
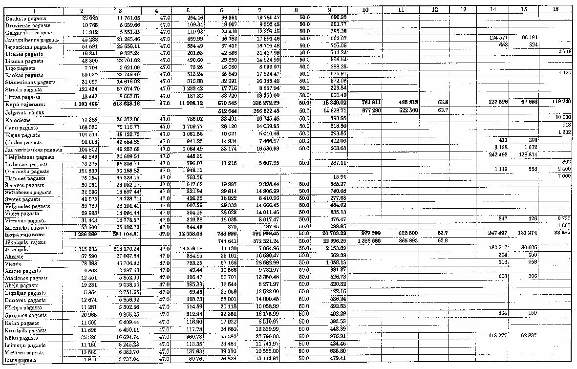
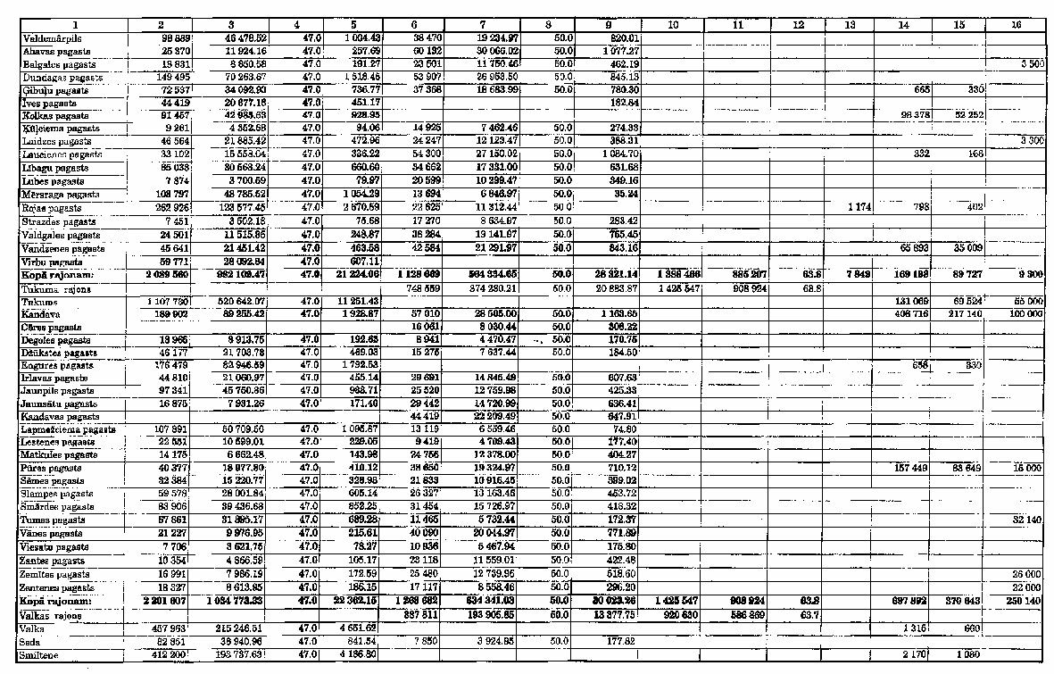
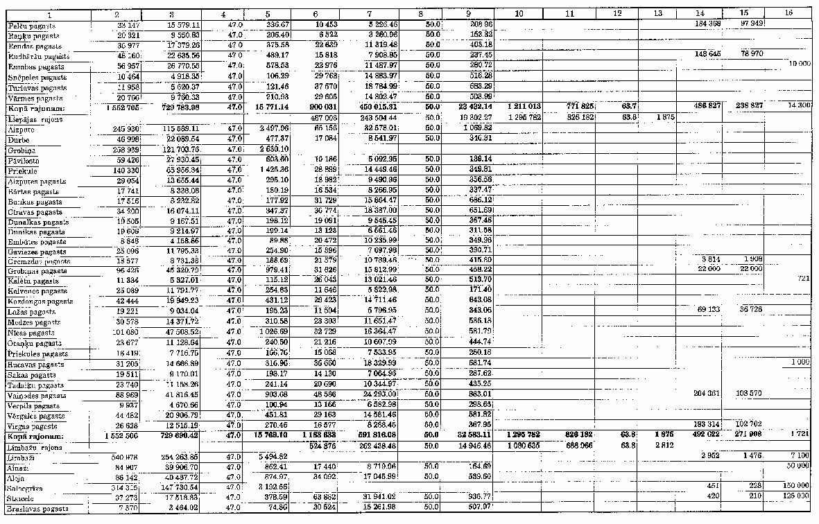
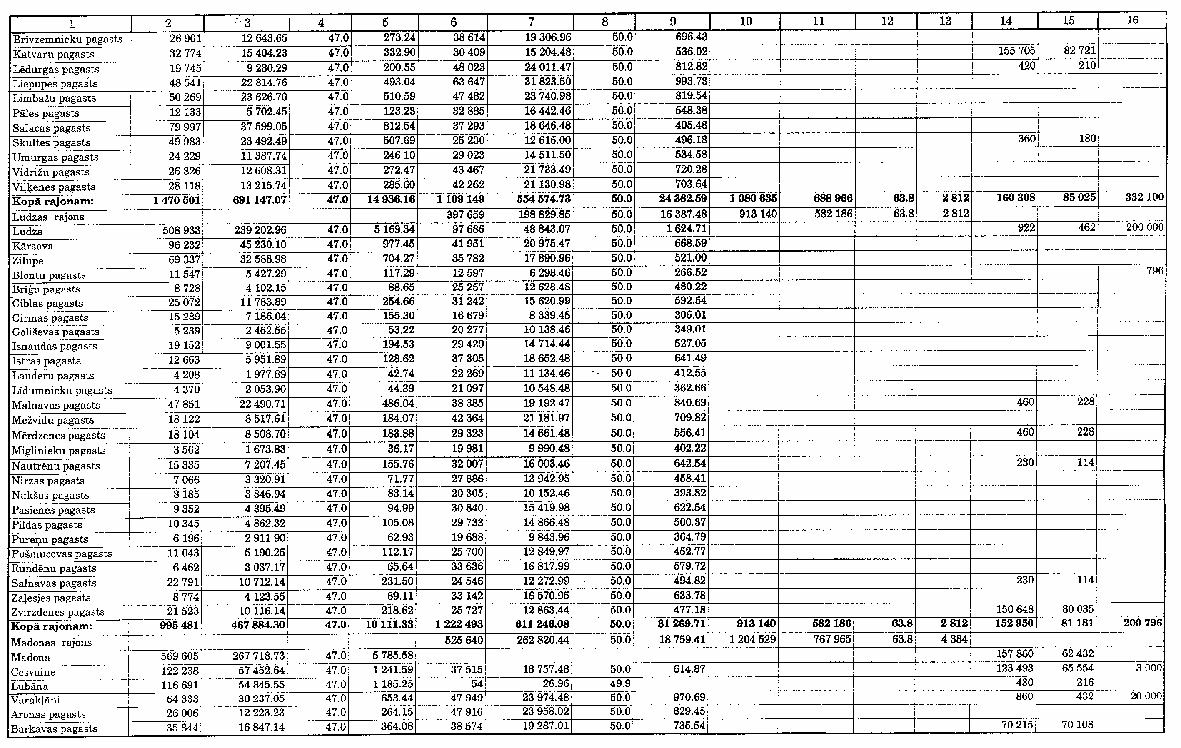
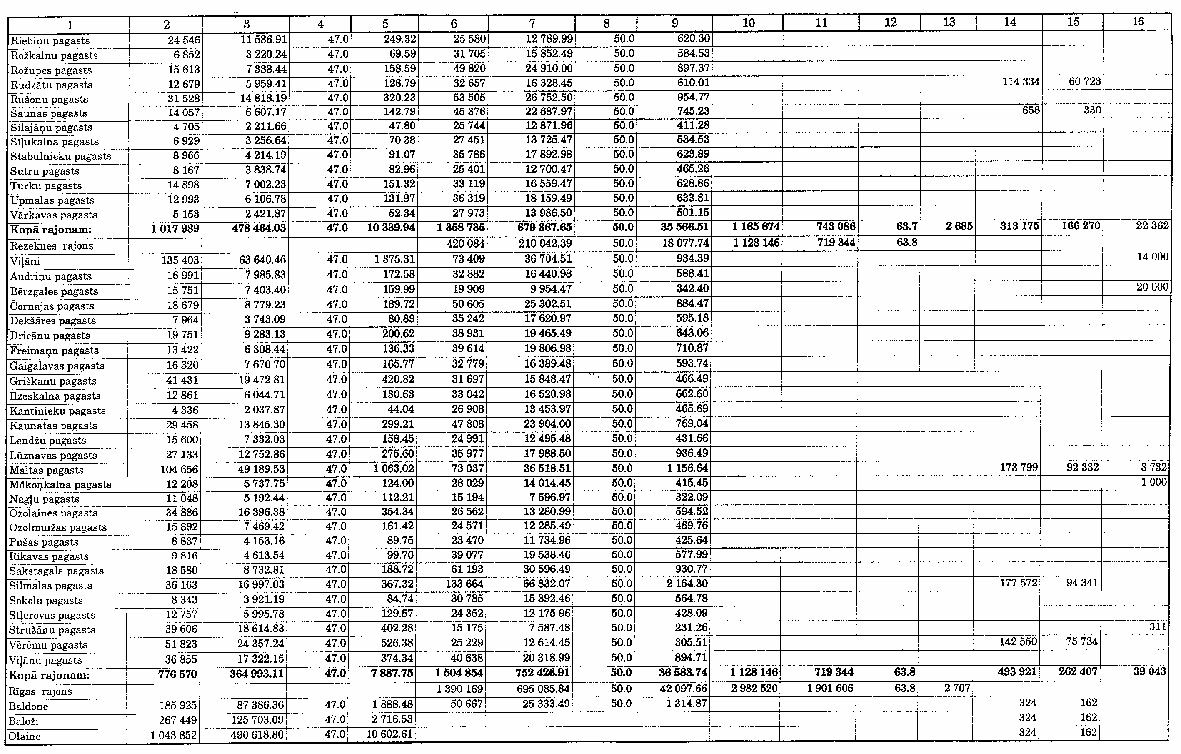
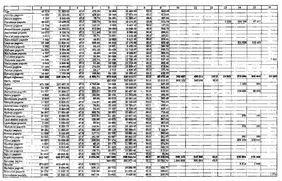
Par 1997.gadā pašvaldībām veiktajiem pārskaitījumiem no Valsts kases sadales kontiem
Uz 1997.gada 1.jūliju
Saeima Saeimas priekšsēdētājs Valsts prezidents Ministru kabinets Ministru prezidents Satversmes tiesa
Centrālā vēlēšanu komisija Centrālā statistikas pārvalde Finanšu un kapitāla tirgus komisija u.c.
