
Par brīvajiem dzīvokļiem izsolēs: to vietu un pieprasījumu
Dzīvojamo māju privatizācijas gaitai sekojot
Dzīvojamo māju vispārējā privatizācija pavērusi ceļu arī brīvo dzīvokļu un neapdzīvojamo telpu tirgum — tos iespējams pārdot izsolēs. Latvijā šis process sākās pagājušā gada otrajā pusē. Pirmā šāda veida izsole notika pērā gada augustā. Raksturojot šo procesu, Centrālās dzīvojamo māju privatizācijas komisijas priekšsēdētāja vietniece Īrisa Simanoviča stāsta:
— Šobrīd Latvijā izsolēs pārdoti vairāk nekā 10 dzīvokļi. Šeit gan nav ieskaitīti tie, kurus par sertifikātiem izpirkuši zemes īpašnieki: saskaņā ar likumu “Par valsts un pašvaldību dzīvojamo māju privatizāciju” brīvais dzīvoklis vispārējā kārtā privatizētā mājā vispirms tiek piedāvāts zemes īpašniekam un līdz izsolei nemaz nenonāk. Pirmās izsolē piedalās fiziskās personas, kam ir dažādas priekšrocības, pēc tam, tie kam pieder īpašuma kompensācijas sertifikāti un tikai tad — jebkura fiziskā un juridiskā persona ar jebkura veida sertifikātiem. Ja objektiem nav pircēju, izsoles tiek rīkotas atkārtoti. Galvenokārt tā notiek mazos nomaļos pagastos. Analizējot datus par izsolēm, redzams, ka līdz trešajai izsoles kārtai nonākuši trīs brīvie dzīvokļi. Tie bija labiekārtotās mājās vienā no Latvijas pagastu centriem Alūksnes rajonā. Neviens īpašu interesi par šiem dzīvokļiem neizrādīja, un izsoles trešajā kārtā, kad dzīvokļus izsolē varēja pirkt jebkura persona par jebkura veida sertifikātiem, tos nopirka viens no privatizācijas komisijas locekļiem. Tad vietējie iedzīvotāji izrādīja neapmierinātību — ar kādām tiesībām, kādēļ? Taču šis cilvēks beigu beigās bija vienīgais privatizētājs, un viņam bija šādas tiesības. Tas liecina, ka iedzīvotāji pie šī privatizēšanas veida vēl nav pieraduši, nav aptvēruši, kā jārīkojas. Izsoles dažādās vietās norit ar dažādu aktivitāti, un attiecīgi arī pirkuma cenas ir ļoti atšķirīgas. Taču ir arī izsoles, kurās galīgā pirkuma cena, salīdzinot ar sākumcenu, vairākkārt pieaugusi. Vislielākā konkurence uz brīvajiem dzīvokļiem bijusi Liepājā. Atsevišķs gadījums bija Valmierā — vienā no dzīvojamām mājām pilsētas centrā, kura tika nodota vispārējā privatizācijā, atbrīvojās divistabu dzīvoklis. Tas nonāca izsolē par sertifikātiem un tika nosolīts par 1500 sertifikātiem. Tāda apmēram arī ir šāda dzīvokļa reālā cena. Tātad viss ir atkarīgs no objekta atrašanās vietas un pieprasījuma. Dzīvokļu izsolēs gadījies arī, ka dalībnieki solīšanas karstumā aizrāvušies tiktāl, ka beigās izrādās — viņiem nemaz nav tik daudz sertifikātu, vai arī viņi nevēlas augsto galīgo cenu maksāt. Tad izsoli nākas atkārtot. Centrālajā dzīvojamo māju komisijā tiek domāts par to, ka dzīvokļu izsolēs jāievieš stingrāki noteikumi, varbūt pat paredzot drošības naudu, lai cilvēki tajās nepiedalītos, vieglprātīgas intereses vadīti.
Ī.Simanoviča pastāstīja, ka līdz šim notikušas arī četras izsoles uz brīvajām dzīvojamām mājām Liepājā, Limbažu, Tukuma un Rīgas rajonā.
Iespējams, ka turpmāk izsolēs nododamo dzīvokļu skaits pat samazināsies, jo saskaņā ar grozījumiem likumā “Par valsts un pašvaldību dzīvojamo māju privatizāciju” stājušās spēkā mantojuma tiesības — ja dzīvokļa īrnieks iesniedzis pieteikumu par dzīvokļa privatizāciju, tad par dzīvokļa īpašniekiem var kļūt viņa mantinieki.
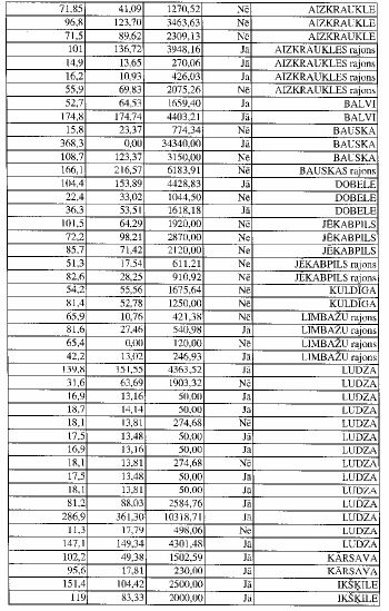
Salīdzinoši daudz — vairāk nekā trīsdesmit — bijis neapdzīvojamo telpu izsoļu. Šeit jāņem vērā tas, ka izsoles cenā tiek ieklauti nomnieka ieguldījums mājas tehniskā stāvokļa uzlabošanā. Līdz šim visdārgāk neapdzīvojamās telpas izsolē pārdotas Rīgā un Liepājā. Daudzas neapdzīvojamās telpas izsolītas Ludzā.
“LV” informācija
Par publiskajās izsolēs un izpirkuma kārtībā privatizētajām telpām
CDzMPK informācija