
Ministru kabineta noteikumi Nr.700
Rīgā 2010.gada 27.jūlijā (prot. Nr.38 59.§)
Grozījumi Ministru kabineta 2009.gada 13.janvāra noteikumos Nr.44 "Noteikumi par darbības programmas "Infrastruktūra un pakalpojumi" papildinājuma 3.1.5.3.1.apakšaktivitāti "Stacionārās veselības aprūpes attīstība""
Izdoti saskaņā
ar Eiropas Savienības struktūrfondu un
Kohēzijas fonda vadības likuma 18.panta 10.punktu
Izdarīt Ministru kabineta 2009.gada 13.janvāra noteikumos Nr.44 "Noteikumi par darbības programmas "Infrastruktūra un pakalpojumi" papildinājuma 3.1.5.3.1.apakšaktivitāti "Stacionārās veselības aprūpes attīstība"" (Latvijas Vēstnesis, 2009, 22., 102.nr.; 2010, 37.nr.) šādus grozījumus:
1. Izteikt 3.punktu šādā redakcijā:
"3. Sadarbības iestāde aktivitātes ietvaros nosūta projektu iesniedzējiem uzaicinājumu iesniegt projekta iesniegumu (turpmāk – uzaicinājums):
3.1. līdz 2009.gada 1.septembrim – pirmajai projektu iesniegumu atlases kārtai;
3.2. no 2010.gada 1.augusta līdz 2010.gada 30.augustam – otrajai projektu iesniegumu atlases kārtai;
3.3. no 2011.gada 1.marta līdz 2012.gada 1.aprīlim – trešajai projektu iesniegumu atlases kārtai."
2. Papildināt noteikumus ar 3.1 punktu šādā redakcijā:
"3.1 Pirmajā, otrajā un trešajā projektu iesniegumu atlases kārtā kopā uzaicinājumus nosūta vismaz četriem projektu iesniedzējiem no katra plānošanas reģiona."
3. Izteikt 4. un 5.punktu šādā redakcijā:
"4. Aktivitāti īsteno ierobežotas projektu iesniegumu atlases veidā trijās projektu iesniegumu atlases kārtās. Ja projektu iesniegumu atlasē projekta iesniegums tiek noraidīts, sadarbības iestāde 15 darbdienu laikā pēc lēmuma pieņemšanas par projekta iesnieguma noraidīšanu atkārtoti uzaicina projekta iesniedzēju iesniegt projekta iesniegumu atbilstoši šo noteikumu 1.pielikumam. Ja projekta iesniegums nav iesniegts 20 darbdienu laikā pēc projekta iesnieguma iesniegšanas beigu termiņa, atkārtoti projekta iesniedzēju iesniegt projekta iesniegumu neuzaicina. Aktivitātes ietvaros sadarbības iestāde atkārtoti uzaicina iesniegt projekta iesniegumu ne vairāk kā divas reizes katrā projektu iesniegumu atlases kārtā.
5. Aktivitātei pieejamais kopējais finansējums ir 135 391 469 lati, tajā skaitā Eiropas Reģionālās attīstības fonda līdzfinansējums – 115 082 749 lati, valsts budžeta līdzfinansējums – ne vairāk kā 9 120 237 lati un privātais finansējums, ko nodrošina projekta iesniedzējs, – ne mazāk kā 11 188 483 lati:
5.1. pirmās projektu iesniegumu atlases kārtas kopējais finansējums ir 61 080 388 lati;
5.2. otrās projektu iesniegumu atlases kārtas kopējais finansējums ir 21 256 228 lati;
5.3. trešās projektu iesniegumu atlases kārtas kopējo finansējumu veido:
5.3.1. šo noteikumu 1.pielikumā norādītais trešajai projektu iesniegumu atlases kārtai pieejamais finansējums 53 054 853 latu apmērā;
5.3.2. pirmās un otrās projektu iesniegumu atlases kārtas finansējuma atlikums;
5.4. pirmās un otrās projektu iesniegumu atlases kārtas finansējuma atlikumu un šo noteikumu 12.2.apakšpunktā minētās apvienības attiecināmo izmaksu summas atlikumu sadala trešās projektu iesniegumu atlases kārtas ietvaros proporcionāli vidējam stacionāro gultu skaitam 2009.gadā starp šo noteikumu 1.pielikumā minētajiem projektu iesniedzējiem, kuru statuss šo noteikumu 1.pielikumā norādīts kā reģionālā daudzprofilu slimnīca."
