
Ministru kabineta noteikumi Nr.731
Rīgā 2009.gada 30.jūnijā (prot. Nr.45 20.§)
Darba aizsardzības prasības nodarbināto aizsardzībai pret mākslīgā optiskā starojuma radīto risku darba vidē
Izdoti saskaņā ar Darba aizsardzības likuma 25.panta 18.punktu
I. Vispārīgie jautājumi
1. Noteikumi nosaka darba aizsardzības prasības nodarbināto aizsardzībai pret risku, ko darba vidē rada vai var radīt mākslīgā optiskā starojuma (turpmāk – optiskais starojums) iedarbība uz nodarbinātajiem darba laikā, īpaši uz viņu acīm un ādu.
2. Optiskais starojums ir jebkurš elektromagnētiskais starojums ar viļņa garumu diapazonā no 100 nm līdz 1 mm. Ir šādi optiskā starojuma veidi:
2.1. neviendabīgais starojums – jebkurš optiskais starojums, kas nav lāzera starojums:
2.1.1. ultravioletais starojums – optiskais starojums ar viļņa garumu no 100 nm līdz 400 nm. Ultravioletais diapazons iedalās UVA (315–400 nm), UVB (280–315 nm) un UVC (100–280 nm);
2.1.2. redzamais starojums – optiskais starojums ar viļņa garumu no 380 nm līdz 780 nm;
2.1.3. infrasarkanais starojums – optiskais starojums ar viļņa garumu no 780 nm līdz 1 mm. Infrasarkanais diapazons iedalās ISA (780–1400 nm), ISB (1400–3000 nm) un ISC (3000 nm–1 mm);
2.2. lāzera starojums – optiskais starojums no lāzera ierīces, ar ko var radīt vai pastiprināt elektromagnētisko starojumu optiskā starojuma viļņa garuma diapazonā, galvenokārt izmantojot kontrolētu stimulētu izstarojumu.
3. Izstarojums jeb enerģijas blīvums ir optiskā starojuma avota jauda uz virsmas laukuma vienību, izteikta vatos uz kvadrātmetru (W/m2).
4. Optiskā starojuma iedarbība ir izstarojuma laika izkliede (integrālis), izteikta džoulos uz kvadrātmetru (J/m2).
5. Spožums ir optiskā starojuma enerģijas plūsma telpiskā leņķa vienībā uz laukuma vienību, izteikts vatos uz kvadrātmetru uz steradiānu (W/m2 · sr).
6. Optiskā starojuma iedarbības līmenis ir starojuma avota izstarojuma iedarbības un spožuma kombinācija, kam ir pakļauts nodarbinātais.
7. Noteikumi attiecas uz visām nodarbinātības jomām, kurās nodarbinātie darba vidē tiek vai var tikt pakļauti optiskā starojuma iedarbībai.
8. Darba devējs nedrīkst pakļaut nodarbinātos tāda optiskā starojuma iedarbībai, kas pārsniedz ekspozīcijas robežvērtības neviendabīgajam starojumam (1.pielikums) un ekspozīcijas robežvērtības lāzera starojumam (2.pielikums).
9. Ekspozīcijas robežvērtības ir optiskā starojuma iedarbības ierobežojumi, kurus ievērojot starojumam pakļautie nodarbinātie ir aizsargāti pret tā kaitīgo ietekmi uz veselību.
10. Par šo noteikumu ievērošanu atbildīgs ir darba devējs.
11. Darba aizsardzības prasību ievērošanu kontrolē Valsts darba inspekcija.
II. Optiskā starojuma iedarbības noteikšana un radītā riska novērtēšana
12. Darba devējs visās darba vietās veic pirmreizēju optiskā starojuma radītā riska novērtējumu, nosakot, vai tajā ir optiskā starojuma avoti, kas varētu izraisīt kaitējumu nodarbinātā veselībai.
13. Ja darba vietā ir optiskā starojuma avots vai nodarbināto veselības pārbaudes rezultāti liecina, ka nodarbināto veselības traucējumus ir izraisījusi vai varēja izraisīt optiskā starojuma iedarbība, darba devējs novērtē optiskā starojuma radīto risku saskaņā ar normatīvajiem aktiem par darba vides iekšējās uzraudzības veikšanas kārtību.
14. Ja darba devējs konstatē, ka optiskais starojums rada vai var radīt risku nodarbināto drošībai un veselībai, viņš saskaņā ar iegūtajiem rezultātiem, ja nepieciešams, veic optiskā starojuma mērījumus vai aprēķinus, ņemot vērā ekspozīcijas robežvērtības (1. un 2.pielikums), kā arī darba aprīkojuma ražotāja sniegto informāciju par izstarojuma līmeņiem (ja attiecīgais aprīkojums rada optisko starojumu).
