
ASSOCIATION BETWEEN THE EUROPEAN UNION AND LATVIA
The Association Council - UE-LV 858/02
of amending Protocol 3 to the Europe Agreement, concerning the definition of the concept of "originating products" and methods of administrative cooperation
THE ASSOCIATION COUNCIL,
Having regard to the Europe Agreement establishing an association between the European Communities and their Member States, of the one part, and the Republic of Latvia, of the other part 1, hereinafter referred to as "the Agreement", signed in Brussels on 12 June 1995, and in particular Article 38 of Protocol 3 thereof;
Whereas:
(1) Protocol 3 of the Agreement, concerning the definition of the concept of 'originating products' and methods of administrative cooperation, hereinafter referred to as 'the Protocol' has been amended several times. A consolidation of those amendments to the text of the Protocol therefore appears necessary for the sake of clarity and legal certainty of the rules of origin to be applied.
(2) Technical modifications of the processing rules are also required to take account of modifications to the Harmonized Commodity Description and Coding System ("Harmonized System") which took effect from 1 January 2002.
(3) Certain processing requirements for non-originating materials to obtain originating status need to be amended to take account of the lack of production of a certain material within the contracting parties and of the specific conditions in which some products ("monolithic integrated circuits") are to be obtained, implying limited processing operations outside the contracting parties.
(4) Some technical amendments are required in order to correct anomalies in and between the different language versions of the text.
(5) It is therefore appropriate, for the proper functioning of the Agreement and with a view to facilitate the work of users and customs administrations, to incorporate in a new text of the Protocol all the provisions in question.
(6) Joint Declarations concerning the Principality of Andorra, the Republic of San Marino and the review of the changes to the origin rules as a result of the amendments to the Harmonized System have to be maintained, together with the Protocol,
HAS DECIDED AS FOLLOWS:
Article 1
Protocol 3 of the Agreement, concerning the definition of the concept of 'originating products' and methods of administrative cooperation, shall be replaced by the text attached hereto, together with the relevant Joint Declarations.
Article 2
This Decision shall enter into force on the day of its adoption.
It is applicable from 1 January 2003.
____________________
1 OJ L 26, 2.2.1998, p.3.
PROTOCOL 3
CONCERNING THE DEFINITION OF THE CONCEPT OF "ORIGINATING
PRODUCTS" AND METHODS OF ADMINISTRATIVE COOPERATION
TABLE OF CONTENTS
|
TITLE I |
GENERAL PROVISIONS |
|
Article 1 |
Definitions |
|
TITLE II |
DEFINITION OF THE CONCEPT OF "ORIGINATING PRODUCTS" |
|
Article 2 |
General requirements |
|
Article 3 |
Cumulation in the Community |
|
Article 4 |
Cumulation in Latvia |
|
Article 5 |
Wholly obtained products |
|
Article 6 |
Sufficiently worked or processed products |
|
Article 7 |
Insufficient working or processing |
|
Article 8 |
Unit of qualification |
|
Article 9 |
Accessories, spare parts and tools |
|
Article 10 |
Sets |
|
Article 11 |
Neutral elements |
|
TITLE III |
TERRITORIAL REQUIREMENTS |
|
Article 12 |
Principle of territoriality |
|
Article 13 |
Direct transport |
|
Article 14 |
Exhibitions |
|
TITLE IV |
DRAWBACK OR EXEMPTION |
|
Article 15 |
Prohibition of drawback of, or exemption from, customs duties |
|
TITLE V |
PROOF OF ORIGIN |
|
Article 16 |
General requirements |
|
Article 17 |
Procedure for the issue of a movement certificate EUR.1 |
|
Article 18 |
Movement certificates EUR.1 issued retrospectively |
|
Article 19 |
Issue of a duplicate movement certificate EUR.1 |
|
Article 20 |
Issue of movement certificates EUR.1 on the basis of a proof of origin issued or made out previously |
|
Article 20a |
Accounting segregation |
|
Article 21 |
Conditions for making out an invoice declaration |
|
Article 22 |
Approved exporter |
|
Article 23 |
Validity of proof of origin |
|
Article 24 |
Submission of proof of origin |
|
Article 25 |
Importation by instalments |
|
Article 26 |
Exemptions from proof of origin |
|
Article 27 |
Supporting documents |
|
Article 28 |
Preservation of proof of origin and supporting documents |
|
Article 29 |
Discrepancies and formal errors |
|
Article 30 |
Amounts expressed in euro |
|
TITLE VI |
ARRANGEMENTS FOR ADMINISTRATIVE COOPERATION |
|
Article 31 |
Mutual assistance |
|
Article 32 |
Verification of proofs of origin |
|
Article 33 |
Dispute settlement |
|
Article 34 |
Penalties |
|
Article 35 |
Free zones |
|
TITLE VII |
CEUTA AND MELILLA |
|
Article 36 |
Application of the Protocol |
|
Article 37 |
Special conditions |
|
TITLE VIII |
FINAL PROVISIONS |
|
Article 38 |
Amendments to the Protocol |
List of Annexes
|
Annex I: |
Introductory notes to the list in Annex II |
|
Annex II: |
List of working or processing required to be carried out on non-originating materials in order that the product manufactured can obtain originating status |
|
Annex III: |
Specimens of movement certificate EUR.1 and application for a movement certificate EUR.1 |
|
Annex IV: |
Text of the invoice declaration |
|
Annex V: |
List of products originating in Turkey to which the provisions of Articles 3 and 4 do not apply, listed in order of HS Chapters and headings |
Joint Declarations
Joint declaration concerning the Principality of Andorra
Joint declaration concerning the Republic of San Marino
Joint Declaration concerning the review of the changes to the origin rules as a result of the amendments to the Harmonized System
Title I
GENERAL PROVISIONS
Article 1
Definitions
For the purposes of this Protocol:
(a) "manufacture" means any kind of working or processing including assembly or specific operations;
(b) "material" means any ingredient, raw material, component or part, etc., used in the manufacture of the product;
(c) "product" means the product being manufactured, even if it is intended for later use in another manufacturing operation;
(d) "goods" means both materials and products;
(e) "customs value" means the value as determined in accordance with the 1994 Agreement on implementation of Article VII of the General Agreement on Tariffs and Trade (WTO Agreement on customs valuation);
(f) "ex-works price" means the price paid for the product ex works to the manufacturer in the Community or in Latvia in whose undertaking the last working or processing is carried out, provided the price includes the value of all the materials used, minus any internal taxes which are, or may be, repaid when the product obtained is exported;
(g) "value of materials" means the customs value at the time of importation of the non-originating materials used, or, if this is not known and cannot be ascertained, the first ascertainable price paid for the materials in the Community or in Latvia;
(h) "value of originating materials" means the value of such materials as defined in (g) applied mutatis mutandis;
(i) "value added" shall be taken to be the ex-works price minus the customs value of each of the materials incorporated which originate in the other countries referred to in Articles 3 and 4 or, where the customs value is not known or cannot be ascertained, the first ascertainable price paid for the materials in the Community or in Latvia;
(j) "chapters" and "headings" mean the chapters and the headings (four-digit codes) used in the nomenclature which makes up the Harmonized Commodity Description and Coding System, referred to in this Protocol as "the Harmonized System" or "HS";
(k) "classified" refers to the classification of a product or material under a particular heading;
(l) "consignment" means products which are either sent simultaneously from one exporter to one consignee or covered by a single transport document covering their shipment from the exporter to the consignee or, in the absence of such a document, by a single invoice;
(m) "territories" includes territorial waters.
Title II
DEFINITION OF THE CONCEPT OF "ORIGINATING PRODUCTS"
Article 2
General requirements
1. For the purpose of implementing this Agreement, the following products shall be considered as originating in the Community:
(a) products wholly obtained in the Community within the meaning of Article 5;
(b) products obtained in the Community incorporating materials which have not been wholly obtained there, provided that such materials have undergone sufficient working or processing in the Community within the meaning of Article 6;
(c) goods originating in the European Economic Area (EEA) within the meaning of Protocol 4 to the Agreement on the European Economic Area.
