
MINISTRIJĀS
Latvijas kultūraina ceļā uz jauno gadu tūkstoti
Par nozīmīgu kultūras dzīves krustpunktu šovasar kļūs XXII Vispārējie latviešu dziesmu svētki un XII Deju svētki, ko ievadīs tautas lietišķās mākslas izstādes atklāšana 28.jūnijā, dziesmu kari 29. un 30. jūnijā un vainagos noslēguma koncerts Mežaparkā 5.jūlijā. Taču jau dažas dienas pirms tam Latvijai būs iespēja apliecināt pasaulei savas kultūras kvalitātes: Līgovakarā Smitsonu Institūta rīkotā tautu dzīves festivāla programmā paredzēta Baltijas valstu diena, kurā piedalīsies arī daudzi Latvijas folkloras ansambļi un mākslinieki, bet 24.jūnijā būs Latvijas diena vispasaules izstādē Expo–98, kas šogad notiek Portugāles galvaspilsētā Lisabonā.
Par kultūras politikas stratēģiskajiem mērķiem 1998.gadā un tālākā perspektīvā kultūras ministre Ramona Umblija informēja žurnālistus iknedēļas preses konferencē 13.janvārī .
Kā galvenie tiek izvirzīti uzdevumi nodrošināt mākslas jaunrades, kultūras izglītības un menedžmenta attīstību, kultūras mantojuma saglabāšanu un kultūras teorijas izstrādi atbilstoši jaunajai dzīves kvalitātei, izstrādāt nepieciešamos likumdošanas aktus un kontrolēt to izpildi, kā arī pilnveidot un precizēt valsts finansējuma struktūru kultūras programmās, ilgtspējīgos projektos un kultūras ministrijas 1999.gada budžetā. Īpaši tiks gādāts par infrastruktūras sakārtošanu, lai tās uzturēšanai nebūtu jātērē līdzekļi, kas nepieciešami pašai kultūras funkcijai.
Ar šo gadu tiek veidots pilnīgi citāds teātru finansēšanas modelis. Liepājas teātris jau pārgājis pilsētas pašvaldības pārziņā. Notikusi darba vizīte Daugavpilī, kur ar pilsētas un rajona pašvaldību vadītājiem un teātra ļaudīm ievadītas sarunas par iespējamo Daugavpils teātra pāriešanu pašvaldības pārziņā. Kā atgādināja ministre, Liepāju ar tās brīvo ekonomisko zonu nevar salīdzināt ar Daugavpili, kas atrodas depresīvā zonā, tāpēc pieejai jābūt atšķirīgai. Taču pamatprasības ir un paliek vienas: pašiniciatīva un atbildība visos līmeņos.
Par valsts un pašvaldību savstarpējo atbildību un pienākumiem tiks runāts 29.janvārī Vāgnera zālē, kur dažādu kultūras iestāžu un institūciju pārstāvji tiksies ar jaunievēlētajiem rajonu padomju vadītājiem. Ministre īpaši uzsvēra, ka teātra pāreja pašvaldības pārziņā nebūt nenozīmē māksliniecisko kritēriju pazemināšanos. Tā ir tikai teritoriālās piederības fiksācija. Tiek slēgts trīspusējs līgums starp Kultūras ministriju, pašvaldību un pašu teātri. Ministrija piedalās finansēšanā ar valsts pasūtījuma starpniecību, bet par māksliniecisko līmeni atbild pats teātris. To palīdzēs uzturēt arī jaunais valsts pasūtījums, kas paredz dot profesionālu vērtējumu visiem dramatisko teātru jauniestudējumiem.
Atzīstot, ka kultūra veido vislabāko augsni sadarbībai, mākslas programma tiek gatavota arī Baltijas jūras valstu padomes valdību vadītāju sanāksmei, kas Rīgā notiks 22. un 23.janvārī. Nacionālajā operā notiks klasiskās mūzikas koncerts, kurā skanēs arī Emīla Dārziņa “Melanholiskais valsis”. Latvijas kultūru tāpat reprezentēs sanāksmes dalībniekiem paredzētās dāvanas. Ramona Umblija: “Ko nevar atļauties lielās valstis, to var atļauties Latvija. Mēs atļausimies visiem vienpadsmit valdību vadītājiem uzdāvināt profesionāla mākslinieka oriģināldarbus. Tas būs Ingūnas Skujas porcelāns. Pārējie viesi saņems kompaktdiskus ar Egīla Siliņa, Ineses Galantes, Doma zēnu kora, vijoļkoncerta un operas kora ierakstiem un Rīgas 800 gadu jubilejas monētas.”