4. Aizstāt 10.8.apakšpunktā vārdu "veicināt" ar vārdu "uzraudzīt".
5. Aizstāt 10.11.apakšpunktā vārdus "vadošajā iestādē" ar vārdiem "sertifikācijas iestādē".
6. Izteikt 12.punktu šādā redakcijā:
"12. Projekta iesniedzējs, iesniedzot projekta iesniegumu, var pretendēt uz attiecināmo izmaksu kopsummu, kas nepārsniedz:
12.1. šo noteikumu 1.pielikuma ailē "Projekta pamatsumma (tajā skaitā Eiropas Reģionālās attīstības fonda, valsts budžeta un attiecināmais publiskais līdzfinansējums)" norādītās projekta attiecināmo izmaksu summas;
12.2. šo noteikumu 1.pielikuma ailē "Projekta summa (tajā skaitā Eiropas Reģionālās attīstības fonda, valsts budžeta un attiecināmais publiskais līdzfinansējums)" norādītās apvienības attiecināmo izmaksu summas, ja projekta iesniedzējs līdz 2010.gada 31.decembrim ir reģistrējis komercreģistrā apvienību ar citu projekta iesniedzēju;
12.3. atbilstoši šo noteikumu 5.4.apakšpunkta nosacījumiem aprēķināto summu."
7. Svītrot 13.punktu.
8. Svītrot 14.punkta ievaddaļā vārdus "atsevišķi cauršūtiem (caurauklotiem)".
9. Svītrot 14.1.apakšpunktu.
10. Izteikt 14.6.apakšpunktu šādā redakcijā:
"14.6. projekta iesniedzēja dokumentācijas, kas apliecina, ka projekta iesniedzējs ir reģistrējis komercreģistrā reorganizāciju, pievienojot projekta iesniedzējam citu iestādi, kas minēta šo noteikumu 1.pielikumā, un pārņemot apvienojamās iestādes saistības (ja attiecināms)."
11. Svītrot 14.7.apakšpunktu.
12. Izteikt 21.2. un 21.3.apakšpunktu šādā redakcijā:
"21.2. nosūtot pa pastu papīra formā trijos eksemplāros (oriģināls un divas kopijas), attiecīgi norāda "oriģināls" vai "kopija", projekta iesnieguma veidlapu un pielikumus cauršuj (caurauklo) katru atsevišķi, pievieno elektronisko kopiju elektronisko datu nesējā;
21.3. iesniedzot personīgi papīra formā trijos eksemplāros (oriģināls un divas kopijas), attiecīgi norāda "oriģināls" vai "kopija", projekta iesnieguma veidlapu un pielikumus cauršuj (caurauklo) katru atsevišķi, pievieno elektronisko kopiju elektronisko datu nesējā."