15. Optiskā starojuma mērījumus ar kalibrētu mēraparatūru, kas atbilstoši ražotāja lietošanas instrukcijai ir piemērota attiecīgā optiskā starojuma mērījumu veikšanai, veic:
15.1. Metroloģijas un akreditācijas valsts aģentūras struktūrvienībā – Latvijas Nacionālajā akreditācijas birojā – atbilstoši standartam LVS EN ISO/IEC 17025:2005 “Testēšanas un kalibrēšanas laboratoriju kompetences vispārīgās prasības” akreditētas laboratorijas;
15.2. citās Eiropas Savienības dalībvalstīs akreditētas institūcijas, kuras tiesīgas veikt optiskā starojuma mērījumus;
15.3. kompetentas institūcijas vai kompetenti speciālisti darba aizsardzības jautājumos;
15.4. darba aizsardzības speciālisti, kuri ieguvuši otrā līmeņa augstāko izglītību darba aizsardzībā atbilstoši normatīvajiem aktiem par apmācību darba aizsardzības jautājumos;
15.5. personas ar atbilstošu kvalifikāciju mērījumu veikšanai.
16. Darba devējs, novērtējot optiskā starojuma radīto risku, īpašu uzmanību pievērš šādiem faktoriem:
16.1. iedarbības līmenim, viļņa garuma diapazonam un iedarbības ilgumam uz nodarbināto;
16.2. ekspozīcijas robežvērtībām (1. un 2.pielikums);
16.3. jebkurai ietekmei uz to nodarbināto drošību un veselību, kuri pakļauti īpašam riskam (tai skaitā pusaudži, grūtnieces un sievietes pēcdzemdību periodā);
16.4. jebkurai iespējamai ietekmei uz nodarbināto drošību un veselību, kuru rada darba vietas optiskā starojuma mijiedarbība ar gaismjutīgām ķīmiskām vielām;
16.5. jebkurai netiešai ietekmei (tai skaitā īslaicīgam apžilbinājumam, eksplozijai vai liesmai);
16.6. nosacījumam par rezerves aprīkojuma esību, kas paredzēts optiskā starojuma iedarbības līmeņa samazināšanai;
16.7. nodarbināto veselības pārbaužu rezultātiem, kā arī uz zinātniskiem pētījumiem balstītai informācijai par optiskā starojuma ietekmi uz nodarbināto veselību;
16.8. vairāku optiskā starojuma avotu mijiedarbībai;
16.9. lāzera ierīču vai citu optiskā starojuma avotu klasifikācijai, ko norāda iekārtas ražotājs, un ar to saistītajai bīstamības pakāpei, īpaši ņemot vērā 3.B vai 4.klases lāzera ierīču vai līdzīgas klasifikācijas citu optiskā starojuma avotu radīto bīstamību (vidēji augstu vai augstu);
16.10. citai informācijai, ko snieguši optiskā starojuma avotu un ar tiem saistītā aprīkojuma ražotāji.
17. Darba devējs dokumentē visus optiskā starojuma radītā riska novērtēšanas un mērīšanas rezultātus un glabā tos trīs gadus. Pēc noteiktā termiņa beigām minēto informāciju nodod glabāšanai arhīvā.
III. Optiskā starojuma radītā riska novēršana vai samazināšana
18. Novēršot vai samazinot optiskā starojuma radīto risku, darba devējs ievēro Darba aizsardzības likumā noteiktos darba aizsardzības vispārīgos principus.
19. Darba devējs atbilstoši Darba aizsardzības likumā noteiktajām prasībām konsultējas ar nodarbinātajiem vai viņu uzticības personām jautājumos, kas saistīti ar optiskā starojuma radīto risku darba vidē, kā arī rada iespēju nodarbināto līdzdalībai attiecīgo jautājumu risināšanā.
20. Darba devējs atbilstoši riska novērtējuma rezultātiem veic nepieciešamos pasākumus (tai skaitā organizatoriskos – iedarbības laika samazināšana, atpūtas pauzes) optiskā starojuma radītā riska novēršanai vai samazināšanai līdz minimumam (zemākajam praktiski iespējamajam līmenim), pamatojoties uz tehnisko progresu un izmantojot jaunākos līdzekļus optiskā starojuma radītā riska avota kontrolei.
21. Ja, veicot darba vides riska novērtējumu, konstatē, ka ekspozīcijas robežvērtības (1. un 2.pielikums) var tikt pārsniegtas, darba devējs darba aizsardzības pasākumu plānā ietver šādus konkrētajās darba vietās veicamus organizatoriskus un tehniskus pasākumus:
21.1. izmantot darba metodes, kas samazina optiskā starojuma radīto risku;
21.2. izvēlēties darba aprīkojumu, kuram ir mazāks optiskā starojuma iedarbības līmenis, ņemot vērā veicamo darbu;
21.3. veikt tehniskus pasākumus optiskā starojuma iedarbības līmeņa samazināšanai, ja nepieciešams, uzstādot aprīkojumu optiskā starojuma iedarbības līmeņa samazināšanai, tai skaitā bloķēšanas ierīces, aizsargekrānu vai līdzīgas ierīces nodarbināto veselības aizsardzības nodrošināšanai;
21.4. nodrošināt darba vietu iekārtojuma un darba aprīkojuma apkopi un uzturēšanu atbilstoši normatīvajiem aktiem par darba aizsardzības prasībām darba vietās un lietojot darba aprīkojumu;
21.5. optimizēt darba vietu plānojumu un izvietojumu;
21.6. ierobežot optiskā starojuma iedarbības ilgumu un līmeni;
21.7. nodrošināt nodarbinātos ar piemērotiem individuālajiem aizsardzības līdzekļiem;
21.8. veikt pasākumus saskaņā ar darba aprīkojuma ražotāju norādījumiem.