2000.gadā, kas ievadīs jauno gadu tūkstoti un būs liels notikums un pārdzīvojums visai cilvēcei, Rīgā paredzēta augsta līmeņa NATO apspriede un citi pasākumi, bet 2001.gadā Rīga svinēs savu 800 gadu jubileju un te oficiāli tiks atklātas Eiropas Kultūras mantojuma dienas. Iecerēta arī plaša starptautiska konference ar visu Eiropas Savienības dalībvalstu un kandidātvalstu kultūras ministru piedalīšanos.
Pie visiem šiem vērienīgajiem pasākumiem būs jādomā arī, lemjot par kultūras finansējumu. Katrs solis pretim Eiropai un pasaulei prasa gan darbu, gan līdzekļus. Visi priecājamies par Rīgas vēsturiskā centra iekļaušanu UNESCO Mantojuma sarakstā, bet tas uzliek arī jaunus pienākumus. Jāizdara visa vēsturiskā centra inventarizācija, katram namam dodot detalizētu vērtējumu, kas pilnīgi atspoguļotu tā vēsturisko vērtību un konkrēto stāvokli.
Nopietnu darbu prasa arī prioritāšu noteikšana: ar kuriem reģioniem un kurām valstīm būtu jāattīsta kultūras sadarbība, un kurām kultūras jomām mēs varētu būt interesanti sadarbības partneriem un kuras jomas visvairāk interesētu mūs.
Lai sekmīgi vadītu kultūras darbu valstī, attīstītu kultūrau novados un ar kultūras sasniegumiem varētu godam nest Latvijas vārdu pasaulē, Kultūras ministrija par savu stratēģisko mērķi 1998.gadā izvirza atbilstošu likumdošanas aktu un dokumentu izstrādi un to izpildes kontroli.
Nauda kultūrai — kur to ņemsim, kā izlietosim
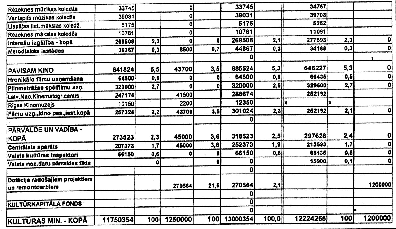
Kultūras ministrijas iknedēļas preses konferencē 20. janvārī žurnālisti tika iepazīstināti ar ministrijas šā gada budžetu un nākamā gada budžeta veidošanas principiem. Kā norādīts presei sagatavotajā ziņojumā, likumā par valsts budžetu fiksēts 1998. gada Kultūras ministrijas budžets 14 813 265 latu apmērā. Pamatvilcienos saglabājies 1997. gada budžeta apjoms, kuram klāt nācis Finansu ministrijas noteiktais budžeta palielinājums — 3%. Kopējā valsts budžetā KM 1998. gada budžeta daļa sastāda 1,8%.
Pēc KM speciālistu vērtējuma 1998. gada budžets kultūrai ir izdzīvošanas budžets. Kultūras ministrijas mērķprogrammu (Kultūra, Izglītība, Kino, Kultūras lietu pārvalde un vadība) finansējums nav pietiekams kultūras jomu attīstībai.
Galvenās problēmas ir šādas:
— KM budžetā trūkst līdzekļu nekustamā īpašuma apsaimniekošanai. Kultūras ministrijas līdzšinējais speciālais budžets tika virzīts lielākoties celtniecībai, kultūras iestāžu remontiem, restaurācijai. 1998. gadā KM budžetā vairs nav sadaļas “speciālais budžets”, visi līdzšinējie speciālā budžeta līdzekļi tiek ieskaitīti Kultūrkapitāla fondā, t.i., novirzīti radošā procesa finansēšanai un kultūras mantojuma un tautas daiļrades iesaistīšanai mūsdienīgā kultūrapritē;
— KM budžetā trūkst līdzekļu profesionālās kultūras norišu finansējumam Latvijas novados, tāpēc finansiālā atbildība par Latvijas novadu kultūras dzīvi joprojām jāuzņemas pašvaldībām;
— KM budžetā neiezīmējas līdzekļi starptautisko kultūras sakaru nodrošināšanai, trūkst prioritāšu starptautiskās kultūras sadarbības veidošanas jomā.
