
Ministru kabineta noteikumi Nr.482
Rīgā 2010.gada 25.maijā (prot. Nr.27 48.§)
Noteikumi par teritorijas attīstības indeksa aprēķināšanas kārtību un tā vērtībām
Izdoti saskaņā ar Reģionālās attīstības likuma 14.panta 5.punktu
1. Noteikumi nosaka vietējo pašvaldību un plānošanas reģionu teritorijas attīstības līmeņa un teritorijas attīstības līmeņa izmaiņu indeksa (turpmāk – teritorijas attīstības indekss) aprēķināšanas kārtību un tā vērtības.
2. Teritorijas attīstības indeksa aprēķināšanai izmanto rādītājus, kas raksturo teritorijas sociāli ekonomisko attīstību un to nozīmības svaru (1.pielikums).
3. Teritorijas attīstības indeksu aprēķina un tā vērtības nosaka:
3.1. novadiem (2.pielikums);
3.2. republikas pilsētām (3.pielikums);
3.3. plānošanas reģioniem (4.pielikums).
4. Valsts reģionālās attīstības aģentūra katru gadu līdz 15.februārim aprēķina teritorijas attīstības indeksu par iepriekšējo gadu, un reģionālās attīstības un pašvaldību lietu ministrs līdz attiecīgā gada 1.aprīlim iesniedz noteiktā kārtībā Ministru kabinetā noteikumu projektu par grozījumiem šo noteikumu 2., 3. un 4.pielikumā.
5. Teritorijas attīstības indeksu aprēķina šādi:
5.1. izmanto rādītājus, kas raksturo teritorijas sociāli ekonomisko attīstību:
5.1.1. novadu un republikas pilsētu grupās izmanto četrus rādītājus;
5.1.2. plānošanas reģionu grupā izmanto astoņus rādītājus;
5.2. katra rādītāja nozīmību novērtē ar īpašu nozīmības svaru (1.pielikums). Rādītāju nozīmības svaru summa katrā teritoriju grupā ir 1;
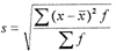
5.3. lai teritorijas attīstību raksturojošos rādītājus, kas izteikti dažādās vienībās (piemēram, cilvēki, lati, procenti), apvienotu un izveidotu teritorijas attīstības indeksu, veic rādītāju statistisku standartizāciju, izmantojot šādu formulu:
| , kur |
t – attīstības pamatrādītāja standartizētā vērtība konkrētā teritorijā;
x – standartizējamais attīstības pamatrādītājs konkrētā teritorijā, izteikts savā specifiskajā mērvienībā attiecīgajā gadā;
– attiecīgā attīstības pamatrādītāja svērtais
aritmētiskais vidējais teritoriju grupā attiecīgajā gadā
(attīstības līmeņa indekss) vai iepriekšējā gadā (attīstības
līmeņa izmaiņu indekss);
s – standartnovirze, variācijas rādītājs, kuru aprēķina par attiecīgo gadu (attīstības līmeņa indekss) vai iepriekšējo gadu (attīstības līmeņa izmaiņu indekss), izmantojot šādu formulu:
| , kur |
f – statistiskais svars (iedzīvotāju skaits teritorijā, darbspējas vecuma iedzīvotāju skaits, platība km2, izmantojot attiecīgos attīstības pamatrādītājus);
5.4. lai katram rādītājam piešķirtu tā specifisko nozīmību, katru standartizēto rādītāju reizina ar nozīmības svaru, tādējādi aprēķinot teritorijas attīstības indeksa komponentus. Komponentu summa veido teritorijas attīstības indeksu;
5.5. teritorijas attīstības indeksa vērtību šo noteikumu 3.punktā noteiktajām teritorijām aprēķina Latvijas mērogā;
5.6. teritorijas attīstības līmeņa indekss raksturo attīstības līmeni attiecīgajā gadā, parādot teritoriju augstāku vai zemāku attīstību, salīdzinot ar vidējo attīstības līmeni valstī;
5.7. teritorijas attīstības līmeņa izmaiņu indekss raksturo attīstības līmeņa izmaiņas pret iepriekšējo gadu, parādot teritoriju atpaliekošu vai apsteidzošu attīstību, salīdzinot ar vidējo attīstības līmeni iepriekšējā gadā.
6. Teritorijas attīstības līmeņa indeksu (šo noteikumu 2., 3., 4.pielikuma 3.aile) piemēro, lai aprēķinātu valsts budžeta dotāciju pašvaldībām un plānošanas reģioniem Eiropas Savienības struktūrfondu un Kohēzijas fonda līdzfinansēto projektu īstenošanai.
7. Atzīt par spēku zaudējušiem Ministru kabineta 2009.gada 7.aprīļa noteikumus Nr.319 "Noteikumi par teritorijas attīstības indeksa aprēķināšanas kārtību un tā vērtībām" (Latvijas Vēstnesis, 2009, 60.nr.).
