
Valsts veterinārais dienests
Rīkojums Nr. 109 2001. gada 14. maijā
Par veterināro sertifikātu piena un piena produktu eksportam uz Uzbekistānas Republiku
Pamatojoties uz Uzbekistānas Republikas veterinārā dienesta noteiktajām prasībām par piena un piena produktu eksportu uz Uzbekistānu, nosaku:
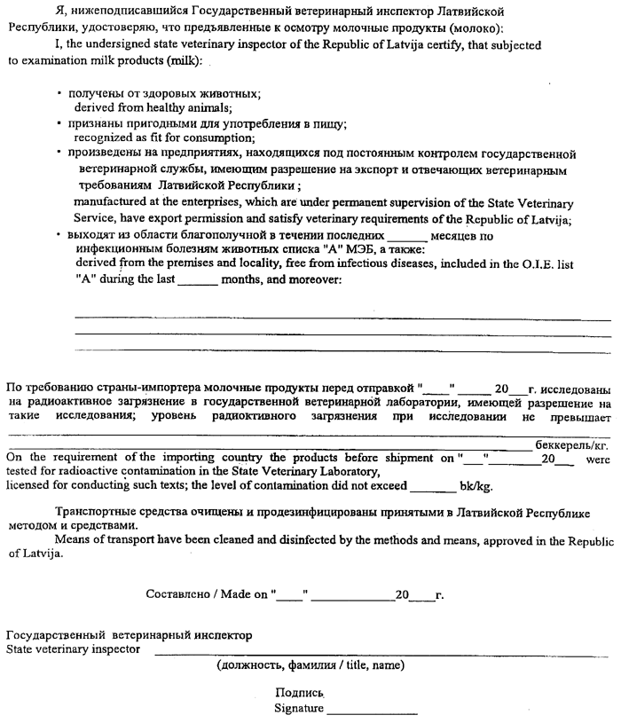
1. Sākot ar 2001. gada 15. maiju, piena un piena produktu eksportam uz Uzbekistānu izsniegt pielikumā noteiktās formas veterināro sertifikātu;
2. Atcelt sertifikāta "Eksport 2" izsniegšanu piena un piena produktu eksportam uz Uzbekistānas Republiku;
3. Minēto sertifikātu izsniegt uzņēmumiem, kuri ir iekļauti Valsts veterinārā dienesta eksportam atzīto uzņēmumu sarakstā;
4. Rīkojumu publicēt laikrakstā "Latvijas Vēstnesis";
5. Kontroli pār rīkojuma izpildi uzdodu Valsts veterinārā dienesta Importa un eksporta daļas vadītājam M.Blauam.
Valsts veterinārā dienesta direktors V.Veldre