
Ministru kabineta noteikumi Nr.201
Rīgā 2001.gada 22.maijā (prot. Nr. 24 6.§)
Noteikumi par metroloģiskajām prasībām fasētajām precēm un to metroloģiskās kontroles kārtība
Izdoti saskaņā ar likuma "Par mērījumu vienotību" 10.panta otro daļu
I. Vispārīgie jautājumi
1. Šie noteikumi nosaka metroloģiskās prasības un metroloģiskās kontroles kārtību Latvijā izplatāmajām fasētajām precēm, kas fasētas nemainīgos, noteiktos nominālos daudzumos, kuri:
1.1. atbilst ražotāja iepriekš noteiktajām vērtībām;
1.2. ir izteikti masas vai tilpuma mērvienībās;
1.3. nav mazāki par 5 g vai 5 ml un nav lielāki par 10 kg vai 10 litriem.
2. Latvijas tirgū var piedāvāt tikai tādas fasētās preces, kuru satura nominālais daudzums (produkta daudzums, kas paredzēts fasējumā) ir norādīts un kuras atbilst šo noteikumu II nodaļā noteiktajām prasībām.
3. Uz izplatīšanai paredzēto fasēto preču iesaiņojuma norāda produkta masu (nominālo masu) vai tilpumu (nominālo tilpumu). Šķidrumu saturošajām fasētajām precēm norāda to nominālo tilpumu, pārējām fasētajām precēm – produkta nominālo masu.
4. Fasēto preču nominālo tilpumu norāda tilpuma mērvienībās – litros (l), centilitros (cl) vai mililitros (ml). Fasēto preču nominālo masu norāda masas mērvienībās – kilogramos (kg) vai gramos (g).
II. Metroloģiskās prasības izplatīšanai paredzētajām fasētajām precēm
5. Izplatīšanai paredzēto fasēto preču satura daudzums atbilst šādām prasībām:
5.1. vienāda nominālā daudzuma fasētajām precēm satura faktiskais daudzums (iepakotā produkta faktiskā masa vai tilpums) vidēji nedrīkst būt mazāks par marķējumā norādīto nominālo daudzumu;
5.2. fasētās preces satura daudzuma negatīvā novirze (daudzums, par kādu satura faktiskais daudzums ir mazāks nekā satura nominālais daudzums) nedrīkst pārsniegt šo noteikumu 1.pielikuma 1.tabulā norādītās pieļaujamās vērtības;
5.3. atsevišķa fasējuma satura daudzuma negatīvā novirze nedrīkst pārsniegt vērtību, kas ir divas reizes lielāka nekā šo noteikumu 1.pielikuma 1.tabulā norādītā pieļaujamā negatīvā novirze;
5.4. fasēto preču statistiskās kontroles metodes ir noteiktas šo noteikumu 2.pielikumā.
6. Ja produkta daudzums ir izteikts tilpuma mērvienībās, visos pārbaudes procesos vērtību, ko izmanto kā fasēto preču satura faktisko tilpumu, mēra vai koriģē 20 °C temperatūrā neatkarīgi no tā, kādā temperatūrā produkts ir fasēts vai pārbaudīts. Šī prasība neattiecas uz dziļi sasaldētiem vai saldētiem produktiem, kuru daudzums ir izteikts tilpuma mērvienībās.
III. Fasēto preču marķējumā norādāmā informācija
7. Izplatīšanai paredzētajām fasētajām precēm uz iepakojuma jābūt labi saskatāmam, izlasāmam un nenodzēšamam marķējumam. Marķējumā norāda:
7.1. satura nominālo daudzumu (norādes augstums nedrīkst būt mazāks par šo noteikumu 1.pielikuma 2.tabulā norādītajiem ciparu atzīmju izmēriem);
7.2. ražotāja, iepakotāja vai importētāja nosaukumu (nosaukums var būt saīsināts, ja pēc tā var identificēt ražotāju vai importētāju).
8. Fasētās preces, kas atbilst šo noteikumu prasībām, var marķēt ar atbilstības ("e") zīmi uz iepakojuma vienības vietā, kur norādīta produkta nominālā masa vai nominālais tilpums (minētā zīme apliecina fasētās preces atbilstību Eiropas Savienības prasībām). Atbilstības zīmes forma un izmēri ir norādīti šo noteikumu 3.pielikumā.