2. For the purpose of implementing this Agreement, the following products shall be considered as originating in Latvia:
(a) products wholly obtained in Latvia within the meaning of Article 5;
(b) products obtained in Latvia incorporating materials which have not been wholly obtained there, provided that such materials have undergone sufficient working or processing in Latvia within the meaning of Article 6.
Article 3
Cumulation in the Community
1. Without prejudice to the provisions of Article 2 (1), products shall be considered as originating in the Community if such products are obtained there, incorporating materials originating in Bulgaria, Switzerland (including Liechtenstein)(1), the Czech Republic, Estonia, Hungary, Iceland, Lithuania, Latvia, Norway, Poland, Romania, Slovenia, the Slovak Republic, Turkey(2) or in the Community in accordance with the provisions of the Protocol on rules of origin annexed to the Agreements between the Community and each of these countries, provided that the working or processing carried out in the Community goes beyond the operations referred to in Article 7. It shall not be necessary that such materials have undergone sufficient working or processing.
2. Where the working or processing carried out in the Community does not go beyond the operations referred to in Article 7, the product obtained shall be considered as originating in the Community only where the value added there is greater than the value of the materials used originating in any one of the other countries referred to in paragraph 1. If this is not so, the product obtained shall be considered as originating in the country which accounts for the highest value of originating materials used in the manufacture in the Community.
3. Products, originating in one of the countries referred to in paragraph 1, which do not undergo any working or processing in the Community, retain their origin if exported into one of these countries.
4. The cumulation provided for in this Article may only be applied to materials and products which have acquired originating status by the application of rules of origin identical to those given in this Protocol.
The Community shall provide Latvia , through the Commission of the European Communities, with details of the Agreements and their corresponding rules of origin, which are applied with the other countries referred to in paragraph 1. The Commission of the European Communities shall publish in the Official Journal of the European Communities (C series) the date on which the cumulation, provided for in this Article may be applied by those countries listed in paragraph 1 which have fulfilled the necessary requirements.
Article 4
Cumulation in Latvia
1. Without prejudice to the provisions of Article 2(2), products shall be considered as originating in Latvia if such products are obtained there, incorporating materials originating in Bulgaria, Switzerland (including Liechtenstein)(1), the Czech Republic, Estonia, Hungary, Iceland, Lithuania, Latvia, Norway, Poland, Romania, Slovenia, the Slovak Republic, Turkey(2) or in the Community in accordance with the provisions of the Protocol on rules of origin annexed to the Agreements between Latvia and each of these countries, provided that the working or processing carried out in Latvia goes beyond the operations referred to in Article 7. It shall not be necessary that such materials have undergone sufficient working or processing.
2. Where the working or processing carried out in Latvia does not go beyond the operations referred to in Article 7, the product obtained shall be considered as originating in Latvia only where the value added there is greater than the value of the materials used originating in any one of the other countries referred to in paragraph 1. If this is not so, the product obtained shall be considered as originating in the country which accounts for the highest value of originating materials used in the manufacture in Latvia.
3. Products, originating in one of the countries referred to in paragraph 1, which do not undergo any working or processing in Latvia, retain their origin if exported into one of these countries.
4. The cumulation provided for in this Article may only be applied to materials and products which have acquired originating status by the application of rules of origin identical to those given in this Protocol.
Latvia shall provide the Community, through the Commission of the European Communities, with details of the Agreements and their corresponding rules of origin, which are applied with the other countries referred to in paragraph 1. The Commission of the European Communities shall publish in the Official Journal of the European Communities (C series) the date on which the cumulation provided for in this Article may be applied by those countries listed in paragraph 1 which have fulfilled the necessary requirements.
Article 5
Wholly obtained products
1. The following shall be considered as wholly obtained in the Community or in Latvia:
(a) mineral products extracted from their soil or from their seabed;
(b) vegetable products harvested there;
(c) live animals born and raised there;
(d) products from live animals raised there;
(e) products obtained by hunting or fishing conducted there;
(f) products of sea fishing and other products taken from the sea outside the territorial waters of the Community or of Latvia by their vessels;
(g) products made aboard their factory ships exclusively from products referred to in (f);
(h) used articles collected there fit only for the recovery of raw materials, including used tyres fit only for retreading or for use as waste;
(i) waste and scrap resulting from manufacturing operations conducted there;
(j) products extracted from marine soil or subsoil outside their territorial waters provided that they have sole rights to work that soil or subsoil;
(k) goods produced there exclusively from the products specified in (a) to (j).
2. The terms "their vessels" and "their factory ships" in paragraph 1(f) and (g) shall apply only to vessels and factory ships:
(a) which are registered or recorded in a Member State of the Community or in Latvia;
(b) which sail under the flag of a Member State of the Community or of Latvia;
(c) which are owned to an extent of at least 50 per cent by nationals of a Member State of the Community or of Latvia, or by a company with its head office in one of these States, of which the manager or managers, Chairman of the Board of Directors or the Supervisory Board, and the majority of the members of such boards are nationals of a Member State of the Community or of Latvia and of which, in addition, in the case of partnerships or limited companies, at least half the capital belongs to those States or to public bodies or nationals of the said States;
(d) of which the master and officers are nationals of a Member State of the Community or of Latvia; and
(e) of which at least 75 per cent of the crew are nationals of a Member State of the Community or of Latvia.
Article 6
Sufficiently worked or processed products
1. For the purposes of Article 2, products which are not wholly obtained are considered to be sufficiently worked or processed when the conditions set out in the list in Annex II are fulfilled.
The conditions referred to above indicate, for all products covered by the Agreement, the working or processing which must be carried out on non-originating materials used in manufacturing and apply only in relation to such materials. It follows that if a product which has acquired originating status by fulfilling the conditions set out in the list is used in the manufacture of another product, the conditions applicable to the product in which it is incorporated do not apply to it, and no account shall be taken of the non-originating materials which may have been used in its manufacture.
2. Notwithstanding paragraph 1, non-originating materials which, according to the conditions set out in the list, should not be used in the manufacture of a product may nevertheless be used, provided that:
(a) their total value does not exceed 10 per cent of the ex-works price of the product;
(b) any of the percentages given in the list for the maximum value of non-originating materials are not exceeded through the application of this paragraph.
This paragraph shall not apply to products falling within Chapters 50 to 63 of the Harmonized System.
3. Paragraphs 1 and 2 shall apply subject to the provisions of Article 7.
Article 7
Insufficient working or processing
1. Without prejudice to paragraph 2, the following operations shall be considered as insufficient working or processing to confer the status of originating products, whether or not the requirements of Article 6 are satisfied:
(a) preserving operations to ensure that the products remain in good condition during transport and storage;
(b) breaking-up and assembly of packages;
(c) washing, cleaning; removal of dust, oxide, oil, paint or other coverings;
(d) ironing or pressing of textiles;
(e) simple painting and polishing operations;
(f) husking, partial or total bleaching, polishing, and glazing of cereals and rice;
(g) operations to colour sugar or form sugar lumps;
(h) peeling, stoning and shelling, of fruits, nuts and vegetables;
(i) sharpening, simple grinding or simple cutting;
(j) sifting, screening, sorting, classifying, grading, matching; (including the making-up of sets of articles);
(k) simple placing in bottles, cans, flasks, bags, cases, boxes, fixing on cards or boards and all other simple packaging operations;
(l) affixing or printing marks, labels, logos and other like distinguishing signs on products or their packaging;
(m) simple mixing of products, whether or not of different kinds,
(n) simple assembly of parts of articles to constitute a complete article or disassembly of products into parts;
(o) a combination of two or more operations specified in (a) to (n);
(p) slaughter of animals.
2. All operations carried out either in the Community or in Latvia on a given product shall be considered together when determining whether the working or processing undergone by that product is to be regarded as insufficient within the meaning of paragraph 1.
Article 8
Unit of qualification
1. The unit of qualification for the application of the provisions of this Protocol shall be the particular product which is considered as the basic unit when determining classification using the nomenclature of the Harmonized System.