22. Šo noteikumu 21.punktā minētajās darba vietās darba devējs izvieto attiecīgas drošības zīmes saskaņā ar normatīvajiem aktiem par darba aizsardzības prasībām drošības zīmju lietošanā. Darba devējs nodrošina bīstamo zonu norobežošanu un ierobežotu piekļūšanu šīm zonām, ja pakļaušana optiskā starojuma radītajam riskam ir pamatota un ierobežojumi ir tehniski iespējami.
23. Ja pēc darba devēja veiktajiem darba aizsardzības pasākumiem optiskā starojuma radītā riska samazināšanai ekspozīcijas robežvērtības optiskajam starojumam tomēr ir pārsniegtas, darba devējs:
23.1. nekavējoties veic pasākumus, lai nepieļautu nodarbināto pakļaušanu šādam optiskajam starojumam un samazinātu tā iedarbību, nodrošinot, lai tas nepārsniegtu ekspozīcijas robežvērtības;
23.2. analizē un nosaka iemeslus, kuru dēļ optiskā starojuma iedarbība pārsniedz ekspozīcijas robežvērtības;
23.3. veic izmaiņas darba aizsardzības pasākumos, lai novērstu optiskā starojuma ekspozīcijas robežvērtību atkārtotu pārsniegšanu.
24. Darba devējs nodrošina, lai nodarbinātie, kas pakļauti optiskā starojuma radītajam riskam darba vietā, un viņu pārstāvji tiktu attiecīgi apmācīti un viņiem saprotamā veidā informēti par:
24.1. optiskā starojuma iedarbību un iespējamo risku nodarbināto drošībai un veselībai;
24.2. darba aizsardzības pasākumiem, kas novērš vai līdz minimumam samazina optiskā starojuma radītā riska ietekmi uz nodarbināto drošību un veselību;
24.3. rezultātiem, kas iegūti optiskā starojuma radītā riska novērtēšanā, un to nozīmi;
24.4. optiskā starojuma iedarbības dēļ radušos veselības traucējumu pazīmēm, savlaicīgu veselības traucējumu atklāšanas nozīmi un rīcību, ja ir radušies veselības traucējumi;
24.5. apstākļiem, kādos nodarbinātajiem ir tiesības uz veselības uzraudzību, kā arī par obligātās veselības pārbaudes nozīmi;
24.6. drošām darba metodēm, kā arī pareizu un drošu darba aprīkojuma lietošanu, lai novērstu vai līdz minimumam samazinātu optiskā starojuma radīto risku;
24.7. pareizu un piemērotu individuālo aizsardzības līdzekļu lietošanu.
IV. Nodarbināto veselības pārbaude
25. Ja nodarbinātais pakļauts optiskā starojuma radītā riska iedarbībai, kas pārsniedz ekspozīcijas robežvērtības (1. un 2.pielikums), darba devējs nodrošina nodarbināto obligātās veselības pārbaudes atbilstoši normatīvajiem aktiem par kārtību, kādā veicama obligātā veselības pārbaude, lai pēc iespējas agrāk diagnosticētu optiskā starojuma izraisītos veselības traucējumus un nodrošinātu kvalitatīvu nodarbināto veselības aizsardzību.
26. Darba devējs pēc pieprasījuma nodrošina optiskā starojuma radītā riska novērtējuma rezultātu pieejamību nodarbinātajam, nodarbinātā ģimenes ārstam un arodslimību ārstam, kurš veic nodarbinātā obligāto veselības pārbaudi.
27. Ja obligātajā veselības pārbaudē konstatē nodarbinātā veselības traucējumus, kurus arodslimību ārsts novērtē kā optiskā starojuma iedarbības radītās sekas:
27.1. ārsts nodarbināto informē par viņa veselības pārbaudes rezultātiem un sniedz ieteikumus veselības aprūpei arī pēc optiskā starojuma ietekmes izbeigšanas, kā arī informē darba devēju par veselības pārbaužu rezultātiem atbilstoši normatīvajiem aktiem par kārtību, kādā veicama obligātā veselības pārbaude;
27.2. darba devējs nekavējoties organizē citu nodarbināto veselības pārbaudes, kuri tikuši pakļauti līdzīgai optiskā starojuma iedarbībai;
27.3. darba devējs pārskata risku novērtējumu, kas veikts saskaņā ar šo noteikumu II nodaļu, un pasākumus riska novēršanai vai samazināšanai.
