
Latvijas Bankas noteikumi Nr.39
Rīgā 2009.gada 16.jūlijā
Grozījumi Latvijas Bankas 2009.gada 15.janvāra noteikumos Nr.26 “Banku obligāto rezervju prasību aprēķināšanas un izpildes noteikumi”
Izdoti saskaņā ar likuma “Par Latvijas Banku” 38.panta pirmo un ceturto daļu
1. Izdarīt Latvijas Bankas 2009. gada 15. janvāra noteikumos Nr. 26 “Banku obligāto rezervju prasību aprēķināšanas un izpildes noteikumi” (Latvijas Vēstnesis, 2009, Nr. 10) šādus grozījumus:
1.1. izteikt 45. punktu šādā redakcijā:
“45. Procentu likmi par rezervju prasību neizpildi nosaka izpildes periodam, kurā neizpilde pieļauta, attiecīgi par 10.0 procentu punktiem palielinot Latvijas Bankas noteikto aizdevumu iespējas uz nakti procentu likmi.”;
1.2. izteikt 46. punktu šādā redakcijā:
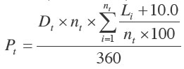
“46. Maksu par rezervju prasību neizpildi aprēķina saskaņā ar šādu formulu:
,
kur:
Pt – maksa par rezervju prasību neizpildi t izpildes periodā;
Dt – rezervju prasību neizpildes apjoms t izpildes periodā;
nt – dienu skaits t izpildes periodā;
i – t izpildes perioda i diena;
Li – i dienā spēkā esošā Latvijas Bankas noteiktā aizdevumu iespējas uz nakti procentu likme.”;
1.3. izteikt 47. punktu šādā redakcijā:
“47. Rezervju prasību neizpilde vairāk nekā vienu reizi jebkurā 12 mēnešu periodā uzskatāma par rezervju prasību neizpildes atkārtošanos.”;
1.4. izteikt 48. punktu šādā redakcijā:
“48. Katrā rezervju prasību neizpildes atkārtošanās gadījumā maksu par rezervju prasību neizpildi aprēķina saskaņā ar šo noteikumu 46. punktā minēto formulu, skaitli 10.0 tajā aizstājot ar skaitli 15.0.”
2. Noteikumi stājas spēkā 2009. gada 24. oktobrī.
Latvijas Bankas prezidents I.Rimšēvičs