
Ministru kabineta noteikumi Nr.1131
Rīgā 2010.gada 21.decembrī (prot. Nr.74 45.§)
Noteikumi par izmēģinājumu dzīvnieku audzētāju, piegādātāju un lietotāju reģistrāciju, kārtība, kādā veicamas darbības ar izmēģinājumu dzīvniekiem, un izmēģinājumu dzīvniekiem nodrošināmās labturības prasības
Izdoti saskaņā
ar Dzīvnieku aizsardzības likuma 10.panta 4.punktu un
Veterinārmedicīnas likuma 25.panta 11.punktu
I. Vispārīgie jautājumi
1. Noteikumi nosaka:
1.1. izmēģinājumu dzīvnieku audzētāju, piegādātāju un lietotāju reģistrācijas kārtību;
1.2. kārtību, kādā veicamas darbības ar izmēģinājumu dzīvniekiem;
1.3. izmēģinājumu dzīvniekiem nodrošināmās labturības prasības.
2. Noteikumos lietotie termini:
2.1. par izmēģinājumu dzīvniekiem atbildīgā persona – fiziska persona, kura ir atbildīga par uzņēmumā turēto dzīvnieku aprūpi vai šādas aprūpes organizēšanu, kurai ir augstākā veterinārmedicīniskā, bioloģiskā, medicīniskā vai farmaceitiskā izglītība un kura ir apguvusi apmācības kursu par izmēģinājumu dzīvnieku labturības prasībām;
2.2. par izmēģinājumu atbildīgā persona – fiziska persona, kura ir atbildīga par izmēģinājuma atbilstību šo noteikumu prasībām, kurai ir augstākā veterinārmedicīniskā, bioloģiskā, medicīniskā vai farmaceitiskā izglītība un kura ir apguvusi apmācības kursu par izmēģinājumu dzīvnieku labturības prasībām;
2.3. turēšanas telpa – telpa atbilstoši 1986.gada 18.marta Eiropas Konvencijas par izmēģinājumos un citos zinātniskos nolūkos izmantojamo mugurkaulnieku aizsardzību (turpmāk – konvencija) A papildinājumā minētajai definīcijai;
2.4. sprosts – būris atbilstoši konvencijas A papildinājumā minētajai definīcijai;
2.5. aizgalds – aizgalds atbilstoši konvencijas A papildinājumā minētajai definīcijai;
2.6. aploks – aploks atbilstoši konvencijas A papildinājumā minētajai definīcijai;
2.7. steliņģis – steliņģis atbilstoši konvencijas A papildinājumā minētajai definīcijai;
2.8. atbilstoši anestezēts dzīvnieks – dzīvnieks, kuram nomāktas sajūtas, izmantojot vietējo vai vispārējo anestēziju.
3. Pārtikas un veterinārais dienests (turpmāk – dienests) valsts veterinārās uzraudzības objektu datubāzē izveido un uztur izmēģinājumu dzīvnieku audzētāju, piegādātāju un lietotāju reģistru (turpmāk – reģistrs). Reģistra pārzinis ir dienests.
4. Reģistrā iekļauj šo noteikumu 6.1.apakšpunktā minētajā iesniegumā norādīto informāciju un nodrošina reģistra publisku pieejamību, ievērojot informācijas atklātības un datu aizsardzību regulējošo normatīvo aktu prasības.
5. Dienests reizi gadā savā mājaslapā internetā publicē šādu informāciju:
5.1. datus par izmēģinājumos izmantoto izmēģinājumu dzīvnieku sugām un to kopējo skaitu atbilstoši šādiem izmēģinājumu veidiem:
5.1.1. izmēģinājumi, kas saistīti ar vielu, zāļu un farmaceitisko produktu, pārtikas produktu un nepārtikas produktu izstrādi, ražošanu, kā arī šo produktu un vielu kvalitātes, efektivitātes un drošības pārbaudi;
5.1.2. farmaceitiskie, bioloģiskie, medicīniskie un veterinārmedicīniskie izmēģinājumi;
5.1.3. vides aizsardzības nodrošināšanas izmēģinājumi;
5.2. datus par citos izmēģinājumos (kas nav minēti šo noteikumu 5.1.apakšpunktā) izmantoto izmēģinājumu dzīvnieku kopējo skaitu.
II. Izmēģinājumu dzīvnieku audzētāja, piegādātāja un lietotāja reģistrācijas kārtība
6. Pirms darbības uzsākšanas izmēģinājumu dzīvnieku audzētājs, piegādātājs vai lietotājs iesniedz dienestā:
6.1. iesniegumu izmēģinājumu dzīvnieku audzētāja, piegādātāja vai lietotāja reģistrācijai (1.pielikums);
6.2. izmēģinājumu dzīvnieku audzētāja, piegādātāja vai lietotāja telpu vai teritorijas nomas līguma kopiju un apsaimniekotāja rakstisku atļauju darbībām ar izmēģinājumu dzīvniekiem, ja attiecīgās telpas vai teritorija nav izmēģinājumu dzīvnieku audzētāja, piegādātāja vai lietotāja īpašums;
6.3. tā dokumenta kopiju, kas apliecina par izmēģinājumu dzīvniekiem atbildīgās personas augstākās veterinārmedicīniskās, bioloģiskās, medicīniskās vai farmaceitiskās izglītības ieguvi, kā arī apmācības kursa apguvi par izmēģinājumu dzīvnieku labturības prasībām.
7. Ja mainījusies šo noteikumu 6.1.apakšpunktā minētajā iesniegumā norādītā informācija, izmēģinājumu dzīvnieku audzētājs, piegādātājs vai lietotājs 10 darbdienu laikā pēc izmaiņu rašanās rakstiski iesniedz dienestā precizētu šo noteikumu 1.pielikuma 1., 2., 3. vai 4.punktā minēto informāciju vai informē par izmēģinājumu dzīvnieku audzētāja, piegādātāja vai lietotāja darbības pārtraukšanu vai reorganizāciju, vai pārreģistrāciju.
8. Dienests 10 darbdienu laikā pēc šo noteikumu 6. un 7.punktā minēto dokumentu saņemšanas pārbauda izmēģinājumu dzīvnieku audzētāja, piegādātāja un lietotāja atbilstību šo noteikumu prasībām.
9. Dienests reģistrē izmēģinājumu dzīvnieku audzētāju, piegādātāju vai lietotāju, ja tas atbilst šo noteikumu prasībām.
10. Ja izmēģinājumu dzīvnieku lietotājs savās telpās audzē izmēģinājumu dzīvniekus paša izmēģinājumiem, tas nodrošina arī izmēģinājumu dzīvnieku audzētājam noteikto prasību izpildi, bet dienests to reģistrē tikai kā izmēģinājumu dzīvnieku lietotāju.
III. Kārtība, kādā veicamas darbības ar izmēģinājumu dzīvniekiem
11. Izmēģinājumu dzīvnieku audzētājam, piegādātājam un lietotājam ir pienākums nodrošināt:
11.1. šajā nodaļā, kā arī šo noteikumu IV nodaļā un 2.pielikumā noteiktās labturības prasības izmēģinājumu dzīvnieku turēšanai, izmantošanai un aprūpei;
11.2. veterinārmedicīnisko aprūpi izmēģinājumu dzīvniekiem;
11.3. par izmēģinājumu dzīvniekiem atbildīgo personu, kas ir ieguvusi šo noteikumu 2.1.apakšpunktā minēto izglītību un apguvusi apmācības kursu šādos jautājumos:
11.3.1. droša rīcība ar izmēģinājumu dzīvniekiem (pārvietošana, fiksācija);
11.3.2. izmēģinājumu dzīvnieku kopšanas, turēšanas, barošanas un uzskaites pamatprincipi;
11.3.3. izmēģinājumu dzīvnieku fizioloģija, etoloģija un reprodukcija;
11.3.4. izmēģinājumu dzīvnieku biežāk sastopamās slimības, to klīniskās pazīmes un spēja noteikt šīs slimības;
11.3.5. izmēģinājumu dzīvnieku turēšanas vietu, sprostu, iekārtu tīrīšanas, mazgāšanas un dezinfekcijas pamatprincipi;
11.3.6. izmēģinājumu dzīvnieku identifikācijas paņēmieni;
11.3.7. humānas izmēģinājumu dzīvnieku nogalināšanas metodes;
11.3.8. Eiropas Savienības un Latvijas normatīvie akti par izmēģinājumu dzīvnieku labturības prasībām;
11.4. telpas, kurās, ja nepieciešams, atsevišķi izmitina slimus vai ievainotus dzīvniekus, ja slimība vai ievainojums nav radies izmēģinājuma dēļ;
11.5. nobeigušos izmēģinājumu dzīvnieku un atkritumu higiēnisku uzglabāšanu un iznīcināšanu. Ja iznīcināšana attiecīgajā uzņēmumā nav iespējama vai nav nepieciešama, to nodrošina atbilstoši normatīvajiem aktiem par veterinārajām prasībām to dzīvnieku izcelsmes blakusproduktu un pārstrādātu produktu apritei, kuri nav paredzēti cilvēku patēriņam.
12. Izmēģinājumu dzīvnieku audzētājs, piegādātājs un lietotājs reģistrē šādus datus:
12.1. izmēģinājumu dzīvnieku iegādes un realizēšanas datumu;
12.2. tās fiziskās personas vārdu, uzvārdu un adresi vai juridiskās personas nosaukumu un adresi, kura piegādājusi un kura saņēmusi izmēģinājumu dzīvniekus;
12.3. iegādāto un realizēto izmēģinājumu dzīvnieku skaitu un sugu;
12.4. primātu, suņu un kaķu izcelšanos un identitāti;
12.5. nobeigušos izmēģinājumu dzīvnieku sugu, skaitu un nobeigšanās datumu un iemeslu.
13. Šo noteikumu 12. un 31.punktā minētos datus glabā vismaz trīs gadus un pēc pieprasījuma uzrāda dienestam.
14. Izmēģinājumu dzīvnieku audzētājs, piegādātājs un lietotājs nosaka:
14.1. telpu, aprīkojuma un inventāra tīrīšanas, mazgāšanas un dezinficēšanas kārtību;
14.2. izmēģinājumu dzīvnieku barošanas un dzirdināšanas aprīkojuma un inventāra tīrīšanas, mazgāšanas un sterilizācijas kārtību;
14.3. pakaišu un sprostu mainīšanas kārtību;
14.4. ēkas un aprīkojuma uzturēšanas (apkopes un defektu novēršanas) kārtību.
15. Izmēģinājumu dzīvnieku audzēšanas uzņēmumā iekārto:
15.1. karantīnas telpu;
15.2. turēšanas telpu (vismaz vienu katrai izmēģinājumu dzīvnieku sugai);
15.3. telpu negranulētas dzīvnieku barības sagatavošanai;
15.4. telpu vai norobežotu vietu:
15.4.1. sprostu, barošanas inventāra un dzirdināšanas inventāra mazgāšanai, dezinfekcijai un žāvēšanai (arī telpu vai skapi tīrīšanas, mazgāšanas un dezinfekcijas līdzekļu glabāšanai);
15.4.2. tīro sprostu, barošanas inventāra un dzirdināšanas inventāra glabāšanai;
15.4.3. pakaišu glabāšanai;
15.4.4. granulētas dzīvnieku barības glabāšanai.
