēļu laikā pieprasa pieteicējam to iesniegt.
15. Ja attiecīgais pārvadājums neatbilst Bāzeles konvencijā un normatīvajos aktos noteiktajām prasībām vai nav noslēgts šo noteikumu 8.punktā minētais līgums, ministrija neizsniedz atļauju atkritumu ievešanai pārstrādei.
16. Ministrija izsniedz atļauju atkritumu ievešanai pārstrādei vai nosūta motivētu atteikumu izsniegt atļauju 70 dienu laikā no šo noteikumu 12.punktā minētā apliecinājuma nosūtīšanas dienas.
17. Ministrija aizpilda pieteikuma 24. un 25.punktu. Ja ministrija nosaka prasības attiecībā uz atkritumu pārvadājumu vai pārstrādes procesu, aizpilda arī pieteikuma 26.punktu. Ministrija apzīmogo pieteikumu. Šādi aizpildīts pieteikums uzskatāms par atļauju atkritumu ievešanai pārstrādei.
18. Atļaujas atkritumu ievešanai pārstrādei oriģinālu ministrija nosūta pieteicējam, bet atļaujas kopiju — eksporta valsts un tranzīta valsts kompetentajām institūcijām. Viena atļaujas kopija glabājas ministrijā.
19. Atļauju atkritumu ievešanai pārstrādei izsniedz uz vienu gadu. Ja pēc atļaujas derīguma termiņa beigām pieteicējs vēlas turpināt atkritumu ievešanu pārstrādei, viņš iesniedz jaunu pieteikumu.
20. Atļauju atkritumu ievešanai pārstrādei anulē, ja pārkāpti atļaujā noteiktie nosacījumi vai ja anulēta atļauja bīstamo atkritumu pārstrādei iekārtā, kurā tiek pārstrādāti attiecīgie atkritumi. Par atļaujas anulēšanu rakstiski paziņo pieteicējam un saņēmējam, kā arī eksporta valsts un tranzīta valsts kompetentajām institūcijām.
III. Atļaujas atkritumu eksportam vai tranzītam izsniegšana, derīguma termiņa pagarināšana un anulēšana
21. Atkritumu eksports no Latvijas uz citām valstīm ir atļauts, lai apglabātu vai pārstrādātu bīstamos atkritumus, ja to apglabāšana vai pārstrāde Latvijā ir ekonomiski neizdevīga vai tehniski neiespējama.
22. Lai saņemtu atļauju atkritumu eksportam vai tranzītam, pieteicējs iesniedz ministrijā šo noteikumu 8.punktā minēto līgumu un aizpildītu pieteikuma veidlapu. Pieteicējs neaizpilda pieteikuma 24., 25. un 26.punktu.
23. Atkritumu eksporta pieteikuma kopiju pieteicējs nosūta atkritumu saņēmējam un tās valsts kompetentajai institūcijai, uz kuru eksportē atkritumus (turpmāk — galamērķa valsts), kā arī visu tranzīta valstu kompetentajām institūcijām.
24. Triju darbdienu laikā pēc atkritumu tranzīta pieteikuma saņemšanas ministrija nosūta pieteicējam rakstisku apliecinājumu par pieteikuma saņemšanu, kā arī nosūta apliecinājuma kopiju galamērķa valsts un eksporta valsts kompetentajām institūcijām. Par apliecinājumu izmanto pieteikumu, kurā ir aizpildīts 24.punkts.
25. Ja attiecīgo atkritumu eksportam nav nepieciešama atļauja, pieteicējs iesniedz ministrijā šo noteikumu 8.punktā minēto līgumu un aizpildītu pieteikuma veidlapu (zināšanai).
26. Ja pieteikumā nav norādīta visa nepieciešamā informācija, ministrija divu nedēļu laikā pieprasa pieteicējam to iesniegt.
27. Ja pārvadājums neatbilst Bāzeles konvencijā un citos normatīvajos aktos noteiktajām prasībām vai nav noslēgts šo noteikumu 8.punktā minētais līgums, ministrija neizsniedz atļauju atkritumu eksportam vai tranzītam.
28. Ministrija neizsniedz atļauju atkritumu eksportam, ja Bāzeles konvencijā noteiktajos termiņos nav saņemts galamērķa valsts vai tranzīta valsts rakstisks apstiprinājums attiecīgajam atkritumu pārvadājumam.
29. Ministrija izsniedz atļauju atkritumu eksportam vai tranzītam vai nosūta motivētu atteikumu izsniegt atļauju 70 dienu laikā pēc pieteikuma saņemšanas.
30. Ministrija aizpilda pieteikuma 24. un 25.punktu. Ja ministrija nosaka prasības atkritumu eksporta vai tranzīta pārvadājuma norisei, tā aizpilda arī pieteikuma 26.punktu. Ministrija apzīmogo pieteikumu. Šādi aizpildīts pieteikums uzskatāms par atļauju atkritumu eksportam vai tranzītam.
31. Atļaujas oriģinālu ministrija nosūta pieteicējam, bet atļaujas kopiju — galamērķa valsts un tranzīta valsts kompetentajām institūcijām. Viena atļaujas kopija glabājas ministrijā.
