
Valsts kases informācija
1998.gada 16.martā
Par valsts un pašvaldību budžetiem
Pārskats par valsts kopbudžeta izpildi
uz 1998.gada 1.martu
1.tabula
Pārskats par valsts konsolidētā budžeta izpildi
uz 1998.gada 1.martu
(tūkst.latu)
2.tabula
Valsts pamatbudžeta ieņēmumi uz 1998.gada 1.martu
(tūkst.latu)
3.tabula
Valsts pamatbudžeta izdevumi pa ministrijām
un pasākumiem uz 1998.gada 1.martu
(tūkst.latu)
4.tabula
Valsts pamatbudžeta izdevumi pēc ekonomiskās klasifikācijas
uz 1998.gada 1.martu
(tūkst.latu)
5.tabula
Valsts speciālā budžeta ieņēmumi pa ministrijām
uz 1998.gada 1.martu
(tūkst.latu)
6.tabula
Valsts speciālā budžeta izdevumi pa ministrijām
uz 1998.gada 1.martu
(tūkst.latu)
6.tabula
Valsts speciālā budžeta izdevumi pa ministrijām
uz 1998.gada 1.martu
(tūkst.latu)
7.tabula
Valsts speciālā budžeta izdevumi pēc ekonomiskās klasifikācijas
uz 1998.gada 1.martu
(tūkst.latu)
8.tabula
Pašvaldību pamatbudžeta ieņēmumi uz 1998.gada 1.martu
(tūkst.latu)
9.tabula
Pašvaldību pamatbudžeta izdevumi uz 1998.gada 1.martu
(tūkst.latu)
10.tabula
Pašvaldību pamatbudžeta izdevumi
pēc ekonomiskās klasifikācijas uz 1998.gada 1.martu
(tūkst.latu)
11.tabula
Pašvaldību speciālā budžeta ieņēmumi un izdevumi
uz 1998.gada 1.martu
(tūkst.latu)
12.tabula
Pašvaldību speciālā budžeta izdevumi
pēc ekonomiskās klasifikācijas uz 1998.gada 1.martu
(tūkst.latu)
Valsts kases pārvaldnieks A.Veiss
Pārskatu departamenta direktore L.Akermane
Pašvaldību finansu izlīdzināšanas fonda līdzekļi uz 1998.gada 1.martu
No pašvaldību finansu izlīdzināšanas fonda pārskaitītie līdzekļi uz 1998.gada 1.martu
No valsts budžeta pārskaitītās mērķdotācijas pašvaldībām uz 1998.gada 1.martu
Pārskatu departamenta direktore L.Akermane
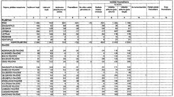
13.tabula
Pašvaldību pamatbudžeta izpildes rādītāji uz 1998.gada 1.martu
(tūkst.latu)
14.tabula
Pašvaldību speciālā budžeta izpildes rādītāji uz 1998.gada 1.martu
(tūkst.latu)
Valsts kases pārvaldnieks A.Veiss Pārskatu departamenta direktore L.Akerman