Kultūras ministrija uzskata, ka, plānojot 1999. gada budžetu, jāizdara kardināli grozījumi Finansu ministrijas piedāvātajā budžeta struktūrā. KM jau veido vairākas jaunas budžeta mērķprogrammas un programmas. Svarīgākās no tām ir nekustamā īpašuma apsaimniekošanas un novadu kultūras atbalsta mērķprogrammas un starptautisko kultūras sakaru finansējuma programma.
Principiālas izmaiņas kultūras finansējuma struktūrā tiks ieviestas jau šajā gadā, kad sāks darboties bezpeļņas organizācija valsts akciju sabiedrība “Kultūrkapitāla fonds (KKF)”. Tas būtiski mainīs kultūras finansējuma struktūru un metodoloģiju, jo viena no valsts funkcijām — budžeta līdzekļu sadale — daļēji tiek deleģēta šim fondam, kurš saskaņā ar “Likumu par bezpeļņas organizācijām”, “Likumu par akciju sabiedrībām” un citiem LR likumiem un saviem statūtiem darbosies neatkarīgi no ministrijas un citām valsts institūcijām. Tādējādi tiks veicināta līdzsvarota visu kultūras un mākslas nozaru jaunrades attīstība un kultūras mantojuma saglabāšana un iesaistīšana apritē.
1998. gada KKF līdzekļus veidos līdzšinējais KM speciālais budžets, t.i., 50 procenti no valsts ienākumiem no izlozes un azartspēļu nodevas un nodokļa (apm. 1 milj. 200 tūkst. latu).
Ar 1999. gadu, pamatojoties uz KKF likumu, līdzās izložu un azartspēļu nodokļu un nodevu daļai ik gadu KKF tiks ieskaitīti 2 milj. Ls no valsts pamatbudžeta. KKF papildinās arī paša fonda uzņēmējdarbības rezultātā iegūtie līdzekļi.
KKF līdzekļus kultūras projektiem sadalīs literatūras, mūzikas, teātra, filmu mākslas, vizuālās mākslas, kultūras mantojuma un tradicionālās kultūras nozaru padomes. Tās veidos attiecīgās kultūras nozares eksperti. Fonda līdzekļus sadalīs divas līdz četras reizes gadā.
Pēc Saeimas deputātu iniciatīvas top likumprojekts par valsts kultūras institūcijām. Pašlaik to gatavo otrajam lasījumam. Līdz 1. februārim Saeimas Izglītības, kultūras un zinātnes komisijā var iesniegt priekšlikumus, papildinājumus un grozījumus.
KM gatavo konceptuālu grozījumu paketi iesniegšanai Saeimas komisijā. Tajā līdztekus valsts kultūras institūcijām ir runa par pašvaldību, privātajām un sabiedriskajām kultūras institūcijām. KM ierosina mainīt arī nosaukumu, jo tam jābūt likumam par kultūras institūcijām. Jaunajam likumam jānosaka gan valsts, gan pašvaldību atbildība attiecībā uz visu četru līmeņu (valsts, pašvaldību, privātās un sabiedriskās) kultūras institūcijām.
Jaunās iezīmes kultūras finansējuma veidošanā raksturoja ministre Ramona Umblija. Pagājušajā gadā kultūras finansējuma īpatsvars valsts budžetā bija 2,1 procents. Šogad tas faktiski ir tāds pats, jo pašlaik fiksētajiem 1,8 procentiem nāks klāt līdzekļi no Kultūrkapitāla fonda. Nekur citur pasaulē procentuāli tik liels finansējums no valsts budžeta kultūrai netiek atvēlēts. Taču visur kultūra saņem prāvu finansējumu no pašvaldībām. Turklāt pašvaldības dod līdzekļus ne tik daudz tautas jeb amatiermākslas, cik profesionālās mākslas attīstībai un veicināšanai.
Jāņem vērā, ka reāli pastāv valsts, pašvaldību, sabiedriskās un privātās kultūras institūcijas, un attiecīgi jādažādo arī to finansēšana. No valsts budžeta kultūra var saņemt naudu kā valsts dotāciju, valsts pasūtījumu vai valsts finansējumu konkursa kārtībā. Ikviena kultūras institūcija var piedalīties arī starptautiskos konkursos, pretendējot uz paredzētajām prēmijām vai pasūtījumiem.