It follows that:
(a) when a product composed of a group or assembly of articles is classified under the terms of the Harmonized System in a single heading, the whole constitutes the unit of qualification;
(b) when a consignment consists of a number of identical products classified under the same heading of the Harmonized System, each product must be taken individually when applying the provisions of this Protocol.
2. Where, under General Rule 5 of the Harmonized System, packaging is included with the product for classification purposes, it shall be included for the purposes of determining origin.
Article 9
Accessories, spare parts and tools
Accessories, spare parts and tools dispatched with a piece of equipment, machine, apparatus or vehicle, which are part of the normal equipment and included in the price thereof or which are not separately invoiced, shall be regarded as one with the piece of equipment, machine, apparatus or vehicle in question.
Article 10
Sets
Sets, as defined in General Rule 3 of the Harmonized System, shall be regarded as originating when all component products are originating. Nevertheless, when a set is composed of originating and non-originating products, the set as a whole shall be regarded as originating, provided that the value of the non-originating products does not exceed 15 per cent of the ex-works price of the set.
Article 11
Neutral elements
In order to determine whether a product originates, it shall not be necessary to determine the origin of the following which might be used in its manufacture:
(a) energy and fuel;
(b) plant and equipment;
(c) machines and tools;
(d) goods which do not enter and which are not intended to enter into the final composition of the product.
Title III
TERRITORIAL REQUIREMENTS
Article 12
Principle of territoriality
1. Except as provided for in Article 2(1)(c), Articles 3 and 4 and paragraph 3 of this Article, the conditions for acquiring originating status set out in Title II must be fulfilled without interruption in the Community or in Latvia.
2. Except as provided for in Articles 3 and 4, where originating goods exported from the Community or from Latvia to another country return, they must be considered as non-originating, unless it can be demonstrated to the satisfaction of the customs authorities that:
(a) the returning goods are the same as those exported; and
(b) they have not undergone any operation beyond that necessary to preserve them in good condition while in that country or while being exported.
3. The acquisition of originating status in accordance with the conditions set out in Title II shall not be affected by working or processing done outside the Community or Latvia on materials exported from the Community or from Latvia and subsequently re-imported there, provided:
(a) the said materials are wholly obtained in the Community or in Latvia or have undergone working or processing beyond the operations referred to in Article 7 prior to being exported; and
(b) it can be demonstrated to the satisfaction of the customs authorities that:
(i) the re-imported goods have been obtained by working or processing the exported materials; and
(ii) the total added value acquired outside the Community or Latvia by applying the provisions of this Article does not exceed 10 per cent of the ex-works price of the end product for which originating status is claimed.
4. For the purposes of paragraph 3, the conditions for acquiring originating status set out in Title II shall not apply to working or processing done outside the Community or Latvia. But where, in the list in Annex II, a rule setting a maximum value for all the non-originating materials incorporated is applied in determining the originating status of the end product, the total value of the non-originating materials incorporated in the territory of the party concerned, taken together with the total added value acquired outside the Community or Latvia by applying the provisions of this Article, shall not exceed the stated percentage.
5. For the purposes of applying the provisions of paragraphs 3 and 4, 'total added value' shall be taken to mean all costs arising outside the Community or Latvia, including the value of the materials incorporated there.
6. The provisions of paragraphs 3 and 4 shall not apply to products which do not fulfil the conditions set out in the list in Annex II or which can be considered sufficiently worked or processed only if the general tolerance fixed in Article 6(2) is applied.
7. The provisions of paragraphs 3 and 4 shall not apply to products of Chapters 50 to 63 of the Harmonized System
8. Any working or processing of the kind covered by the provisions of this Article and done outside the Community or Latvia shall be done under the outward processing arrangements, or similar arrangements.
Article 13
Direct transport
1. The preferential treatment provided for under the Agreement applies only to products, satisfying the requirements of this Protocol, which are transported directly between the Community and Latvia or through the territories of the other countries referred to in Articles 3 and 4. However, products constituting one single consignment may be transported through other territories with, should the occasion arise, trans-shipment or temporary warehousing in such territories, provided that they remain under the surveillance of the customs authorities in the country of transit or warehousing and do not undergo operations other than unloading, reloading or any operation designed to preserve them in good condition.
Originating products may be transported by pipeline across territory other than that of the Community or Latvia.
2. Evidence that the conditions set out in paragraph 1 have been fulfilled shall be supplied to the customs authorities of the importing country by the production of:
(a) a single transport document covering the passage from the exporting country through the country of transit; or
(b) a certificate issued by the customs authorities of the country of transit:
(i) giving an exact description of the products;
(ii) stating the dates of unloading and reloading of the products and, where applicable, the names of the ships, or the other means of transport used; and
(iii) certifying the conditions under which the products remained in the transit country; or
(c) failing these, any substantiating documents.
Article 14
Exhibitions
1. Originating products, sent for exhibition in a country other than those referred to in Articles 3 and 4 and sold after the exhibition for importation in the Community or in Latvia shall benefit on importation from the provisions of the Agreement provided it is shown to the satisfaction of the customs authorities that:
(a) an exporter has consigned these products from the Community or from Latvia to the country in which the exhibition is held and has exhibited them there;
(b) the products have been sold or otherwise disposed of by that exporter to a person in the Community or in Latvia;
(c) the products have been consigned during the exhibition or immediately thereafter in the state in which they were sent for exhibition; and
(d) the products have not, since they were consigned for exhibition, been used for any purpose other than demonstration at the exhibition.
2. A proof of origin must be issued or made out in accordance with the provisions of Title V and submitted to the customs authorities of the importing country in the normal manner. The name and address of the exhibition must be indicated thereon. Where necessary, additional documentary evidence of the conditions under which they have been exhibited may be required.
3. Paragraph 1 shall apply to any trade, industrial, agricultural or crafts exhibition, fair or similar public show or display which is not organised for private purposes in shops or business premises with a view to the sale of foreign products, and during which the products remain under customs control.
Title IV
DRAWBACK OR EXEMPTION
Article 15
Prohibition of drawback of, or exemption from, customs duties
1. (a) Non-originating materials used in the manufacture of products originating in the Community, in Latvia or in one of the other countries referred to in Articles 3 and 4 for which a proof of origin is issued or made out in accordance with the provisions of Title V shall not be subject in the Community or in Latvia to drawback of, or exemption from, customs duties of whatever kind.
(b) Products falling within Chapter 3 and headings 1604 and 1605 of the Harmonized System and originating in the Community as provided for in Article 2(1)(c), for which a proof of origin is issued or made out in accordance with the provisions of Title V shall not be subject in the Community to drawback of, or exemption from, customs duties of whatever kind.
2. The prohibition in paragraph 1 shall apply to any arrangement for refund, remission or non-payment, partial or complete, of customs duties or charges having an equivalent effect, applicable in the Community or in Latvia to materials used in the manufacture and to products covered by paragraph 1(b) above, where such refund, remission or non-payment applies, expressly or in effect, when products obtained from the said materials are exported and not when they are retained for home use there.
3. The exporter of products covered by a proof of origin shall be prepared to submit at any time, upon request from the customs authorities, all appropriate documents proving that no drawback has been obtained in respect of the non-originating materials used in the manufacture of the products concerned and that all customs duties or charges having equivalent effect applicable to such materials have actually been paid.
4. The provisions of paragraphs 1 to 3 shall also apply in respect of packaging within the meaning of Article 8(2), accessories, spare parts and tools within the meaning of Article 9 and products in a set within the meaning of Article 10 when such items are non-originating.
5. The provisions of paragraphs 1 to 4 shall apply only in respect of materials which are of the kind to which the Agreement applies. Furthermore, they shall not preclude the application of an export refund system for agricultural products, applicable upon export in accordance with the provisions of the Agreement.