Ministru prezidenta vietā – vides ministrs R.Vējonis
Reģionālās attīstības un pašvaldību lietu ministre D.Staķe
1.pielikums
Ministru kabineta
2010.gada 25.maija
noteikumiem Nr.482
Teritorijas attīstības indeksa aprēķināšanai nepieciešamie rādītāji un to nozīmības svars1
|
Nr.p.k. |
Rādītājs2 |
Plānošanas reģioni |
Novadi vai republikas pilsētas |
||
|
+ vai – |
svars |
+ vai – |
svars |
||
| 1. | Iekšzemes kopprodukts uz vienu iedzīvotāju, latos (faktiskajās cenās)3 |
+ |
0,3 |
– |
– |
| 2. | Bezdarba līmenis, % (reģistrēto bezdarbnieku skaits pret darbspējas vecuma iedzīvotāju skaitu)4 |
+ |
0,15 |
+ |
0,3 |
| 3. | Iedzīvotāju ienākuma nodokļa apmērs uz vienu iedzīvotāju, latos |
+ |
0,1 |
+ |
0,3 |
| 4. | Nefinanšu investīcijas uz vienu iedzīvotāju (latos) (ietverti nemateriālie ieguldījumi, dzīvojamās ēkas, citas būves un celtnes, ilggadīgie stādījumi, tehnoloģiskās mašīnas un iekārtas, pārējie pamatlīdzekļi un inventārs, kā arī pamatlīdzekļu izveidošana un nepabeigto būvprojektu un kapitālā remonta izmaksas) |
+ |
0,1 |
– |
– |
| 5. | Demogrāfiskās slodzes līmenis (bērnu un pensijas vecuma iedzīvotāju skaits pret darbspējas vecuma iedzīvotāju skaitu, reizināts ar 1000) |
+ |
0,1 |
+ |
0,2 |
| 6. | Individuālo komersantu un komercsabiedrību skaits uz 1000 iedzīvotājiem |
+ |
0,1 |
– |
– |
| 7. | Pastāvīgo iedzīvotāju blīvums (cilvēku skaits uz vienu kvadrātkilometru) |
+ |
0,05 |
– |
– |
| 8. | Pastāvīgo iedzīvotāju skaita izmaiņas pēdējo piecu gadu laikā, % (starpība starp pastāvīgo iedzīvotāju skaitu perioda beigās un perioda sākumā pret iedzīvotāju skaitu perioda sākumā, reizināta ar 100) |
+ |
0,1 |
+ |
0,2 |
| Svaru summa |
1,0 |
1,0 |
|||
Paskaidrojumi.
1. Plusa zīme (+) norāda, ka attiecīgo rādītāju izmanto.
2. Mīnusa zīme (–) norāda, ka attiecīgo rādītāju neizmanto.
Piezīmes.
1 Nozīmības svars – rādītāju svarīgums jeb nozīme kopējā teritorijas attīstības indeksa vērtībā.
2 Šā pielikuma 1., 4. un 6.punktā minētā rādītāja avots – Centrālā statistikas pārvalde, 2.punktā minētā rādītāja avots – Nodarbinātības valsts aģentūra (reģistrēto bezdarbnieku skaits) un Pilsonības un migrācijas lietu pārvalde (darbspējas vecuma iedzīvotāju skaits), 3.punktā minētā rādītāja avots – Valsts kase (iedzīvotāju ienākuma nodoklis) un Pilsonības un migrācijas lietu pārvalde (pastāvīgo iedzīvotāju skaits), 5. un 8.punktā minētā rādītāja avots – Pilsonības un migrācijas lietu pārvalde, 7.punktā minētā rādītāja avots – Pilsonības un migrācijas lietu pārvalde (pastāvīgo iedzīvotāju skaits) un Valsts zemes dienests (platība, km2).
3 Ministru kabineta 2010.gada 25.maija noteikumu Nr.482 "Noteikumi par teritorijas attīstības indeksa aprēķināšanas kārtību un tā vērtībām" 4.punktā minētajā plānošanas reģionu teritorijas attīstības indeksa ikgadējā aprēķināšanā gadam t tiek izmantota statistika atbilstoši 1.punktā minētajam rādītājam par gadu t-2, kā arī atbilstoši 4. un 6.punktā minētajam rādītājam par gadu t-1.
