
Centrālā statistikas pārvalde
Informācija
Par iekšzemes kopproduktu ES kandidātvalstīs
Statistikas lietotāju pieprasījumi pēc informācijas liecina, ka viņus interesē ne tikai informācija par Latvijas ekonomiskajiem rādītājiem, bet arī šie dati salīdzinājumā ar Baltijas valstīm un citām Eiropas valstīm. Tāpēc piedāvājam regulārā preses izlaiduma “Statistics in focus” 35/2001 datus par kandidātvalstu iekšzemes kopprodukta tempiem pēdējos piecos gados un 2001. gada pirmajā ceturksnī. Šo publikāciju ir sagatavojis Eiropas Savienības Statistikas birojs, apkopojot kandidātvalstu informāciju par makroekonomisko attīstību. Kandidātvalstu statistikas iestādes katru ceturksni sagatavo plašu statistisko informāciju, iekļaujot tos pašus rādītājus, ko Eiropas Savienības dalībvalstis. Šī informācija ir pieejama Eiropas Savienības Statistikas biroja datu bāzēs, kā arī tiek plaši izmantota dažādu publikāciju veidošanai.
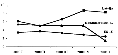
Pašreiz Eiropas Savienības kandidātvalstis ir Bulgārija, Kipra, Čehija, Igaunija, Ungārija, Latvija, Lietuva, Malta, Polija, Rumānija, Slovākija, Slovēnija un Turcija. Kandidātvalstu vidējais iekšzemes kopprodukta (IKP) pieauguma temps 2000.gadā pārsniedza dalībvalstu sasniegto, turklāt 2000.gada laikā arī katrā ceturksnī visām kandidātvalstīm bija pozitīvi attīstības rādītāji. Toties šā gada pirmajā ceturksnī kandidātvalstu vidējais iekšzemes kopprodukta pieauguma temps ir zemāks nekā dalībvalstīs, jo vairākām kandidātvalstīm šie tempi ir samazinājušies, bet Turcijas iekšzemes kopprodukts ir par 1,9% zemāks nekā 2000. gada pirmajā ceturksnī. Latvijas IKP pieauguma temps bija augstākais starp kandidātvalstīm un ievērojami pārsniedz arī Eiropas Savienības dalībvalstu vidējo līmeni. IKP izmaiņas raksturo 1. diagramma.
1.diagramma
IKP ceturkšņa pieaugums (% pret iepriekšējā gada atbilstošo periodu)
Iekšzemes kopprodukta pieauguma tempus Baltijas valstīs ilustrē 2.diagramma. Visās Baltijas valstīs šā gada pirmajā pusgadā ir izdevies sasniegt samērā augstus attīstības tempus, no kuriem mūsu valsts rādītāji ir augstākie.
2.diagramma
IKP ceturkšņa pieaugums Baltijas valstīs (% pret iepriekšējā gada atbilstošo periodu)
Katras kandidātvalsts attīstības tendences raksturo 1. tabulas dati.
1.tabula
Iekšzemes kopprodukta pieaugums
(% pret iepriekšējā gada attiecīgo periodu)
|
Gada pieaugums . |
Ceturkšņa pieaugums . |
|||||||||||||||||||||||||||
|
1996 |
1997 |
1998 |
1999 |
2000 |
2000 . |
2001 |
||||||||||||||||||||||
|
I |
II |
III |
IV |
I |
||||||||||||||||||||||||
|
Bulgārija (BG) |
-10,1 |
-7,0 |
3,5 |
2,4 |
5,8 |
4,5 |
5,7 |
6,1 |
6,5 |
4,5 |
||||||||||||||||||
|
Kipra (CY) |
1,9 |
2,5 |
5,0 |
4,5 |
4,8 |
|||||||||||||||||||||||
|
Čehija (CZ) |
4,3 |
-0,8 |
-1,2 |
-0,4 |
2,9 |
3,2 |
2,4 |
2,4 |
3,8 |
3,8 |
||||||||||||||||||
|
Igaunija (EE) |
4,0 |
10,4 |
5,0 |
-0,7 |
6,9 |
6,5 |
7,8 |
7,3 |
6,0 |
5,8 |
||||||||||||||||||
|
Ungārija (HU) |
1,3 |
4,6 |
4,9 |
4,2 |
5,2 |
6,5 |
5,6 |
4,5 |
4,2 |
4,4 |
||||||||||||||||||
|
Latvija (LV) |
3,3 |
8,6 |
3,9 |
1,1 |
6,6 |
6,1 |
5,0 |
6,6 |
8,7 |
8,2(1) |
||||||||||||||||||
|
Lietuva (LT) |
4,7 |
7,3 |
5,1 |
-3,9 |
3,3 |
4,1 |
0,5 |
5,0 |
3,6 |
4,4 |
||||||||||||||||||
|
Malta (MT) |
4,0 |
4,9 |
3,4 |
4,1 |
5,0 |
6,8 |
1,8 |
4,4 |