16. Izmēģinājumu dzīvnieku audzētājs nodrošina dzīvnieku sagatavošanu transportēšanai, izmantojot izmēģinājumu dzīvnieku sugai piemērotu aprīkojumu.
17. Izmēģinājumu dzīvnieku piegādes uzņēmumos ir:
17.1. izmēģinājumu dzīvnieku nosūtīšanai paredzētas telpas un aprīkojums atbilstoši šajā nodaļā un šo noteikumu IV nodaļā minētajām prasībām;
17.2. karantīnas telpa.
18. Izmēģinājumu dzīvnieku piegādātājs nodrošina to prasību ievērošanu, kas ir noteiktas Padomes 2004.gada 22.decembra Regulā (EK) Nr.1/2005 par dzīvnieku aizsardzību pārvadāšanas un saistīto darbību laikā un grozījumu izdarīšanu Direktīvās 64/432/EEK un 93/119/EK un Regulā (EK) Nr.1255/97.
19. Izmēģinājumu dzīvnieku lietotājs:
19.1. norīko par izmēģinājumu dzīvniekiem atbildīgo personu;
19.2. norīko par iekārtu darbību atbildīgo personu;
19.3. nodrošina, lai izmēģinājumu dzīvnieku veterinārmedicīnisko aprūpi veiktu praktizējošs veterinārārsts, ar kuru ir noslēgts līgums un kurš, ja nepieciešams, pilda arī padomdevēja funkcijas jautājumos, kas saistīti ar izmēģinājumu dzīvnieku labturības prasību ievērošanu.
20. Par izmēģinājumu atbildīgā persona, kas izmēģinājumā veic procedūras, atļaujas saņemšanai iesniedz dienestā:
20.1. iesniegumu, kurā norāda fiziskās personas vārdu, uzvārdu, personas kodu, dzīvesvietas adresi, tālruņa numuru;
20.2. augstāko medicīnisko, veterinārmedicīnisko, bioloģisko vai farmaceitisko izglītību apliecinoša dokumenta kopiju;
20.3. dokumenta kopiju par apmācības kursa apguvi par izmēģinājumu dzīvnieku labturības prasībām šādos jautājumos:
20.3.1. izmēģinājumu dzīvnieku kopšanas, turēšanas un barošanas pamatprincipi;
20.3.2. izmēģinājumu dzīvnieku anatomija, fizioloģija, etoloģija un reprodukcija;
20.3.3. izmēģinājumu dzīvnieku veselības pārbaudes, infekcijas slimības un to ietekme uz izmēģinājumiem;
20.3.4. izmēģinājumu dzīvnieku izmantošanas drošība (alerģijas, zoonozes, patogēni, karcinogēni un citi draudi apkalpojošam personālam);
20.3.5. izmēģinājumu dzīvnieku anestēzija, analgēzija un izmēģinājuma procedūras;
20.3.6. izmēģinājumu dzīvnieku humānas nogalināšanas metodes;
20.3.7. izmēģinājumu dzīvnieku ētiska izmantošana zinātnē, izmēģinājumu izstrādes pamatprincipi un pētījumu veikšana ar izmēģinājumu dzīvniekiem;
20.3.8. izmēģinājumu dzīvnieku transportēšana;
20.3.9. alternatīvās izmēģinājumu metodes;
20.3.10. zinātniskās literatūras analīze;
20.3.11. Eiropas Savienības un Latvijas normatīvie akti par izmēģinājumu dzīvnieku labturības prasībām.
21. Dienests piecu darbdienu laikā pēc šo noteikumu 20.punktā minēto dokumentu saņemšanas un izvērtēšanas izsniedz atļauju par izmēģinājumu atbildīgai personai, kas izmēģinājumā veic procedūras, ja tā atbilst šo noteikumu prasībām.
22. Lai saņemtu atļauju dzīvnieku izmantošanai izmēģinājumā, izmēģinājuma dzīvnieku lietotājs dienestā iesniedz:
22.1. iesniegumu, kurā norāda:
22.1.1. izmēģinājumu dzīvnieku lietotāju;
22.1.2. izmēģinājuma norises vietu (arī informāciju par vietu, kur notiks izmēģinājums, ja to paredzēts veikt ārpus izmēģinājumu dzīvnieku lietotāja uzņēmuma telpām);
22.1.3. tās par izmēģinājumu atbildīgās personas vārdu, uzvārdu un atļaujas numuru, kura izmēģinājumā veiks procedūras;
22.1.4. to personu vārdus un uzvārdus, kuras veiks izmēģinājumu;
22.1.5. izmēģinājuma sākuma un beigu datumu;
22.2. izmēģinājuma projektu, kurā norāda:
22.2.1. izmēģinājuma nosaukumu;
22.2.2. izmēģinājuma mērķi;
22.2.3. izmēģinājuma nepieciešamības pamatojumu;
22.2.4. izmēģinājumu dzīvnieku skaitu un sugu, to izmantošanas pamatojumu;
22.2.5. to procedūru uzskaitījumu un aprakstu, kurām tiks pakļauti izmēģinājumu dzīvnieki;
22.2.6. izskatītās un noraidītās alternatīvās izmēģinājuma metodes;
22.2.7. paredzētās anestēzijas, analgēzijas un nogalināšanas metodes;
22.2.8. pamatojumu, ja izmēģinājuma laikā paredzēts izmēģinājumu dzīvnieku nogalināt;
22.2.9. pamatojumu, ja plānots izmēģinājumu dzīvnieku pakļaut izmēģinājumam, kurā tas cietīs vai var ciest (arī ilgstoši) stipras sāpes;
22.2.10. pamatojumu, ja neizmantos anestēziju vai analgēziju;
22.2.11. pamatojumu, ja nevar izmantot izmēģinājumu dzīvnieku audzētāja vai piegādātāja izmēģinājumu dzīvnieku atbilstoši šo noteikumu 34.punktam;
22.2.12. pamatojumu, ja izmēģinājums notiks ārpus izmēģinājumu dzīvnieku lietotāja uzņēmuma telpām.
23. Izmēģinājumu plāno tā, lai izmēģinājumu dzīvniekam novērstu sāpes, diskomfortu un ciešanas.
24. Dienests pēc šo noteikumu 22.punktā minēto dokumentu saņemšanas un izvērtēšanas iesniedz tos Dzīvnieku aizsardzības ētikas padomē izmēģinājuma ētiskai izvērtēšanai un atzinuma sniegšanai.
25. Dienests piecu darbdienu laikā pēc Dzīvnieku aizsardzības ētikas padomes atzinuma saņemšanas izsniedz atļauju izmēģinājumu dzīvnieku izmantošanai.
26. Dienests izsniedz atļauju arī par procedūrām, kurās tiek radītas produktu un vielu kvalitātes, efektivitātes vai drošuma apstiprināšanas alternatīvās metodes, kas samazina vai aizstāj izmēģinājumu dzīvnieku izmantošanu un kas nodrošina mazāk sāpīgu procedūru izmantošanu.
27. Dienests atļaujā par dzīvnieku izmantošanu izmēģinājumā norāda:
27.1. atļaujas numuru;
27.2. izmēģinājuma nosaukumu;
27.3. atļaujas saņēmēju:
27.3.1. izmēģinājumu dzīvnieku lietotāju;
27.3.2. par izmēģinājumu atbildīgās personas vārdu, uzvārdu un atļaujas numuru, kura izsniegta par izmēģinājumu atbildīgajai personai, kas izmēģinājumā veic procedūras;
27.4. atļaujas darbības laiku, kas nav ilgāks par pieciem gadiem;
27.5. izmēģinājuma vietu.
28. Procedūras atļauts veikt par izmēģinājumu atbildīgajai personai. Citām personām procedūras atļauts veikt par izmēģinājumu atbildīgās personas uzraudzībā. Par izmēģinājumu atbildīgā persona atbild par izmēģinājumā iesaistīto personu apmācību un rīcību ar izmēģinājumu dzīvniekiem.
29. Par izmēģinājumu atbildīgā persona vai cita tās uzraudzībā esoša persona procedūras veic:
29.1. izmēģinājumu dzīvnieku lietotāja uzņēmumā;
29.2. ārpus izmēģinājumu dzīvnieku lietotāja uzņēmuma telpām.
30. Par izmēģinājumu atbildīgā persona katru gadu līdz 15.decembrim saskaņā ar šo noteikumu 3.pielikumu nosūta dienestam pārskatu par kārtējā gadā izmēģinājumos izmantotajiem izmēģinājumu dzīvniekiem.
31. Izmēģinājumu dzīvnieku lietotājs papildus šo noteikumu 12.punktā minētajiem datiem reģistrē šādus datus:
31.1. izmēģinājumos izmantotos izmēģinājumu dzīvniekus atbilstoši šo noteikumu 3.pielikumam;
31.2. par izmēģinājumu atbildīgās personas vārdu un uzvārdu;
31.3. par izmēģinājumu dzīvniekiem atbildīgās personas vārdu un uzvārdu.
32. Izmēģinājumu dzīvnieku lietotāja uzņēmumā iekārto:
32.1. karantīnas telpu;
32.2. izmēģinājumu telpu;
32.3. ja nepieciešams, atbilstoši aprīkotu vienu vai vairākas atsevišķas telpas ķirurģisku manipulāciju veikšanai sterilos apstākļos;
32.4. pēcoperācijas telpu, ja paredzēta izmēģinājumu dzīvnieku atlabšana;
32.5. turēšanas telpu (katrai izmēģinājumu dzīvnieku sugai vismaz vienu);
32.6. telpu negranulētas dzīvnieku barības sagatavošanai, ja paredzēts to gatavot;
32.7. telpu vai norobežotu vietu:
32.7.1. sprostu, barošanas inventāra un dzirdināšanas inventāra mazgāšanai, dezinfekcijai un žāvēšanai (arī telpu vai skapi tīrīšanas, mazgāšanas un dezinfekcijas līdzekļu glabāšanai);
32.7.2. tīro sprostu, barošanas inventāra un dzirdināšanas inventāra glabāšanai;
32.7.3. pakaišu glabāšanai;
32.7.4. granulētas dzīvnieku barības glabāšanai;
32.8. vienu vai vairākas atsevišķas telpas procedūru veikšanai, ja procedūru nav vēlams veikt izmēģinājumu dzīvnieku turēšanas telpās.
33. Telpas un aprīkojums ir piemērots izmēģinājumu dzīvnieku sugai un procedūrai. To plānojums, konstrukcija un darbība nodrošina efektīvu izmēģinājuma veikšanu, kura nolūks ir iegūt konsekventus rezultātus, izmēģinājumā izmantojot minimālu dzīvnieku skaitu un pēc iespējas samazinot tiem nodarīto sāpju, ciešanu, diskomforta vai ilgstoša kaitējuma līmeni.