4 Darbspējas vecuma iedzīvotāji – sievietes 15–61 gads, vīrieši 15–61 gads.
Reģionālās attīstības un pašvaldību lietu ministre D.Staķe
2.pielikums
Ministru kabineta
2010.gada 25.maija
noteikumiem Nr.482
Teritorijas attīstības indekss novadiem
|
Nr. |
Novads |
Teritorijas attīstības līmeņa
indekss |
Teritorijas attīstības līmeņa
izmaiņu indekss |
| 1. | Garkalnes novads |
2,775 |
1,529 |
| 2. | Mārupes novads |
2,251 |
1,102 |
| 3. | Ādažu novads |
2,064 |
0,922 |
| 4. | Ķekavas novads |
1,781 |
0,604 |
| 5. | Babītes novads |
1,780 |
0,593 |
| 6. | Stopiņu novads |
1,672 |
0,467 |
| 7. | Carnikavas novads |
1,390 |
0,258 |
| 8. | Ikšķiles novads |
1,399 |
0,237 |
| 9. | Ropažu novads |
1,228 |
0,089 |
| 10. | Salaspils novads |
0,961 |
–0,338 |
| 11. | Olaines novads |
0,951 |
–0,342 |
| 12. | Baldones novads |
0,649 |
–0,349 |
| 13. | Ķeguma novads |
0,625 |
–0,510 |
| 14. | Inčukalna novads |
0,709 |
–0,529 |
| 15. | Siguldas novads |
0,628 |
–0,556 |
| 16. | Sējas novads |
0,645 |
–0,572 |
| 17. | Ogres novads |
0,581 |
–0,573 |
| 18. | Ozolnieku novads |
0,513 |
–0,578 |
| 19. | Lielvārdes novads |
0,521 |
–0,599 |
| 20. | Saulkrastu novads |
0,300 |
–0,663 |
| 21. | Iecavas novads |
0,415 |
–0,684 |
| 22. | Krimuldas novads |
0,453 |
–0,687 |
| 23. | Engures novads |
0,227 |
–0,747 |
| 24. | Smiltenes novads |
0,263 |
–0,766 |
| 25. | Ventspils novads |
0,270 |
–0,776 |
| 26. | Aizkraukles novads |
0,596 |
–0,787 |
| 27. | Naukšēnu novads |
0,117 |
–0,797 |
| 28. | Cēsu novads |
0,309 |
–0,874 |
| 29. | Jelgavas novads |
0,219 |
–0,879 |
| 30. | Nīcas novads |
0,050 |
–0,903 |
| 31. | Raunas novads |
0,010 |
–0,908 |
| 32. | Priekuļu novads |
0,220 |
–0,916 |
| 33. | Burtnieku novads |
0,170 |
–0,921 |
| 34. | Pārgaujas novads |
0,079 |
–0,937 |
| 35. | Jaunpils novads |
0,059 |
–0,958 |
| 36. | Grobiņas novads |
0,071 |
–0,966 |
| 37. | Salas novads |
0,117 |
–0,986 |
| 38. | Tukuma novads |
0,100 |
–0,993 |
| 39. | Vecumnieku novads |
0,044 |
–1,001 |
| 40. | Kokneses novads |
0,070 |
–1,017 |
| 41. | Beverīnas novads |
0,068 |
–1,036 |
| 42. | Dundagas novads |
–0,122 |
–1,045 |
| 43. | Salacgrīvas novads |
0,018 |
–1,049 |
| 44. | Kocēnu novads |
0,061 |
–1,075 |
| 45. | Bauskas novads |
0,136 |
–1,099 |
| 46. | Mālpils novads |
0,216 |
–1,114 |
| 47. | Saldus novads |
0,025 |
–1,115 |
| 48. | Tērvetes novads |
–0,011 |
–1,141 |
| 49. | Limbažu novads |
–0,042 |
–1,147 |
| 50. | Vecpiebalgas novads |
–0,149 |
–1,149 |
| 51. | Rūjienas novads |
–0,167 |
–1,155 |
| 52. | Durbes novads |
–0,192 |
–1,174 |
| 53. | Rojas novads |
–0,205 |
–1,181 |
| 54. | Gulbenes novads |
–0,141 |
–1,182 |
| 55. | Talsu novads |
–0,064 |
–1,190 |
| 56. | Kandavas novads |
–0,225 |
–1,222 |
| 57. | Dobeles novads |
0,042 |
–1,224 |
| 58. | Madonas novads |
–0,122 |
–1,243 |
| 59. | Amatas novads |
–0,160 |
–1,252 |
| 60. | Daugavpils novads |
–0,299 |
–1,271 |
| 61. | Lubānas novads |
–0,271 |
–1,280 |
| 62. | Skrīveru novads |
–0,192 |
–1,292 |
| 63. | Jaunpiebalgas novads |
–0,382 |
–1,297 |
| 64. | Alsungas novads |
–0,282 |
–1,297 |
| 65. | Aknīstes novads |
–0,222 |
