
Vides aizsardzības un reģionālās attīstības ministrijas informācija
Par mērķdotāciju teritoriālplānošanai un attīstības programmu izstrādāšanai 1996.gadam izlietošanas gaitu pašvaldībās
Kopš 1996.gada decembra, kad pirmo reizi pašvaldībām tika piešķirtas mērķdotācijas teritoriālplānošanai un attīstības programmu izstrādāšanai, ir pagājis krietns laika sprīdis. Tas bija pirmais šāda veida valsts atbalsts teritoriālplānošanas procesa sekmēšanai, un to saņēma 57 pašvaldības. Mērķdotāciju sadales juridisko pusi nodrošināja Vides aizsardzības un reģionālās attīstības ministrijā izstrādātie Ministru kabineta noteikumi “Kārtība, kādā piešķiramas mērķdotācijas teritoriālplānošanai un attīstības programmu izstrādāšanai 1996.gadam”, savukārt praktisko — īpaši izveidota komisija.
Apzinoties sarežģīto pašvaldību finansiālo stāvokli un lai veicinātu ātrāku iecerēto dotējamo teritoriālplānošanas pasākumu īstenošanu, pašvaldībām tika dota iespēja piešķirto mērķdotāciju apgūt pa daļām — pa atsevišķiem finansējamiem pasākumiem, paredzot izmaksāt mērķdotācijas daļu pēc katra pasākuma pabeigšanas, piemēram, datortehnikas un nepieciešamā programmnodrošinājuma iegādes, kartogrāfiskā materiāla vai statistikas datu iegādes vai arī sociālekonomisko programmu un teritoriālplānojumu izstrādes.
Tādējādi visās pašvaldībās kopā tika izdarīti 208 finansējami pasākumi.
Lai konstatētu reālo situāciju, kā tiek izlietota piešķirtā mērķdotācija un kā tiek īstenots dotējamais pasākums, šī gada jūnijā tika veikta aptauja. Rezultāti parādīja, ka no 57 pašvaldībām pilnībā piešķirto mērķdotāciju bija apguvušas tikai trīs pašvaldības, t.i., pieci procenti no 1996.gadā dotētajām pašvaldībām.
Tās ir:
1) Rīgas rajona Allažu pagasts, kuram, piesaistot mērķdotāciju, tika izstrādāts ģenerālplāns, apbūves noteikumi, pagasta centra detālplānojums;
2) Madonas rajona Ērgļu pagasts, kur tika izstrādāta pagasta sociāli ekonomiskās attīstības programma, pagasta ģenerālplāns, kā arī iegādāta datortehnika minēto darbu sagatavošanai;
3) Ventspils pilsēta, kur tika sagatavota pilsētas centrālās daļas transporta shēma, uzsākta attīstības un teritoriālplānošanas datu bāzes izveide, kā arī radīts nepieciešamais tehniskais nodrošinājums šo pasākumu īstenošanai.
Savukārt vismaz vienu pasākumu bija pabeigušas 35 pašvaldības, t.i., 61%. 18 pašvaldības, t.i., 32% — izlietojušas visu izmaksāto mērķdotācijas avansu, bet nevienu pasākumu nebija pabeigušas. Vienā pašvaldībā — Ķekavas pagastā — dotējamais pasākums vispār nebija uzsākts. Var secināt, ka no 208 finansējamiem pasākumiem pilnībā tika pabeigti 42 jeb 22% pasākumu, par kuriem ir izmaksāta mērķdotācijas daļa Ls 110 092 apjomā.
Pašreiz no piešķirtajām mērķdotācijām pašvaldības reāli ir apguvušas tikai 44%. Šī situācija nav iepriecinoša. Pašvaldībām, kuras vēl pilnībā nav apguvušas visu piešķirto mērķdotāciju, būtu jāpasteidzas pabeigt darbus, jo gada beigas tuvojas strauji un līdzekļu apropriācija nākošajā — 1998.gadā — vairs nav paredzēta. Tas nozīmē, ka neizlietotā mērķdotācijas daļa netiks izmaksāta.
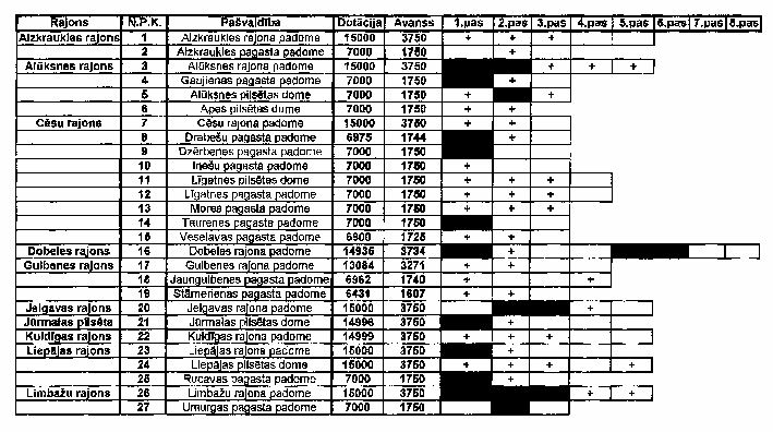
Vispārēju pārskata ainu par situāciju, kāda ir dotējamā plānošanas pasākuma īstenošanas un mērķdotācijas izlietojuma gaita pašvaldībās, sniedz tālāk pievienotais pārskats.
Zanda Penēze, komisijas mērķdotāciju piešķiršanai teritoriālplānošanai un attīstības programmu izstrādāšanai atbildīgā sekretāre