Title V
PROOF OF ORIGIN
Article 16
General requirements
1. Products originating in the Community shall, on importation into Latvia and products originating in Latvia shall, on importation into the Community benefit from the Agreement upon submission of either:
(a) a movement certificate EUR.1, a specimen of which appears in Annex III; or
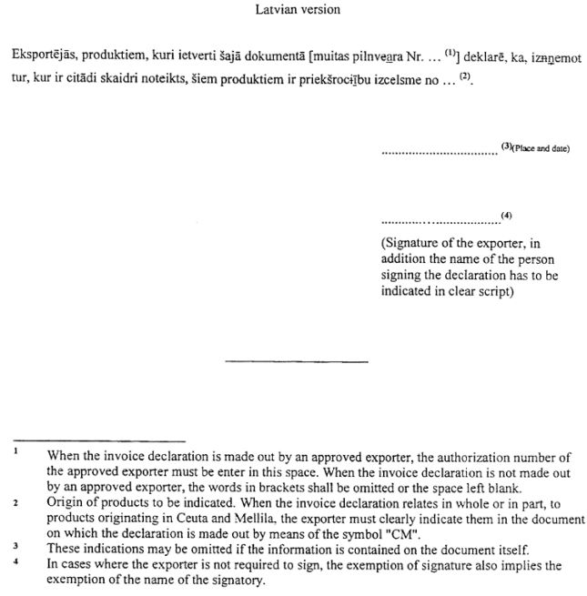
(b) in the cases specified in Article 21(1), a declaration, subsequently referred to as the "invoice declaration", given by the exporter on an invoice, a delivery note or any other commercial document which describes the products concerned in sufficient detail to enable them to be identified ; the text of the invoice declaration appears in Annex IV.
2. Notwithstanding paragraph 1, originating products within the meaning of this Protocol shall, in the cases specified in Article 26, benefit from the Agreement without it being necessary to submit any of the documents referred to above.
Article 17
Procedure for the issue of a movement certificate EUR.1
1. A movement certificate EUR.1 shall be issued by the customs authorities of the exporting country on application having been made in writing by the exporter or, under the exporter's responsibility, by his authorised representative.
2. For this purpose, the exporter or his authorised representative shall fill out both the movement certificate EUR.1 and the application form, specimens of which appear in Annex III. These forms shall be completed in one of the languages in which this Agreement is drawn up and in accordance with the provisions of the domestic law of the exporting country. If they are hand-written, they shall be completed in ink in printed characters. The description of the products must be given in the box reserved for this purpose without leaving any blank lines. Where the box is not completely filled, a horizontal line must be drawn below the last line of the description, the empty space being crossed through.
3. The exporter applying for the issue of a movement certificate EUR.1 shall be prepared to submit at any time, at the request of the customs authorities of the exporting country where the movement certificate EUR.1 is issued, all appropriate documents proving the originating status of the products concerned as well as the fulfilment of the other requirements of this Protocol.
4. A movement certificate EUR.1 shall be issued by the customs authorities of a Member State of the Community or of Latvia if the products concerned can be considered as products originating in the Community, in Latvia or in one of the other countries referred to in Articles 3 and 4 and fulfil the other requirements of this Protocol.
5. The customs authorities issuing movement certificates EUR.1 shall take any steps necessary to verify the originating status of the products and the fulfilment of the other requirements of this Protocol. For this purpose, they shall have the right to call for any evidence and to carry out any inspection of the exporter's accounts or any other check considered appropriate. They shall also ensure that the forms referred to in paragraph 2 are duly completed. In particular, they shall check whether the space reserved for the description of the products has been completed in such a manner as to exclude all possibility of fraudulent additions.
6. The date of issue of the movement certificate EUR.1 shall be indicated in Box 11 of the certificate.
7. A movement certificate EUR.1 shall be issued by the customs authorities and made available to the exporter as soon as actual exportation has been effected or ensured.
Article 18
Movement certificates EUR.1 issued retrospectively
1. Notwithstanding Article 17(7), a movement certificate EUR.1 may exceptionally be issued after exportation of the products to which it relates if:
(a) it was not issued at the time of exportation because of errors or involuntary omissions or special circumstances; or
(b) it is demonstrated to the satisfaction of the customs authorities that a movement certificate EUR.1 was issued but was not accepted at importation for technical reasons.
2. For the implementation of paragraph 1, the exporter must indicate in his application the place and date of exportation of the products to which the movement certificate EUR.1 relates, and state the reasons for his request.
3. The customs authorities may issue a movement certificate EUR.1 retrospectively only after verifying that the information supplied in the exporter's application agrees with that in the corresponding file.
4. Movement certificates EUR.1 issued retrospectively must be endorsed with one of the following phrases:
DA "UDSTEDT EFTERFØLGENDE"
DE "NACHTRÄGLICH AUSGESTELLT"
EL "EKΔOΘEN EK TΩN YΣTEPΩN"
EN "ISSUED RETROSPECTIVELY"
FR "DÉLIVRÉ A POSTERIORI"
IT "RILASCIATO A POSTERIORI"
NL "AFGEGEVEN A POSTERIORI"
PT "EMITIDO A POSTERIORI"
FI "ANNETTU JÄLKIKÄTEEN"
SV "UTFÄRDAT I EFTERHAND"
LV "IZDOTS RETROSPEKTĪVI".
5. The endorsement referred to in paragraph 4 shall be inserted in the "Remarks" box of the movement certificate EUR.1.
Article 19
Issue of a duplicate movement certificate EUR.1
1. In the event of theft, loss or destruction of a movement certificate EUR.1, the exporter may apply to the customs authorities which issued it for a duplicate made out on the basis of the export documents in their possession.
2. The duplicate issued in this way must be endorsed with one of the following words:
DA "DUPLIKAT"
DE "DUPLIKAT"
EL "ANTIГRAΦO"
EN "DUPLICATE"
FR "DUPLICATA"
IT "DUPLICATO"
NL "DUPLICAAT"
PT "SEGUNDA VIA"
FI "KAKSOISKAPPALE"
SV "DUPLIKAT"
LV "DUBLIKĀTS".
3. The endorsement referred to in paragraph 2 shall be inserted in the "Remarks" box of the duplicate movement certificate EUR.1.
4. The duplicate, which must bear the date of issue of the original movement certificate EUR.1, shall take effect as from that date.
Article 20
Issue of movement certificates EUR.1 on the basis of a proof of origin issued or made out previously
When originating products are placed under the control of a customs office in the Community or in Latvia, it shall be possible to replace the original proof of origin by one or more movement certificates EUR.1 for the purpose of sending all or some of these products elsewhere within the Community or Latvia. The replacement movement certificate(s) EUR.1 shall be issued by the customs office under whose control the products are placed.
Article 20A
Accounting segregation
1. Where considerable cost or material difficulties arise in keeping separate stocks of originating and non-originating materials which are identical and interchangeable, the customs authorities may, at the written request of those concerned, authorise the so-called "accounting segregation" method to be used for managing such stocks.
2. This method must be able to ensure that, for a specific reference-period, the number of products obtained which could be considered as "originating" is the same as that which would have been obtained if there had been physical segregation of the stocks.
3. The customs authorities may grant such authorisation, subject to any conditions deemed appropriate.
4. This method is recorded and applied on the basis of the general accounting principles applicable in the country where the product was manufactured.
5. The beneficiary of this facilitation may issue or apply for proofs of origin, as the case may be, for the quantity of products which may be considered as originating. At the request of the customs authorities, the beneficiary shall provide a statement of how the quantities have been managed.
6. The customs authorities shall monitor the use made of the authorisation and may withdraw it at any time whenever the beneficiary makes improper use of the authorisation in any manner whatsoever or fails to fulfil any of the other conditions laid down in this Protocol.
Article 21
Conditions for making out an invoice declaration
1. An invoice declaration as referred to in Article 16(1)(b) may be made out:
(a) by an approved exporter within the meaning of Article 22, or
(b) by any exporter for any consignment consisting of one or more packages containing originating products whose total value does not exceed EUR 6,000.
2. An invoice declaration may be made out if the products concerned can be considered as products originating in the Community, in Latvia or in one of the other countries referred to in Articles 3 and 4 and fulfil the other requirements of this Protocol.
3. The exporter making out an invoice declaration shall be prepared to submit at any time, at the request of the customs authorities of the exporting country, all appropriate documents proving the originating status of the products concerned as well as the fulfilment of the other requirements of this Protocol.