13. Izteikt 23.punktu šādā redakcijā:
"23. Projekta nacionālais līdzfinansējums nav mazāks par 15 procentiem no projekta attiecināmo izmaksu kopsummas un sastāv no:
23.1. valsts budžeta iestādēm pieejamā valsts budžeta finansējuma 15 procentu apmērā no attiecināmo izmaksu summas, bet ne vairāk par 587 236 latiem;
23.2. valsts kapitālsabiedrībām, pašvaldību iestādēm un pašvaldību kapitālsabiedrībām pieejamā valsts budžeta līdzfinansējuma ne vairāk kā 8 533 001 lata apmērā, kas tiek sadalīts starp pirmās un otrās projektu iesniegumu atlases kārtas projektiem, kuri saņēmuši augstāko vērtējumu atbilstoši projektu iesniegumu vērtēšanas kritērijiem (ja projekti saņēmuši vienādu vērtējumu, valsts budžeta līdzfinansējums tiek sadalīts starp attiecīgo projektu iesniedzējiem proporcionāli kopējam projekta attiecināmajam finansējumam):
23.2.1. līdz 15 procentiem no šo noteikumu 12.1. un 12.2.apakšpunktā minētajām projekta attiecināmo izmaksu summām, ja projekta iesniedzējs ir valsts kapitālsabiedrība un šo noteikumu 1.pielikumā projekta iesniedzēja profils norādīts kā specializētā slimnīca vai specializētais centrs;
23.2.2. līdz 13,21 procentam no šo noteikumu 12.1. un 12.2.apakšpunktā minētajām projekta attiecināmo izmaksu summām, ja projekta iesniedzējs ir valsts kapitālsabiedrība vai pašvaldības kapitālsabiedrība un šo noteikumu 1.pielikumā projekta iesniedzēja profils norādīts kā universitātes slimnīca, reģionālā daudzprofilu slimnīca, lokālā daudzprofilu slimnīca vai aprūpes slimnīca;
23.3. privāta līdzfinansējuma, ko nodrošina projekta iesniedzējs."
14. Aizstāt 24.punktā skaitli "10 542 060" ar skaitli "21 084 120".
15. Izteikt 25.punktu šādā redakcijā:
"25. Sadarbības iestāde, ja tai ir pieejami valsts budžeta līdzekļi, pamatojoties uz finansējuma saņēmēja rakstisku avansa pieprasījumu, nodrošina tam avansa maksājumu, bet ne vairāk par summu, ko finansējuma saņēmējs var pieprasīt ar maksājuma pieprasījumiem sadarbības iestādē sešu mēnešu laikā pēc avansa piešķiršanas atbilstoši normatīvajiem aktiem par kārtību, kādā paredzami valsts budžeta līdzekļi Eiropas Savienības fonda līdzfinansēto projektu īstenošanai, kā arī maksājumu veikšanas un izdevumu deklarācijas sagatavošanas kārtību."
16. Aizstāt 26.punktā vārdus "tikai vienu projektu katrā no divām" ar vārdiem "ne vairāk par diviem projektiem katrā no trim".
17. Aizstāt 27.punktā vārdus "pirmo iepirkuma procedūru izsludina" ar vārdiem "nodrošina pirmās iepirkuma procedūras izsludināšanu".
18. Svītrot 39.punktu.
19. Papildināt noteikumus ar 40.8.1 apakšpunktu šādā redakcijā:
"40.8.1 renovācija un rekonstrukcija infrastruktūrā, kas saistīta ar ambulatorās veselības aprūpes pakalpojumu sniegšanu;".
20. Papildināt noteikumus ar 40.10.1 apakšpunktu šādā redakcijā:
"40.10.1 zemes vai nekustamā īpašuma iegāde;".
21. Izteikt 41.1.apakšpunktu šādā redakcijā:
"41.1. šo noteikumu 40.1.apakšpunktā minētās darbības ir atbalstāmas ēkā, kuras kopējā platība vismaz 70 procentu apmērā tiek tieši izmantota valsts apmaksāto veselības aprūpes un neatliekamās medicīniskās palīdzības pakalpojumu sniegšanai un ne vairāk par 30 procentiem – atbalsta funkciju nodrošināšanai valsts apmaksāto veselības aprūpes un neatliekamās medicīniskās palīdzības pakalpojumu sniegšanā;".
