
Pārtikas un veterinārā dienesta rīkojums Nr.6
2002. gada 7. janvārī
Par dzīvnieku veselības sertifikātu apstrādātu nagaiņu ādu un kažokādu eksportam uz Eiropas Savienības dalībvalstīm
Pamatojoties uz Eiropas Savienības Komisijas 1996. gada 29. novembra lēmumu, nosaku:
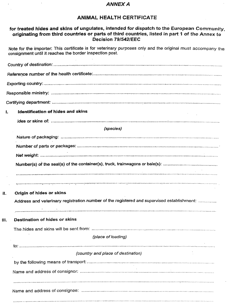
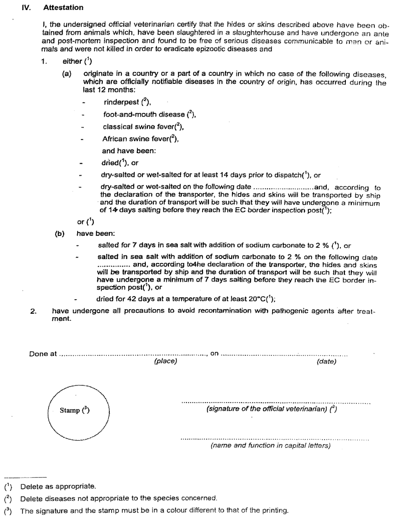
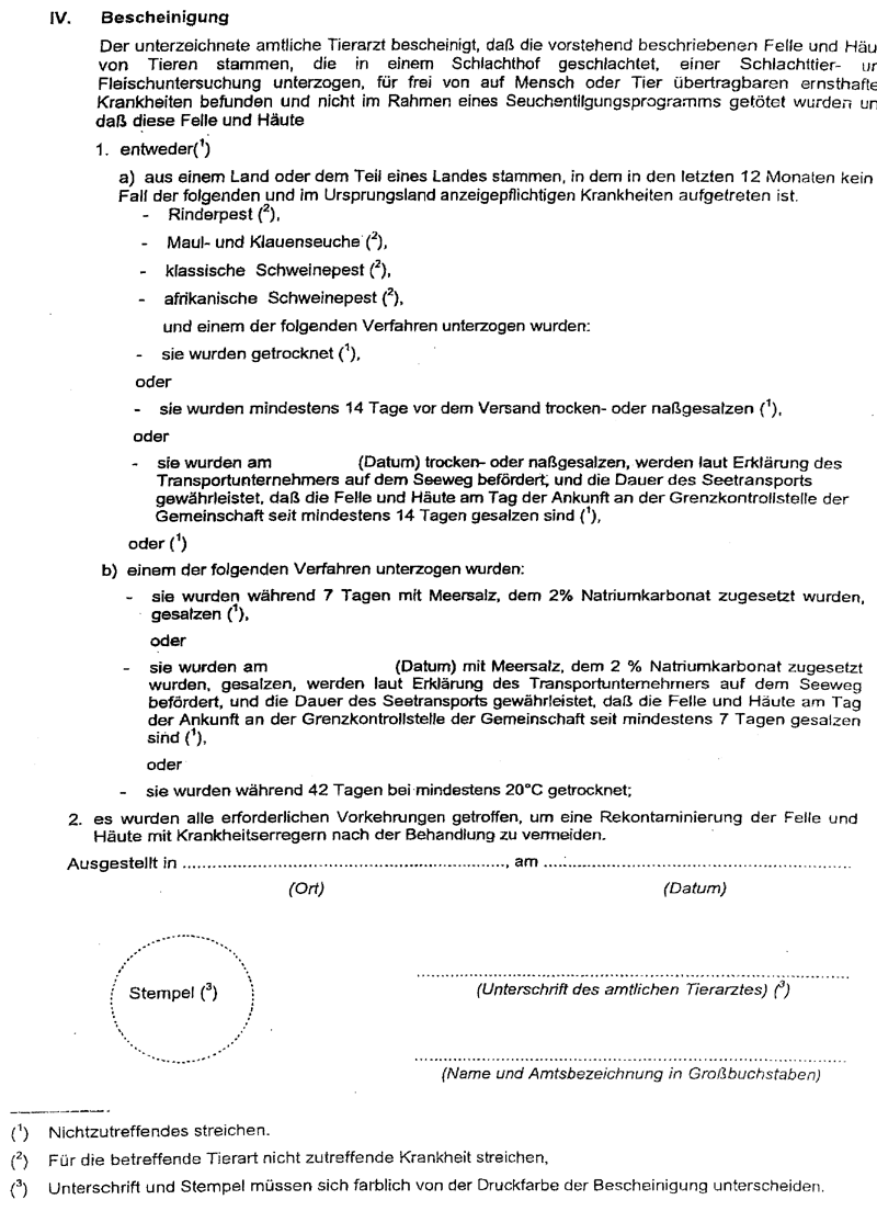
1. Apstrādātu nagaiņu ādu un kažokādu eksportam uz Eiropas Savienības dalībvalstīm izsniegt rīkojuma pielikumā noteiktās formas sertifikātu valodā, kuru akceptē importētājvalsts.
2. Atcelt sertifikāta “Eksport 2” izsniegšanu nagaiņu ādu un kažokādu eksportam uz Eiropas Savienības dalībvalstīm.
3. Rīkojumu publicēt laikrakstā “Latvijas Vēstnesis”.
4. Rīkojums stājas spēkā ar parakstīšanas brīdi.
5. Kontroli pār rīkojuma izpildi uzdodu Dzīvnieku veselības un labturības departamenta direktoram I.Celmam.
Pārtikas un veterinārā dienesta direktors V.Veldre
Valsts ieņēmumu dienesta informācija
2002.gada 8.janvārī
Pielikums