34. Izmēģinājumos atļauts izmantot:
34.1. izmēģinājumu dzīvniekus, kas iegūti no reģistrēta izmēģinājumu dzīvnieku audzētāja un piegādātāja;
34.2. dzīvniekus, kas mīt savvaļā, ja ir saņemts:
34.2.1. Valsts meža dienesta atzinums par medījamo savvaļas sugu dzīvnieku izmantošanu;
34.2.2. Dabas aizsardzības pārvaldes atzinums par nemedījamo savvaļas sugu dzīvnieku izmantošanu.
35. Izmēģinājumos neizmanto klaiņojošus dzīvniekus un dzīvniekus no patversmēm.
36. Katru saņemto izmēģinājumu dzīvnieku reģistrē un identificē.
37. Identificējot dzīvnieku, ja nepieciešams, izmanto nomierinošus līdzekļus vai vietējo anestēziju un pretsāpju līdzekļus.
38. Izmēģinājumu dzīvnieku identificē par izmēģinājumu dzīvniekiem atbildīgā persona.
39. Izmēģinājumos atļauts izmantot tikai identificētus izmēģinājumu dzīvniekus.
40. Suni, kaķi vai primātu, kas nav cilvēkveidīgs primāts, pirms atšķiršanas no mātes visnesāpīgākajā veidā identificē, izņemot šo noteikumu 42.punktā minēto gadījumu.
41. Ja neidentificēts suns, kaķis vai primāts, kas nav cilvēkveidīgs primāts, pēc atšķiršanas no mātes nonāk pie izmēģinājumu dzīvnieku audzētāja, piegādātāja vai lietotāja, to pēc iespējas ātrāk identificē.
42. Ja neidentificētu suni, kaķi vai primātu, kas nav cilvēkveidīgs primāts, pirms tā atšķiršanas no mātes pārved pie cita izmēģinājumu dzīvnieku audzētāja, piegādātāja vai lietotāja, persona, kas saņem dzīvnieku, līdz dzīvnieka identificēšanai saglabā dokumentāciju par tā māti.
IV. Izmēģinājumu dzīvniekiem nodrošināmās labturības prasības
43. Izmēģinājumu dzīvniekam nodrošina atbilstošu turēšanas telpu, ņemot vērā izmēģinājumu dzīvnieka audzēšanas veidu, turēšanas vietu, izmitinātās sugas vajadzības un sociālās izpausmes apstākļus atbilstoši to iespējamai ietekmei uz zinātnisko pētījumu rezultātiem.
44. Izmēģinājumu dzīvniekam:
44.1. nodrošina dzīvnieka veselībai un labturībai atbilstošu turēšanu un kopšanu;
44.2. līdz minimumam samazina jebkurus ierobežojumus dzīvnieka fizioloģisko un etoloģisko vajadzību apmierināšanai.
45. Dzīvnieku barība ir kvalitatīva, dzīvnieku sugai piemērota un atbilst konvencijas A papildinājuma 4.6.apakšpunktā un citos dzīvnieku barības apriti regulējošajos normatīvajos aktos noteiktajām prasībām.
46. Izmēģinājumu dzīvnieku dzirdināšanai, barības gatavošanai, telpu un inventāra mazgāšanai, kā arī mazgāšanas un dezinfekcijas līdzekļu palieku noskalošanai izmanto ūdeni, kas atbilst normatīvajos aktos noteiktajām dzeramā ūdens prasībām.
47. Ja izmanto automātiskās dzirdināšanas sistēmas, nodrošina to pārbaudi, apkopi un skalošanu, lai novērstu avārijas situācijas (piemēram, bloķēšanos, noplūdi). Veic automātiskās dzirdināšanas sistēmas bakterioloģisko testēšanu, lai novērstu infekcijas slimību izplatīšanos.
48. Ja dzirdināšanai izmanto pudeles, tām jābūt izgatavotām no caurspīdīga materiāla, lai varētu redzēt to saturu, izturīgām pret mazgāšanas un dezinfekcijas līdzekļiem un ar platu kaklu. Pudeles, vāciņi, aizbāžņi un caurules ir viegli tīrāmas un sterilizējamas.
49. Visas pudeles un piederumus regulāri izjauc, tīra un, ja nepieciešams, sterilizē. Turēšanas telpās pudeles atkārtoti neuzpilda, bet nomaina pret tīrām un sterilizētām pudelēm.
50. Izmantojot sprostus ar vienlaidu grīdu, tos aprīko ar notecēm, kas novērš applūšanas iespēju.
51. Ūdeni, ko saņem no sabiedriskām hidrotehniskām ierīcēm, testē atbilstoši mikrobioloģiskiem rādītājiem un, ja nepieciešams, to apstrādā, paaugstinot hlora līmeni vai paskābinot.
52. Izmēģinājumu dzīvniekiem nodrošina piemērotus guļvietas vai migas materiālus vai īpašas konstrukcijas gulēšanai.
53. Pakaiši ir sausi, absorbējoši, netoksiski, bez putekļiem un infekciju ierosinātājiem, kaitēkļiem vai cita piesārņojuma. Aizliegts izmantot materiālus, kas ir iegūti no ķīmiski apstrādāta koka vai satur toksiskas vielas, kā arī skaidri nenosakāmus un standartam neatbilstošus materiālus.
54. Dzīvnieku sprostos un aizgaldos grīdas platība vienlaikus visiem dzīvniekiem nodrošina ērtu atpūtas vietu. Visas guļvietas uztur sausas un tīras.
55. Telpas, izmēģinājumu dzīvnieku iežogojumu, sprostu un aploku pamatnes materiālus regulāri tīra un, ja nepieciešams, atjauno, novēršot infekcijas un kaitēkļu izplatības risku. Izmēģinājumu dzīvnieku iežogojumu, sprostu un aploku pamatnes materiālus nomaina, ņemot vērā iežogojuma veidu, dzīvnieka sugu, apdzīvotības blīvumu.
56. Nodrošina tādu tīrīšanas un dezinfekcijas režīmu, lai tas nekaitētu izmēģinājumu dzīvnieku veselībai vai labturībai. Īpašu tīrīšanas režīmu, ņemot vērā sugas uzvedības izpausmes, piemēro sugām, kurām ir raksturīga teritorijas iezīmēšana ar smaku.
57. Turēšanas vietās izmēģinājumu dzīvniekus novēro un aprūpē tā, lai tos traucētu minimāli.
58. Par izmēģinājumu dzīvniekiem atbildīgā persona:
58.1. katru dienu atbilstoši šo noteikumu 4.pielikumam pārbauda vides apstākļus, kuros audzē, tur vai izmanto izmēģinājumu dzīvniekus;
58.2. katru dienu pārbauda izmēģinājumu dzīvnieku labturību un veselību, lai novērstu sāpes, ciešanas, diskomfortu vai ilgstošu kaitējumu, no kura var izvairīties;
58.3. katru dienu veic pasākumus, nodrošinot, lai pēc iespējas ātrāk tiktu novērsti jebkuri atklātie trūkumi vai sāpes, ciešanas, diskomforts un ilgstošs kaitējums;
58.4. teorētiski un praktiski higiēnas un konkrētās dzīvnieku sugas labturības jomā apmāca personas, kas aprūpē un uzrauga izmēģinājumu dzīvniekus;
58.5. ņemot vērā dzīvnieku un darbinieku inficēšanās risku izmēģinājumu dzīvnieku aprūpes procesā, nodrošina regulāras darbinieku veselības pārbaudes un higiēnas prasību ievērošanu.
59. Ja rodas aizdomas, ka izmēģinājumu dzīvnieks var inficēt citus dzīvniekus vai cilvēkus, to izmitina atsevišķi un nosaka izolēšanas termiņu.
60. Slimus, ievainotus vai neatbilstošā stāvoklī esošus izmēģinājumu dzīvniekus rūpīgi novēro un tur atsevišķi no citiem izmēģinājumu dzīvniekiem. Šos izmēģinājumu dzīvniekus izmeklē praktizējošs veterinārārsts vai par izmēģinājumu atbildīgā persona. Praktizējošs veterinārārsts izmēģinājumu dzīvniekiem sniedz atbilstošu veterinārmedicīnisko aprūpi.
61. Aprūpes periods ir laikposms no brīža, kad izmēģinājumu dzīvnieku paredz izmantot izmēģinājumā, līdz brīdim, kad to pēc izmēģinājuma pabeigšanas humāni nogalina vai atbrīvo saskaņā ar šo noteikumu 77.punktu.
62. Ja izmēģinājumu dzīvnieks ir ievainots un cieš stipras sāpes, tam nodrošina anestēziju.
63. Ja izmēģinājumu dzīvniekam nav iespējams nodrošināt anestēziju, sāpju, stresa vai ciešanu mazināšanai izmanto pretsāpju līdzekļus vai citas piemērotas metodes.
64. Ja pēc anestēzijas darbības beigām izmēģinājumu dzīvnieks cieš sāpes, lieto pretsāpju līdzekļus vai, ja tas nav iespējams, izmēģinājumu dzīvnieku nekavējoties humāni nogalina.
65. Izmēģinājumu dzīvniekus sagūsta, izmantojot humānu metodi:
65.1. persona, kurai ir darba pieredze ar konkrētās sugas dzīvniekiem;
65.2. ja nepieciešams, – praktizējošs veterinārārsts, izmantojot anestēziju vai citas nomierinošas zāles.
66. Ja izmēģinājumu dzīvnieks sagūstīšanas laikā gūst ievainojumu:
66.1. dzīvniekam nekavējoties nodrošina veterinārmedicīnisko aprūpi;
66.2. praktizējošs veterinārārsts nosaka dzīvnieka turpmāko izmantošanu.
67. Izmēģinājumu dzīvnieku sagūstīšanas vietās ir pieejams pietiekams daudzums piemērotu pārvadāšanas sprostu un pārvadāšanas līdzekļu.
68. Slimus vai ievainotus izmēģinājumu dzīvniekus atļauts pārvadāt tikai tad, ja slimība vai ievainojums ietilpst pētniecības programmā un pārvadājums notiek atbilstoši šo noteikumu 18.punktā minētajām prasībām. Pārvadājot šos izmēģinājumu dzīvniekus, novērš to papildu ciešanas.
69. Izmēģinājumu dzīvnieku pārvadāšanas laikā ūdeni nodrošina tikai kā mitrās barības sastāvdaļu. Ūdens piegādi organizē tā, lai samazinātu izmēģinājumu dzīvnieku inficēšanās risku.
70. Ja transportēšanas sprostus nav iespējams iztīrīt, tos iznīcina.
71. Pēc nogādāšanas uzņēmumā izmēģinājumu dzīvniekus pārvieto no pārvadāšanas sprostiem uz turēšanas telpām un tos pārbauda par izmēģinājumu dzīvniekiem atbildīgā persona. Pēc apskates izmēģinājumu dzīvniekus izvieto tīros sprostos vai aizgaldos un apkopj.