32. Atļauju atkritumu eksportam vai tranzītam izsniedz uz vienu gadu. Ja pēc atļaujas derīguma termiņa beigām pieteicējs vēlas turpināt atkritumu eksportu vai tranzītu, pieteicējs iesniedz jaunu pieteikumu.
33. Atļauju atkritumu eksportam vai tranzītam anulē, ja pārkāpti atļaujā noteiktie nosacījumi vai galamērķa vai tranzīta valsts ir anulējusi attiecīgo atļauju un par to rakstiski informējusi pieteicēju, kā arī atkritumu galamērķa valsts un tranzīta valsts kompetentās institūcijas.
IV. Atkritumu ievešana pārstrādei, eksports un tranzīts
34. Pēc tam kad saņemta atļauja atkritumu ievešanai pārstrādei, atkritumu eksportam vai tranzītam, pieteicējs katram pārvadājumam aizpilda atkritumu pārvadājuma pavadzīmes (5.pielikums) 1.–9.punktu un 13.–22.punktu. Uzsākot pārvadājumu, pieteicējs pievieno atkritumu pārvadājuma pavadzīmi (turpmāk — pavadzīme) katrai atkritumu kravai.
35. Eksportējot atkritumus, nepieciešams pavadzīmes oriģināls un trīs kopijas. Pavadzīmi aizpilda valodā, kas ir pieņemama galamērķa valsts un tranzīta valsts kompetentajām institūcijām.
36. Pavadzīmes veidlapu pieteicējs var saņemt elektroniskā veidā ministrijā vai izmantot šo noteikumu 5.pielikuma kopiju.
37. Pirms atkritumu pārvadājuma uzsākšanas atkritumu pārvadātājs aizpilda no pieteicēja saņemto pavadzīmi. Pirmais pārvadātājs aizpilda un paraksta pavadzīmes 10.punktu un nodod pavadzīmi nākamajam atkritumu pārvadātājam, ja attiecīgajā atkritumu pārvadājumā ir iesaistīti vairāki pārvadātāji. Katrs nākamais pārvadātājs aizpilda attiecīgi pavadzīmes 11. un 12.punktu. Pavadzīmes kopija paliek glabāšanā pie pēdējā pārvadātāja. Ja pārvadājumā ir iesaistīti vairāk nekā trīs pārvadātāji, pavadzīmei noformē pielikumu, kurā pārvadātāji norāda pavadzīmes 10., 11. un 12.punktā minēto informāciju.
38. Muitas iestādes aizpilda pavadzīmes 26., 27. un 28.punktu.
39. Kad atkritumu saņēmējs saņem atkritumu kravu, saņēmējs vai tā pilnvarots pārstāvis aizpilda pavadzīmes 23. un 24.punktu un izsniedz pēdējam pārvadātājam aizpildītas pavadzīmes kopiju.
40. Pēc atkritumu pārstrādes vai apglabāšanas pabeigšanas atkritumu saņēmējs aizpilda pavadzīmes 25.punktu. Atkritumu saņēmējs nosūta pavadzīmes kopiju pārvadājuma pieteicējam un ministrijai. Pavadzīmes oriģināls glabājas pie atkritumu saņēmēja.
41. Valstī ievesto atkritumu pārstrādes atkritumus un atlikumus apglabā normatīvajos aktos noteiktajā kārtībā vai nogādā atpakaļ uz eksporta valsti, ja tas paredzēts šo noteikumu 8.punktā minētajā līgumā.
42. Ministrija, pieteicējs un saņēmējs Latvijā vismaz trīs gadus glabā pavadzīmju un citu dokumentu kopijas, kuri nosūtīti citu valstu kompetentajām institūcijām, vai pavadzīmes un citus dokumentus, ko atsūtījušas minētās institūcijas.
V. Pieteicēja pienākumi
43. Izmaksas, kas rodas, vedot atkritumus atpakaļ no galamērķa valsts vai tranzīta valsts, ja atkritumu pārvadājums nav noticis saskaņā ar šiem noteikumiem (arī atkritumu pārvadāšanas, apglabāšanas vai pārstrādes izmaksas), sedz pieteicējs.
44. Pieteicējs nodrošina visu nepieciešamo tulkojumu sagatavošanu, ja kāds no šajos noteikumos noteiktajiem dokumentiem nav iesniegts valsts valodā.
