
Valsts veterinārā dienesta rīkojums Nr.48
2001.gada 26.februārī
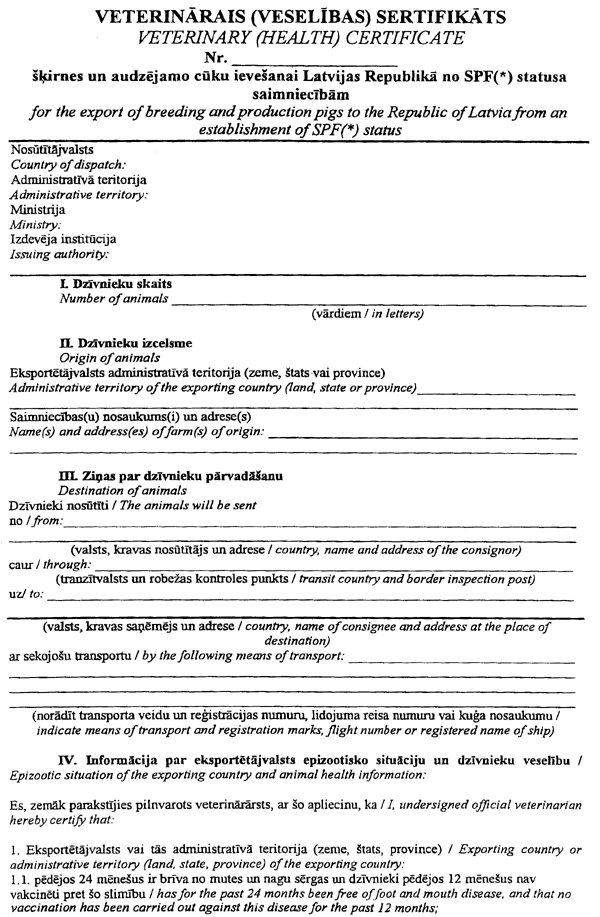
Par veterināro (veselības) sertifikātu "Šķirnes un audzējamo cūku ievešanai Latvijas Republikā no SPF statusa saimniecībām"
Pamatojoties uz likuma "Par veterinārmedicīnu" 22.panta 1.punktu, nosaku:
1. Sākot no 2001.gada 1.marta Latvijas Republikā šķirnes un audzējamās cūkas no SPF statusa saimniecībām atļauts ievest ar eksportētājvalsts pilnvarotās institūcijas izdotu noteikta parauga veterināro sertifikātu "Šķirnes un audzējamo cūku ievešanai Latvijas Republikā no SPF statusa saimniecībām".
2. Rīkojumu publicēt laikrakstā "Latvijas Vēstnesis".
3. Rīkojums stājas spēkā 2001.gada 1.martā.
4. Kontroli pār rīkojuma izpildi uzdodu Importa un eksporta daļas vadītājam M.Blauam.
Valsts veterinārā dienesta direktors V.Veldre
Pielikums