22. Izteikt 41.9. un 41.10.apakšpunktu šādā redakcijā:
"41.9. šo noteikumu 40.8.apakšpunktā minētās darbības ietvaros, ja šo noteikumu 41.8.apakšpunktā minētās prasības nav izpildītas, ir atbalstāma renovācija un rekonstrukcija atbilstoši normatīvajam aktam par obligātajām prasībām ārstniecības iestādēm un to struktūrvienībām attiecībā uz aprūpes slimnīcu uzņemšanas nodaļām;
41.10. šo noteikumu 40.10.apakšpunktā minētā darbība ir atbalstāma, ja iestādes platība kopā ar jaunās ēkas plānoto platību nepārsniedz 100 m2 uz gultu un ja jaunās ēkas kopējā platība vismaz 70 procentu apmērā tiek tieši izmantota valsts apmaksāto veselības aprūpes un neatliekamās medicīniskās palīdzības pakalpojumu sniegšanai un ne vairāk par 30 procentiem – atbalsta funkciju nodrošināšanai valsts apmaksāto veselības aprūpes un neatliekamās medicīniskās palīdzības pakalpojumu sniegšanā."
23. Aizstāt 42.2.apakšpunktā skaitli "2010." ar skaitli "2009.".
24. Papildināt noteikumus ar 42.3.apakšpunktu šādā redakcijā:
"42.3. trešās projektu iesniegumu atlases kārtas projektu iesniedzēji ierobežojumu aprēķināšanai izmanto 2010.gada statistikas datus."
25. Papildināt 43.punkta ievaddaļu aiz skaitļa "40.8." ar skaitli "40.8.1".
26. Izteikt 43.5.apakšpunktu šādā redakcijā:
"43.5. izmaksas, kas saistītas ar ēkas pieejamības nodrošināšanu personām ar funkcionāliem traucējumiem;".
27. Aizstāt 43.7.apakšpunktā vārdus "inženiertīklu pilnveides" ar vārdiem "inženiertīklu un to pievadu pilnveides".
28. Izteikt 44.5.apakšpunktu šādā redakcijā:
"44.5. izmaksas, kas saistītas ar ēkas pieejamības nodrošināšanu personām ar funkcionāliem traucējumiem;".
29. Aizstāt 44.7.apakšpunktā vārdus "inženiertīklu pilnveides" ar vārdiem "inženiertīklu un to pievadu pilnveides".
30. Papildināt noteikumus ar 44.1 punktu šādā redakcijā:
"44.1 Šo noteikumu 40.10.1 apakšpunktā noteiktā darbība ietver zemes vai nekustamā īpašuma iegādes izmaksas līdz 10 procentiem no kopējā projekta attiecināmā finansējuma, un tā ir atbalstāma, ja par attiecīgās zemes vai nekustamā īpašuma iegādi pieņemts Ministru kabineta lēmums."
31. Izteikt 45. un 46.punktu šādā redakcijā:
"45. Šo noteikumu 40.11.apakšpunktā noteiktā atbalstāmā darbība ietver ārstnieciskajam procesam tieši nepieciešamo tehnoloģiju piegādes un montāžas izmaksas.
46. Šo noteikumu 45.punktā minētā izmaksu pozīcija ir attiecināma, ja tiek izpildīti visi šie nosacījumi:
46.1. izmaksu pozīcijas summa ir līdz 25 procentiem no kopējā projekta attiecināmā finansējuma;
46.2. projekta iesniedzēja profils atbilstoši šo noteikumu 1.pielikumam ir universitātes slimnīca vai reģionālā daudzprofilu slimnīca;
46.3. izmaksu pozīcija saskaņota ar Veselības ekonomikas centru."
32. Papildināt 49. un 51.punktu aiz skaitļa "40.8." ar skaitli "40.8.1".
33. Papildināt noteikumus ar 51.1 un 51.2 punktu šādā redakcijā:
"51.1 Šo noteikumu 43.6. un 44.6.apakšpunktā minētās izmaksas nedrīkst pārsniegt 10 procentus no attiecīgās atbalstāmās darbības summas, izņemot šo noteikumu 40.2., 40.3., 40.9. un 40.10.apakšpunktā minētās atbalstāmās darbības, kuru ietvaros šo noteikumu 43.6. un 44.6.apakšpunktā minētās izmaksas nedrīkst pārsniegt 25 procentus no attiecīgās atbalstāmās darbības summas.