45. Pieteicējs sedz maksu par atkritumu sastāva analīzēm, ja ministrija šādas analīzes pieprasa.
Ministru prezidents A.Bērziņš
Vides aizsardzības un reģionālās
attīstības ministra vietā —
īpašu uzdevumu ministrs valsts reformu lietās
J.Krūmiņš
1.pielikums
Ministru kabineta
2002.gada 19.februāra
noteikumiem Nr.76
Atkritumu sarkanais saraksts
| Atkritumu kods | Atkritumu apraksts |
|
RA |
Atkritumi, kas satur galvenokārt organiskas vielas, kurās var būt arī metāli un neorganiskie materiāli |
|
RA 010 |
atkritumi, vielas un priekšmeti, kuros ir polihlorēti bifenili (PCB), polihlorēti terfenili (PCT) un/vai polibromēti bifenili (PBB), arī to polibromēti savienojumi, ja šo savienojumu koncentrācija ir 50 mg/kg vai lielāka |
|
RA 020 |
darvaini atkritumi (izņemot asfaltcementu), kas radušies attīrīšanas, destilācijas vai jebkuras pirolīzes procesā |
|
RB |
Atkritumi, kas satur galvenokārt neorganiskas vielas, kurās var būt arī metāli un organiskie materiāli |
|
RB 010 |
azbests (šķiedras un putekļi) |
|
RB 020 |
keramikas šķiedras, kuru fizikāli ķīmiskās īpašības ir līdzīgas azbestam |
|
RC |
Atkritumi, kas satur gan organiskas, gan neorganiskas vielas atkritumi, kuros ir: |
|
RC 010 |
— jebkurš polihlorēto dibenzofurānu atvasinājums |
|
RC 020 |
— jebkurš polihlorēto dibenzodioksīnu atvasinājums |
|
RC 030 |
svinu saturošu sprāgstošu savienojumu dūņas |
|
RC 040 |
peroksīdi, izņemot ūdeņraža peroksīdu |
Vides aizsardzības un reģionālās
attīstības ministra vietā —
īpašu uzdevumu ministrs valsts reformu lietās
J.Krūmiņš
2.pielikums
Ministru kabineta
2002.gada 19.februāra
noteikumiem Nr.76
Atkritumu dzeltenais saraksts
| Atkritumu kods | Preces kods atbilstoši Preču aprakstīšanas un kodēšanas harmonizētajai sistēmai |
Atkritumu apraksts |
| AA. Metālus saturoši atkritumi | ||
|
AA 010 |
ex 2619 00 | sārņi un citi atkritumi, kas radušies čuguna un dzelzs ražošanā1 |
|
AA 020 |
ex 2620 19 | cinka pelni un atlikumi1 |
|
AA 030 |
2620 21 | svina pelni un atlikumi1 |
|
AA 040 |
ex 2620 30 | vara pelni un atlikumi1 |
|
AA 050 |
ex 2620 40 | alumīnija pelni un atlikumi1 |
|
AA 060 |
ex 2620 50 | vanādija pelni un atlikumi1 |
|
AA 070 |
2620 91 | metālu vai metālu savienojumu pelni un atlikumi, kuri citur nav minēti vai iekļauti1 |
|
AA 080 |
tallija atkritumi un atlikumi1 | |
|
AA 090 |
ex 2804 80 | arsēna atkritumi un atlikumi1 |
|
AA 100 |
ex 2805 40 | dzīvsudraba atkritumi un atlikumi1 |
|
AA 110 |
alumīnija ražošanas atlikumi, kuri citur nav minēti vai iekļauti | |
|
AA 120 |
galvaniskās nogulsnes | |
|
AA 130 |
metālu kodināšanas šķīdumi | |
|
AA 140 |
šķidrie atkritumi, putekļi un nogulsnes, kas radušās cinka ražošanā, piemēram, jarozīts, hematīts, getīts | |
|
AA 150 |
cietie atlikumi, kuri satur dārgmetālus un kuros ir neorganiskā cianīda piemaisījumi | |
|
AA 160 |
dārgmetālu pelni, nogulsnes, putekļi un citi atlikumi, piemēram: | |
|
AA 161 |
— elektronisko plašu pelni | |
|
AA 162 |
— fotofilmu pelni | |
|
AA 170 |
svina-skābes akumulatori, veseli vai sasmalcināti | |
|
AA 180 |
izlietotas baterijas un akumulatori, veseli vai sasmalcināti, izņemot svina-skābes akumulatorus, kā arī atkritumi un lūžņi, kuri rodas bateriju un akumulatoru ražošanā un citur nav minēti vai iekļauti | |
| AB. Atkritumi, kuros ir galvenokārt neorganiskās sastāvdaļas, kurās var būt metāli un organiskie materiāli | ||
|
AB 010 |
ex 2621 10 | izdedži, pelni un atlikumi, kuri citur nav minēti vai iekļauti |
|
AB 020 |
atlikumi, kas rodas, sadedzinot sadzīves atkritumus | |
|
AB 030 |
atkritumi, kas rodas, apstrādājot metālu virsmu sistēmās, kuras nesatur cianīdus | |
|
AB 040 |
ex 7001 00 | katodu staru lampu stikla atkritumi un citi aktivizētie stikla atkritumi |
|
AB 050 |
ex 2529 21 | kalcija fluorīda dūņas |
|
AB 060 |
citi šķidri vai pastveida neorganiskie fluorīdu savienojumi | |
|
AB 070 |
metālliešanas procesā izmantotās smiltis | |
|
AB 080 |