72. Ja nav zināms atvesto izmēģinājumu dzīvnieku veselības stāvoklis, tos ievieto karantīnā. Konkrētu sugu izmēģinājumu dzīvniekiem karantīnas vai izolēšanas laiks ir noteikts šo noteikumu 5.pielikumā. Pārējām sugām to nosaka praktizējošs veterinārārsts, ar kuru ir noslēgts līgums.
73. Procedūrās izmēģinājumu dzīvniekam nodrošina vispārējo vai vietējo anestēziju, ja:
73.1. anestēzija izmēģinājumu dzīvnieku netraumē vairāk kā procedūra;
73.2. anestēzija nav pretrunā ar izmēģinājuma mērķi.
74. Pēc izmēģinājuma beigām par izmēģinājumu atbildīgā persona vai praktizējošs veterinārārsts nosaka turpmāko izmēģinājumu dzīvnieka izmantošanu vienā no šādiem veidiem:
74.1. humāni nogalina;
74.2. atkārtoti izmanto izmēģinājumā;
74.3. atbrīvo vai uztic kompetentas personas aprūpei.
75. Izmēģinājumu dzīvnieku pēc iespējas ātrāk humāni nogalina, ja tas varētu būt pakļauts ilgstošām sāpēm vai diskomfortam, neraugoties uz to, ka veselība izmēģinājumu dzīvniekam ir atjaunota.
76. Izmēģinājumu dzīvnieku atkārtoti neizmanto izmēģinājumā, kas rada sāpes, diskomfortu vai ciešanas.
77. Ja izmēģinājumā izmantotais izmēģinājumu dzīvnieks neapdraud cilvēka vai dzīvnieka veselību, kā arī vidi, izmēģinājumu dzīvnieku atbrīvo vai uztic tā aprūpi personai, kas izmēģinājumu dzīvniekam nodrošina:
77.1. šo noteikumu prasībām atbilstošus turēšanas apstākļus, ja vien praktizējošs veterinārārsts nepieļauj izņēmumus;
77.2. veselības stāvoklim atbilstošu aprūpi.
78. Izmēģinājumā izmantoto izmēģinājumu dzīvnieku aizliegts izmantot pārtikā, izņemot Eiropas Parlamenta un Padomes 2003.gada 22.septembra Regulas (EK) Nr.1831/2003 par dzīvnieku ēdināšanā lietotām piedevām 3.panta 2.punktā minēto gadījumu.
79. Bez iepriekšējas anestēzijas aizliegts izmantot zāles atbilstoši konvencijas A papildinājuma 4.11.2.apakšpunktā minētajām prasībām.
80. Izmēģinājumu dzīvnieku nogalināšanā aizliegts izmantot metodes, kurās dzīvnieki nobeidzas sāpēs, krampjos vai nosmokot.
81. Izmēģinājumu dzīvniekus aizliegts iznīcināt, pirms nav apstiprināta nāves iestāšanās.
82. Nogalinātos izmēģinājuma dzīvniekus iznīcina atbilstoši normatīvajiem aktiem par veterinārajām prasībām to dzīvnieku izcelsmes blakusproduktu un pārstrādātu produktu apritei, kuri nav paredzēti cilvēku patēriņam.
83. Nesaderīgas izmēģinājumu dzīvnieku sugas, piemēram, plēsējus un to dabiskos upurus, vai sugas, kurām ir nepieciešami atšķirīgi vides apstākļi, aizliegts izmitināt vienā telpā. Plēsoņu un tā dabisko upuri izmitina tā, lai tie viens otru nevarētu redzēt, saost vai dzirdēt.
84. Barības izdales procesu organizē tā, lai tas apmierinātu izmēģinājumu dzīvnieka fizioloģiskās vajadzības. Barošanas vietu ierīko pietiekami plašu, lai nepieļautu izmēģinājumu dzīvnieku savstarpējo konkurenci.
85. Ūdens piegādi akvārijiem un tvertnēm pielāgo konkrētas izmēģinājumu dzīvnieku sugas vajadzībām, ņemot vērā skābuma, hlora un citu ķīmisko vielu panesību.
86. Ja izmēģinājuma dzīvnieku sagūsta savvaļā, maksimāli samazina sagūstīšanas procedūru ietekmi uz apkārtējiem savvaļas dzīvniekiem un biotopu.
87. Pirms izmēģinājumu dzīvnieka izmantošanas izmēģinājumos to aklimatizē. Aklimatizācijas perioda ilgumu nosaka praktizējošs veterinārārsts vai par izmēģinājumu dzīvnieku atbildīgā persona.
88. Izmēģinājumu dzīvniekus var izmantot izmēģinājumos karantīnas perioda laikā, ja tie ir aklimatizējušies jaunajos apstākļos un būtiski neapdraud citus izmēģinājumu dzīvniekus vai cilvēkus.
89. Izmēģinājumu dzīvniekam nodrošina fizisko aktivitāti.
90. Izmēģinājumu dzīvniekus pieradina pie ikdienas aprūpes. Aprūpējošā persona izmēģinājumu dzīvniekus pieradina pie cilvēka klātbūtnes.
91. Izvēlētais izmēģinājumu dzīvnieka identificēšanas paņēmiens ir praksē pārbaudīts un tā piemērošanas brīdī, kā arī ilgtermiņā izmēģinājumu dzīvniekam rada iespējami maz sāpju un neērtību.
92. Izmēģinājumu dzīvnieku telpā, iežogojumā, sprostā vai aplokā ievieto materiālus, kas uzsūc urīnu un fekālijas un ļauj izmēģinājumu dzīvniekiem veikt sugai raksturīgās darbības (piemēram, uzlasīt barību, rakt vai veidot alas un migas).
V. Noslēguma jautājumi
93. Atzīt par spēku zaudējušiem Ministru kabineta 2001.gada 23.oktobra noteikumus Nr.450 "Eksperimentos un zinātniskos nolūkos izmantojamo dzīvnieku turēšanas, izmantošanas, tirdzniecības un nogalināšanas kārtība" (Latvijas Vēstnesis, 2001, 154.nr.).
94. Līdz šo noteikumu spēkā stāšanās dienai reģistrētie izmēģinājumu dzīvnieku audzētāji, piegādātāji un lietotāji atkārtoti nav jāreģistrē.
Informatīva atsauce uz Eiropas Savienības direktīvām
Noteikumos iekļautas tiesību normas, kas izriet no:
1) Padomes 1986.gada 24.novembra Direktīvas 86/609/EEK par to dalībvalstu normatīvo un administratīvo aktu tuvināšanu attiecībā uz to dzīvnieku aizsardzību, kurus izmanto izmēģinājumos un citiem zinātniskiem mērķiem;
2) Eiropas Parlamenta un Padomes 2003.gada 22.jūlija Direktīvas 2003/65/EK, ar ko groza Padomes Direktīvu 86/609/EEK par to dalībvalstu normatīvo un administratīvo aktu tuvināšanu, kas attiecas uz izmēģinājumos un citiem zinātniskiem nolūkiem izmantojamo dzīvnieku aizsardzību.
Ministru prezidents,
reģionālās attīstības un
pašvaldību lietu ministrs V.Dombrovskis
Zemkopības ministra vietā –
tieslietu ministrs A.Štokenbergs
1.pielikums
Ministru kabineta
2010.gada 21.decembra
noteikumiem Nr.1131
Iesniegums izmēģinājumu dzīvnieku audzētāja, piegādātāja vai lietotāja reģistrācijai
Zemkopības ministra vietā –
tieslietu ministrs A.Štokenbergs
2.pielikums
Ministru kabineta
2010.gada 21.decembra
noteikumiem Nr.1131
Izmēģinājumu dzīvniekiem nodrošināmās labturības prasības
I. Telpas un aprīkojums
1. Telpas konstruē atbilstoši 1986.gada 18.marta Eiropas Konvencijas par izmēģinājumos un citos zinātniskos nolūkos izmantojamo mugurkaulnieku aizsardzību (turpmāk – konvencija) A papildinājuma 1.2.apakšpunktam un apsaimnieko tā, lai:
1.1. nodrošinātu piemērotu vidi tajā turētajām izmēģinājumu dzīvnieku sugām, ņemot vērā to fizioloģiskās un etoloģiskās vajadzības;
1.2. novērstu nepiederošu personu piekļuvi, kā arī izmēģinājumu dzīvnieku iekļūšanu tajās vai izkļūšanu no tām;
1.3. samazinātu ieeju skaitu un novērstu neatļautu kustību.
2. Vieta, kur notiek izmēģinājumu dzīvnieku āra pastaigas, ir pasargāta no nepiederošu personu vai nevēlamu dzīvnieku piekļuves.
3. Turēšanas telpas aprīko ar iekārtām nelielu procedūru un manipulāciju veikšanai.
4. Telpas, kas paredzētas lauksaimniecības izmēģinājumu dzīvnieku turēšanai, atbilst 1976.gada 10.marta Eiropas Konvencijā par lauksaimniecības dzīvnieku aizsardzību noteiktajām prasībām.
5. Grauzēju turēšanas telpas ir piemērotas arī lielāku izmēģinājumu dzīvnieku turēšanai.
6. Uzņēmumos ir pieejams vismaz tāds laboratorijas aprīkojums, lai varētu veikt vienkāršas diagnosticējošas pārbaudes, pēcnāves apskates vai paņemt paraugus, kuru plašāku laboratorisku izmeklēšanu veic citur.
7. Sprosti un aizgaldi ir darināti no dzīvnieku veselībai nekaitīga un izturīga materiāla, ko var tīrīt un dezinficēt (ja tie nav vienreiz lietojami). Sprostu un aizgaldu konstrukcija nerada izmēģinājumu dzīvniekam savainojuma risku. Sprostu un aizgaldu grīdas konstrukcija atbilst dzīvnieka sugai un vecumam un atvieglo izmēģinājuma veikšanu.
II. Palīgtelpas
8. Barības un pakaišu glabāšanas telpas ir vēsas, sausas, drošas pret kaitēkļiem un kukaiņiem. Ja nepieciešams, barības glabāšanas telpas aprīko ar dzesēšanas iekārtām, kas nodrošina barības glabāšanai nepieciešamo temperatūru.
9. Tīrīšanas un mazgāšanas telpu ventilācijas sistēma ir pietiekami jaudīga, lai uzturētu optimālu temperatūru un mitrumu.
10. Tīrīšanas un mazgāšanas telpas atbilst konvencijas A papildinājuma 1.4.3.apakšpunktā minētajām prasībām.
11. Pārvietošanās zonu plānojums un konstrukcija atbilst turēšanas telpu standartiem. Gaiteņi ir pietiekami plati, lai pa tiem varētu brīvi pārvietot mobilo aprīkojumu.
12. Telpas vai vietas, kurās tur izmēģinājumu dzīvniekus ar saslimšanas pazīmēm vai slimus izmēģinājumu dzīvniekus, kas var apdraudēt citus dzīvniekus vai cilvēkus, iekārto atsevišķi no citām telpām.
