
Valsts veterinārais dienests
Rīkojums Nr.58 2001. gada 7. martā
Par veselības sertifikātu zvejas un akvakultūras produktu eksportam uz Igaunijas Republiku
Pamatojoties uz Igaunijas Republikas veterinārajām prasībām par zvejas un akvakultūras produktu ievešanas kārtību Igaunijā, nosaku:
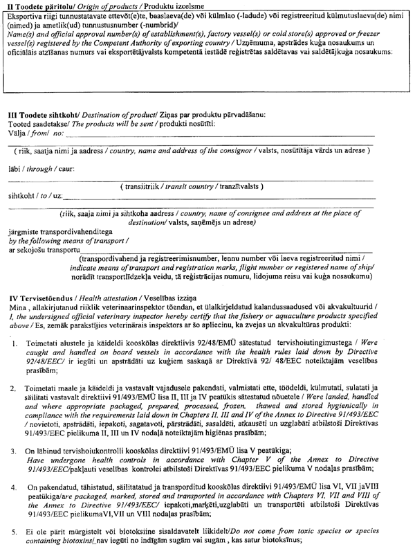
1. Sākot ar 2001. gada 12. martu, zvejas un akvakultūras produktu eksportam uz Igaunijas Republiku, izsniegt pielikumā noteiktās formas veselības sertifikātu.
2. Minēto sertifikātu izsniegt uzņēmumiem, kas iekļauti Valsts veterinārā dienesta reģistrēto uzņēmumu sarakstā.
3. Atcelt Valsts veterinārā dienesta 2000. gada 25. augusta rīkojumu Nr.95 par veterināro sertifikātu zvejas produktu izvešanai uz Igaunijas Republiku.
4. Rīkojumu publicēt laikrakstā "Latvijas Vēstnesis".
5. Kontroli pār rīkojuma izpildi uzdodu Valsts veterinārā dienesta Importa un eksporta daļas vadītājam M.Blauam.
Valsts veterinārā dienesta direktors V.Veldre
Pielikums