28. Darba devējs nodrošina nodarbināto veselības pārbaužu rezultātu dokumentēšanu. Pēc Valsts darba inspekcijas pamatota pieprasījuma darba devējs izsniedz veselības pārbaužu karšu kopijas.
29. Darba devējs ņem vērā veselības pārbaužu rezultātus, plānojot un nosakot darba aizsardzības pasākumus optiskā starojuma radītā riska novēršanai vai samazināšanai līdz pieļaujamajam līmenim.
V. Noslēguma jautājums
30. Noteikumi stājas spēkā 2010.gada 27.aprīlī.
Informatīva atsauce uz Eiropas Savienības direktīvu
Noteikumos iekļautas tiesību normas, kas izriet no Eiropas Parlamenta un Padomes 2006.gada 5.aprīļa Direktīvas 2006/25/EK par veselības un drošības minimālajām prasībām attiecībā uz darba ņēmēju pakļaušanu riskiem, ko izraisa fizikāli faktori (mākslīgais optiskais starojums) (19.atsevišķā direktīva Direktīvas 89/391/EEK 16.panta 1.punkta nozīmē).
Ministru prezidents, bērnu, ģimenes un sabiedrības integrācijas lietu ministrs V.Dombrovskis
Labklājības ministrs U.Augulis
Redakcijas piebilde: noteikumi stājas spēkā ar 2010.gada 27.aprīli.
Labklājības ministrijas iesniegtajā redakcijā
1.pielikums
Ministru kabineta
2009.gada 30.jūnija noteikumiem Nr.731
Neviendabīga optiskā starojuma iedarbības vērtību noteikšana
1. Biofiziski pamatotas optiskā starojuma iedarbības vērtības var noteikt ar šādām formulām:
kur
Eλ (λ,t), Eλ spektra izstarojums vai spektra enerģijas blīvums: starojuma avota jauda noteiktā laika posmā uz virsmas laukuma vienību, izteikta vatos uz laukuma kvadrātmetru un viļņa garuma (nanometros) reizinājumu (W/m2 · nm); Eλ (λ, t) un Eλ vērtības iegūst mērījumos vai tās var norādīt aprīkojuma ražotājs;
Eeff faktiskais izstarojums (UV diapazons): aprēķinātais spektrāli svērtais izstarojums UV viļņa garuma diapazonā no 180 līdz 400 nm, izteikts vatos uz kvadrātmetru (W/m2);
H optiskā starojuma iedarbība: izstarojuma laika izkliede (integrālis), izteikts džoulos uz kvadrātmetru (J/m2);
Heff faktiskā starojuma avota iedarbība: ar S (λ) spektrāli svērta starojuma avota iedarbība, izteikta džoulos uz kvadrātmetru (J/m2);
EUVA kopējais izstarojums (UVA): aprēķinātais izstarojums UVA viļņa garuma diapazonā no 315 līdz 400 nm, izteikts vatos uz kvadrātmetru (W/m2);
HUVA optiskā starojuma iedarbība: izstarojuma laika un viļņa garuma izkliede (integrālis) vai izstarojuma summa UVA viļņu garuma diapazonā no 315 līdz 400 mm, izteikts džoulos uz kvadrātmetru (J/m2);
S (λ) spektrālā svēršana, ņemot vērā, ka UV starojuma iedarbība uz acīm un ādu ir atkarīga no viļņa garuma, (1.2. tabula) (bez mērvienības);
t, Δt laiks, iedarbības ilgums, izteikts sekundēs (s);
λ viļņa garums nanometros (nm);
Δ λ joslas platums mērījuma intervālu aprēķiniem, izteikts nanometros (nm);
Lλ (λ), Lλ avota spektrālais spožums, izteikts vatos uz kvadrātmetru uz steradiānu nanometrā (W/m2 · sr · nm);
R (λ) spektrālā svēršana, ņemot vērā, ka redzamā un IS starojuma siltuma izraisītais redzes bojājums atkarīgs no viļņa garuma, (1.3. tabula) (bez mērvienības);
LR faktiskais spožums (siltuma izraisīti bojājumi): aprēķinātais ar R (λ) spektrāli svērtais spožums, izteikts vatos uz kvadrātmetru steradiānā (W/m2 · sr);
B (λ) spektrālā svēršana, ņemot vērā, ka zilās gaismas starojuma izraisītais fotoķīmiskais redzes bojājums ir atkarīgs no viļņa garuma, (1.3. tabula) (bez mērvienības);
LB faktiskais spožums (zilā gaisma): aprēķinātais ar B (λ) spektrāli svērtais spožums, izteikts vatos uz kvadrātmetru steradiānā (W/m2 · sr);
EB faktiskais izstarojums (zilā gaisma): aprēķinātais ar B (λ) spektrāli svērtais izstarojums, izteikts vatos uz kvadrātmetru (W/m2);
EIS kopējais izstarojums (siltuma izraisīti bojājumi): aprēķinātais izstarojums infrasarkano staru viļņa garuma diapazonā no 780 līdz 3 000 nm, izteikts vatos uz kvadrātmetru (W/m2);
Eādai kopējais izstarojums (redzamais, ISA un ISB starojums): aprēķinātais izstarojums redzamo un infrasarkano staru diapazonā no 380 līdz 3000 nm, izteikts vatos uz kvadrātmetru (W/m2);
Hādai optiskā starojuma iedarbība: izstarojuma laika un viļņa garuma izkliede (integrālis) vai izstarojuma summa redzamā un infrasarkanā starojuma diapazonā no 380 līdz 3000 nm, izteikta džoulos uz kvadrātmetru (J/m2);
α leņķiskais pretnostatījums: leņķis pret redzamo avotu no kāda telpas punkta, izteiks miliradiānos (mrad). Redzamais avots ir reāls vai šķietams objekts, kas veido mazāko iespējamo tīklenes attēlu.
