
Dažādi sludinājumi
Paziņojums
Rīgas apgabaltiesas iecirkņa nr.35 zvērināta tiesu izpildītajā Edgara Mihailova prakses vieta turpmāk būs Blaumaņa ielā 5A-5, Rīgā, LV-1011.
Paziņojums par AS "RĪGAS SILTUMS" SC "Imanta" koģenerācijas stacijā saražotās siltumenerģijas un elektroenerģijas tarifu izmaiņu projekta iesniegšanu Sabiedrisko pakalpojumu regulēšanas komisijai
AS "RĪGAS SILTUMS" (vienotais reģistrācijas nr.40003286750, juridiskā adrese: Cēsu iela 3a, Rīga, LV-1012) 2011.gada 6.jūlijā Sabiedrisko pakalpojumu regulēšanas komisijai iesniedza SC "Imanta" koģenerācijas stacijas saražotās siltumenerģijas un elektroenerģijas tarifu izmaiņu projektu, kas ir aprēķināti saskaņā ar Sabiedriskās pakalpojumu regulēšanas komisijas 2011.gada 16.jūnija (prot. nr.20, 14.p.) pieņemto Sabiedrisko pakalpojumu regulēšanas komisijas padomes lēmumu nr.1/4 "Grozījumi Sabiedrisko pakalpojumu regulēšanas komisijas 2010.gada 11.jūnija lēmumā nr.1/10 "Koģenerācijas tarifu aprēķināšanas metodika"".
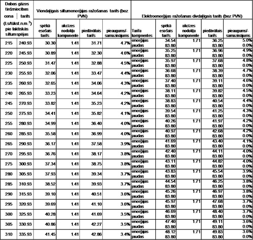
AS "RĪGAS SILTUMS" SC "Imanta" siltumenerģijas un elektroenerģijas ražošanas tarifi atkarībā no dabasgāzes tirdzniecības cenas (bez PVN), pieskaitot dabasgāzes akcīzes nodokļa komponentes
Piedāvātie SC "Imanta" tarifi atkarībā no dabasgāzes diferencētajiem tirdzniecības gala tarifiem pie dažādām dabasgāzes tirdzniecības cenām varētu stāties spēkā no 2011.gada 1.septembra.
Tarifu izmaiņas ir saistītas ar akcīzes nodokļa piemērošanu dabasgāzei, kuru kā kurināmo izmanto siltumenerģijas un elektroenerģijas ražošanai, no 2011.gada 1.jūlija.
Iepazīties ar tarifu projektā ietverto publiski pieejamo informāciju, kā arī sniegt savus priekšlikumus un ieteikumus par tarifu izmaiņu projektu lietotāji var AS "RĪGAS SILTUMS" Cēsu ielā 3a, Rīgā no pirmdienas līdz ceturtdienai no 7.30 līdz 16.00, piektdienās no 7.30 līdz 15.00, iepriekš sazinoties pa tālruni 67017359.
Priekšlikumus un iesniegumus par tarifu izmaiņu projektu rakstveidā vai elektroniski var iesniegt AS "RĪGAS SILTUMS" Cēsu ielā 3a, Rīgā (e-pasts: siltums@rs.lv, tālr. 67017359, fakss 67017363), kā arī Sabiedrisko pakalpojumu regulēšanas komisijai Rīgā, Brīvības ielā 55 (fakss 67097200, e-pasts: sprk@sprk.gov.lv, rakstveidā vai elektroniskā veidā), 20 dienu laikā pēc šī paziņojuma publicēšanas.