4. An invoice declaration shall be made out by the exporter by typing, stamping or printing on the invoice, the delivery note or another commercial document, the declaration, the text of which appears in Annex IV, using one of the linguistic versions set out in that Annex and in accordance with the provisions of the domestic law of the exporting country. If the declaration is hand-written, it shall be written in ink in printed characters.
5. Invoice declarations shall bear the original signature of the exporter in manuscript. However, an approved exporter within the meaning of Article 22 shall not be required to sign such declarations provided that he gives the customs authorities of the exporting country a written undertaking that he accepts full responsibility for any invoice declaration which identifies him as if it had been signed in manuscript by him.
6. An invoice declaration may be made out by the exporter when the products to which it relates are exported, or after exportation on condition that it is presented in the importing country no longer than two years after the importation of the products to which it relates.
Article 22
Approved exporter
1. The customs authorities of the exporting country may authorise any exporter, hereinafter referred to as 'approved exporter', who makes frequent shipments of products under this Agreement to make out invoice declarations irrespective of the value of the products concerned. An exporter seeking such authorisation must offer to the satisfaction of the customs authorities all guarantees necessary to verify the originating status of the products as well as the fulfilment of the other requirements of this Protocol.
2. The customs authorities may grant the status of approved exporter subject to any conditions which they consider appropriate.
3. The customs authorities shall grant to the approved exporter a customs authorisation number which shall appear on the invoice declaration.
4. The customs authorities shall monitor the use of the authorisation by the approved exporter.
5. The customs authorities may withdraw the authorisation at any time. They shall do so where the approved exporter no longer offers the guarantees referred to in paragraph 1, no longer fulfils the conditions referred to in paragraph 2 or otherwise makes an incorrect use of the authorisation.
Article 23
Validity of proof of origin
1. A proof of origin shall be valid for four months from the date of issue in the exporting country, and must be submitted within the said period to the customs authorities of the importing country.
2. Proofs of origin which are submitted to the customs authorities of the importing country after the final date for presentation specified in paragraph 1 may be accepted for the purpose of applying preferential treatment, where the failure to submit these documents by the final date set is due to exceptional circumstances.
3. In other cases of belated presentation, the customs authorities of the importing country may accept the proofs of origin where the products have been submitted before the said final date.
Article 24
Submission of proof of origin
Proofs of origin shall be submitted to the customs authorities of the importing country in accordance with the procedures applicable in that country. The said authorities may require a translation of a proof of origin and may also require the import declaration to be accompanied by a statement from the importer to the effect that the products meet the conditions required for the implementation of the Agreement.
Article 25
Importation by instalments
Where, at the request of the importer and on the conditions laid down by the customs authorities of the importing country, dismantled or non-assembled products within the meaning of General Rule 2(a) of the Harmonized System falling within Sections XVI and XVII or headings 7308 and 9406 of the Harmonized System are imported by instalments, a single proof of origin for such products shall be submitted to the customs authorities upon importation of the first instalment.
Article 26
Exemptions from proof of origin
1. Products sent as small packages from private persons to private persons or forming part of travellers' personal luggage shall be admitted as originating products without requiring the submission of a proof of origin, provided that such products are not imported by way of trade and have been declared as meeting the requirements of this Protocol and where there is no doubt as to the veracity of such a declaration. In the case of products sent by post, this declaration can be made on the customs declaration CN22/CN23 or on a sheet of paper annexed to that document.
2. Imports which are occasional and consist solely of products for the personal use of the recipients or travellers or their families shall not be considered as imports by way of trade if it is evident from the nature and quantity of the products that no commercial purpose is in view.
3. Furthermore, the total value of these products shall not exceed EUR 500 in the case of small packages or EUR 1,200 in the case of products forming part of travellers' personal luggage.
Article 27
Supporting documents
The documents referred to in Articles 17(3) and 21(3) used for the purpose of proving that products covered by a movement certificate EUR.1 or an invoice declaration can be considered as products originating in the Community, in Latvia or in one of the other countries referred to in Articles 3 and 4 and fulfil the other requirements of this Protocol may consist inter alia of the following:
(a) direct evidence of the processes carried out by the exporter or supplier to obtain the goods concerned, contained for example in his accounts or internal book-keeping;
(b) documents proving the originating status of materials used, issued or made out in the Community or in Latvia where these documents are used in accordance with domestic law;
(c) documents proving the working or processing of materials in the Community or in Latvia, issued or made out in the Community or in Latvia, where these documents are used in accordance with domestic law;
(d) movement certificates EUR.1 or invoice declarations proving the originating status of materials used, issued or made out in the Community or in Latvia in accordance with this Protocol, or in one of the other countries referred to in Articles 3 and 4, in accordance with rules of origin which are identical to the rules in this Protocol.
Article 28
Preservation of proof of origin and supporting documents
1. The exporter applying for the issue of a movement certificate EUR.1 shall keep for at least three years the documents referred to in Article 17(3).
2. The exporter making out an invoice declaration shall keep for at least three years a copy of this invoice declaration as well as the documents referred to in Article 21(3).
3. The customs authorities of the exporting country issuing a movement certificate EUR.1 shall keep for at least three years the application form referred to in Article 17(2).
4. The customs authorities of the importing country shall keep for at least three years the movement certificates EUR.1 and the invoice declarations submitted to them.
Article 29
Discrepancies and formal errors
1. The discovery of slight discrepancies between the statements made in the proof of origin and those made in the documents submitted to the customs office for the purpose of carrying out the formalities for importing the products shall not ipso facto render the proof of origin null and void if it is duly established that this document does correspond to the products submitted.
2. Obvious formal errors such as typing errors on a proof of origin should not cause this document to be rejected if these errors are not such as to create doubts concerning the correctness of the statements made in this document.
Article 30
Amounts expressed in euro
1. For the application of the provisions of Article 21(1)(b) and Article 26(3) in cases where products are invoiced in a currency other than euro, amounts in the national currencies of the Member States of the Community, of Latvia and of the other countries referred to in Articles 3 and 4 equivalent to the amounts expressed in euro shall be fixed annually by each of the countries concerned.
2. A consignment shall benefit from the provisions of Article 21(1)(b) or Article 26(3) by reference to the currency in which the invoice is drawn up, according to the amount fixed by the country concerned.
3. The amounts to be used in any given national currency shall be the equivalent in that currency of the amounts expressed in euro as at the first working day of October. The amounts shall be communicated to the Commission of the European Communities by 15 October and shall apply from 1 January the following year. The Commission of the European Communities shall notify all countries concerned of the relevant amounts.
4. A country may round up or down the amount resulting from the conversion into its national currency of an amount expressed in euro. The rounded-off amount may not differ from the amount resulting from the conversion by more than 5 per cent. A country may retain unchanged its national currency equivalent of an amount expressed in euro if, at the time of the annual adjustment provided for in paragraph 3, the conversion of that amount, prior to any rounding-off, results in an increase of less than 15 per cent in the national currency equivalent. The national currency equivalent may be retained unchanged if the conversion would result in a decrease in that equivalent value.
5. The amounts expressed in euro shall be reviewed by the Association Committee at the request of the Community or of Latvia. When carrying out this review, the Association Committee shall consider the desirability of preserving the effects of the limits concerned in real terms. For this purpose, it may decide to modify the amounts expressed in euro.
Title VI
ARRANGEMENTS FOR ADMINISTRATIVE COOPERATION
Article 31
Mutual assistance
1. The customs authorities of the Member States of the Community and of Latvia shall provide each other, through the Commission of the European Communities, with specimen impressions of stamps used in their customs offices for the issue of movement certificates EUR.1 and with the addresses of the customs authorities responsible for verifying those certificates and invoice declarations.
2. In order to ensure the proper application of this Protocol, the Community and Latvia shall assist each other, through the competent customs administrations, in checking the authenticity of the movement certificates EUR.1 or the invoice declarations and the correctness of the information given in these documents.