2. Iepriekš minētās formulas var aizstāt ar šādām izteiksmēm un diskrētām vērtībām:
Piezīmes:
1. Izmantojamās formulas ir atkarīgas no attiecīgā avota radītā starojuma diapazona, un rezultāti ir jāsalīdzina ar attiecīgām ekspozīcijas robežvērtībām, kas norādītas 1.1. tabulā.
2. Vienam optiskā starojuma avotam var atbilst vairāk nekā viena iedarbības vērtība un tai atbilstoša ekspozīcijas robežvērtība.
3. Apzīmējumi no a) līdz o) atbilst attiecīgām rindām 1.1. tabulā.
1.1. tabula
Ekspozīcijas robežvērtības neviendabīgam optiskajam starojumam
Piezīmes:
1. Diapazons no 300 līdz 700 nm attiecas uz daļu no UVB, visu UVA un lielāko daļu no redzamā starojuma; tomēr ar to saistīto risku parasti dēvē par “zilās gaismas” risku. Faktiski zilā gaisma attiecas tikai uz diapazonu aptuveni no 400 līdz 490 nm.
2. Ļoti mazu avotu pastāvīgai fiksācijai, kuru leņķiskais pretnostatījums < 11 mrad, LB var pārvērst EB. Tas parasti attiecas tikai uz oftalmoloģijas instrumentiem vai uz stabilizētu aci anestēzijas laikā. Maksimālo “cieša skatiena laiku” aprēķina šādi: tmax = 100/EB ar EB, izteiktu W/m2. Ņemot vērā acs kustību parastu redzes uzdevumu laikā, tas nepārsniedz 100 s.
1.2. tabula
S (
λ) (bez mērvienības), 180 nm līdz 400 nm|
λ, nm |
S (λ) |
λ, nm |
S (λ) |
λ, nm |
S (λ) |
λ, nm |
S (λ) |
λ, nm |
S (λ) |
|
180 |
0,0120 |
228 |
0,1737 |
276 |
0,9434 |
324 |
0,000520 |
372 |
0,000086 |
|
181 |
0,0126 |
229 |
0,1819 |
277 |
0,9272 |
325 |
0,000500 |
373 |
0,000083 |
|
182 |
0,0132 |
230 |
0,1900 |
278 |
0,9112 |
326 |
0,000479 |
374 |
0,000080 |
|
183 |
0,0138 |
231 |
0,1995 |
279 |
0,8954 |
327 |
0,000459 |
375 |
0,000077 |
|
184 |
0,0144 |
232 |
0,2089 |
280 |
0,8800 |
328 |
0,000440 |
376 |
0,000074 |
|
185 |
0,0151 |
233 |
0,2188 |
281 |
0,8568 |
329 |
0,000425 |
377 |
0,000072 |
|
186 |
0,0158 |
234 |
0,2292 |
282 |
0,8342 |
330 |
0,000410 |
378 |
0,000069 |
|
187 |
0,0166 |
235 |
0,2400 |
283 |
0,8122 |
331 |
0,000396 |
379 |
0,000066 |
|
188 |
0,0173 |
236 |
0,2510 |
284 |
0,7908 |
332 |
0,000383 |
380 |
0,000064 |
|
189 |
0,0181 |
237 |
0,2624 |
285 |
0,7700 |
333 |
0,000370 |
381 |
0,000062 |
|
190 |
0,0190 |
238 |
0,2744 |
286 |
0,7420 |
334 |
0,000355 |
382 |
0,000059 |
|
191 |
0,0199 |
239 |
0,2869 |
287 |
0,7151 |
335 |
0,000340 |
383 |
0,000057 |
|
192 |
0,0208 |
240 |
0,3000 |
288 |
0,6891 |
336 |
0,000327 |
384 |
0,000055 |
|
193 |
0,0218 |
241 |
0,3111 |
289 |
0,6641 |
337 |
0,000315 |
385 |
0,000053 |
|
194 |
0,0228 |
242 |
0,3227 |
290 |
0,6400 |
338 |
0,000303 |
386 |
0,000051 |
|
195 |
0,0239 |
243 |
0,3347 |
291 |
0,6186 |
339 |
0,000291 |
387 |
0,000049 |