IV. Fasēto preču metroloģiskā kontrole
9. Fasēto preču ražotājs vai importētājs ir atbildīgs par to, lai fasējumi atbilstu šo noteikumu prasībām.
10. Fasēto preču ražotājs veic visus nepieciešamos pasākumus, lai ražošanas procesā nodrošinātu sistemātisku fasēto preču satura faktiskā daudzuma kontroli un garantētu šo noteikumu 5.punktā noteikto prasību izpildi. Kvalitātes nodrošināšanas procedūru pierakstus attiecībā uz fasēto preču satura faktiskā daudzuma kontroli (pārbaužu rezultātus un testēšanas un kalibrēšanas datus) ražotājs saglabā un uzrāda pēc Valsts metroloģiskās inspekcijas pieprasījuma. Masas vai tilpuma mērījumi veicami saskaņā ar vispāratzītām mērīšanas metodēm, lietojot verificētus vai kalibrētus mērīšanas līdzekļus, kas piemēroti pareizai nepieciešamo mērīšanas procedūru izpildei.
11. Fasēto preču satura faktiskā daudzuma kontroles veikšanai ņem paraugus.
12. Ja fasēto preču satura daudzums ir izteikts tilpuma mērvienībās, viena no metodēm, lai nodrošinātu kontroles mērījumu prasību ievērošanu, preces fasējot, ir mērtrauku – mērpudeļu – izmantošana. Mērtraukiem jābūt pildītiem, ievērojot attiecīgajos normatīvajos aktos noteiktās prasības.
13. Valsts metroloģisko kontroli veic Valsts metroloģiskā inspekcija saskaņā ar šo noteikumu 2.pielikumā norādītajām kontroles metodēm.
14. Lai kontrolētu fasēto preču atbilstību šo noteikumu prasībām, pārbaudes veikšanai ņem paraugus ražotāja uzņēmumā, importētāja uzņēmumā vai fasēto preču tirdzniecības vietās.
V. Noslēguma jautājumi
15. Noteikumi stājas spēkā ar 2002.gada 1.janvāri.
16. Līdz 2002.gada 31.decembrim Latvijā atļauts realizēt fasētās preces, kas nav ražotas atbilstoši šo noteikumu prasībām, bet ir ražotas atbilstoši to normatīvo aktu un normatīvi tehnisko dokumentu prasībām, kuri bija spēkā līdz šo noteikumu spēkā stāšanās dienai. Fasētās preces, kas nav ražotas atbilstoši šo noteikumu prasībām, pēc 2002.gada 31.decembra Latvijā atļauts realizēt, ja attiecīgās preces ražotas līdz šo noteikumu spēkā stāšanās dienai un to derīguma termiņš ir ilgāks par 12 mēnešiem.
17. Atzīt par spēku zaudējušiem Ministru kabineta 1998.gada 31.augusta noteikumus Nr.336 "Valsts metroloģiskajai kontrolei pakļauto fasēto preču saraksts" (Latvijas Vēstnesis, 1998, 252.nr.).
Ministru prezidents A.Bērziņš
Ekonomikas ministra vietā – zemkopības ministrs A.Slakteris
Noteikumi stājas spēkā ar 2002.gada 1.janvāri.
1.pielikums
Ministru kabineta
2001.gada 22.maija noteikumiem Nr.201
Pieļaujamās fasēto preču satura daudzuma negatīvās novirzes un marķējuma izmēri
1.tabula
| Nr.p.k. | Nominālais daudzums Qn (g vai ml) | Pieļaujamā negatīvā novirze | |
| % no Qn | g vai ml | ||
| 1. | No 5 līdz 50 | 9 | – |
| 2. | No 50 līdz 100 | – | 4,5 |
| 3. | No 100 līdz 200 | 4,5 | – |
| 4. | No 200 līdz 300 | – | 9 |
| 5. | No 300 līdz 500 | 3 | – |
| 6. | No 500 līdz 1000 | – | 15 |
| 7. | No 1000 līdz 10000 | 1,5 | – |
1.tabulā procentuāli norādītās pieļaujamo negatīvo noviržu vērtības aprēķinot masas vai tilpuma mērvienībās, rezultātu noapaļo līdz tuvākajai grama vai mililitra desmitdaļai.
Saskaņā ar šo noteikumu 2.pielikumā noteiktajām statistiskās kontroles metodēm maksimāli 2,5 % fasējumu ir pieļaujama negatīvā novirze, kas pārsniedz 1.tabulā norādīto pieļaujamo negatīvo novirzi.