Article 32
Verification of proofs of origin
1. Subsequent verifications of proofs of origin shall be carried out at random or whenever the customs authorities of the importing country have reasonable doubts as to the authenticity of such documents, the originating status of the products concerned or the fulfilment of the other requirements of this Protocol.
2. For the purposes of implementing the provisions of paragraph 1, the customs authorities of the importing country shall return the movement certificate EUR.1 and the invoice, if it has been submitted, the invoice declaration, or a copy of these documents, to the customs authorities of the exporting country giving, where appropriate, the reasons for the enquiry. Any documents and information obtained suggesting that the information given on the proof of origin is incorrect shall be forwarded in support of the request for verification.
3. The verification shall be carried out by the customs authorities of the exporting country. For this purpose, they shall have the right to call for any evidence and to carry out any inspection of the exporter's accounts or any other check considered appropriate.
4. If the customs authorities of the importing country decide to suspend the granting of preferential treatment to the products concerned while awaiting the results of the verification, release of the products shall be offered to the importer subject to any precautionary measures judged necessary.
5. The customs authorities requesting the verification shall be informed of the results of this verification as soon as possible. These results must indicate clearly whether the documents are authentic and whether the products concerned can be considered as products originating in the Community, in Latvia or in one of the other countries referred to in Articles 3 and 4 and fulfil the other requirements of this Protocol.
6. If in cases of reasonable doubt there is no reply within ten months of the date of the verification request or if the reply does not contain sufficient information to determine the authenticity of the document in question or the real origin of the products, the requesting customs authorities shall, except in exceptional circumstances, refuse entitlement to the preferences.
Article 33
Dispute settlement
Where disputes arise in relation to the verification procedures of Article 32 which cannot be settled between the customs authorities requesting a verification and the customs authorities responsible for carrying out this verification or where they raise a question as to the interpretation of this Protocol, they shall be submitted to the Association Committee.
In all cases the settlement of disputes between the importer and the customs authorities of the importing country shall be under the legislation of the said country.
Article 34
Penalties
Penalties shall be imposed on any person who draws up, or causes to be drawn up, a document which contains incorrect information for the purpose of obtaining a preferential treatment for products.
Article 35
Free zones
1. The Community and Latvia shall take all necessary steps to ensure that products traded under cover of a proof of origin which in the course of transport use a free zone situated in their territory, are not substituted by other goods and do not undergo handling other than normal operations designed to prevent their deterioration.
2. By means of an exemption to the provisions contained in paragraph 1, when products originating in the Community or in Latvia are imported into a free zone under cover of a proof of origin and undergo treatment or processing, the authorities concerned shall issue a new movement certificate EUR.1 at the exporter's request, if the treatment or processing undergone is in conformity with the provisions of this Protocol.
Title VII
CEUTA AND MELILLA
Article 36
Application of the Protocol
1. The term "Community" used in Article 2 does not cover Ceuta and Melilla.
2. Products originating in Latvia, when imported into Ceuta or Melilla, shall enjoy in all respects the same customs regime as that which is applied to products originating in the customs territory of the Community under Protocol 2 of the Act of Accession of the Kingdom of Spain and the Portuguese Republic to the European Communities. Latvia shall grant to imports of products covered by the Agreement and originating in Ceuta and Melilla the same customs regime as that which is granted to products imported from and originating in the Community.
3. For the purpose of the application of paragraph 2 concerning products originating in Ceuta and Melilla, this Protocol shall apply mutatis mutandis subject to the special conditions set out in Article 37.
Article 37
Special conditions
1. Providing they have been transported directly in accordance with the provisions of Article 13, the following shall be considered as:
1) products originating in Ceuta and Melilla:
(a) products wholly obtained in Ceuta and Melilla;
(b) products obtained in Ceuta and Melilla in the manufacture of which products other than those referred to in (a) are used, provided that:
(i) the said products have undergone sufficient working or processing within the meaning of Article 6; or that
(ii) those products are originating in Latvia or in the Community, provided that they have been submitted to working or processing which goes beyond the operations referred to in Article 7.
2) products originating in Latvia:
(a) products wholly obtained in Latvia;
(b) products obtained in Latvia, in the manufacture of which products other than those referred to in (a) are used, provided that:
(i) the said products have undergone sufficient working or processing within the meaning of Article 6; or that
(ii) those products are originating in Ceuta and Melilla or in the Community, provided that they have been submitted to working or processing which goes beyond the operations referred to in Article 7.
2. Ceuta and Melilla shall be considered as a single territory.
3. The exporter or his authorised representative shall enter "Latvia" and "Ceuta and Melilla" in Box 2 of movement certificates EUR.1 or on invoice declarations. In addition, in the case of products originating in Ceuta and Melilla, this shall be indicated in Box 4 of movement certificates EUR.1 or on invoice declarations.
4. The Spanish customs authorities shall be responsible for the application of this Protocol in Ceuta and Melilla.
Title VIII
FINAL PROVISIONS
Article 38
Amendments to the Protocol
The Association Council may decide to amend the provisions of this Protocol.
_______________________
(1) The Principality of Liechtenstein has a customs union with Switzerland, and is a Contracting Party to the Agreement on the European Economic Area.
(2) Cumulation as provided for in this Article does not apply to materials originating in Turkey which are mentioned in the list at Annex V.
Note 1:
The list sets out the conditions required for all products to be considered as sufficiently worked or processed within the meaning of Article 6 of the Protocol.
Note 2:
2.1. The first two columns in the list describe the product obtained. The first column gives the heading number or chapter number used in the Harmonized System and the second column gives the description of goods used in that system for that heading or chapter. For each entry in the first two columns, a rule is specified in column 3 or 4. Where, in some cases, the entry in the first column is preceded by an "ex", this signifies that the rules in column 3 or 4 apply only to the part of that heading as described in column 2.
2.2. Where several heading numbers are grouped together in column 1 or a chapter number is given and the description of products in column 2 is therefore given in general terms, the adjacent rules in column 3 or 4 apply to all products which, under the Harmonized System, are classified in headings of the chapter or in any of the headings grouped together in column 1.
2.3. Where there are different rules in the list applying to different products within a heading, each indent contains the description of that part of the heading covered by the adjacent rules in column 3 or 4.
2.4. Where, for an entry in the first two columns, a rule is specified in both columns 3 and 4, the exporter may opt, as an alternative, to apply either the rule set out in column 3 or that set out in column 4. If no origin rule is given in column 4, the rule set out in column 3 is to be applied.
Note 3:
3.1. The provisions of Article 6 of the Protocol, concerning products having acquired originating status which are used in the manufacture of other products, shall apply, regardless of whether this status has been acquired inside the factory where these products are used or in another factory in the Community or in Latvia.
Example:
An engine of heading 8407, for which the rule states that the value of the non-originating materials which may be incorporated may not exceed 40% of the ex-works price, is made from "other alloy steel roughly shaped by forging" of heading ex 7224.
If this forging has been forged in the Community from a non-originating ingot, it has already acquired originating status by virtue of the rule for heading ex 7224 in the list. The forging can then count as originating in the value-calculation for the engine, regardless of whether it was produced in the same factory or in another factory in the Community. The value of the non-originating ingot is thus not taken into account when adding up the value of the non-originating materials used.
3.2. The rule in the list represents the minimum amount of working or processing required, and the carrying-out of more working or processing also confers originating status; conversely, the carrying-out of less working or processing cannot confer originating status. Thus, if a rule provides that non-originating material, at a certain level of manufacture, may be used, the use of such material at an earlier stage of manufacture is allowed, and the use of such material at a later stage is not.
3.3. Without prejudice to Note 3.2, where a rule uses the expression "Manufacture from materials of any heading", then materials of any heading(s) (even materials of the same description and heading as the product) may be used, subject, however, to any specific limitations which may also be contained in the rule.
However, the expression "Manufacture from materials of any heading, including other materials of heading ..." or "Manufacture from materials of any heading, including other materials of the same heading as the product" means that materials of any heading(s) may be used, except those of the same description as the product as given in column 2 of the list.
3.4. When a rule in the list specifies that a product may be manufactured from more than one material, this means that one or more materials may be used. It does not require that all be used.
