
Ministru kabineta noteikumi Nr.1189
Rīgā 2010.gada 28.decembrī (prot. Nr.75 26.§)
Grozījumi Ministru kabineta 2009.gada 13.janvāra noteikumos Nr.44 "Noteikumi par darbības programmas "Infrastruktūra un pakalpojumi" papildinājuma 3.1.5.3.1.apakšaktivitāti "Stacionārās veselības aprūpes attīstība""
Izdoti saskaņā
ar Eiropas Savienības struktūrfondu un
Kohēzijas fonda vadības likuma 18.panta 10.punktu
Izdarīt Ministru kabineta 2009.gada 13.janvāra noteikumos Nr.44 "Noteikumi par darbības programmas "Infrastruktūra un pakalpojumi" papildinājuma 3.1.5.3.1.apakšaktivitāti "Stacionārās veselības aprūpes attīstība"" (Latvijas Vēstnesis, 2009, 22., 102.nr.; 2010, 37., 125., 144.nr.) šādus grozījumus:
1. Aizstāt 3.3.apakšpunktā skaitli un vārdu "1.marta" ar skaitli un vārdu "1.jūnija".
2. Izteikt 12.punktu šādā redakcijā:
"12. Projekta iesniedzējs, iesniedzot projekta iesniegumu, var pretendēt uz attiecināmo izmaksu kopsummu, kas nepārsniedz:
12.1. šo noteikumu 1.pielikuma ailē "Projekta pamatsumma (tajā skaitā Eiropas Reģionālās attīstības fonda, valsts budžeta un attiecināmais privātais līdzfinansējums)" norādītās projekta attiecināmo izmaksu summas;
12.2. šo noteikumu 1.pielikuma ailē "Projekta summa (tajā skaitā Eiropas Reģionālās attīstības fonda, valsts budžeta un attiecināmais privātais līdzfinansējums)" norādītās apvienības attiecināmo izmaksu summas, ja projekta iesniedzējs līdz 2011.gada 15.maijam ir reģistrējis komercreģistrā apvienību ar citu projekta iesniedzēju;
12.3. atbilstoši šo noteikumu 5.4.apakšpunkta nosacījumiem aprēķināto summu."
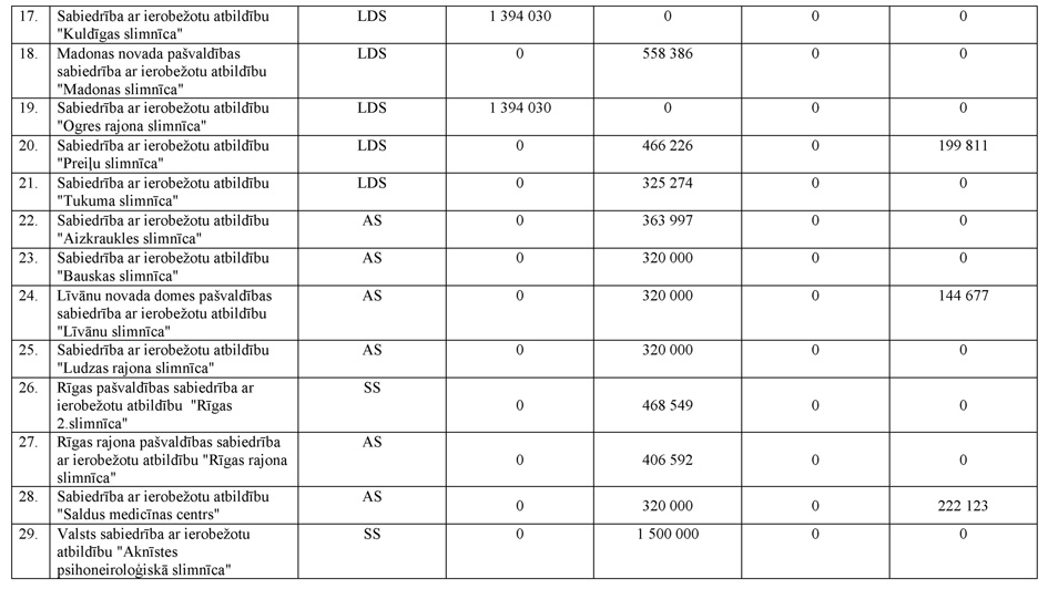
3. Izteikt 1.pielikumu šādā redakcijā:
"1.pielikums
Ministru kabineta
2009.gada 13.janvāra
noteikumiem Nr.44
Stacionārās veselības aprūpes iestādes atbilstoši normatīvajiem aktiem par ambulatorās un stacionārās veselības aprūpes pakalpojumu sniedzēju attīstību
Piezīme. * Valsts sabiedrība ar ierobežotu atbildību "Piejūras slimnīca" (turpmāk – Piejūras slimnīca) ir projekta iesniedzējam pievienojamā iestāde, kas nav projekta iesniedzējs. Piejūras slimnīcas projekta summu var saņemt tikai sabiedrība ar ierobežotu atbildību "Liepājas reģionālā slimnīca", izveidojot apvienību ar Piejūras slimnīcu atbilstoši Ministru kabineta 2009.gada 13.janvāra noteikumu Nr.44 "Noteikumi par darbības programmas "Infrastruktūra un pakalpojumi" papildinājuma 3.1.5.3.1.apakšaktivitāti "Stacionārās veselības aprūpes attīstība"" 12.2.apakšpunktam."
4. Izteikt 3.pielikuma A daļas 2.sadaļas 2.11.apakšpunkta ievaddaļu šādā redakcijā:
"2.11. Iestādes darbības raksturojums (pirmās projektu iesniegumu atlases kārtas projektu iesniedzēji norāda 2007.gada darbības datus un informāciju, otrās projektu iesniegumu atlases kārtas projektu iesniedzēji ierobežojumu aprēķināšanai izmanto 2009.gada darbības datus un informāciju un trešās projektu iesniegumu atlases kārtas projektu iesniedzēji ierobežojumu aprēķināšanai izmanto 2010.gada darbības datus un informāciju):".
5. Izteikt 3.pielikuma A daļas 7.sadaļas 7.2.apakšpunktu šādā redakcijā:
"7.2. Projekta attiecināmo izmaksu finansējuma izlietojums pa gadiem
| Projekta īstenošanas gads | Attiecināmo izmaksu finansējuma apjoms LVL | % no kopējā attiecināmo izmaksu finansējuma |
| 1.gads | ||
| 2.gads | ||
| 3.gads |
" |
6. Papildināt 5.pielikumu ar 40.1 punktu šādā redakcijā:
|
"40.1 |
Aprūpes gultu |
97" |
Ministru prezidents,
reģionālās attīstības un
pašvaldību lietu ministrs V.Dombrovskis
Veselības ministrs J.Bārzdiņš