|
196 |
0,0250 |
244 |
0,3471 |
292 |
0,5980 |
340 |
0,000280 |
388 |
0,000047 |
|
197 |
0,0262 |
245 |
0,3600 |
293 |
0,5780 |
341 |
0,000271 |
389 |
0,000046 |
|
198 |
0,0274 |
246 |
0,3730 |
294 |
0,5587 |
342 |
0,000263 |
390 |
0,000044 |
|
199 |
0,0287 |
247 |
0,3865 |
295 |
0,5400 |
343 |
0,000255 |
391 |
0,000042 |
|
200 |
0,0300 |
248 |
0,4005 |
296 |
0,4984 |
344 |
0,000248 |
392 |
0,000041 |
|
201 |
0,0334 |
249 |
0,4150 |
297 |
0,4600 |
345 |
0,000240 |
393 |
0,000039 |
|
202 |
0,0371 |
250 |
0,4300 |
298 |
0,3989 |
346 |
0,000231 |
394 |
0,000037 |
|
203 |
0,0412 |
251 |
0,4465 |
299 |
0,3459 |
347 |
0,000223 |
395 |
0,000036 |
|
204 |
0,0459 |
252 |
0,4637 |
300 |
0,3000 |
348 |
0,000215 |
396 |
0,000035 |
|
205 |
0,0510 |
253 |
0,4815 |
301 |
0,2210 |
349 |
0,000207 |
397 |
0,000033 |
|
206 |
0,0551 |
254 |
0,5000 |
302 |
0,1629 |
350 |
0,000200 |
398 |
0,000032 |
|
207 |
0,0595 |
255 |
0,5200 |
303 |
0,1200 |
351 |
0,000191 |
399 |
0,000031 |
|
208 |
0,0643 |
256 |
0,5437 |
304 |
0,0849 |
352 |
0,000183 |
400 |
0,000030 |
|
209 |
0,0694 |
257 |
0,5685 |
305 |
0,0600 |
353 |
0,000175 |
||
|
210 |
0,0750 |
258 |
0,5945 |
306 |
0,0454 |
354 |
0,000167 |
||
|
211 |
0,0786 |
259 |
0,6216 |
307 |
0,0344 |
355 |
0,000160 |
||
|
212 |
0,0824 |
260 |
0,6500 |
308 |
0,0260 |
356 |
0,000153 |
||
|
213 |
0,0864 |
261 |
0,6792 |
309 |
0,0197 |
357 |
0,000147 |
||
|
214 |
0,0906 |
262 |
0,7098 |
310 |
0,0150 |
358 |
0,000141 |
||
|
215 |
0,0950 |
263 |
0,7417 |
311 |
0,0111 |
359 |
0,000136 |
||
|
216 |
0,0995 |
264 |
0,7751 |
312 |
0,0081 |
360 |
0,000130 |
||
|
217 |
0,1043 |
265 |
0,8100 |
313 |
0,0060 |
361 |
0,000126 |
||
|
218 |
0,1093 |
266 |
0,8449 |
314 |
0,0042 |
362 |
0,000122 |
||
|
219 |
0,1145 |
267 |
0,8812 |
315 |
0,0030 |
363 |
0,000118 |
||
|
220 |
0,1200 |
268 |
0,9192 |
316 |
0,0024 |
364 |
0,000114 |
||
|
221 |
0,1257 |
269 |
0,9587 |
317 |
0,0020 |
365 |
0,000110 |
||
|
222 |
0,1316 |
270 |
1,0000 |
318 |
0,0016 |
366 |
0,000106 |
||
|
223 |
0,1378 |
271 |
0,9919 |
319 |
0,0012 |
367 |
0,000103 |
||
|
224 |
0,1444 |
272 |
0,9838 |
320 |
0,0010 |
368 |
0,000099 |
||
|
225 |
0,1500 |
273 |
0,9758 |
321 |
0,000819 |
369 |
0,000096 |
||
|
226 |
0,1583 |
274 |
0,9679 |
322 |
0,000670 |
370 |
0,000093 |
||
|
227 |
0,1658 |
275 |
0,9600 |
323 |
0,000540 |
371 |
0,000090 |
1.3. tabula
B (
λ), R (λ) (bez mērvienības), 380 nm līdz 1 400 nm|
λ, nm |
B (λ) |
R (λ) |
|
λ, nm |
B (λ) |
R (λ) |
|
300 ≤ λ < 380 |
0,01 |
— |
|
380 |
0,01 |
0,1 |
|
385 |
0,013 |
0,13 |
|
390 |
0,025 |
0,25 |
|
395 |
0,05 |
0,5 |
|
400 |
0,1 |
1 |
|
405 |
0,2 |
2 |
|
410 |