–1,298 |
| 66. | Jaunjelgavas novads |
–0,184 |
–1,316 |
| 67. | Rundāles novads |
–0,214 |
–1,361 |
| 68. | Brocēnu novads |
–0,233 |
–1,364 |
| 69. | Jēkabpils novads |
–0,469 |
–1,372 |
| 70. | Līgatnes novads |
–0,210 |
–1,374 |
| 71. | Pāvilostas novads |
–0,471 |
–1,415 |
| 72. | Cesvaines novads |
–0,363 |
–1,415 |
| 73. | Preiļu novads |
–0,173 |
–1,432 |
| 74. | Alojas novads |
–0,419 |
–1,437 |
| 75. | Ilūkstes novads |
–0,509 |
–1,442 |
| 76. | Neretas novads |
–0,384 |
–1,465 |
| 77. | Krustpils novads |
–0,497 |
–1,496 |
| 78. | Pļaviņu novads |
–0,442 |
–1,595 |
| 79. | Kuldīgas novads |
–0,479 |
–1,636 |
| 80. | Ērgļu novads |
–0,596 |
–1,659 |
| 81. | Viesītes novads |
–0,669 |
–1,691 |
| 82. | Mazsalacas novads |
–0,755 |
–1,730 |
| 83. | Valkas novads |
–0,544 |
–1,752 |
| 84. | Apes novads |
–0,695 |
–1,755 |
| 85. | Aizputes novads |
–0,728 |
–1,819 |
| 86. | Alūksnes novads |
–0,592 |
–1,820 |
| 87. | Rucavas novads |
–0,931 |
–1,844 |
| 88. | Balvu novads |
–0,617 |
–1,866 |
| 89. | Auces novads |
–0,711 |
–1,961 |
| 90. | Rugāju novads |
–0,903 |
–2,034 |
| 91. | Strenču novads |
–0,885 |
–2,067 |
| 92. | Priekules novads |
–0,915 |
–2,131 |
| 93. | Līvānu novads |
–0,765 |
–2,132 |
| 94. | Krāslavas novads |
–0,903 |
–2,154 |
| 95. | Skrundas novads |
–1,036 |
–2,201 |
| 96. | Varakļānu novads |
–1,319 |
–2,315 |
| 97. | Vaiņodes novads |
–1,264 |
–2,320 |
| 98. | Aglonas novads |
–1,268 |
–2,389 |
| 99. | Ludzas novads |
–0,978 |
–2,434 |
| 100. | Riebiņu novads |
–1,350 |
–2,493 |
| 101. | Rēzeknes novads |
–1,164 |
–2,584 |
| 102. | Vārkavas novads |
–1,509 |
–2,623 |
| 103. | Ciblas novads |
–1,262 |
–2,659 |
| 104. | Dagdas novads |
–1,425 |
–2,779 |
| 105. | Viļakas novads |
–1,591 |
–2,943 |
| 106. | Kārsavas novads |
–1,797 |
–3,223 |
| 107. | Zilupes novads |
–1,715 |
–3,321 |
| 108. | Viļānu novads |
–1,904 |
–3,553 |
| 109. | Baltinavas novads |
–2,253 |
–3,768 |
Reģionālās attīstības un pašvaldību lietu ministre D.Staķe
3.pielikums
Ministru kabineta
2010.gada 25.maija
noteikumiem Nr.482
Teritorijas attīstības indekss republikas pilsētām
|
Nr. p.k. |
Republikas pilsēta |
Teritorijas attīstības līmeņa
indekss |
Teritorijas attīstības līmeņa
izmaiņu indekss |
| 1. | Jūrmala |
0,536 |
–2,398 |
| 2. | Rīga |
0,288 |
–2,413 |
| 3. | Ventspils |
0,118 |
–2,593 |
| 4. | Jelgava |
0,133 |
–2,798 |
| 5. | Valmiera |
0,053 |
–2,917 |
| 6. | Daugavpils |
–0,504 |
–3,117 |
| 7. | Jēkabpils |
–0,809 |
–4,064 |
| 8. | Liepāja |
–1,417 |
–4,597 |
| 9. | Rēzekne |
–1,585 |
–5,311 |
Reģionālās attīstības un pašvaldību lietu ministre D.Staķe
4.pielikums
Ministru kabineta
2010.gada 25.maija
noteikumiem Nr.482
Teritorijas attīstības indekss plānošanas reģioniem
|
Nr. p.k. |
Plānošanas reģions |
Teritorijas attīstības līmeņa
indekss |
Teritorijas attīstības līmeņa
izmaiņu indekss |
| 1. | Rīgas reģions |
0,956 |
0,383 |
| 2. | Zemgales reģions |
–0,508 |
–1,328 |
| 3. | Kurzemes reģions |
–0,701 |
–1,407 |
| 4. | Vidzemes reģions |
–0,803 |
–1,549 |
| 5. | Latgales reģions |
–1,164 |
–2,111 |
Reģionālās attīstības un pašvaldību lietu ministre D.Staķe