2.tabula
|
Nr. p.k. |
Nominālais daudzums (g vai ml) |
Norādes ciparu atzīmes augstums (mm) |
| 1. | No 5 līdz 50 |
2 |
| 2. | >50–200 |
3 |
| 3. | >200–1000 |
4 |
| 4. | >1000 |
6 |
Norādei par nominālo daudzumu seko mērvienības simbols vai, ja nepieciešams, attiecīgās mērvienības nosaukums.
Ekonomikas ministra vietā – zemkopības ministrs A.Slakteris
2.pielikums
Ministru kabineta
2001.gada 22.maija noteikumiem Nr.201
Fasēto preču statistiskās kontroles metodes
I. Fasēto preču satura daudzuma mērīšana
1. Fasēto preču satura faktisko daudzumu nosaka ar tiešiem mērījumiem, izmantojot masas vai tilpuma mērīšanas līdzekļus, vai ar netiešiem mērījumiem (šķidrajiem produktiem), nosverot produktu un nosakot tā blīvumu. Ja iepakojuma masas statistiskā novērtējuma dati ir zināmi vai iegūstami, veicot pārbaudi, fasēto preču satura faktisko daudzumu atļauts noteikt ar netiešiem mērījumiem, nesabojājot iepakojumu.
2. Neatkarīgi no tā, kāda metode izmantota, nosakot fasēto preču satura faktisko daudzumu, mērījumu kļūda nedrīkst pārsniegt vienu piektdaļu no preces satura daudzuma pieļaujamās negatīvās novirzes.
II. Fasēto preču partijas kontrole
3. Fasēto preču kontroles veikšanai ņem attiecīgās partijas paraugus. Kontrolē nosaka:
3.1. katras atlasītās fasētās preces vienības satura faktisko daudzumu;
3.2. atlasīto fasēto preču vienību satura faktiskā daudzuma vidējo vērtību.
4. Fasēto preču partiju uzskata par pieņemamu, ja kontroles rezultāti atbilst noteiktajiem parauga pieņemšanas kritērijiem.
5. Paraugu ņemšanai izmanto šādus paņēmienus:
5.1. testēšanu, nesabojājot paraugu (iepakojums netiek atvērts);
5.2. testēšanu, sabojājot paraugu (iepakojums tiek atvērts vai sabojāts).
6. Testēšanu, sabojājot paraugu, piemēro vienīgi tad, ja cita veida testēšana praktiski nav iespējama. To nedrīkst piemērot gadījumos, ja preču partija ir mazāka par 100 vienībām.
III. Fasēto preču partijas apjoma noteikšana
7. Fasēto preču ražošanas partija ir identiskos apstākļos ražotu un iepakotu viena veida preču vienību grupa ar vienādu preces satura nominālo daudzumu.
8. Ja fasējumi pārbaudei tiek ņemti no fasēšanas līnijas, to skaitam katrā partijā jābūt vienādam ar fasēšanas līnijas maksimālo izlaidi stundā, neierobežojot partijas apjomu. Pārējos gadījumos partijas apjomu ierobežo līdz 10000 vienībām.
9. Ja vienību skaits fasēto preču partijā ir mazāks par 100 vienībām, testēšanu, nesabojājot paraugu, piemēro 100 % apjomā.
10. Pirms tiek veikti šī pielikuma IV un V nodaļā minētie testi, no partijas, brīvi izvēloties, atlasa tādu fasējumu skaitu, lai varētu veikt pārbaudi, kurai nepieciešams lielāks vienību skaits paraugā. Otrajai pārbaudei paraugu atlasa no pirmā parauga un marķē. Paraugu marķē, pirms tiek sākti mērījumi.
IV. Fasēto preču satura faktiskā daudzuma kontrole
11. Fasēto preču satura minimālo pieņemamo daudzumu aprēķina, no satura nominālā daudzuma atņemot attiecīgo pieļaujamo negatīvo novirzi, kas noteikta atbilstošajam fasēto preču satura nominālajam daudzumam.
12. Tās fasēto preču partijas vienības, kuru satura faktiskais daudzums ir mazāks par satura minimālo pieņemamo daudzumu, uzskata par nederīgām.
