
Valsts veterinārais dienests
Rīkojums Nr. 39 2001. gada 22. februārī
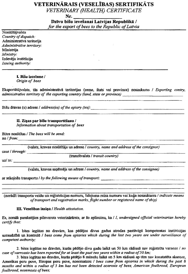
Par veterinārajiem (veselības) sertifikātiem "Cilvēku patēriņam paredzētu biškopības produktu ievešanai Latvijas Republikā", "Biškopības produktu, kā bišu barības, ievešanai Latvijas Republikā" un "Dzīvu bišu ievešanai Latvijas Republikā"
1. Pamatojoties uz likuma "Par veterinārmedicīnu" 22. panta pirmo daļu, nosaku:
1.1. sanitārajiem robežinspektoriem (veterinārārstiem) nodrošināt, lai turpmāk Latvijas Republikā medus, biškopības produkti un dzīvas bites tiktu ievestas ar rīkojuma 1., 2. un 3. pielikumā minētajiem sertifikātiem;
1.2. rajonu (pilsētas) veterināro pārvalžu priekšniekiem informēt pilnvarotos veterinārārstus par augstākminētajiem sertifikātiem.
2. Ar šo tiek atceltas "Latvijas Republikas Valsts veterinārā departamenta prasības medus, vaska šūnu, bišu indes u.c. biškopības produktu eksportētājai valstij".
3. Rīkojumu publicēt laikrakstā "Latvijas Vēstnesis".
4. Rīkojums stājas spēkā 2001. gada 8. martā.
5. Kontroli pār rīkojuma izpildi uzdodu Importa un eksporta daļas vadītājam M.Blauam.
Valsts veterinārā dienesta direktors V.Veldre
1.pielikums
2.pielikums