Example:
The rule for fabrics of headings 5208 to 5212 provides that natural fibres may be used and that chemical materials, among other materials, may also be used. This does not mean that both have to be used; it is possible to use one or the other, or both.
3.5. Where a rule in the list specifies that a product must be manufactured from a particular material, the condition obviously does not prevent the use of other materials which, because of their inherent nature, cannot satisfy the rule. (See also Note 6.2 below in relation to textiles).
Example:
The rule for prepared foods of heading 1904, which specifically excludes the use of cereals and their derivatives, does not prevent the use of mineral salts, chemicals and other additives which are not products from cereals.
However, this does not apply to products which, although they cannot be manufactured from the particular materials specified in the list, can be produced from a material of the same nature at an earlier stage of manufacture.
Example:
In the case of an article of apparel of ex Chapter 62 made from non-woven materials, if the use of only non-originating yarn is allowed for this class of article, it is not possible to start from non-woven cloth — even if non-woven cloths cannot normally be made from yarn. In such cases, the starting material would normally be at the stage before yarn — that is, the fibre stage.
3.6. Where, in a rule in the list, two percentages are given for the maximum value of non-originating materials that can be used, then these percentages may not be added together. In other words, the maximum value of all the non-originating materials used may never exceed the higher of the percentages given. Furthermore, the individual percentages must not be exceeded, in relation to the particular materials to which they apply.
Note 4:
4.1. The term "natural fibres" is used in the list to refer to fibres other than artificial or synthetic fibres. It is restricted to the stages before spinning takes place, including waste, and, unless otherwise specified, includes fibres which have been carded, combed or otherwise processed, but not spun.
4.2. The term "natural fibres" includes horsehair of heading 0503, silk of headings 5002 and 5003, as well as wool-fibres and fine or coarse animal hair of headings 5101 to 5105, cotton fibres of headings 5201 to 5203, and other vegetable fibres of headings 5301 to 5305.
4.3. The terms "textile pulp", "chemical materials" and "paper-making materials" are used in the list to describe the materials, not classified in Chapters 50 to 63, which can be used to manufacture artificial, synthetic or paper fibres or yarns.
4.4. The term "man-made staple fibres" is used in the list to refer to synthetic or artificial filament tow, staple fibres or waste, of headings 5501 to 5507.
Note 5:
5.1. Where, for a given product in the list, reference is made to this Note, the conditions set out in column 3 shall not be applied to any basic textile materials used in the manufacture of this product and which, taken together, represent 10 % or less of the total weight of all the basic textile materials used. (See also Notes 5.3 and 5.4 below.)
5.2. However, the tolerance mentioned in Note 5.1 may be applied only to mixed products which have been made from two or more basic textile materials.
The following are the basic textile materials:
- silk,
- wool,
- coarse animal hair,
- fine animal hair,
- horsehair,
- cotton,
- paper-making materials and paper,
- flax,
- true hemp,
- jute and other textile bast fibres,
- sisal and other textile fibres of the genus Agave,
- coconut, abaca , ramie and other vegetable textile fibres,
- synthetic man-made filaments,
- artificial man-made filaments,
- current-conducting filaments,
- synthetic man-made staple fibres of polypropylene,
- synthetic man-made staple fibres of polyester,
- synthetic man-made staple fibres of polyamide,
- synthetic man-made staple fibres of polyacrylonitrile,
- synthetic man-made staple fibres of polyimide,
- synthetic man-made staple fibres of polytetrafluoroethylene,
- synthetic man-made staple fibres of poly(phenylene sulphide),
- synthetic man-made staple fibres of poly(vinyl chloride),
- other synthetic man-made staple fibres,
- artificial man-made staple fibres of viscose,
- other artificial man-made staple fibres,
- yarn made of polyurethane segmented with flexible segments of polyether, whether or not gimped,
- yarn made of polyurethane segmented with flexible segments of polyester, whether or not gimped,
- products of heading 5605 (metallised yarn) incorporating strip consisting of a core of aluminium foil or of a core of plastic film whether or not coated with aluminium powder, of a width not exceeding 5 mm, sandwiched by means of a transparent or coloured adhesive between two layers of plastic film,
- other products of heading 5605.
Example:
A yarn, of heading 5205, made from cotton fibres of heading 5203 and synthetic staple fibres of heading 5506, is a mixed yarn. Therefore, non-originating synthetic staple fibres which do not satisfy the origin-rules (which require manufacture from chemical materials or textile pulp) may be used, provided that their total weight does not exceed 10 % of the weight of the yarn.
Example:
A woollen fabric, of heading 5112, made from woollen yarn of heading 5107 and synthetic yarn of staple fibres of heading 5509, is a mixed fabric. Therefore, synthetic yarn which does not satisfy the origin-rules (which require manufacture from chemical materials or textile pulp), or woollen yarn which does not satisfy the origin-rules (which require manufacture from natural fibres, not carded or combed or otherwise prepared for spinning), or a combination of the two, may be used, provided that their total weight does not exceed 10 % of the weight of the fabric.
Example:
Tufted textile fabric, of heading 5802, made from cotton yarn of heading 5205 and cotton fabric of heading 5210, is a only mixed product if the cotton fabric is itself a mixed fabric made from yarns classified in two separate headings, or if the cotton yarns used are themselves mixtures.
Example:
If the tufted textile fabric concerned had been made from cotton yarn of heading 5205 and synthetic fabric of heading 5407, then, obviously, the yarns used are two separate basic textile materials and the tufted textile fabric is, accordingly, a mixed product.
5.3. In the case of products incorporating "yarn made of polyurethane segmented with flexible segments of polyether, whether or not gimped", this tolerance is 20 % in respect of this yarn.
5.4. In the case of products incorporating "strip consisting of a core of aluminium foil or of a core of plastic film whether or not coated with aluminium powder, of a width not exceeding 5 mm, sandwiched by means of a transparent or coloured adhesive between two layers of plastic film", this tolerance is 30 % in respect of this strip.
Note 6:
6.1. Where, in the list, reference is made to this Note, textile materials (with the exception of linings and interlinings), which do not satisfy the rule set out in the list in column 3 for the made-up product concerned, may be used, provided that they are classified in a heading other than that of the product and that their value does not exceed 8 % of the ex-works price of the product.
6.2. Without prejudice to Note 6.3, materials, which are not classified within Chapters 50 to 63, may be used freely in the manufacture of textile products, whether or not they contain textiles.
Example:
If a rule in the list provides that, for a particular textile item (such as trousers), yarn must be used, this does not prevent the use of metal items, such as buttons, because buttons are not classified within Chapters 50 to 63. For the same reason, it does not prevent the use of slide-fasteners, even though slide-fasteners normally contain textiles.
6.3. Where a percentage-rule applies, the value of materials which are not classified within Chapters 50 to 63 must be taken into account when calculating the value of the non-originating materials incorporated.
Note 7:
7.1. For the purposes of headings ex 2707, 2713 to 2715, ex 2901, ex 2902 and ex 3403, the "specific processes" are the following:
(a) vacuum-distillation;
(b) redistillation by a very thorough fractionation-process;
(c) cracking;
(d) reforming;
(e) extraction by means of selective solvents;
(f) the process comprising all of the following operations: processing with concentrated sulphuric acid, oleum or sulphuric anhydride; neutralisation with alkaline agents; decolourisation and purification with naturally-active earth, activated earth, activated charcoal or bauxite;
(g) polymerisation;
(h) alkylation;
(i) isomerisation.