Likumi Lēmumi u.c.
Paziņojumi
Rīkojumi Paziņojumi u.c.
Noteikumi Rīkojumi u.c.
Rīkojumi
Lēmumi Spriedumi u.c.
Rīkojumi Pavēles
Rīkojumi Informācija
Rīkojumi Informācija
Informācija
Rīkojumi
Rīkojumi
Rīkojumi Paziņojumi
Rīkojumi Informācija
Rīkojumi Informācija
Rīkojumi Ieteikumi u.c.
Rīkojumi Lēmumi u.c.
Rīkojumi Lēmumi u.c.
Rīkojumi Instrukcijas u.c.
Informācija Vispārīgie administratīvie akti
Lēmumi Informācija
Lēmumi
Noteikumi Ieteikumi u.c.
Informācija
Lēmumi
Lēmumi
Noteikumi Informācija u.c.
Lēmumi
Noteikumi
Lēmumi
Paziņojumi
Noteikumi
Lēmumi
Rīkojumi Vispārīgie administratīvie akti
Rīkojumi Lēmumi
Rīkojumi
Informācija
Informācija
Lēmumi
Nolikumi
Lēmumi Ziņojumi
Lēmumi Informācija
Lēmumi
Informācija
Lēmumi Informācija
Rīkojumi Informācija
Lēmumi
Rīkojumi Lēmumi u.c.
Lēmumi Informācija
Rīkojumi Lēmumi Saistošie noteikumi u.c.
Lēmumi
Lēmumi Saistošie noteikumi u.c.
Lēmumi Saistošie noteikumi u.c.
Lēmumi Saistošie noteikumi u.c.
Lēmumi Saistošie noteikumi u.c.
Saistošie noteikumi Informācija
Lēmumi Saistošie noteikumi u.c.
Saistošie noteikumi
Lēmumi Saistošie noteikumi u.c.
Saistošie noteikumi
Lēmumi Saistošie noteikumi
Saistošie noteikumi
Lēmumi Saistošie noteikumi
Lēmumi Saistošie noteikumi
Lēmumi Saistošie noteikumi
Lēmumi Saistošie noteikumi
Saistošie noteikumi
Lēmumi Saistošie noteikumi
Lēmumi Saistošie noteikumi
Saistošie noteikumi
Lēmumi Saistošie noteikumi
Lēmumi Saistošie noteikumi
Lēmumi Saistošie noteikumi
Saistošie noteikumi
Saistošie noteikumi
Lēmumi Saistošie noteikumi
Lēmumi Saistošie noteikumi
Lēmumi Saistošie noteikumi
Lēmumi Saistošie noteikumi
Lēmumi Saistošie noteikumi
Lēmumi Saistošie noteikumi
Lēmumi Saistošie noteikumi
Lēmumi Saistošie noteikumi
Lēmumi Saistošie noteikumi
Lēmumi Saistošie noteikumi
Lēmumi Saistošie noteikumi
Lēmumi Saistošie noteikumi
Lēmumi Saistošie noteikumi
Lēmumi Saistošie noteikumi
Saistošie noteikumi
Lēmumi Saistošie noteikumi
Lēmumi Saistošie noteikumi
Lēmumi Saistošie noteikumi
Paziņojumi
|
RĪKI
Publikācijas atsauceATSAUCĒ IETVERT:
Par 1997.gadā pašvaldībām veiktajiem pārskaitījumiem no Valsts kases sadales kontiem. Publicēts oficiālajā laikrakstā "Latvijas Vēstnesis", 9.07.1997., Nr. 178 https://www.vestnesis.lv/ta/id/29981
Paraksts pārbaudītsNĀKAMAIS Ar Latviju Kanādā Vēl šajā numurā09.07.1997., Nr. 178 |

Uz 1997.gada 1.jūliju
Tiesību aktu un oficiālo paziņojumu oficiālā publikācija pieejama laikraksta "Latvijas Vēstnesis" drukas versijā.