0,4 |
4 |
|
415 |
0,8 |
8 |
|
420 |
0,9 |
9 |
|
425 |
0,95 |
9,5 |
|
430 |
0,98 |
9,8 |
|
435 |
1 |
10 |
|
440 |
1 |
10 |
|
445 |
0,97 |
9,7 |
|
450 |
0,94 |
9,4 |
|
455 |
0,9 |
9 |
|
460 |
0,8 |
8 |
|
465 |
0,7 |
7 |
|
470 |
0,62 |
6,2 |
|
475 |
0,55 |
5,5 |
|
480 |
0,45 |
4,5 |
|
485 |
0,32 |
3,2 |
|
490 |
0,22 |
2,2 |
|
495 |
0,16 |
1,6 |
|
500 |
0,1 |
1 |
|
500 < λ ≤ 600 |
100,02·(450-λ) |
1 |
|
600 < λ ≤ 700 |
0,001 |
1 |
|
700 < λ ≤ 1050 |
— |
100,002·(700- λ) |
|
1050 < λ ≤ 1150 |
— |
0,2 |
|
1150 < λ ≤ 1200 |
— |
0,2·100,02·(1150- λ) |
|
1200 < λ ≤ 1400 |
— |
0,02 |
Labklājības ministrs U.Augulis
Labklājības ministrijas iesniegtajā redakcijā
2.pielikums
Ministru kabineta
2009.gada 30.jūnija noteikumiem Nr.731
Lāzera optiskā starojuma iedarbības vērtību noteikšana
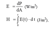
Biofiziski pamatotas optiskā starojuma iedarbības vērtības var noteikt ar šādām formulām:
kur
dP jauda, izteikta vatos (W);
dA virsma, izteikta kvadrātmetros (m2);
E (t), E starojuma intensitāte: starojuma jaudas blīvums uz virsmas laukuma vienību, izteikts vatos uz kvadrātmetru (W/m2). E(t) un E vērtības iegūst mērījumos vai tās var norādīt aprīkojuma ražotājs;
H optiskā starojuma iedarbība: starojuma enerģijas izkliede uz virsmas laukuma vienību noteiktā laika momentā (laika integrālis), izteikts džoulos uz kvadrātmetru (J/m2);
T laiks, iedarbības ilgums, izteikts sekundēs (s);
λ viļņa garums, izteikts nanometros (nm);
γ mērījuma konusa leņķis, izteikts miliradiānos (mrad);
γm mērījuma redzes leņķis, izteikts miliradiānos (mrad);
α avota leņķiskais pretnostatījums, izteikts miliradiānos (mrad);
ierobežojošs atvērums: apļveida laukums, kurā aprēķina izstarojumu un starojuma avota iedarbību;
G integrētais spožums: spožuma izkliede konkrētā iedarbības laikā, izteikta kā starojuma avota enerģija uz izstarojošā laukuma vienības reizinājumu ar starojuma telpiskā leņķa vienību, izteikts džoulos uz kvadrātmetru steridiānā (J/m2 · sr).
Piezīmes:
1. Izmantojamās formulas ir atkarīgas no attiecīgā avota radītā starojuma viļņu garuma un ilguma, un rezultāti ir jāsalīdzina ar attiecīgajām ekspozīcijas robežvērtībām, kas dotas 2.2. līdz 2.4. tabulā.
2. Vienam lāzera optiskā starojuma avotam var būt vairākas iedarbības jeb ietekmes vērtības, piemēram, avotiem var izmainīt viļņu garumu un tiem var būt dažāds iedarbības laiks. Katram gadījumam jāpiemēro atbilstoša ekspozīcijas robežvērtība.
3. Parametri un korekcijas vērtības, kas ir izmantotas aprēķiniem 2.2. līdz 2.4. tabulā, ir dotas 2.5. tabulā, un to piemērošana atkārtotai iedarbībai ir uzskaitīta 2.6. tabulā.