7.2. For the purposes of headings 2710, 2711 and 2712, the "specific processes" are the following:
(a) vacuum-distillation;
(b) redistillation by a very thorough fractionation-process;
(c) cracking;
(d) reforming;
(e) extraction by means of selective solvents;
(f) the process comprising all of the following operations: processing with concentrated sulphuric acid, oleum or sulphuric anhydride; neutralisation with alkaline agents; decolourisation and purification with naturally-active earth, activated earth, activated charcoal or bauxite;
(g) polymerisation;
(h) alkylation;
(ij) isomerisation;
(k) in respect of heavy oils of heading ex 2710 only, desulphurisation with hydrogen, resulting in a reduction of at least 85 % of the sulphur-content of the products processed (ASTM D 1266-59 T method);
(l) in respect of products of heading 2710 only, deparaffining by a process other than filtering;
(m) in respect of heavy oils of heading ex 2710 only, treatment with hydrogen, at a pressure of more than 20 bar and a temperature of more than 250 °C, with the use of a catalyst, other than to effect desulphurisation, when the hydrogen constitutes an active element in a chemical reaction. The further treatment, with hydrogen, of lubricating oils of heading ex 2710 (e.g. hydrofinishing or decolourisation), in order, more especially, to improve colour or stability shall not, however, be deemed to be a specific process;
(n) in respect of fuel oils of heading ex 2710 only, atmospheric distillation, on condition that less than 30 % of these products distils, by volume, including losses, at 300 °C, by the ASTM D 86 method;
(o) in respect of heavy oils other than gas oils and fuel oils of heading ex 2710 only, treatment by means of a high-frequency electrical brush-discharge;
(p) in respect of crude products (other than petroleum jelly, ozokerite, lignite wax or peat wax, paraffin wax containing by weight less than 0.75 % of oil) of heading ex 2712 only, de-oiling by fractional crystallisation.
7.3. For the purposes of headings ex 2707, 2713 to 2715, ex 2901, ex 2902 and ex 3403, simple operations, such as cleaning, decanting, desalting, water-separation, filtering, colouring, marking, obtaining a sulphur-content as a result of mixing products with different sulphur-contents, or any combination of these operations or like operations, do not confer origin.
The products mentioned in the list may not be all covered by the Agreement. It is, therefore, necessary to consult the other parts of the Agreement.
Printing instructions
1. Each form shall measure 210 x 297 mm; a tolerance of up to minus 5 mm or plus 8 mm in the length may be allowed. The paper used must be white, sized for writing, not containing mechanical pulp and weighing not less than 25 g/m2. It shall have a printed green guilloche pattern background making any falsification by mechanical or chemical means apparent to the eye.
2. The competent authorities of the Member States of the Community and of Latvia may reserve the right to print the forms themselves or may have them printed by approved printers. In the latter case, each form must include a reference to such approval. Each form must bear the name and address of the printer or a mark by which the printer can be identified. It shall also bear a serial number, either printed or not, by which it can be identified.
|
Chapter 1 |
|
|
Chapter 2 |
|
|
Chapter 3 |
|
|
0401 to 0402 |
|
|
ex 0403 |
Buttermilk, curdled milk and cream, yoghurt, kephir and other fermented or acidified milk and cream, whether or not concentrated or containing added sugar or other sweetening matter |
|
0404 to 0410 |
|
|
0504 |
|
|
0511 |
|
|
Chapter 6 |
|
|
0701 to 0709 |
|
|
ex 0710 |
Vegetables except sweet corn of heading 0710 40 00 (uncooked or cooked by steaming or boiling in water), frozen |
|
ex 0711 |
Vegetables, except sweet corn of heading 0711 90 30, provisionally preserved (for example, by sulphur dioxide gas, in brine, in sulphur water or in other preservative solutions), but unsuitable in that state for immediate consumption |
|
0712 to 0714 |
|
|
Chapter 8 |
|
|
ex Chapter 9 |
Coffee, tea, and spices, excluding matē of heading No 0903 |
|
Chapter 10 |
|
|
Chapter 11 |
|
|
Chapter 12 |
|
|
ex 1302 |
Pectic substances, pectinates and pectates |
|
1501 to 1514 |
|
|
ex 1515 - |
Other fixed vegetable fats and oils (excluding jojoba oil and its fractions) and their fractions, whether or not refined, but not chemically modified |
|
ex 1516 - |
Animal or vegetable fats and oils and their fractions, partly or wholly hydrogenated, inter-esterified, re-esterified or elaidinised, whether or not refined, but not further prepared, excluding hydrogenated castor oil known as "opal-wax" |
|
ex 1517 and |
|
|
ex 1518 - |
Margarines, imitation lard and other prepared edible fats |
|
ex 1522 - |
Residues resulting from the treatment of fatty substances or animal or vegetable waxes, excluding degras |
|
Chapter 16 |
|
|
1701 |
|
|
ex 1702 - |
Other sugars, including chemically pure lactose, maltose, glucose and fructose, in solid form; sugar syrups not containing added flavouring or colouring matter; artificial honey, whether or not mixed with natural honey; caramel excluding that of headings Nos 1702 11 00, 1702 30 51, 1702 30 59, 1702 50 00 and 1702 90 10 |
|
1703 |
|
|
1801 and 1802 |
|
|
ex 1902 - |
Pasta, stuffed, containing more than 20% by weight of fish, crustaceans, molluscs or other aquatic invertebrates, sausages and the like or meat and meat offal of any kind, including fats of all kinds |
|
ex 2001 - |
Cucumbers and gherkins, onions, mango chutney, fruit of the genus Capsicum other than sweet peppers or pimentos, mushrooms and olives, prepared or preserved by vinegar or acetic acid |
|
2002 and 2003 |
|
|
ex 2004 - |
Other vegetables prepared or preserved otherwise than by vinegar or acetic acid, frozen, other than products of heading 2006, excluding potatoes in the form of flour, meal or flakes, and sweetcorn |
|
ex 2005 - |
Other vegetables prepared or preserved otherwise than by vinegar or acetic acid, not frozen, other than products of heading 2006, excluding potatoes in the form of flour, meal or flakes, and sweetcorn |
|
2006 and 2007 |
|
|
ex 2008 - |
Fruits, nuts and other edible parts of plants, otherwise prepared or preserved, whether or not containing added sugar or other sweetening matter or spirit, not elsewhere specified or included, excluding peanut butter, palm hearts, maize, yams, sweet potatoes and similar edible parts of plants containing 5% or more by weight of starch, vine leaves, hop shoots and other similar edible parts of plants |
|
2009 |
|
|
ex 2106 - |
Flavoured and coloured sugar, syrups |
|
2204 |
|
|
2206 |
|
|
ex 2207 - |
Undenatured ethyl alcohol of an alcoholic strength by volume of 80% vol or higher obtained from agricultural produce listed here |
|
ex 2208 - |
Undenatured ethyl alcohol of an alcoholic strength by volume of less than 80% vol obtained from agricultural produce listed here. |
|
2209 |
|
|
Chapter 23 |
|
|
2401 |
|
|
4501 |
|
|
5301 and 5302 |
JOINT DECLARATION
concerning the Principality of Andorra
1. Products originating in the Principality of Andorra falling within Chapters 25 to 97 of the Harmonized System shall be accepted by Latvia as originating in the Community within the meaning of this Agreement.
2. Protocol 3 shall apply mutatis mutandis for the purpose of defining the originating status of the abovementioned products.
JOINT DECLARATION
concerning the Republic of San Marino
1. Products originating in the Republic of San Marino shall be accepted by Latvia as originating in the Community within the meaning of this Agreement.
2. Protocol 3 shall apply mutatis mutandis for the purpose of defining the originating status of the abovementioned products.
JOINT DECLARATION
concerning the review of the changes to the origin rules as a
result of the amendments to the Harmonized System
Where, following the amendments made to the nomenclature, the changes to the origin rules as introduced by Decision No ../.. alter the substance of any rule existing prior to Decision ../.., and it appears that such alteration results in a situation prejudicial to the interest of the sectors concerned, then, if one of the Contracting Parties so requests in the period up to and including 31 December 2004, an examination shall be made as a matter of urgency by the Association Council, of the need to restore the substance of the rule concerned as it was before Decision ../..
In any case the Joint Committee shall decide to restore, or not to restore, the substance of the rule concerned within a period of three months of the request being made to it by either of the parties to the Agreement.
If the substance of the rule concerned is restored, then the parties to the Agreement shall also provide the legal framework necessary to ensure that any customs duties paid on the products concerned imported after 1 January 2002 can be reimbursed.