
Pārtikas un veterinārā dienesta rīkojums Nr. 61
2002. gada 14. februārī
Par veselības sertifikātiem zivju un zvejas produktu eksportam uz Slovākijas Republiku
Pamatojoties uz Slovākijas Republikas veterinārā dienesta noteiktajām prasībām, nosaku:
1. Zivju un zvejas produktu eksportam uz Slovākijas Republiku no uzņēmumiem, kas atzīti eksportam uz Eiropas Savienības dalībvalstīm, izsniegt veselības sertifikātu “zvejas un akvakultūras produktu eksportam uz Slovākijas Republiku” (1. pielikums).
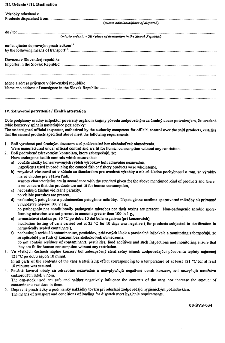
2. Zivju un zvejas produktu eksportam uz Slovākijas Republiku no uzņēmumiem, kas nav atzīti eksportam uz Eiropas Savienības dalībvalstīm, līdz 2002. gada 1. jūlijam izsniegt veselības sertifikātu “zivju konservu un zvejas produktu eksportam uz Slovākijas Republiku” (2. pielikums).
3. Atcelt sertifikāta “Eksport 2” izrakstīšanas zivju un zvejas produktu eksportam uz Slovākijas Republiku.
4. Rīkojumu publicēt laikrakstā “Latvijas Vēstnesis”.
5. Rīkojums stājas spēkā ar parakstīšanas brīdi.
6. Kontroli pār rīkojuma izpildi uzdodu Pārtikas uzraudzības departamenta direktoram E.Zavadskim.
Pārtikas un veterinārā dienesta direktors V.Veldre
1.pielikums