III. Ventilācija
13. Ventilācija konstruēta atbilstoši konvencijas A papildinājuma 2.1.apakšpunktā minētajām prasībām.
14. Neattīrīta gaisa atkārtota cirkulācija nav pieļaujama.
IV. Turēšanas vietas temperatūra
15. Ieteicamā vides temperatūra konkrētām izmēģinājumu dzīvnieku sugām ir noteikta Ministru kabineta 2010.gada 21.decembra noteikumu Nr.1131 "Noteikumi par izmēģinājumu dzīvnieku audzētāju, piegādātāju un lietotāju reģistrāciju, kārtība, kādā veicamas darbības ar izmēģinājumu dzīvniekiem, un izmēģinājumu dzīvniekiem nodrošināmās labturības prasības" 5.pielikumā. Noteiktā temperatūra attiecas uz pieaugušiem, veseliem izmēģinājumu dzīvniekiem.
16. Telpu temperatūru regulē atbilstoši iespējamām izmēģinājumu dzīvnieku termoregulācijas izmaiņām, kuras var izraisīt fizioloģiskie procesi vai izmēģinājums.
17. Temperatūru telpās mēra un reģistrē katru dienu.
18. Izmēģinājumu dzīvniekus aizliegts turēt ārpus telpām zonās, kas paredzētas izmēģinājumu dzīvnieku savstarpējiem kontaktiem un vingrinājumiem, ja tajās pastāvošie klimatiskie apstākļi var ietekmēt izmēģinājuma rezultātu.
V. Gaisa mitrums turēšanas vietā
19. Relatīvais gaisa mitrums atbilst turamās dzīvnieku sugas vajadzībām un nepārsniedz 55 ± 10 procentu robežas.
20. Ir pieļaujamas īslaicīgas relatīvā gaisa mitruma svārstības robežās no 40 līdz 70 procentiem, ja par dzīvniekiem atbildīgā persona tās akceptē.
VI. Apgaismojums turēšanas vietā
21. Telpās, kurās nav logu, ir mākslīgais apgaismojums, lai apmierinātu izmēģinājumu dzīvnieku, īpaši albīno dzīvnieku, bioloģiskās prasības un nodrošinātu personāla darba videi nepieciešamo gaismas intensitāti. Mākslīgais apgaismojums nodrošina sugai nepieciešamo tumsas un gaismas ciklu.
22. Telpās, kurās tur primātus, kas nav cilvēkveidīgie primāti, suņus, kaķus un lielos zīdītājus, ierīko logus.
VII. Trokšņa līmenis turēšanas vietā
23. Novietnē telpu un koridoru plānojums ir tāds, lai nodrošinātu Ministru kabineta 2010.gada 21.decembra noteikumos Nr.1131 "Noteikumi par izmēģinājumu dzīvnieku audzētāju, piegādātāju un lietotāju reģistrāciju, kārtība, kādā veicamas darbības ar izmēģinājumu dzīvniekiem, un izmēģinājumu dzīvniekiem nodrošināmās labturības prasības" noteikto akustisko vidi. Turēšanas telpās izmanto piemērotus skaņas izolācijas un absorbcijas materiālus, kas izolē pret skaļu dzirdamā diapazona un augstu frekvenču troksni.
24. Izmēģinājumu dzīvnieku atpūtas laikā dzīvnieku dzirdamības amplitūdā samazina trokšņa līmeni, dažos gadījumos – arī ultraskaņu (skaņu virs cilvēka dzirdamības amplitūdas – 20 kHz).
25. Signalizācijas sistēmu skaņas frekvence ir ārpus dzīvnieka dzirdamības diapazona, bet ir dzirdama cilvēkam.
VIII. Signalizācijas sistēma
26. Telpās ierīko signalizāciju, kas brīdina par ugunsgrēku, nepiederošu personu iekļūšanu, pamataprīkojuma, piemēram, ventilatoru, gaisa sildītāju, dzesētāju vai mitrinātāju, bojājumiem.
27. Zivju un citu ūdensdzīvnieku akvārijiem ierīko signalizāciju, kas ziņo par traucējumiem ūdens vai gaisa padevē.
28. Izmēģinājumu dzīvnieku turēšanas telpas, kas ir būtiski atkarīgas no vides kontroles un elektriskām un mehāniskām aizsardzības iekārtām, aprīko ar rezerves elektroenerģijas padeves sistēmu, kas nodrošina svarīgāko automātisko sistēmu funkcijas, ārkārtas apgaismojumu un signalizācijas sistēmu nepārtrauktu darbību strāvas padeves traucējumu gadījumā.
29. Redzamā vietā novieto instrukciju par rīcību ārkārtas gadījumā.
IX. Sprosti
30. Sprosti mazajiem grauzējiem un trušiem audzēšanas periodā un izmēģinājumos
1.tabula
|
Nr.p.k. |
Dzīvnieku suga |
Minimālais sprosta grīdas laukums (cm2) vienam dzīvniekam |
Minimālais sprosta augstums (cm) no grīdas līdz augstākajai horizontālajai daļai |
| 1. | Pele |
180 |
12 |
| 2. | Žurka |
350 |
14 |
| 3. | Sīrijas (zeltainais) kāmis |
180 |
12 |
| 4. | Jūrascūciņa |
600 |
18 |
| 5. | Trusis: | ||
| 5.1. | 1 kg |
1400 |
30 |
| 5.2. | 2 kg |
2000 |
30 |
| 5.3. | 3 kg |
2500 |
35 |
| 5.4. | 4 kg |
3000 |
40 |
| 5.5. | 5 kg |
3600 |
40 |
Piezīme. Lai nodrošinātu adekvātu platību visa izmēģinājuma laikā, ņem vērā izmēģinājumu dzīvnieka potenciālo augšanu.
30.1. peles (krājumā un izmēģinājumu laikā)
Vienas peles svars (g)
Būra grīdas platība (cm2)
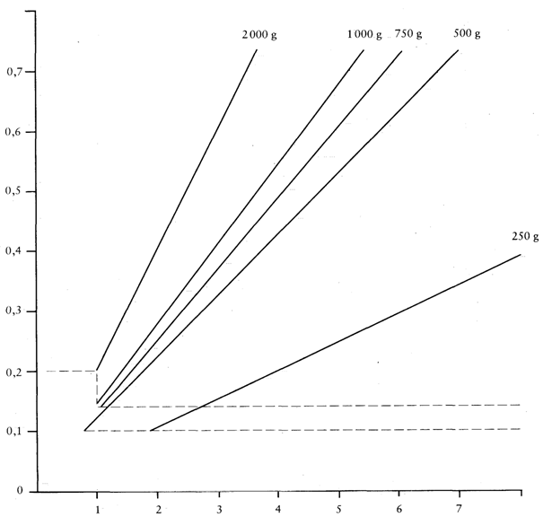
1.attēls
Piezīme. Nepārtrauktā līnija EU–EU norāda minimālo būra grīdas platību, ko paredz atkarībā no peles svara.
30.2. žurkas (krājumā un izmēģinājumu laikā)
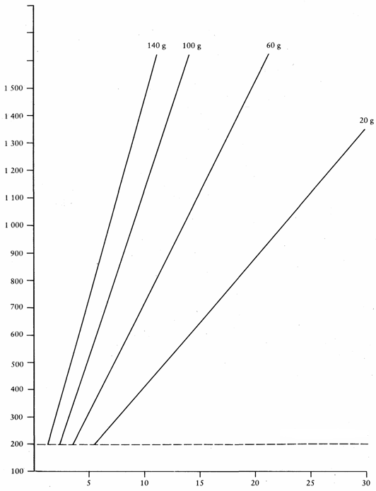
Vienas žurkas svars (g)
Būra grīdas platība (cm2)
2.attēls
Piezīme. Nepārtrauktā līnija EU–EU norāda minimālo būra grīdas platību, ko paredz atkarībā no žurkas svara.
30.3. Sīrijas (zeltainie) kāmji (krājumā un izmēģinājumu laikā)
Viena Sīrijas (zeltainā) kāmja svars (g)
Būra grīdas platība (cm2)
3.attēls
Piezīme. Nepārtrauktā līnija EU–EU norāda minimālo būra grīdas platību, ko paredz atkarībā no Sīrijas (zeltainā) kāmja svara.
30.4. jūrascūciņas (krājumā un izmēģinājumu laikā)
Vienas jūrascūciņas svars (g)
Būra grīdas platība (cm2)
4.attēls
Piezīme. Nepārtrauktā līnija EU–EU norāda minimālo būra grīdas platību, ko paredz atkarībā no jūrascūciņas svara.
30.5. truši (krājumā un izmēģinājumu laikā)
Viena truša svars (kg)
Būra grīdas platība (m2)
5.attēls
Piezīme. Nepārtrauktā līnija EU–EU norāda minimālo būra grīdas platību, ko paredz atkarībā no truša svara.
30.6. norādījumi par attiecību starp peļu skaitu un to svaru būrī un būra grīdas platību (krājumā un izmēģinājumu laikā)
Būra grīdas platība (cm2)
Peļu skaits
6.attēls
Piezīme. Līnijas attēlo vidējo svaru. Minimālais peļu būra augstums – 12 cm.
30.7. norādījumi par attiecību starp žurku skaitu un to svaru būrī un būra grīdas platību (krājumā un izmēģinājumu laikā)
Būra grīdas platība (cm2)
Žurku skaits
7.attēls
Piezīmes.
1. Līnijas attēlo vidējo svaru.
2. Minimālais žurku būra augstums – 14 cm.
30.8. norādījumi par attiecību starp kāmju skaitu un to svaru būrī un būra grīdas platību (krājumā un izmēģinājumu laikā)
Būra grīdas platība (cm2)
Kāmju skaits
8.attēls
Piezīmes.
1. Līnijas attēlo vidējo svaru.
2. Minimālais kāmju būra augstums – 12 cm.
30.9. norādījumi par attiecību starp jūrascūciņu skaitu un to svaru būrī un būra grīdas platību (krājumā un izmēģinājumu laikā)
Būra grīdas platība (cm2)
Jūrascūciņu skaits
9.attēls
Piezīmes.
1. Līnijas attēlo vidējo svaru.
2. Minimālais jūrascūciņu būra augstums – 18 cm.
30.10. norādījumi par attiecību starp trušu skaitu būrī un būra grīdas platību (krājumā un izmēģinājumu laikā)
Būra grīdas platība (m2)
Trušu skaits
10.attēls
Piezīme. Līnijas attēlo vidējo svaru.
