
Foto: Māris Kaparkalējs, “LV”
Teorētiskajā dabas
miera un atpūtas periodā — ziemā — dažādās dzīvības un darbības
norises mežos rit savu gaitu un, kā izrādās, ne tik lēni un
miegaini, kā ierasts un gribētos domāt. Mežs neredzami aug un
pārveidojas, tajā notiek nebeidzamais dzīvības attīstības loks.
Mežu cērt, atjauno, kopj, tajā medī, un atbildīgi par mežā
notiekošo ir meža zemju īpašnieki — gan privātpersonas, gan
valsts. No 2000. gada spēkā ir jaunais Meža likums. Lai tuvāk
izvērtētu mežos notiekošo, situācijas skaidrojumu “Latvijas
Vēstnesim” sniedza Latvijas Republikas Zemkopības ministrijas
valsts sekretāra vietnieks mežu jautājumos Arvīds Ozols.
Arvīds Ozols, Zemkopības ministrijas valsts sekretāra vietnieks mežu jautājumos, — “Latvijas Vēstnesim”
— Kā dzīvē darbojas jaunais Meža likums?
— Kopumā vērtējot, jāteic, ka likums ir iegājis apritē. Jaunais Meža likums salīdzinājumā ar iepriekšējo nosaka vairākas atšķirīgas lietas. Viena no tām ir precīza regulācija par ciršanas apjomiem valsts mežos, pārējos mežos ir netiešās regulācijas — koku ciršanas vecums, cērtamo platību lielums, kādam ir jābūt laika atstatumam starp iepriekšējo un nākamo izciršanu, kad audze ir atjaunota un paaugusies. Otra būtiska norma ir īpašnieka vai tiesiskā valdītāja atbildība, ja mežs nav noteiktajos termiņos un paredzētajā apjomā atjaunots. Šajā gadījumā turpmākā meža ciršana tiek aizliegta. Reālā situācija liecina, ka īpaši tas attiecas uz noteiktajiem privāto mežu izciršanas ierobežojumiem. Kopējie rādītāji par 2000.gadu liecina, ka valsts kontrolē mežā notiekošās darbības un domā par tā atjaunošanu. No kopējām atjaunotajām un izkoptajām mežu jaunaudžu teritorijām 91% ir valsts mežos.
Tiek sekots līdzi arī šī procesa norisēm privātajā sektorā. Strukturāli valsts un privātie meži ir atšķirīgi. Jāpiezīmē, ka privātajos mežos ir sagaidāms ciršanas apjoma samazinājums salīdzinājumā ar 2000. un 2001. gadu. Iemesli tam ir gan uzkrājuma apgūšana, gan ciršanas aizliegums tajās vietās, kur nav izpildīti atjaunošanas nosacījumi. Kontroli šo prasību izpildē saskaņā ar likumdošanu profesionāli veic Valsts meža dienests.
Šai institūcijai ir dotas pietiekami lielas pilnvaras, lai apturētu nelikumīgas darbības un kontrolētu izvirzīto prasību izpildi. Šobrīd mūsu rīcībā nav visu aizvadītā gada 12 mēnešu informācijas apkopojuma. Kopējie rādītāji tiek apkopoti un tuvākajā laikā tie būs arī oficiāli pieejami.
— Sabiedrība visai bieži diskutē par meža ciršanu, izsakot savus pieņēmumus. Ko liecina meža ciršanas dati?
Foto: Arnis Blumbergs, “LV”, 29.01.2002. |
— Pēc Zemkopības ministrijas Meža sektora rīcībā esošajiem datiem, nav iemesla situāciju vērtēt pesimistiski. Mežs aug, līdz šim novērtētais pieaugums Latvijas mežos kopumā ir aptuveni 16 līdz 16,5 miljoni kubikmetru gadā. Kaut arī pastāv atšķirīgi viedokļi par metodikas pareizību šajos aprēķinos, tomēr viens no secinājumiem ir nepieciešamība pēc statistiskā parauglaukuma mežu inventarizācijas. Tas nozīmē, ka meži tiktu novērtēti pēc statistiskām metodēm, veicot instrumentālo uzmērīšanu parauglaukumos, kuri tiek izvietoti bez ģeogrāfiskām koordinātēm, izslēdzot tādējādi subjektīvisma iespējas. Šāds risinājums būtu papildu instruments, lai izvērtētu, kādas tendences laika ietekmē notiek ar Latvijas mežiem.
No deviņdesmito gadu sākuma Latvijā ir palielinājusies mežu kopējā krājuma platība. Tas apgāž izteiktos apgalvojumus, ka Latvijā mežu cērt par daudz. Ja cirstu vairāk, nekā mežs reāli pieaug, kopumā krājums nevarētu palielināties. Grūti ir spriest par sabiedrības garastāvokli, izsakot apgalvojumus, taču kopumā interese par mežos notiekošo vērtējama atzinīgi. Tas pat nav tik daudz uztraukums kā sava veida rūpes par Latvijas mežu bagātībām, un līdzīgas iezīmes ir arī citās valstīs. Neapšaubāmi, bažas var kliedēt, sniedzot sistemātisku un precīzu informāciju.
— Kādi, jūsuprāt, ir iemesli tautas izteiktajiem apgalvojumiem?