katalizatoru atkritumi, kuri nav minēti zaļajā sarakstā | |
|
AB 090 |
alumīnija hidrātu atkritumi | |
|
AB 100 |
alumīnija atkritumi | |
|
AB 110 |
bāzu šķīdumi | |
|
AB 120 |
neorganiskie halīdu savienojumi, kuri citur nav minēti vai iekļauti | |
|
AB 130 |
lietota domnu smilts (dzelzsrūdas apstrādē lietota smilts) | |
|
AB 140 |
ģipsis, kas radies ķīmiskās rūpniecības procesos | |
|
AB 150 |
neattīrīts kalcija sulfīts un kalcija sulfāts, kas radies dūmgāzu desulfurizācijā | |
| AC. Atkritumi, kuros ir galvenokārt organiskas sastāvdaļas, kurās var būt metāli un neorganiskie materiāli | ||
|
AC 010 |
ex 2713 90 | atkritumi, kas rodas naftas koksa un bitumena ražošanā un apstrādē, izņemot anodu izdedžus |
|
AC 020 |
asfaltcementa atkritumi | |
|
AC 030 |
naftas produktu atkritumi, kas nav piemēroti to sākotnēji paredzētajai lietošanai | |
|
AC 040 |
svinu saturošas degvielas (benzīna) nogulsnes | |
|
AC 050 |
termālie (siltuma pārneses) šķīdumi | |
|
AC 060 |
hidrauliskie šķidrumi | |
|
AC 070 |
bremžu šķidrumi | |
|
AC 080 |
antifrīzu šķidrumi | |
|
AC 090 |
atkritumi, kas rodas sveķu, lateksa, plastifikatoru, līmju un saistvielu ražošanā, kā arī atkritumi, kas rodas, pārveidojot vai lietojot minētās vielas | |
|
AC 100 |
ex 3915 90 | nitroceluloze |
|
AC 110 |
fenoli un fenolu savienojumi (arī hlorfenols) šķidrā vai nogulšņu veidā | |
|
AC 120 |
polihlorētie naftalīni | |
|
AC 130 |
ēteri | |
|
AC 140 |
trietilamīna katalizatori kausēšanas smilšu nosēdināšanai | |
|
AC 150 |
hlorfluorogļūdeņraži | |
|
AC 160 |
haloni | |
|
AC 170 |
apstrādātas koksnes un korķa atkritumi | |
|
AC 180 |
ex 4110 00 | ādas putekļi, pelni, dūņas un pulveri |
|
AC 190 |
atkritumi, kas rodas, sagriežot vieglās automašīnas (fluff) | |
|
AC 200 |
organiskie fosfora savienojumi | |
|
AC 210 |
halogēnus nesaturoši šķīdinātāji | |
|
AC 220 |
halogēnus saturoši šķīdinātāji | |
|
AC 230 |
halogenēti vai nehalogenēti ūdeni nesaturoši destilācijas atkritumi, kas radušies, attīrot šķīdinātājus | |
|
AC 240 |
atkritumi, kas radušies alifātisko halogenēto ogļūdeņražu (piemēram, hlormetāns, dihloretāns, vinilhlorīds, vinilidīna hlorīds, alilhlorīds, epihlorhidrīns) ražošanā | |
|
AC 250 |
virsmas aktīvās vielas (surfaktanti) | |
|
AC 260 |
šķidri cūku mēsli, fekālijas | |
|
AC 270 |
notekūdeņu dūņas | |
| AD. Atkritumi, kuros ir gan organiskas, gan neorganiskas sastāvdaļas | ||
|
AD 010 |
atkritumi, kas radušies farmaceitisko produktu ražošanā un sagatavošanā | |
|
AD 020 |
atkritumi, kas radušies biocīdu un augu aizsardzības līdzekļu ražošanā, kā arī atkritumi, kas rodas, pārveidojot vai lietojot minētās vielas | |
|
AD 030 |
atkritumi, kas radušies koksnes konservācijas līdzekļu ražošanā, kā arī atkritumi, kas rodas, pārveidojot vai lietojot minētos līdzekļus atkritumi, kuros ir: | |
|
AD 040 |
— neorganiskie cianīdi, izņemot neorganisko cianīdu pēdas cietā formā dārgmetālus saturošos atlikumos | |
|
AD 050 |
— organiski cianīdi | |
|
AD 060 |
naftas produktu un ūdens, kā arī ogļūdeņražu un ūdens maisījumu un emulsiju atkritumi | |
|
AD 070 |
atkritumi, kas radušies tintes, krāsu, pigmentu, laku ražošanā, pārveidošanā un lietošanā | |
|
AD 080 |
eksplozīvi atkritumi, ja uz tiem neattiecas citi normatīvie akti | |
|
AD 090 |
atkritumi, kas radušies reprogrāfisko un fotogrāfisko ķīmisko vielu un materiālu ražošanā, pārveidošanā un lietošanā un kuri citur nav minēti | |
|
AD 100 |
cianīdus nesaturošu produktu atkritumi, kas radušies plastmasas virsmas apstrādē | |
|
AD 110 |
skābju šķīdumi | |
|
AD 120 |
jonu apmaiņas sveķi | |
|
AD 130 |
vienreiz lietojamie fotoaparāti ar baterijām | |
|
AD 140 |
atkritumi, kuri rodas rūpniecisko dūmgāzu attīrīšanas iekārtās, kuras lieto, lai kontrolētu rūpniecisko piesārņojumu, un citur nav minēti vai iekļauti | |
|
AD 150 |
dabiskas izcelsmes organiskie materiāli, ko izmanto par filtriem (piemēram, biofiltri) | |
|
AD 160 |
sadzīves atkritumi | |
Piezīme.