31. Sprosti mazajiem grauzējiem vairošanās periodā
2.tabula
|
Nr.p.k. |
Dzīvnieku suga |
Minimālais sprosta grīdas laukums mātei ar metienu (cm2) |
Minimālais sprosta augstums no grīdas līdz augstākajai horizontālajai daļai (cm) |
| 1. | Pele |
200 |
12 |
| 2. | Žurka |
800 |
14 |
| 3. | Sīrijas (zeltainais) kāmis |
650 |
12 |
| 4. | Jūrascūciņa: | ||
| 4.1. | jūrascūciņa (individuāli) |
1200 |
18 |
| 4.2. | pieaugušas jūrascūciņas grupā |
1000 |
18 |
32. Sprosta parametri vaislas trušiem
3.tabula
|
Nr.p.k. |
Trušu mātes svars (kg) |
Minimālais sprosta grīdas
laukums trušu mātei ar metienu |
Minimālais sprosta augstums
no grīdas līdz augstākajai horizontālajai daļai |
Minimālā migas grīdas platība (m2) |
| 1. |
1 |
0,30 |
30 |
0,10 |
| 2. |
2 |
0,35 |
30 |
0,10 |
| 3. |
3 |
0,40 |
35 |
0,12 |
| 4. |
4 |
0,45 |
40 |
0,12 |
| 5. |
5 |
0,50 |
40 |
0,14 |
Piezīme. Trušu mātes ar metienu minimālajā būra grīdas platībā ir ieskaitīta arī migas grīdas platība.
32.1. truši (vaislas truši)
Mātes svars (kg)
Būra grīdas platība (m2)
11.attēls
Piezīme. Nepārtrauktā līnija EU–EU norāda minimālo būra grīdas platību mātei un neatšķirtam metienam, ko paredz atkarībā no trušu mātes svara.
33. Prasības kaķu turēšanai audzēšanas periodā un izmēģinājumos
4.tabula
|
Nr.p.k. |
Kaķa svars (kg) |
Minimālais |
Minimālais būra augstums no
grīdas augstākā punkta līdz griestu zemākajam punktam |
Minimālais būra grīdas |
Minimālais aizgalda grīdas
laukums kaķenei ar metienu |
| 1. |
0,5–1 |
0,2 |
50 |
– |
– |
| 2. |
1–3 |
0,3 |
50 |
0,58 |
2 |
| 3. |
3–4 |
0,4 |
50 |
0,58 |
2 |
| 4. |
4–5 |
0,6 |
50 |
0,58 |
2 |
Piezīmes.
1. Kaķus, ja iespējams, netur būros. Ja tos tur būros, vismaz vienu reizi dienā, ja tas nav pretrunā ar izmēģinājumu, tiem ļauj pastaigāties.
2. Kaķu aizgaldi ir aprīkoti ar kanalizācijas teknēm, pietiekamu plaukta laukumu atpūtai un papildu aprīkojumu kāpelēšanai un nagu asināšanai.
3. Plaukta platību ierēķina minimālajā grīdas platībā.
4. Kaķenei ar metienu minimālajā būra grīdas platībā ir ieskaitīta miga kaķēniem 0,18 m2 platībā.
33.1. kaķi (krājumā un izmēģinājumu laikā)
Viena kaķa svars (kg)
Būra grīdas platība (m2)
12.attēls
Piezīme. Nepārtrauktā līnija EU–EU norāda minimālo būra grīdas platību, ko paredz atkarībā no kaķa svara.
34. Būra parametri suņu turēšanai izmēģinājumos
5.tabula
|
Nr.p.k. |
Augstums no grīdas līdz suņa plecam (cm) |
Minimālais sprosta grīdas laukums vienam dzīvniekam (m2) |
Minimālais sprosta augstums no grīdas augstākā punkta līdz griestu zemākajam punktam (cm) |
| 1. |
30 |
0,75 |
60 |
| 2. |
40 |
1,0 |
80 |
| 3. |
70 |
1,75 |
140 |
Piezīmes.
1. Suņus netur sprostos, ja vien tas nav nepieciešams izmēģinājuma mērķim. Ja tos tur sprostos, vismaz vienu reizi dienā, ja tas nav pretrunā ar izmēģinājumu, tiem ļauj pastaigāties. Ja suņiem nenodrošina pastaigas vienu reizi dienā, nosaka īpašu pastaigu režīmu. Pastaigu vieta ir pietiekami liela, lai suņi bez ierobežojumiem varētu izskrieties.
2. Suņus aizliegts turēt sprostos ar režģu grīdu, ja vien to nenosaka izmēģinājums.
3. Sprosts ir divas reizes augstāks nekā augstums no grīdas līdz suņa plecam.
35. Aizgalda parametri suņu turēšanai krājumā, audzēšanas laikā un izmēģinājumos
6.tabula
|
Nr.p.k. |
Suņa svars (kg) |
Minimālais aizgalda grīdas laukums vienam sunim (m2) |
Papildu izskriešanās vieta |
|
|
sunim (m2) |
vairāk nekā trijiem suņiem (m2) |
|||
| 1. |
≤ 6 |
0,5 |
0,5 (1,0) |
0,5 (1,0) |
| 2. |
6–10 |
0,7 |
1,4 (2,1) |
1,2 (1,9) |
| 3. |
10–20 |
1,2 |
1,6 (2,8) |
1,4 (2,6) |
| 4. |
20–30 |
1,7 |
1,9 (3,6) |
1,6 (3,3) |
| 5. |
≥ 30 |
2,0 |
2,0 (4,0) |
1,8 (3,8) |
Piezīmes.
1. Iekavās minētie skaitļi norāda sunim nepieciešamo kopējo platību (kopējā aizgalda un pastaigu laukuma platība).
2. Suņiem, kurus tur ārā pastāvīgi, nodrošina vietu, kur paslēpties no sliktiem laikapstākļiem.
3. Vietās, kur suņus atbilstoši izmēģinājumu nosacījumiem tur uz režģu grīdām, jānodrošina vienlaidus grīda gulēšanai.
4. Aizgaldu atdala tādas sienas, lai suņi cits citu nevarētu savainot.
5. Visus aizgaldus aprīko ar atbilstošu drenāžu.
36. Būru parametri cūkām krājumā un izmēģinājumu laikā
7.tabula
|
Nr.p.k. |
Cūkas svars (kg) |
Minimālais sprosta grīdas laukums vienai cūkai (m2) |
Minimālais sprosta augstums no grīdas augstākā punkta līdz griestu zemākajam punktam (cm) |
| 1. |
5–15 |
0,35 |
50 |
| 2. |
15–25 |
0,55 |
60 |
| 3. |
25–40 |
0,80 |
80 |
Piezīme. Cūkas netur būros, ja vien tas nav nepieciešams izmēģinājuma mērķim. Cūku turēšanai būros nosaka laika limitu.
37. Būri mājputnu turēšanai krājumā un izmēģinājumu laikā
8.tabula
|
Nr.p.k. |
Suga un svars (g) |
Minimālais laukums |
Minimālais sprosta augstums
no grīdas augstākā punkta līdz griestu zemākajam
punktam |
Minimālais barības trauka garums vienam putnam (cm) |
||
|
vienam putnam (cm2) |
diviem putniem (cm2 uz vienu putnu) |
trijiem un vairāk putniem (cm2 uz vienu putnu) |
||||
| 1. | cāļi: | |||||
| 1.1. | 100–300 |
250 |
200 |
150 |
25 |
3 |
| 1.2. | 300–600 |
500 |
400 |
300 |
35 |
7 |
| 1.3. | 600–1200 |
1000 |
600 |
450 |
45 |
10 |
| 1.4. | 1200–1800 |
1200 |
700 |
550 |
45 |
12 |
| 1.5. | 1800–2400 |
1400 |
850 |
650 |
45 |
12 |
| 2. | pieaudzis gailis > 2400 |
1800 |
1200 |
1000 |
60 |
15 |
| 3. | paipala 120–140 |
350 |
250 |
200 |
15 |
4 |
Piezīmes.
1. Laukums = būra garums x būra platums, ko mēra iekšpusē horizontāli (nevis grīdas garums x grīdas platums).
2. Cāļu sprosta režģu grīdas caurumu lielums ir līdz 10 x 10 mm, pieaugušu putnu sprostā – 25 x 25 mm.
3. Stieples biezums ir vismaz 2 mm.
4. Grīdas slīpums nedrīkst pārsniegt 14 procentus (8o).
5. Ūdens dzirdņu garums ir vienāds ar barības siles garumu. Ja lieto dzirdnes vai kausiņus, katram dzīvniekam nodrošina pieeju pie vismaz divām vienībām.
6. Putnu būros ir laktas.
7. Turēšanas apstākļi ir tādi, lai putni redz cits citu.
38. Būri primātu, kas nav cilvēkveidīgie primāti, turēšanai krājumā, audzēšanas laikā un izmēģinājumā
9.tabula
|
Nr.p.k. |
Primāta svars (kg) |
Minimālais sprosta grīdas laukums vienam vai diviem dzīvniekiem (m2) |
Minimālais sprosta augstums no grīdas augstākā punkta līdz griestu zemākajam punktam (cm) |
| 1. |
< 1 |
0,25 |
60 |
| 2. |
1–3 |
0,35 |
75 |
| 3. |
3–5 |
0,50 |
80 |
| 4. |
5–7 |
0,70 |
85 |
| 5. |
7–9 |
0,90 |
90 |
| 6. |
9–15 |
1,10 |
125 |
| 7. |
15–25 |
1,50 |
125 |
Piezīmes.
1. Tabula veidota par visbiežāk izmantoto sugu grupu (Ceboidea un Cercopithecoidea ģinšu) turēšanu būros.
2. Saderīgus primātus var turēt pa diviem vienā būrī. Ja tos nevar turēt pa pāriem, būri jānovieto tā, lai tie varētu redzēt viens otru un izvairīties.
3. Būriem jābūt tik augstiem, lai dzīvnieki varētu izslieties pilnā augumā.
4. Jāizveido laktas, lai primāti var izmantot būra augšējo daļu.
5. Rokkāpēju minimālajam būra augstumam jābūt, lai ļautu tiem, pilnīgi izstiepjoties, šūpoties no griestiem, ar kājām neskarot būra grīdu.