— Viens no iemesliem ir tas, ka deviņdesmito gadu otrajā pusē un 2000. gada sākumā ir pieaudzis kopējais meža ciršanas apjoms salīdzinājumā ar deviņdesmito gadu sākumu. Lai šo faktu apstiprinātu, ir jāņem vērā vairāki apstākļi, tostarp zemes reformas sākums 1992. gadā un ciršanas aizliegums tajos mežos, kuriem nebija noteiktas skaidras īpašumtiesības. Pagāja laiks, līdz tika dokumentāli nokārtotas īpašumtiesības privātpersonām, un šajā laikā ciršanas apjomi kopumā kritās, veidojoties uzkrājumam. Pašlaik īpašnieki gan cērt to, kas pieaug, gan drīz būs izcirtuši arī uzkrājumu.
Runājot par ciršanas apjomu, ir jāmin vairāki indikatori. Pastāv teorija, ka nedrīkst izcirst vairāk, nekā mežs pieaug. Tas ir pareizi, taču ne visās situācijās. Ja cērt krietni mazāk par pieaugumu, uzkrājas vecs mežs, kam pieaugums ir mazāks, līdz ar to samazinās kopējais pieaugums. Ja aplūkojam diagrammā redzamos datus par 1999.gadu, kad vērojams īpaši liels ciršanas apjoms, jāpaskaidro, kādi ir šī rādītāja iemesli. Nav tā, ka šajā gadā būtu nocirsts vairāk nekā citos, iemesls ir atskaites punkta izmaiņas. Līdz 1999. gadam mežsaimnieciskais gads tika skaitīts no 1. oktobra līdz 31. septembrim, bet no 1999. gada uzskaite veikta no 1. janvāra, tādējādi aptverot rādītājus par 15 mēnešiem.
Bažas varēja izraisīt arī fakts, kas nav apstiprinājies, proti, privātajos mežos ir nocirsts viss, ko varēja nocirst. Patiesībā ir pretēji — šajā mežu sektorā ir pietiekami lieli uzkrājumi mežiem ciršanas vecumā, kuros šis process likumīgi ir atļauts, bet nenotiek.
Tā ka kopumā man nav pamata apstiprināt sabiedrības bažas.
— Koksne ir viens no Latvijas eksporta produkcijas veidiem. Kādi ir šīs nozares rādītāji?
Kopumā gan koksnes, gan koksnes produkcijas rādītāji pēdējos gados ir pieauguši. Joprojām lielāko daļu veido zāģmateriālu eksports, un salīdzinājumā ar deviņdesmito gadu sākumu tas naudas izteiksmē ir pieaudzis vairāk nekā desmitkārt. Interesanti, ka meža nozares kopējo eksporta rādītāju ziņā Latvija vēl nav sasniegusi 1937.gada apjomus.
— Kāda ir situācija ar medībām un to regulēšanu?
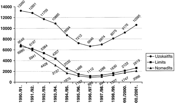
— Aizvadītajā gadā spēkā stājās jaunie Ministru kabineta noteikumi “Par dabas aizsardzību mežu apsaimniekošanā” un tajos ietvertā filozofija — dabas aizsardzības mērķiem tiek veidoti dabas parki, rezervāti, liegumi, aizsargājamo ainavu apvidi, noteiktas vairākas aizsargjoslas, taču pašu būtiskāko ieguldījumu dabas aizsardzībā un bioloģiskās daudzveidības saglabāšanā dod apstākļi, ka visās pārējās mežu teritorijās saimniekošana tiek virzīta uz dabas vērtību saglabāšanu, nodrošinot augu un dzīvnieku sugu izdzīvošanas iespējas. Pašreizējā situācija ar meža dzīvniekiem ir pārraudzīta. Tiesa, meža dzīvnieku skaits salīdzinājumā ar iepriekšējiem gadiem ir samazinājies. Nav tā, ka no mežsaimnieciskā viedokļa šis rādītājs būtu pasliktinājies, jo, piemēram, aļņu skaits astoņdesmitajos gados bija sasniedzis tādu līmeni, ka nopietni apdraudēja priežu jaunaudzes. Svarīga, protams, ir arī apakšējā robežšķirtne — sugas saglabāšanas nolūki un mednieku intereses. Negribu piekrist tiem, kas medniekus dēvē par dabas ienaidniekiem, jo neviens mednieks nav ieinteresēts mežu padarīt tukšu no dzīvniekiem. 1996. un 1997. gadā mežā ir bijis dzīvnieku skaita minimums, taču turpmāk rādītāji ir pieauguši. 1995. gadā sāka darboties Medību likums, kas noteica savus ierobežojumus, kā arī kopējā ekonomiskā situācija valstī ir uzlabojusies — mednieki sāk citādi skatīties uz medībām, meža dzīvniekiem un to gaļu. Turklāt viņu interešu lokā ir nomāto medību platību apsaimniekošana un medību nodrošināšana. Arī nomedījamo dzīvnieku limits, ko nosaka Valsts meža dienests, pamatojoties uz dzīvnieku uzskaites datiem, nekad šajos gados nav izpildīts.
Zaida Kalniņa, “LV” nozares redaktore
Meža nozare Latvijas eksportā
Kopkrājas dinamika
Meža ciršanas apjomi
Izcirstais apjoms visos mežos galvenajā cirtē un starpcirtē
Galvenajā cirtē izcirstais apjoms pa koku sugām
Aļņi Latvijā
Staltbrieži Latvijā
Stirnas Latvijā
Meža cūkas Latvijā