1 Atkritumi pelnu, atlikumu, izdedžu, sārņu, putu, putekļu, pūdera un dūņu filtrēšanas atlikumu veidā.
Vides aizsardzības un reģionālās
attīstības ministra vietā —
īpašu uzdevumu ministrs valsts reformu lietās
J.Krūmiņš
3.pielikums
Ministru kabineta
2002.gada 19.februāra
noteikumiem Nr.76
Atkritumu zaļais saraksts
| Atkritumu kods | Preces kods atbilstoši Preču aprakstīšanas un kodēšanas harmonizētajai sistēmai |
Atkritumu apraksts |
| GA. Metālu un metālu sakausējumu atkritumi cietā neizkliedētā veidā1 | ||
| šādu dārgmetālu un to sakausējumu atkritumi un lūžņi: | ||
|
GA 010 |
ex 7112 10 | — zelta atkritumi un lūžņi |
|
GA 020 |
ex 7112 20 | — platīna (platīns, irīdijs, osmijs, pallādijs, rodijs un rutēnijs) atkritumi un lūžņi |
|
GA 030 |
ex 7112 30 | — citu dārgmetālu, piemēram, sudraba, atkritumi un lūžņi |
| šādu melno metālu atkritumi un tērauda vai čuguna lūžņi: | ||
|
GA 040 |
7204 10 | — čuguna atkritumi un lūžņi |
|
GA 050 |
7204 21 | — nerūsējošā tērauda atkritumi un lūžņi |
|
GA 060 |
7204 29 | — citu tērauda sakausējumu atkritumi un lūžņi |
|
GA 070 |
7204 30 | — alvota čuguna vai tērauda atkritumi un lūžņi |
|
GA 080 |
7204 41 | iesaiņoti vai neiesaiņoti virpošanas atkritumi, skaidas, frēzēšanas atkritumi, metāla atgriezumi |
|
GA 090 |
7204 49 | citu melno metālu atkritumi un lūžņi |
|
GA 100 |
7204 50 | pārkausētu lūžņu stieņi |
|
GA 110 |
ex 7302 10 | nolietotas čuguna un tērauda sliedes |
|
GA 120 |
7404 00 | vara atkritumi un lūžņi |
|
GA 130 |
7503 00 | niķeļa atkritumi un lūžņi |
|
GA 140 |
7602 00 | alumīnija atkritumi un lūžņi |
|
GA 150 |
ex 7802 00 | svina atkritumi un lūžņi |
|
GA 160 |
7902 00 | cinka atkritumi un lūžņi |
|
GA 170 |
8002 00 | alvas atkritumi un lūžņi |
|
GA 180 |
ex 8101 91 | volframa atkritumi |
|
GA 190 |
ex 8102 91 | molibdēna atkritumi un lūžņi |
|
GA 200 |
ex 8103 10 | tantala atkritumi un lūžņi |
|
GA 210 |
8104 20 | magnija atkritumi un lūžņi |
|
GA 220 |
ex 8105 10 | kobalta atkritumi un lūžņi |
|
GA 230 |
ex 8106 00 | bismuta atkritumi un lūžņi |
|
GA 240 |
ex 8107 10 | kadmija atkritumi un lūžņi |
|
GA 250 |
ex 8108 10 | titāna atkritumi un lūžņi |
|
GA 260 |
ex 8109 10 | cirkonija atkritumi un lūžņi |
|
GA 270 |
ex 8110 00 | antimona atkritumi un lūžņi |
|
GA 280 |
ex 8111 00 | mangāna atkritumi un lūžņi |
|
GA 290 |
ex 8112 11 | berilija atkritumi un lūžņi |
|
GA 300 |
ex 8112 20 | hroma atkritumi un lūžņi |
|
GA 310 |
ex 8112 30 | germānija atkritumi un lūžņi |
|
GA 320 |
ex 8112 40 | vanādija atkritumi un lūžņi |
| ex 8112 91 | atkritumi un lūžņi, kas satur: | |
|
GA 330 |
— hafniju | |
|
GA 340 |
— indiju | |
|
GA 350 |
— niobiju | |
|
GA 360 |
— rēniju | |
|
GA 370 |
— galliju | |
|
GA 380 |
— talliju | |
|
GA 390 |
ex 2844 30 | torija atkritumi un lūžņi |
|
GA 400 |
ex 2804 90 | selēna atkritumi un lūžņi |
|
GA 410 |
ex 2804 50 | telūra atkritumi un lūžņi |
|
GA 420 |
ex 2805 30 | retzemju metālu atkritumi un lūžņi |
| GB. Metālus saturoši metālu kausēšanas un attīrīšanas atkritumi | ||
|
GB 010 |
2620 11 | cieti cinka sakusumi |
|
GB 020 |
cinku saturoši sārņi: | |
|
GB 021 |
— galvanizācijas plātnes (slāba) cinka virsas sārņi (> 90 % Zn) | |
|
GB 022 |
— galvanizācijas plātnes (slāba) cinka apakšas sārņi (> 92 % Zn) | |
|
GB 023 |
— cinka presformu lietuves sārņi (> 85 % Zn) | |
|
GB 024 |
— karstās iemērkšanas plātnes (slāba) cinka sārņi, kas rodas tvertnē (> 92 % Zn) | |
|
GB 025 |
cinka putas (cinka kausēšanas vannu virsmas sārņi) | |
|
GB 030 |
alumīnija putas (alumīnija kausēšanas vannu virsmas sārņi) | |
|
GB 040 |