39. Aizgaldi lauksaimniecības dzīvnieku turēšanai krājumā un izmēģinājumu laikā
10.tabula
|
Nr.p.k. |
Dzīvnieka suga un svars (kg) |
Minimālais aizgalda grīdas laukums vienam dzīvniekam (m2) |
Minimālais aizgalda garums (m) |
Minimālais aizgalda sadalošās sienas augstums (m) |
Minimālais aizgalda grīdas laukums dzīvniekiem grupās (m2/dzīvn.) |
Minimālais barības siles garums vienam dzīvniekam (m) |
| 1. | Cūkas: | |||||
| 1.1. | 10–30 |
5 |
1,6 |
0,8 |
0,2 |
0,20 |
| 1.2. | 30–50 |
5 |
1,8 |
1,0 |
0,3 |
0,25 |
| 1.3. | 50–100 |
5 |
2,1 |
1,2 |
0,8 |
0,30 |
| 1.4. | 100–150 |
5 |
2,5 |
1,4 |
1,2 |
0,35 |
| 1.5. | ≥ 150 |
5 |
2,5 |
1,4 |
2,5 |
0,40 |
| 2. | Aitas ≤ 70 |
1,4 |
1,8 |
1,2 |
0,7 |
0,35 |
| 3. | Kazas ≤ 70 |
1,6 |
1,8 |
2,0 |
0,8 |
0,35 |
| 4. | Liellopi: | |||||
| 4.1. | ≤ 60 |
2,0 |
1,1 |
1,0 |
0,8 |
0,30 |
| 4.2. | 60–100 |
2,2 |
1,8 |
1,0 |
1,0 |
0,30 |
| 4.3. | 100–150 |
2,4 |
1,8 |
1,0 |
1,2 |
0,35 |
| 4.4. | 150–200 |
2,5 |
2,0 |
1,2 |
1,4 |
0,40 |
| 4.5. | 200–400 |
2,6 |
2,2 |
1,4 |
1,6 |
0,55 |
| 4.6. | ≥ 400 |
2,8 |
2,2 |
1,4 |
1,8 |
0,65 |
| 5. | Pieauguši zirgi |
13,5 |
4,5 |
1,8 |
– |
– |
40. Steliņģi lauksaimniecības dzīvnieku turēšanai krājumā un izmēģinājumu laikā
11.tabula
|
Nr.p.k. |
Dzīvnieka suga un svars (kg) |
Minimālais steliņģa laukums (m2) |
Minimālais steliņģa garums (m) |
Minimālais aizgalda sadalošās sienas augstums (m) |
| 1. | Cūkas: | |||
| 1.1. | 100–150 |
1,2 |
2,0 |
0,9 |
| 1.2. | ≥ 150 |
2,5 |
2,5 |
1,4 |
| 2. | Aitas ≤ 70 |
0,7 |
1,0 |
0,9 |
| 3. | Kazas ≤ 70 |
0,8 |
1,0 |
0,9 |
| 4. | Liellopi: | |||
| 4.1. | 60–100 |
0,6 |
1,0 |
0,9 |
| 4.2. | 100–150 |
0,9 |
1,4 |
0,9 |
| 4.3. | 150–200 |
1,2 |
1,6 |
1,4 |
| 4.4. | 200–350 |
1,8 |
1,8 |
1,4 |
| 4.5. | 350–500 |
2,1 |
1,9 |
1,4 |
| 4.6. | ≥ 500 |
2,6 |
2,2 |
1,4 |
| 5. | Pieauguši zirgi |
4,0 |
2,5 |
1,6 |
Piezīme. Steliņģis ir pietiekami plašs, lai dzīvnieks varētu ērti apgulties.
Zemkopības ministra vietā –
tieslietu ministrs A.Štokenbergs
3.pielikums
Ministru kabineta
2010.gada 21.decembra
noteikumiem Nr.1131
Pārskats par izmēģinājumos izmantotajiem izmēģinājumu dzīvniekiem
1. Uzskaita procedūrās izmantotos izmēģinājuma dzīvniekus.
2. Uzskaiti sāk, kad izmēģinājumu dzīvnieku izmanto procedūrā.
3. Katru izmēģinājumu dzīvnieku vienā un tajā pašā tabulā uzskaita tikai vienu reizi, arī tad, ja tā izmantošana paredzēta dažādiem mērķiem.
4. Par izmēģinājumu atbildīgā persona izlemj, kurā tabulā izmēģinājumu dzīvnieks uzskaitāms.
1.tabula
Izmēģinājumā izmantoto dzīvnieku skaits atkarībā no to iegūšanas vietas
|
Nr. |
Suga |
Dzīvnieki, kas iegūti Latvijā reģistrētā izmēģinājumu dzīvnieku audzēšanas vai piegādes uzņēmumā |
Dzīvnieki, kas iegūti citās Eiropas Savienības dalībvalstīs |
Dzīvnieki, kas iegūti valstī, kura ir ratificējusi konvenciju1, izņemot Eiropas Savienības dalībvalstis |
Dzīvnieki, kas iegūti valstī, kura nav Eiropas Savienības dalībvalsts vai konvencijas1 dalībvalsts |
Atkārtoti izmantotie dzīvnieki |
Kopā2 |
|
1.1. |
1.2. |
1.3. |
1.4. |
1.5. |
1.6. |
1.7. |
|
| 1. | Peles (Mus musculus) | ||||||
| 2. | Žurkas (Rattus norvegicus) | ||||||
| 3. | Jūrascūciņas (Cavia porcellus) | ||||||
| 4. | Kāmji (Mesocricetus ) | ||||||
| 5. | Truši (Oryctolagus cuniculus) | ||||||
| 6. | Kaķi (Felis catus) | ||||||
| 7. | Suņi (Canis familiaris) | ||||||
| 8. | Seski (Mustela putorius furo) | ||||||
| 9. | Zirgi, ēzeļi un krustojumi (Equidae) | ||||||
| 10. | Cūkas (Sus) | ||||||
| 11. | Kazas (Capra) | ||||||
| 12. | Aitas (Ovis) | ||||||
| 13. | Liellopi (Bos) | ||||||
| 14. | Lemūri (Prosimia) | ||||||
| 15. | Jaunās pasaules primāti (Ceboidea) | ||||||
| 16. | Vecās pasaules primāti (Cercopithecoidea) | ||||||
| 17. | Paipalas (Coturnix coturnix) | ||||||
| 18. | Mājputni (Aves) | ||||||
| 19. | Zivis (Pisces) | ||||||
| Kopā |
Piezīmes.
1 1986.gada 18.marta Eiropas Konvencija par izmēģinājumos un citos zinātniskos nolūkos izmantojamo mugurkaulnieku aizsardzību.
2 Norāda 1.2., 1.3., 1.4. un 1.5.ailē minēto kopējo izmēģinājumu dzīvnieku skaitu.
2.tabula
Izmēģinājumos izmantoto dzīvnieku skaits atkarībā no izmēģinājuma mērķa
|
Nr. |
Suga |
Fundamentāli bioloģiski pētījumi |
Medicīnas, stomatoloģisko vai veterinārmedicīnas produktu un ierīču izstrāde un uzlabošana, izņemot toksikoloģiskās un citas drošības izvērtējuma pārbaudes, kas minētas 2.6.ailē |
Medicīnas un stomatoloģisko produktu un ierīču ražošanas un kvalitātes kontrole |
Veterinārmedicīnas produktu un ierīču ražošanas un kvalitātes kontrole |
Toksikoloģiskās un citas drošības pārbaudes, tostarp medicīnas, stomatoloģisko vai veterinārmedicīnas produktu un ierīču drošības izvērtējuma pārbaudes |
Slimību diagnosticēšana |
Izglītība un mācības |
Citi |
Kopā |
|
2.1. |
2.2. |
2.3. |
2.4. |
2.5. |
2.6. |
2.7. |
2.8. |
2.9. |
2.10. |
|
| 1. | Peles (Mus musculus) | |||||||||
| 2. | Žurkas (Rattus norvegicus) | |||||||||
| 3. | Jūrascūciņas (Cavia porcellus) | |||||||||
| 4. | Kāmji (Mesocricetus ) | |||||||||
| 5. | Truši (Oryctolagus cuniculus) | |||||||||
| 6. | Kaķi (Felis catus) | |||||||||
| 7. | Suņi (Canis familiaris) | |||||||||
| 8. | Seski (Mustela putorius furo) | |||||||||
| 9. | Zirgi, ēzeļi un krustojumi (Equidae) | |||||||||
| 10. | Cūkas (Sus) | |||||||||
| 11. | Kazas (Capra) | |||||||||
| 12. | Aitas (Ovis) | |||||||||
| 13. | Liellopi (Bos) | |||||||||
| 14. | Lemūri (Prosimia) | |||||||||
| 15. | Jaunās pasaules primāti (Ceboidea) | |||||||||
| 16. | Vecās pasaules primāti (Cercopithecoidea) | |||||||||
| 17. | Paipalas (Coturnix coturnix) | |||||||||
| 18. | Mājputni (Aves) | |||||||||
| 19. | Zivis (Pisces) | |||||||||
|
Kopā |
3.tabula
Toksikoloģiskajās un citās drošības pārbaudēs izmantoto izmēģinājumu dzīvnieku skaits
|
Nr. |
Suga |
Medicīnas, stomatoloģijas, veterinārmedicīnas produkti, vielas un ierīces |
Produkti vai vielas, ko lieto vai ir paredzēts lietot lauksaimniecībā |
Produkti vai vielas, ko lieto vai ir paredzēts lietot rūpniecībā |
Produkti vai vielas, ko lieto vai ir paredzēts lietot mājsaimniecībā |
Produkti vai vielas, ko lieto vai ir paredzēts lietot kā kosmētikas vai kā tualetes piederumus |
Produkti vai vielas, ko lieto vai ir paredzēts lietot kā pārtikas piedevas cilvēka patēriņam |
Produkti vai vielas, ko lieto vai ir paredzēts lietot kā pārtikas piedevas dzīvnieka patēriņam |
Potenciāla vai reāla apkārtējās vides piesārņojuma bīstamības izvērtējums, kas nav minēts pārējās ailēs |
Citi toksikoloģiskie vai drošības izmēģinājumi |
Kopā* |
|
3.1. |
3.2. |
3.3. |
3.4. |
3.5. |
3.6. |
3.7. |
3.8. |
3.9. |
3.10. |
3.11. |
|
| 1. | Peles (Mus musculus) | ||||||||||
| 2. | Žurkas (Rattus norvegicus) | ||||||||||
| 3. | Jūrascūciņas (Cavia porcellus) | ||||||||||
| 4. | Kāmji (Mesocricetus ) | ||||||||||
| 5. | Truši (Oryctolagus cuniculus) | ||||||||||
| 6. | Kaķi (Felis catus) | ||||||||||
| 7. | Suņi (Canis familiaris) | ||||||||||
| 8. | Seski (Mustela putorius furo) | ||||||||||
| 9. | Zirgi, ēzeļi un krustojumi (Equidae) | ||||||||||
| 10. | Cūkas (Sus) | ||||||||||
| 11. | Kazas (Capra) | ||||||||||
| 12. | Aitas (Ovis) | ||||||||||
| 13. | Liellopi (Bos) | ||||||||||
| 14. | Lemūri (Prosimia) | ||||||||||
| 15. | Jaunās pasaules primāti (Ceboidea) | ||||||||||
| 16. | Vecās pasaules primāti (Cercopithecoidea) | ||||||||||
| 17. | Paipalas (Coturnix coturnix) | ||||||||||
| 18. | Mājputni (Aves) | ||||||||||
| 19. | Zivis (Pisces) | ||||||||||
|
Kopā |
Piezīme.* 3.tabulu aizpilda par šā pielikuma 2.tabulas 2.6.ailē minētajiem izmēģinājumu dzīvniekiem.