51.2 Šo noteikumu 43.1., 43.2., 43.3., 43.8., 43.9., 44.1., 44.2., 44.3., 44.8. un 44.9.apakšpunktā minētās izmaksas nedrīkst pārsniegt 10 procentus no kopējā projekta attiecināmā finansējuma."
34. Aizstāt 52.2.apakšpunktā skaitļus un vārdus "46., 48. un 51.punktā" ar skaitļiem un vārdiem "44.1, 46., 48., 51., 51.1 un 51.2 punktā".
35. Aizstāt 52.3.apakšpunktā skaitļus un vārdus "12., 13., 22., 23. un 24.punktā" ar skaitļiem un vārdiem "12., 22., 23. un 24.punktā".
36. Papildināt noteikumus ar 52.7., 52.8., 52.9. un 52.10.apakšpunktu šādā redakcijā:
"52.7. kas nav veiktas, pamatojoties uz publiskiem būvdarbu, piegādes vai pakalpojumu līgumiem;
52.8. kas rodas publisku būvdarbu, piegādes vai pakalpojumu līgumu izmaksu sadārdzinājuma dēļ;
52.9. kas nav saistītas ar ieguldījumiem valsts apmaksāto veselības aprūpes un neatliekamās medicīniskās palīdzības pakalpojumu sniegšanas infrastruktūras attīstībā, kā arī informācijas un publicitātes nodrošināšanā;
52.10. kas veiktas, pamatojoties uz darba līgumu."
37. Izteikt VI nodaļu šādā redakcijā:
"VI. Noslēguma jautājumi
54. Šo noteikumu 51.1 punktā minētais attiecināmo izmaksu ierobežojums piemērojams iepirkumiem, kas izsludināti pēc 2010.gada 1.septembra.
55. Šo noteikumu 51.2 punktā minētais attiecināmo izmaksu ierobežojums piemērojams projektiem, kas apstiprināti pēc 2010.gada 1.augusta."
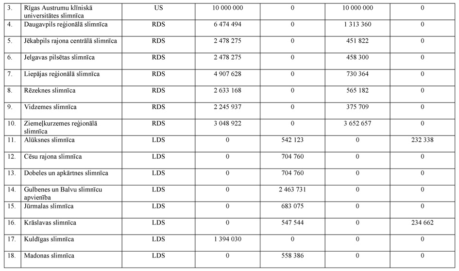
38. Izteikt 1.pielikumu jaunā redakcijā (pielikums).
39. Aizstāt 2.pielikuma 2.7.apakšpunktā skaitli "10 542 060" ar skaitli "21 084 120".
40. Izteikt 3.pielikuma A daļas 1.sadaļas 1.1.8.apakšpunktu šādā redakcijā:
"1.1.8. Projekta iesniedzēja informācija par apvienībām ar citām veselības aprūpes iestādēm:
| Nr. |
Veselības aprūpes iestādes nosaukums, ar kuru projekta iesniedzējs ir izveidojis vai plāno izveidot apvienību |
Apvienošanās statuss (pieteikta reorganizācijas reģistrācija/ reorganizācija ir reģistrēta/ reorganizācija nav reģistrēta) |
|
" |
41. Izteikt 3.pielikuma A daļas 2.sadaļas 2.9.4.apakšpunktu šādā redakcijā:
"2.9.4. Citu pakalpojumu attīstības izmaksu efektivitāte, ja attiecas (LVL):
42. Izteikt 3.pielikuma A daļas 2.sadaļas 2.11.2. un 2.11.3.apakšpunktu šādā redakcijā:
"2.11.2. Ķirurģijas tipa profilu apraksts:
2.11.3. Terapijas tipa profilu apraksts:
43. Izteikt 3.pielikuma A daļas 2.sadaļas 2.13.apakšpunktu šādā redakcijā:
"2.13. Aktivitāšu ietvaros sasniedzamie rezultāti:
|
Aktivitātes Nr.* |
Aktivitātes nosaukums |
Rezultāts** |
Rezultāts skaitliskā izteiksmē |
|
|
daudzums |
mērvienība |
|||