ex 2620 90 | dārgmetālu un vara apstrādes izdedži, kas paredzēti turpmākai attīrīšanai |
|
GB 050 |
tantalu saturoši alvas izdedži, kuros alvas saturs ir mazāks par 0,5 % | |
| GC. Citi metālus saturoši atkritumi | ||
|
GC 010 |
elektriskās ierīces, kuras sastāv tikai no metāla vai tā sakausējumiem | |
|
GC 020 |
elektroniskie lūžņi (disketes, elektronisko iekārtu detaļas, kabeļi, vadi) un pārstrādājamas elektronisko iekārtu detaļas, kas ir derīgas metālu un dārgmetālu reģenerācijai (atgūšanai) | |
|
GC 030 |
ex 8908 00 | kuģi un citi peldlīdzekļi, kas sagatavoti sadalīšanai lūžņos un atbrīvoti no jebkuras kravas un citiem materiāliem, kuri radušies kuģa darbībā un kurus var uzskatīt par bīstamām vielām vai bīstamiem atkritumiem |
|
GC 040 |
automobiļu vraki (bez šķidrumiem) | |
|
GC 050 |
izlietoti katalizatori: | |
|
GC 051 |
— šķidrās katalītiskās šķelšanas katalizatori | |
|
GC 052 |
— katalizatori, kas satur dārgmetālus | |
|
GC 053 |
— pārejas metālu (piemēram, hroma, kobalta, vara, dzelzs, niķeļa, mangāna, molibdēna, vanādija, cinka) katalizatori | |
|
GC 060 |
2818 00 | granulēti izdedži, kas rodas čuguna un tērauda ražošanā |
|
GC 070 |
ex 2619 00 | izdedži, kas rodas čuguna un tērauda ražošanā2 |
| GD. Kalnrūpniecības atkritumi nedispersā veidā | ||
|
GD 010 |
ex 2504 90 | dabiski grafīta atkritumi |
|
GD 020 |
ex 2514 00 | slānekļa (šīfera) atkritumi, sadalīti vai nesadalīti |
|
GD 030 |
2525 30 | vizlas atkritumi |
|
GD 040 |
ex 2529 30 | leicīts, nefelīns un nefelīna sinīta atkritumi |
|
GD 050 |
ex 2529 10 | laukšpata atkritumi |
|
GD 060 |
ex 2529 21 ex 2529 22 |
fluoršpata atkritumi |
|
GD 070 |
ex 2811 22 | silīcija atkritumi cietā veidā, izņemot tos, kuri izmantoti metālliešanā |
| GE. Stikla atkritumi cietā veidā | ||
| GE 010 | ex 7001 00 | lauskas un citi stikla atkritumi un lūžņi, izņemot katodu lampu stiklu un citus aktivizētus stikla atkritumus |
| GE 020 | stikla šķiedras atkritumi | |
| GF. Keramikas atkritumi cietā veidā | ||
| GF 010 | pēc veidošanas apdedzināti keramikas atkritumi, arī keramikas trauki | |
| GF 020 | ex 8113 00 | metālkeramikas kompozītu atkritumi un lūžņi |
| GF 030 | keramikas šķiedras, kas citur nav minētas vai iekļautas | |
| GG. Citi atkritumi, kuros ir neorganiskās sastāvdaļas, kurās var būt metāli un organiskie materiāli | ||
|
GG 010 |
daļēji attīrīts kalcija sulfāts, kas radies dūmgāzu desulfurizācijā | |
|
GG 020 |
ģipša sienu atkritumi, kas radušies māju nojaukšanā | |
|
GG 030 |
ex 2621 | izdedži un izdedžu kvēpi no spēkstacijām, kuras kurina ar oglēm |
|
GG 040 |
ex 2621 | sodrēji no spēkstacijām, kuras kurina ar oglēm |
|
GG 050 |
naftas koksa vai bitumena anodu izdedži | |
|
GG 060 |
ex 2803 | izlietota aktīvā ogle |
|
GG 070 |
3103 20 | pamatizdedži, kas rodas čuguna vai tērauda ražošanā un ir izmantojami fosfātu mēslojuma ražošanai vai citādi |
|
GG 080 |
ex 262100 | ķīmiski stabilizēti vara ražošanas izdedži ar augstu dzelzs saturu (virs 20 %), kuri ir atbilstoši apstrādāti lietošanai būvniecībā vai abrazīvai lietošanai |
|
GG 090 |
sērs cietā veidā | |
|
GG 100 |
kaļķakmens, kas radies kalcija ciānamīda ražošanā (ph < 9) | |
|
GG 110 |
ex 262100 | neitralizētas sarkanās nogulsnes, kas radušās alumīnija ražošanā |
|
GG 120 |
nātrija, kālija un kalcija hlorīdi | |
|
GG 130 |
karborunds | |
|
GG 140 |
betona lūžņi | |
|
GG 150 |
ex 2620 90 | litiju-tantalu un litiju-niobiju saturoši stikla lūžņi |
| GH. Cieti plastmasas atkritumi | ||
|
GH 010 |
3915 | šādu plastmasu atkritumi, atgriezumi un lūžņi: |
|
GH 011 |
ex 3915 10 | — etilēna polimēru |
|
GH 012 |
ex 3915 20 | — stirēna polimēru |
|