4.tabula
Cilvēku un dzīvnieku slimību izpētes izmēģinājumos izmantoto dzīvnieku skaits
|
Nr. |
Suga |
Kardiovaskulārās slimības cilvēkam |
Nervu un garīgi traucējumi cilvēkam |
Vēzis, izņemot karcinoģenētiskas bīstamības, cilvēkam |
Pārējās cilvēka slimības |
Pārējās dzīvnieka slimības |
Kopā* |
|
4.1. |
4.2. |
4.3. |
4.4. |
4.5. |
4.6. |
4.7. |
|
| 1. | Peles (Mus musculus) | ||||||
| 2. | Žurkas (Rattus norvegicus) | ||||||
| 3. | Jūrascūciņas (Cavia porcellus) | ||||||
| 4. | Kāmji (Mesocricetus ) | ||||||
| 5. | Truši (Oryctolagus cuniculus) | ||||||
| 6. | Kaķi (Felis catus) | ||||||
| 7. | Suņi (Canis familiaris) | ||||||
| 8. | Seski (Mustela putorius furo) | ||||||
| 9. | Zirgi, ēzeļi un krustojumi (Equidae) | ||||||
| 10. | Cūkas (Sus) | ||||||
| 11. | Kazas (Capra) | ||||||
| 12. | Aitas (Ovis) | ||||||
| 13. | Liellopi (Bos) | ||||||
| 14. | Lemūri (Prosimia) | ||||||
| 15. | Jaunās pasaules primāti (Ceboidea) | ||||||
| 16. | Vecās pasaules primāti (Cercopithecoidea) | ||||||
| 17. | Paipalas (Coturnix coturnix) | ||||||
| 18. | Mājputni (Aves) | ||||||
| 19. | Zivis (Pisces) | ||||||
|
Kopā |
Piezīme. * 4.tabulu aizpilda par šā pielikuma 2.tabulas 2.7.ailē minētajiem izmēģinājumu dzīvniekiem.
5.tabula
Izmēģinājumos izmantoto dzīvnieku skaits, lai atbilstoši normatīvo aktu prasībām veiktu medicīnas, stomatoloģisko un veterinārmedicīnisko produktu un ierīču ražošanas un kvalitātes kontroli
|
Nr. |
Suga |
Atbilstoši katras Eiropas Savienības dalībvalsts normatīvajos aktos noteiktajai prasībai |
Eiropas Savienības normatīvajos aktos noteikta prasība (tostarp Konvencijas par Eiropas Farmakopejas izveidi prasības) |
Eiropas Padomes dalībvalsts prasība, izņemot Eiropas Savienības dalībvalsti |
Citas valsts normatīvo aktu prasība |
Jebkuras 5.2., 5.3., 5.4. un 5.5.ailē minētās valsts normatīvajos aktos noteikto prasību kombinācija |
Prasība ir noteikta citos valsts izdotos dokumentos, piemēram, ISO protokolā, bet nav noteikta normatīvajos aktos |
Kopā |
|
5.1. |
5.2. |
5.3. |
5.4. |
5.5. |
5.6. |
5.7. |
5.8. |
|
| 1. | Peles (Mus musculus) | |||||||
| 2. | Žurkas (Rattus norvegicus) | |||||||
| 3. | Jūrascūciņas (Cavia porcellus) | |||||||
| 4. | Kāmji (Mesocricetus ) | |||||||
| 5. | Truši (Oryctolagus cuniculus) | |||||||
| 6. | Kaķi (Felis catus) | |||||||
| 7. | Suņi (Canis familiaris) | |||||||
| 8. | Seski (Mustela putorius furo) | |||||||
| 9. | Zirgi, ēzeļi un krustojumi (Equidae) | |||||||
| 10. | Cūkas (Sus) | |||||||
| 11. | Kazas (Capra) | |||||||
| 12. | Aitas (Ovis) | |||||||
| 13. | Liellopi (Bos) | |||||||
| 14. | Lemūri (Prosimia) | |||||||
| 15. | Jaunās pasaules primāti (Ceboidea) | |||||||
| 16. | Vecās pasaules primāti (Cercopithecoidea) | |||||||
| 17. | Paipalas (Coturnix coturnix) | |||||||
| 18. | Mājputni (Aves) | |||||||
| 19. | Zivis (Pisces) | |||||||
|
Kopā |
6.tabula
Toksikoloģiskajās un citās drošības pārbaudēs izmantoto dzīvnieku skaits atbilstoši normatīvo aktu prasībām
|
Nr. |
Suga |
Atbilstoši katras Eiropas Savienības dalībvalsts normatīvajos aktos noteiktai prasībai |
Eiropas Savienības tiesību aktos noteikta prasība (tostarp Eiropas Padomes Konvencijas par Eiropas Farmakopejas izstrādi prasības) |
Eiropas Padomes dalībvalsts prasība, izņemot Eiropas Savienības dalībvalsti |
Citas valsts tiesību aktu prasība |
Jebkuras 6.2., 6.3., 6.4. un 6.5.ailē minētās valsts tiesību aktos noteikto prasību kombinācija |
Prasība ir noteikta citos valsts izdotos dokumentos, piemēram, ISO protokolā, bet nav noteikta tiesību vai normatīvajos aktos |
Kopā |
|
6.1. |
6.2. |
6.3. |
6.4. |
6.5. |
6.6. |
6.7. |
6.8. |
|
| 1. | Peles (Mus musculus) | |||||||
| 2. | Žurkas (Rattus norvegicus) | |||||||
| 3. | Jūrascūciņas (Cavia porcellus) | |||||||
| 4. | Kāmji (Mesocricetus ) | |||||||
| 5. | Truši (Oryctolagus cuniculus) | |||||||
| 6. | Kaķi (Felis catus) | |||||||
| 7. | Suņi (Canis familiaris) | |||||||
| 8. | Seski (Mustela putorius furo) | |||||||
| 9. | Zirgi, ēzeļi un krustojumi (Equidae) | |||||||
| 10. | Cūkas (Sus) | |||||||
| 11. | Kazas (Capra) | |||||||
| 12. | Aitas (Ovis) | |||||||
| 13. | Liellopi (Bos) | |||||||
| 14. | Lemūri (Prosimia) | |||||||
| 15. | Jaunās pasaules primāti (Ceboidea) | |||||||
| 16. | Vecās pasaules primāti (Cercopithecoidea) | |||||||
| 17. | Paipalas (Coturnix coturnix) | |||||||
| 18. | Mājputni (Aves) | |||||||
| 19. | Zivis (Pisces) | |||||||
|
Kopā |
7.tabula
Kosmētikas vai tualetes piederumu izstrādes un ražošanas procesā izmantoto produktu vai vielu kvalitātes, efektivitātes un drošības pārbaužu skaits un izmantoto dzīvnieku skaits
|
Nr. p.k. |
Suga |
Izmēģinājumu skaits |
Dzīvnieku skaits izmēģinājumā |
|||||||||||||
|
7.3. |
||||||||||||||||
|
kopā |
citi |
akūtā un neakūtā toksiskuma testēšana (arī pieļaujamības tests) |
ādas kairi-nājums |
ādas sensibilizācija |
acu kairi-nājums |
subhroniskais un hroniskais toksiskums |
kancero-genitāte |
toksiskums attīstībai |
mutagēnais toksiskums |
repro-duktīvais toksiskums |
toksiskums attiecībā uz ūdens mugurkaul-niekiem, kas nav ietverti citās ailēs |
|||||
|
LD50 LC50 |
citas letālas meto-des |
neletāla klīnisko pazīmju metode |
||||||||||||||
|
7.1. |
7.2. |
7.3.1. | 7.3.2. | 7.3.3. | 7.3.4. | 7.3.5. |
7.3.6. |
7.3.7. |
7.3.8. |
7.3.9. | 7.3.10. | 7.3.11. | 7.3.12. | 7.3.13. | 7.3.14. | |
| 1. | Peles (Mus musculus) | |||||||||||||||
| 2. | Žurkas (Rattus norvegicus) | |||||||||||||||
| 3. | Jūrascūciņas (Cavia porcellus) | |||||||||||||||
| 4. | Kāmji (Mesocricetus) | |||||||||||||||
| 5. | Truši (Oryctolagus cuniculus) |
|||||||||||||||
| 6. | Kaķi (Felis catus) | |||||||||||||||
| 7. | Suņi (Canis familiaris) | |||||||||||||||
| 8. | Seski (Mustela putorius furo) | |||||||||||||||
| 9. | Zirgi, ēzeļi un krustojumi (Equidae) | |||||||||||||||
| 10. | Cūkas (Sus) | |||||||||||||||
| 11. | Kazas (Capra) | |||||||||||||||
| 12. | Aitas (Ovis) | |||||||||||||||
| 13. | Liellopi (Bos) | |||||||||||||||
| 14. | Lemūri (Prosimia) | |||||||||||||||
| 15. | Jaunās pasaules primāti (Ceboidea) | |||||||||||||||
| 16. | Vecās pasaules primāti (Cercopithecoidea) | |||||||||||||||
| 17. | Paipalas (Coturnix coturnix) | |||||||||||||||
| 18. | Mājputni (Aves) | |||||||||||||||
| 19. | Zivis (Pisces) | |||||||||||||||
| Kopā | ||||||||||||||||
Piezīme. 7.tabulu aizpilda par šā pielikuma 3.tabulas 3.6.ailē minētajiem izmēģinājumu dzīvniekiem.
Zemkopības ministra vietā –
tieslietu ministrs A.Štokenbergs
4.pielikums
Ministru kabineta
2010.gada 21.decembra
noteikumiem Nr.1131
Izmēģinājumu dzīvnieku fizioloģiskajām vajadzībām atbilstošā vides temperatūra
|
Nr.p.k. |
Dzīvnieku suga |
Temperatūra, °C |
|
1. |
Jaunās pasaules primāti, kas nav cilvēkveidīgi primāti |
20–28 |
|
2. |
Vecās pasaules primāti, kas nav cilvēkveidīgi primāti |
20–24 |
|
3. |
Pele |
20–24 |
|
4. |
Žurka |
20–24 |
|
5. |
Sīrijas (zeltainais) kāmis |
20–24 |
|
6. |
Smilšu pele |
20–24 |
|
7. |
Jūrascūciņa |
20–24 |
|
8. |
Paipala |
20–24 |
|
9. |
Trusis |
15–21 |
|
10. |
Kaķis |
15–21 |
|
11. |
Suns |
15–21 |
|
12. |
Baltais sesks |
15–21 |
|
13. |
Mājputns |
15–21 |
|
14. |
Balodis |
15–21 |
|
15. |
Cūka |
10–24 |
|
16. |
Kaza |
10–24 |
|
17. |
Aita |
10–24 |
|
18. |
Liellops |
10–24 |
|
19. |
Zirgs |
10–24 |
Zemkopības ministra vietā –
tieslietu ministrs A.Štokenbergs
5.pielikums
Ministru kabineta
2010.gada 21.decembra
noteikumiem Nr.1131
Karantīnas un izolēšanas laiks izmēģinājumu dzīvniekiem
|
Nr.p.k. |
Dzīvnieku suga |
Dienas |
|
1. |
Pele |
5–15 |
|
2. |
Žurka |
5–15 |
|
3. |
Smilšu pele |
5–15 |
|
4. |
Jūrascūciņa |
5–15 |
|
5. |
Sīrijas (zeltainais) kāmis |
5–15 |
|
6. |
Trusis |
20–30 |
|
7. |
Kaķis |
20–30 |
|
8. |
Suns |
20–30 |
|
9. |
Primāti, kas nav cilvēkveidīgi primāti |
40–60 |
Zemkopības ministra vietā –
tieslietu ministrs A.Štokenbergs