
Finansu ministrijas informācija
1996. gada 25. martā
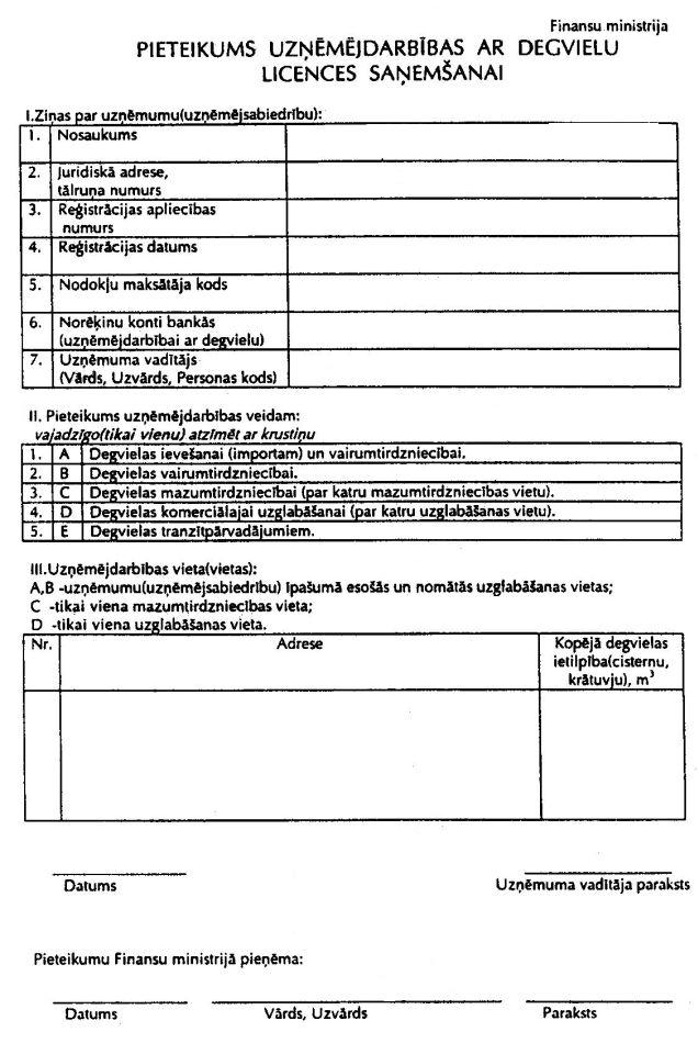
Par pieteikuma veidlapām uzņēmējdarbībai ar degvielu
Lai saņemtu licences uzņēmējdarbībai ar degvielu, nepieciešams aizpildīt un iesniegt pieteikuma un deklarāciju veidlapas Finansu ministrijas Nodokļu politikas departamenta Akcīzes nodokļa nodaļā 267. kabinetā. Pieteikuma iesniegšanas laiks saskaņojams pa tālruni 7222517.
Ministrijas valsts sekretāre V.Andrējeva
Akcīzes nodokļa nodaļas vadītājs M.Jurušs