*aktivitātēm jāsakrīt ar 2.10.punktā norādītajām. Vienai aktivitātei var būt vairāki rezultāti, kā arī vairākām aktivitātēm var būt viens rezultāts
**projekta ietvaros var būt šādi rezultāti:
• ārēji renovēta vai rekonstruēta ēka (mērvienība – objekti);
• renovēta vai rekonstruēta operāciju zāle (mērvienība – objekti);
• renovēts vai rekonstruēts ķirurģijas tipa profils (mērvienība – skaits);
• renovēta vai rekonstruēta dzemdību nodaļa (mērvienība – objekti);
• renovēts vai rekonstruēts dzemdību tipa profils (mērvienība – skaits);
• renovēts vai rekonstruēts terapijas tipa profils (mērvienība – skaits);
• renovēta vai rekonstruēta reanimācijas nodaļa (mērvienība – objekti);
• renovēta vai rekonstruēta uzņemšanas nodaļa (mērvienība – objekti);
• renovēta vai rekonstruēta struktūrvienība, kura nodrošina ārstniecisko procesu (dezinfekcijas un sterilizācijas dienests, diagnostiskās, laboratoriju un pacientu funkcionēšanas novērtēšanas struktūrvienības, patoloģijas nodaļa ar morgu vai telpām mirušo uzglabāšanai) (mērvienība – objekti);
• renovēta vai rekonstruēta ambulatorā nodaļa (mērvienība – objekti);
• iegādāta zeme vai nekustamais īpašums (mērvienība – objekti);
• uzbūvēta jauna ēka (mērvienība – objekti);
• piegādātās tehnoloģijas (mērvienība – gabali);
• piegādāts ārstniecības procesam nepieciešamais iebūvējamais aprīkojums (mērvienība – gabali);
• nodrošināta pieejamība personām ar funkcionāliem traucējumiem (mērvienība – objekti);
• Eiropas Reģionālās attīstības fonda projekta informācijas un publicitātes pasākums (mērvienība – gabali)".
44. Izteikt 3.pielikuma C daļu šādā redakcijā:
"C daļa
Finansēšanas plāns, LVL
|
Gads |
Kopējās izmaksas |
Kopējās attiecināmās izmaksas |
Attiecināmās izmaksas, t.sk. |
Kopējās neattiecināmās izmaksas |
||||
|
ERAF finansējums |
nacionālais finansējums, t.sk. |
|||||||
|
nacionālais publiskais finansējums |
nacionālais privātais finansējums |
|||||||
|
valsts budžets |
pašvaldības budžets |
cits publiskais finansējums |
||||||
|
1 |
2 = 3 + 9 |
3 = 4 + 5 + 6 + 7 + 8 |
4 |
5 |
6 |
7 |
8 |
9 |
|
2009 |
|
|
|
|
|
|||
|
2010 |
|
|
|
|
|
|||
|
2011 |
|
|
|
|
|
|||
|
2012 |
|
|
|
|
|
|||
|
2013 |
|
|
|
|
|
|||
|
2014 |
|
|
|
|
|
|||
|
2015 |
||||||||
|
Kopā |
|
|
|
|
" |
|||
Ministru prezidenta vietā – satiksmes ministrs K.Gerhards
Veselības ministrs D.Gavars
Pielikums
Ministru kabineta
2010.gada 27.jūlija
noteikumiem Nr.700
"1.pielikums
Ministru kabineta
2009.gada 13.janvāra
noteikumiem Nr.44
Stacionārās veselības aprūpes iestādes atbilstoši normatīviem aktiem par ambulatorās un stacionārās veselības aprūpes pakalpojumu sniedzēju attīstību
Veselības ministrs D.Gavars