GH 013 |
ex 3915 30 | — vinilhlorīda polimēru |
|
GH 014 |
ex 3915 90 | šādu polimēru un kopolimēru atkritumi, atgriezumi un lūžņi: |
| — polipropilēna | ||
| — polietilēna teraftalāta | ||
| — akrilnitrila kopolimēra | ||
| — butadiēna kopolimēra | ||
| stirēna kopolimēri | ||
| poliamīdi | ||
| polibutilēna teraftalāti | ||
| polikarbonāti | ||
| polifenila sulfīdi | ||
| akrila polimēri | ||
| parafīni (C10-C13)3 | ||
| poliuretāns (nesatur hlorfluorūdeņražus) | ||
| polisiloksalāni (silīcijs) | ||
| polimetilmetakrilāts | ||
| polivinilspirts | ||
| polivinilbutirāls | ||
| polivinilacetāts | ||
| fluoretilēna polimēri (teflons, PTFE) | ||
|
GH 015 |
ex 3915 90 | sveķi un kondensācijas produkti, piemēram: |
| — urīnvielas formaldehīda sveķi | ||
| — fenola formaldehīda sveķi | ||
| — melamīna formaldehīda sveķi | ||
| — epoksīda sveķi | ||
| — alkīdu sveķi | ||
| — poliamīdi | ||
| GI. Papīra, kartona un papīra izstrādājumu atkritumi | ||
|
GI 010 |
4707 | papīra un kartona atkritumi un makulatūra: |
|
GI 011 |
4707 10 | — nebalināts kraftpapīrs vai kartons, vai gofrētais papīrs, vai kartons |
|
GI 012 |
4707 20 | — cits papīrs vai kartons, kas izgatavots galvenokārt no balinātas ķīmiskās pulpas, nekrāsots |
|
GI 013 |
4707 30 | — papīrs vai kartons, kas izgatavots galvenokārt no mehāniskās celulozes (avīzes, žurnāli un citi iespiesti materiāli) |
|
GI 014 |
4707 90 | citi, to skaitā: |
| — laminētais kartons | ||
| — nešķiroti atkritumi un makulatūra | ||
| GJ. Tekstila atkritumi | ||
|
GJ 010 |
5003 | zīda atkritumi (arī spolēšanai nederīgi kokoni, dzijas atkritumi un sairusi trikotāža): |
|
GJ 011 |
5003 10 | — nekārsti vai neķemmēti |
|
GJ 012 |
5003 90 | — citi |
|
GJ 020 |
5103 | vilnas atkritumi no smalkas vai rupjas dzīvnieku valsts izcelsmes šķiedras, arī dzijas atkritumi, izņemot sairušu trikotāžu: |
|
GJ 021 |
5103 10 | — vilnas izsukas no smalkas dzīvnieku valsts izcelsmes šķiedras |
|
GJ 022 |
5103 20 | — citi vilnas atkritumi no smalkas dzīvnieku valsts izcelsmes šķiedras |
|
GJ 023 |
5103 30 | — atkritumi no rupjas dzīvnieku valsts izcelsmes šķiedras |
|
GJ 030 |
5202 | kokvilnas atkritumi: |
|
GJ 031 |
5202 10 | — dzijas (arī diegu) atkritumi |
|
GJ 032 |
5202 20 | — sairusi trikotāža |
|
GJ 033 |
5202 99 | — citi |
|
GJ 040 |
5301 30 | linu pakulas un atkritumi |
|
GJ 050 |
ex 5302 90 | pakulas un atkritumi (arī dzijas atkritumi un sairusi trikotāža) no kaņepēm (Cannabis sativa L.) |
|
GJ 060 |
ex 5303 90 | pakulas un atkritumi (arī dzijas atkritumi un sairusi trikotāža) no džutas un citām lūku tekstilšķiedrām (izņemot linus, kaņepes un rāmijas) |
|
GJ 070 |
ex 5304 90 | pakulas un atkritumi (arī dzijas atkritumi un sairusi trikotāža) no sizala un citiem agavju ģints augiem |
|
GJ 080 |
ex 5305 19 | pakulas, izsukas un atkritumi (arī dzijas atkritumi un sairusi trikotāža) no kokosrieksta |
|
GJ 090 |
ex 5305 29 | pakulas, izsukas un atkritumi (arī dzijas atkritumi un sairusi trikotāža) no abakas (Manilas kaņepes jeb Musa textilis Nee) |
|
GJ 100 |
ex 5305 99 | pakulas, izsukas un atkritumi (arī dzijas atkritumi un sairusi trikotāža) no rāmijas un citām dārzeņu tekstilšķiedrām, kuras citur nav minētas vai iekļautas |
|
GJ 110 |
5505 | pakulas, izsukas un atkritumi (arī dzijas atkritumi un sairusi trikotāža) no mākslīgajām šķiedrām: |
|
GJ 111 |
5505 10 | — no sintētiskajām šķiedrām |
|
GJ 112 |
5505 20 | — no mākslīgajām šķiedrām |
|
GJ 120 |
6309 00 | valkātas drēbes un citas valkātas tekstilpreces |
|
GJ 130 |
ex 6310 | lietotas lupatas, atgriezumi, auklas, tauvas, virves, kabeļi un citi lietoti auklu, tauvu, virvju un kabeļu vai cita tekstila materiāli: |