6,8 |
2,1 |
||||||||||||||||||
|
Polija (PL) |
6,0 |
6,8 |
4,8 |
4,1 |
4,0 |
5,9 |
5,0 |
3,1 |
2,4 |
2,3 |
||||||||||||||||||
|
Rumānija (RO) |
3,9 |
-6,1 |
-4,8 |
-2,3 |
1,6 |
1,2 |
2,0 |
2,2 |
1,3 |
4,8 |
||||||||||||||||||
|
Slovākija (SK) |
6,2 |
6,2 |
4,1 |
1,9 |
2,2 |
1,5 |
1,9 |
2,5 |
2,9 |
3,0 |
||||||||||||||||||
|
Slovēnija (SI) |
3,5 |
4,6 |
3,8 |
5,2 |
4,6 |
6,2 |
3,4 |
5,5 |
3,5 |
3,1 |
||||||||||||||||||
|
Turcija (TR) |
7,0 |
7,5 |
3,1 |
-4,7 |
7,2 |
5,6 |
6,4 |
7,8 |
8,3 |
-1,9 |
||||||||||||||||||
|
Kandidātvalstis – 13(2) |
5,0 |
4,7 |
2,9 |
0,0 |
5,2 |
5,4 |
5,1 |
5,1 |
5,1 |
1,5 |
||||||||||||||||||
|
ES–15 |
1,6 |
2,5 |
2,9 |
2,5 |
3,3 |
3,4 |
3,7 |
3,3 |
2,9 |
2,5 |
||||||||||||||||||
1 Pašreiz precizēts uz 8,3%
2 Valstis, kuras iesniegušas informāciju Eiropas Savienības Statistikas birojā
Lai novērtētu valsts sasniegto attīstības līmeni, ir jāsalīdzina iekšzemes kopprodukta apjoms uz vienu iedzīvotāju. Šādiem salīdzinājumiem katras valsts iekšzemes kopprodukts tiek pārrēķināts atbilstoši pirktspējas paritātes standartiem, novērtējot to vienotā valūtā un novēršot arī dažādo cenu līmeņu ietekmi. Šo aprēķinu rezultāti publicēti 2.tabulā.
†2.tabula
IKP uz vienu iedzīvotāju pēc pirktspējas paritātes standartiem
|
PPS-eiro . |
ES-15 = 100 . |
||||||||||||||
|
1996 |
1997 |
1998 |
1999 |
2000 |
1996 |
1997 |
1998 |
1999 |
2000 |
||||||
|
Bulgārija (BG) |
4 600 |
4 400 |
4 700 |
4 900 |
5 400 |
25 |
23 |
23 |
23 |
24 |
|||||
|
Kipra (CY) |
14 700 |
15 400 |
16 300 |
17 500 |
18 500 |
80 |
79 |
80 |
82 |
82 |
|||||
|
Čehija (CZ) |
12 000 |
12 300 |
12 200 |
12 700 |
13 500 |
65 |
63 |
60 |
60 |
60 |
|||||
|
Igaunija (EE) |
6 100 |
7 000 |
7 600 |
7 800 |
8 500 |
33 |
36 |
37 |
37 |
38 |
|||||
|
Ungārija (HU) |
8 600 |
9 300 |
10 000 |
10 700 |
11 700 |
47 |
48 |
49 |
51 |
52 |
|||||
|
Latvija (LV) |
4 700 |
5 300 |
5 600 |
5 900 |
6 600 |
25 |
27 |
28 |
28 |
29 |
|||||
|
Lietuva (LT) |
5 300 |
5 900 |
6 300 |
6 200 |
6 600 |
29 |
30 |
31 |
29 |
29 |
|||||
|
Malta (MT) |
9 400 |
10 100 |
10 500 |
11 100 |
11 900 |
51 |
52 |
52 |
52 |
53 |
|||||
|
Polija (PL) |
6 600 |
7 300 |
7 700 |
8 200 |
8 700 |
36 |
37 |
38 |
39 |
39 |
|||||
|
Rumānija (RO) |
6 100 |
5 900 |
5 800 |
5 800 |
6 000 |
33 |
31 |
28 |
27 |
27 |
|||||
|
Slovākija (SK) |
8 500 |
9 300 |
9 800 |
10 300 |
10 800 |
46 |
48 |
49 |
48 |
48 |
|||||
|
Slovēnija (SI) |
12 200 |
13 200 |
13 900 |
15 000 |
16 100 |
66 |
68 |
69 |
70 |
71 |
|||||
|
Turcija (TR) |
5 500 |
6 200 |
6 300 |
6 100 |
6 400 |
30 |
32 |
31 |
29 |
29 |
|||||
|
Kandidātvalstis-13 |
6 600 |
7 100 |
7 300 |
7 500 |
7 900 |
36 |
36 |
36 |
35 |
35 |
|||||
|
ES-15 |
18 500 |
19 400 |
20 300 |
21 200 |
22 500 |
100 |
100 |
100 |
100 |
100 |
|||||
Tomēr jāatzīmē, ka mūsu valsts iekšzemes kopprodukta apjoms uz vienu iedzīvotāju joprojām atpaliek no attīstīto valstu līmeņa. 2000.gadā tas bija tikai 29% no Eiropas Savienības dalībvalstu vidējā līmeņa un 84% no kandidātvalstu vidējā rādītāja.
Publikācijā izmantota informācija no Eiropas Savienības Statistikas biroja izdevuma “Statistics in focus”, Economy and Finance, Theme 2 – 35/2001, National Accounts. Adrese internetā: www.europa.en.int/comm/eurostat
Centrālās statistikas pārvaldes
Makroekonomiskās statistikas departaments