13. Atkarībā no testēšanas veida izmanto vienkāršās vai dubultās paraugu ņemšanas shēmu (1. un 2.tabula).
14. Testēšanu, nesabojājot paraugu, piemēro saskaņā ar dubultās paraugu ņemšanas shēmu (1.tabula).
15. Pārbaudīto fasējumu skaitam jābūt vienādam ar vienību skaitu paraugā, kā norādīts 1.tabulā. Ja pirmajā paraugā atrasto nederīgo vienību skaits ir:
15.1. vienāds ar vai mazāks par pirmajā parauga pieņemšanas kritērijā noteikto skaitu, partiju uzskata par pieņemamu;
15.2. vienāds ar vai lielāks par pirmajā parauga noraidīšanas kritērijā noteikto skaitu, partiju uzskata par nederīgu;
15.3. vidējs starp pirmajā parauga pieņemšanas kritērijā un pirmajā parauga noraidīšanas kritērijā noteikto skaitu, jāpārbauda otrs paraugs, kura vienību skaits ir norādīts 1.tabulā.
16. Pirmajā un otrajā paraugā atrasto nederīgo vienību skaits jāsummē. Ja kopējais atrasto nederīgo vienību skaits ir:
16.1. vienāds ar vai mazāks par otrajā parauga pieņemšanas kritērijā noteikto vienību skaitu, partiju uzskata par pieņemamu;
16.2. vienāds ar vai lielāks par otrajā noraidīšanas kritērijā noteikto vienību skaitu, partiju uzskata par nederīgu.
1.tabula
| Nr. p.k. | Vienību skaits partijā | Paraugi | Nederīgo vienību skaits | |||
| kārtas numurs | vienību skaits | kopējais vienību skaits | pieņemšanas kritēriji | noraidīšanas kritēriji | ||
| 1. | No 100 līdz 500 |
1.
2. |
30
30 |
30
60 |
1
4 |
3
5 |
| 2. | No 501 līdz 3200 |
1.
2. |
50
50 |
50
100 |
2
6 |
5
7 |
| 3. | 3201 un vairāk |
1.
2. |
80
80 |
80
160 |
3
8 |
7
9 |
17. Testēšanu, sabojājot paraugu, piemēro saskaņā ar vienkāršās paraugu ņemšanas shēmu (2.tabula). Ja paraugā atrasto nederīgo vienību skaits ir:
17.1. vienāds ar vai mazāks par parauga pieņemšanas kritērijā noteikto vienību skaitu, fasēto preču partiju uzskata par pieņemamu;
17.2. vienāds ar vai lielāks par parauga noraidīšanas kritērijā noteikto vienību skaitu, fasēto preču partiju uzskata par nederīgu.
2.tabula
|
Vienību skaits partijā |
Vienību skaits paraugā |
Nederīgo vienību skaits |
|
|
pieņemšanas kritērijs |
noraidīšanas kritērijs |
||
| Neatkarīgi no skaita ( ≥100) |
20 |
1 |
2 |
V. Satura faktiskā daudzuma vidējās vērtības kontrole fasēto preču partijā
18. Fasēto preču partija tiek uzskatīta par pieņemamu, ja no partijas atlasīto vienību n satura faktiskā daudzuma xi vidējā vērtība x = Σ xi / n ir lielāka nekā vērtība:
s
Qn – ––––– · t(1 – a) ,
kur
√ n
Qn – fasējuma satura nominālais daudzums;
n – pārbaudei atlasīto vienību skaits paraugā;
s – satura faktiskā daudzuma standartnovirzes aprēķinātā vērtība partijai;
t(1 – a) – 0,995 ticamības līmenis pēc Stjūdenta sadalījuma ar brīvības pakāpi δ = n – 1.
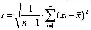
19. Ja xi ir satura faktiskā daudzuma izmērītā vērtība i vienībai paraugā, kurā ir n vienības, tad:
19.1. izmērīto vērtību vidējā vērtība paraugā ir:
19.2. standartnovirzes s vērtība ir:
20. Pieņemšanas vai noraidīšanas kritēriji fasēto preču partijām, kas pārbaudītas ar šo metodi, ir šādi:
20.1. testēšanas kritēriji, nesabojājot paraugu:
3.tabula
|
Vienību skaits partijā |
Vienību skaits paraugā |
Pieņemšanas kritēriji |
Noraidīšanas kritēriji |
| No 100 līdz 500 |
30 |
x Qn – 0,503 s | x < Qn – 0,503 s |
| 501 un vairāk |
50 |
x Qn – 0,379 s | x < Qn – 0,379 s |
20.2. testēšanas kritēriji, sabojājot paraugu:
4.tabula
|
Vienību skaits partijā |
Vienību skaits paraugā |
Pieņemšanas kritēriji |
Noraidīšanas kritēriji |
| Neatkarīgi no apjoma (≥100) |
20 |
x Qn – 0,640 s | x < Qn – 0,640 s |
Ekonomikas ministra vietā – zemkopības ministrs A.Slakteris