|
GJ 131 |
ex 6310 10 | — sašķiroti |
|
GJ 132 |
ex 6310 90 | — citi |
| GK. Gumijas atkritumi | ||
| GK 010 | 4004 00 | gumijas (izņemot cieto gumiju) atkritumi, atgriezumi un atkritumi, un no tiem izgatavotās granulas |
| GK 020 | 4012 20 | lietotas pneimatiskās riepas |
| GK 030 | ex 4017 00 | cietās gumijas (piemēram, ebonīta) atkritumi un lūžņi |
| GL. Neapstrādāti korķa un koksnes atkritumi | ||
| GL 010 | ex 4401 30 | koksnes atkritumi un lūžņi, sagatavoti baļķos, briketēs, tabletēs vai līdzīgā veidā vai nesagatavoti |
| GL 020 | 4501 90 | korķa atkritumi, sasmalcināts, granulēts un malts korķis |
| GM. Lauksaimniecības un pārtikas rūpniecības atkritumi | ||
| GM 070 | ex 2307 | vīna mieles |
| GM 080 | ex 2308 | izžāvēti un sterilizēti dārzeņu atkritumi, pārpalikumi un blakusprodukti, sagatavoti tablešu veidā vai nesagatavoti izmantošanai dzīvnieku barībai, kuri citur nav minēti vai ietverti |
| GM 090 | 1522 | taukvielu apstrādes atkritumi, augu vai dzīvnieku izcelsmes vaski |
| GM 100 | 0506 90 | ragu un kaulu atkritumi, neapstrādāti, attaukoti, vienkārši sagatavoti (bet nesagriezti), apstrādāti ar skābi vai deželatinizēti |
| GM 110 | ex 0511 91 | zivju atkritumi |
| GM 120 | 1802 00 | kakao čaumalas, sēnalas, mizas un citi kakao atkritumi |
| GM 130 | lauksaimniecības un pārtikas pārstrādes rūpniecības atkritumi, izņemot tādus blakusproduktus, kas atbilstoši nacionālajām un starptautiskajām prasībām izmantojami cilvēku vai dzīvnieku uzturā | |
| GN. Atkritumi, kuri rodas ādu miecēšanā un kodināšanā, un izlietoti ādas izstrādājumi | ||
| GN 010 | ex 0502 00 | cūku un mežacūku saru un matu atkritumi, citi atkritumi, kas rodas birstu izgatavošanā |
| GN 020 | ex 0503 00 | zirgu astru atkritumi, salikti slāņos vai nesalikti, ar atbalsta materiālu vai bez tā |
| GN 030 | ex 0505 90 | putnu ādas un citu daļu atkritumi, ar spalvām un dūnām vai bez tām, spalvu vai spalvu daļu atkritumi (ar apgrieztām malām vai neapgrieztām malām), tālāk neapstrādāti, tikai attīrīti, dezinficēti vai apstrādāti uzglabāšanai |
| GN 040 | ex 4110 00 | ādas vai ādas savienojumu atgriezumi, kas nav izmantojami ādas izstrādājumu izgatavošanai, izņemot ādas nogulsnes |
| GO. Citi atkritumi, kuros ir galvenokārt organiskās sastāvdaļas, kurās var būt metāli un neorganiskie materiāli | ||
| GO 010 | ex 0501 00 | cilvēku matu atkritumi |
| GO 020 | salmu atkritumi | |
| GO 030 | dzīvnieku barībai paredzēts dezaktivēts sēņu micēlijs, kas radies penicilīna ražošanā | |
| GO 040 | fotofilmu pamatnes atkritumi un fotofilmu atkritumi, kas nesatur sudrabu | |
| GO 050 | vienreiz lietojamas fotokameras bez baterijām | |
Piezīmes.
1 Neietver atkritumus pūdera, dūņu, putekļu vai cietu priekšmetu veidā, kuros iekapsulēti šķidri bīstamie atkritumi.
2 Attiecas uz tādu izdedžu lietošanu, kas radītu titāna dioksīdu un vanādiju.
3 Nevar polimerizēt, tiek izmantoti kā plastifikatori.
Vides aizsardzības un reģionālās
attīstības ministra vietā —
īpašu uzdevumu ministrs valsts reformu lietās
J.Krūmiņš
4. pielikums
Ministru kabineta
2002. gada 19. februāra
noteikumiem Nr. 76
Atkritumu pārrobežu
pārvadājumi
Atkritumu pārvadājumu pieteikums
Vides aizsardzības un reģionālās
attīstības ministra vietā —
īpašu uzdevumu ministrs valsts reformu lietās
J.Krūmiņš
5. pielikums
Ministru kabineta
2002. gada 19. februāra
noteikumiem Nr. 76
Atkritumu pārrobežu
pārvadājumi
Atkritumu pārvadājumu pavadzīme
Vides aizsardzības un reģionālās
attīstības ministra vietā —
īpašu uzdevumu ministrs valsts reformu lietās
J.Krūmiņš