Plānojot 1999. gada budžetu, vislielākā uzmanība tiks pievērsta novadu kultūras atbalsta programmām, sekmējot gan pārvaldes, gan finansējuma decentralizāciju. Ar valsts pasūtījumu palīdzību jāveicina profesionālās mākslas attīstība visā Latvijā, lai visiem cilvēkiem neatkarīgi no dzīvesvietas būtu iespējas gan pašiem nodoties jaunradei, gan baudīt augstvērtīgu profesionālo mākslu. Kultūras ministrija cer uz papildlīdzekļiem starptautisko sakaru attīstībai. Sagatavota vesela virkne līgumu, kas paredz kultūras kontaktu paplašināšanu, taču ikviena šāda līguma izpilde saistīta arī ar finansēm.
Tādās valstīs kā Grieķija un Ēģipte kultūras tūrisms kļuvis par galveno eksportpreci. Arī Latvijā pēdējos gados tiek daudz runāts par kultūras tūrisma attīstību, taču topošajā tūrisma likumā tam veltītā sadaļa ir visai niecīga.
Finansu problēmas apsprieduši arī kultūras ministri no visām Eiropas Savienības dalībvalstīm un asociētajām valstīm, kas piedalījušies Stokholmas kā 1998. gada Eiropas kultūras galvaspilsētas atklāšanas svinībās. Ramonas Umblijas secinājums pēc iepazīšanās ar citu valstu pieredzi ir optimistisks: Latvijas kultūras dzīve ir ļoti intensīva un piesātināta, sekmīgi uzsākts līdzekļu decentralizācijas un kultūras demokratizācijas process.
Tagad Stokholma Eiropas kultūras krustpunktā
Ramona Umblija stāstīja par svinībām Stokholmā, kas 17.janvārī oficiāli tika paziņota par Eiropas kultūras galvaspilsētu. Pilsētas rātsnamā svētku atklāšanas sarīkojumā ap tūkstoš viesu noskatījušies ārkārtīgi daudzveidīgu programmu. “Tajā bija viss, sākot ar klasisko, akadēmisko baletu un simfonisko mūziku un beidzot ar avangarda mākslu un plastiskiem ķermeņa vingrinājumiem.” Sarīkojums noritējis demokrātiskā gaisotnē un ildzis sešarpus stundas.
Svētdien speciāls koncerts noticis karaļnamā. Runu teicis tikai karalis. Koncertu ievadījusi klasiskā mūzika, bet pēc tam parādīts mūzikls par zelta meklētājiem Amerikā.
Šī gada laikā Zviedrijas galvaspilsētā notiks vairāk nekā tūkstoš kultūras pasākumu. Atklāšanas svinībās pieteikti dažādi projekti. Viens no tiem — “Ainava X”. To ievada sadaļa “Pārmaiņas kartē”, kurā uzsvērts, ka starp Balkāniem un Baltijas jūru radies lielas enerģijas lauks, jaunas kultūras lauks. Par galveno ļaunumu Eiropas politizētajā kultūrā kļuvis nacionālisms un šovinisms. Šis projekts prezentēts Nacionālā arhīva telpās netālu no Karaļa pils. Slovēnijas, Serbijas, Horvātijas un Vācijas kinoamatieri rādījuši videokadrus, spēlējuši ebreju mūziķi. Milzīgu emocionālu spriedzi radījuši Belgradā filmētie tuvplāni no policistu konfrontācijas ar neapbruņotu cilvēku masu. Vislielākā sasprindzinājuma brīdī — no pūļa iznāk pusaudzes meitenes un katrai rokā pa ziedam. Līdz zobiem apbruņotie policisti apjukumā nezina, kur trauslo ziedu likt. Un atkal nesaudzīgs tuvplāns: bargais vīrs bāž lilijas ziedu ieroču somā, viena ziedlapiņa notrūkst un tā arī paliek — balta un sastingusi.
Ministre atvedusi arī avīzīti, kas reizi mēnesī informēs lasītājus par aktualitātēm kultūras gada ritumā. Kā var spriest no šīs avīzes un kā liecinot visa iecerētā kultūras programma, šis Zviedrijā būs arī bērnu gads — Eiropas kultūras gads bērniem un jauniešiem. Visi Zviedrijas novadi rādīs, kā tiek gādāts par bērniem un jaunatni.
Aina Rozeniece,
“LV” nozares redaktore