2.1. tabula
Lāzera starojuma radītie riski
|
Viļņa garums |
Starojuma |
Orgāns, uz kuru iedarbojas |
Risks |
Ekspozīcijas robežvērtība |
|
180 līdz 400 |
UV |
acs |
fotoķīmiski bojājumi un termiski bojājumi |
2.2, 2.3 |
|
180 līdz 400 |
UV |
āda |
eritēma |
2.4 |
|
400 līdz 700 |
redzamais |
acs |
tīklenes bojājums |
2.2 |
|
400 līdz 600 |
redzamais |
acs |
fotoķīmiski bojājumi |
2.3 |
|
400 līdz 700 |
redzamais |
āda |
termiski bojājumi |
2.4 |
|
700 līdz 1400 |
ISA |
acs |
termiski bojājumi |
2.2, 2.3 |
|
700 līdz 1400 |
ISA |
āda |
termiski bojājumi |
2.4 |
|
1400 līdz 2600 |
ISB |
acs |
termiski bojājumi |
2.2 |
|
2600 līdz 106 |
ISC |
acs |
termiski bojājumi |
2.2 |
|
1400 līdz 106 |
ISB, ISC |
acs |
termiski bojājumi |
2.3 |
|
1400 līdz 106 |
ISB, ISC |
āda |
termiski bojājumi |
2.4 |
2.2. tabula
Lāzera starojuma ekspozīcijas robežvērtības uz acīm. Īss iedarbības laiks < 10 s
|
Viļņa garums1 (nm) |
Atvērums |
Ilgums (s) |
||||||||
|
10-13 - 10-11 |
10-11 - 10-9 |
10-9 - 10-7 |
10-7 - 1,8 · 10-5 |
1,8 · 10-5 - 5 · 10-5 |
5 · 10-5 - 10-3 |
10-3 – 101 |
||||
|
UVC |
180-280 |
1 mm pie t<0,3 s; 1,5 · t0,375 pie 0,3<t<10 s |
E = 3 · 1010 · [W/m2] |
H = 30 [(J/m2] |
||||||
|
UVB |
280-302 |
|||||||||
|
303 |
H = 40 [J/m2]; ja t < 2,6 · 10-9, tad H = 5,6 · 103 t 0,25 [J/m2] sk. 4.piezīmi |
|||||||||
|
304 |
H = 60 [J/m2]; ja t < 1,3 · 10-8, tad H = 5,6 · 103 t 0,25 [J/m2] sk. 4.piezīmi |
|||||||||
|
305 |
H = 100 [J/m2]; ja t < 1,0 · 10-7, tad H = 5,6 · 103 t 0,25 [J/m2] sk. 4.piezīmi |
|||||||||
|
306 |
H = 160 [J/m2]; ja t < 6,7 · 10-7, tad H = 5,6 · 103 t 0,25 [J/m2] sk. 4.piezīmi |
|||||||||
|
307 |
H = 250 [J/m2]; ja t < 4,0 · 10-6, tad H = 5,6 · 103 t 0,25 [J/m2] sk. 4.piezīmi |
|||||||||
|
308 |
H = 400 [J/m2]; ja t < 2,6 · 10-5, tad H = 5,6 · 103 t 0,25 [J/m2] sk. 4.piezīmi |
|||||||||
|
309 |
H = 630 [J/m2]; ja t < 1,6 · 10-4, tad H = 5,6 · 103 t 0,25 [J/m2] sk. 4.piezīmi |
|||||||||
|
310 |
H = 103 [J/m2]; ja t < 1,0 · 10-3, tad H = 5,6 · 103 t 0,25 [J/m2] sk. 4.piezīmi |
|||||||||
|
311 |
H = 1,6 · 103 [J/m2]; ja t < 6,7 · 10-3, tad H = 5,6 · 103 t 0,25 [J/m2] sk. 4.piezīmi |
|||||||||
|
312 |
H = 2,5 · 103 [J/m2]; ja t < 4,0 · 10-2, tad H = 5,6 · 103 t 0,25 [J/m2] sk. 4.piezīmi |
|||||||||
|
313 |
H = 4,0 · 103 [J/m2]; ja t < 2,6 · 10-1, tad H = 5,6 · 103 t 0,25 [J/m2] sk. 4.piezīmi |
|||||||||
|
314 |
H = 6,3 · 103 [J/m2]; ja t < 1,6 · 100, tad H = 5,6 · 103 t 0,25 [J/m2] sk. 4.piezīmi |
|||||||||
|
UVA |
315-400 |
H = 5,6 · 103 t 0,25 [J/m2] |
||||||||
|
Redzamais un ISA |
400-700 |
7 mm |
H = 1,5 · 10-4 CE [J/m2] |
H = 2,7 · 104 t 0,75 CE [J/m2] |
H = 5 · 10-3 CE [J/m2] |
H = 18 · t 0,75 CE [J/m2] |
||||
|
700-1050 |
H = 1,5 · 10-4 CA CE [J/m2] |
H=2,7 · 104 t 0,75 CA CE [J/m2] |
H = 5 · 10-3 CA CE [J/m2] |
H = 18 · t 0,75 CA CE [J/m2] |
||||||
|
1050-1400 |
H = 1,5 · 10-3 CC CE [J/m2] |
H =2,7 · 105 t 0,75 CC CE [J/m2] |
H = 5 · 10-2 CC CE [J/m2] |
H = 90 · t 0,75 CC CE ([J/m2] |
||||||
|
ISB un ISC |
1400-1500 |
Sk. 2.piezīmi |
E = 1012 [W/m2] Sk. 3.piezīmi |
H = 103 [J/m2] |
H = 5,6 · 103 · t 0,25 [J/m2] |
|||||
|
1500-1800 |
E = 1013 [W/m2] Sk. 3.piezīmi |
H = 104 [J/m2] |
||||||||
|
1800-2600 |
E = 1012 [W/m2] Sk. 3.piezīmi |
H = 103 [J/m2] |
H = 5,6 ·103 · t 0,25 [J/m2] |
|||||||
|
2600-10 6 |
E = 1011 [W/m2] Sk. 3.piezīmi |
H=100 [J/m2] |
H = 5,6 · 103 · t 0,25 [J/m2] |
|||||||
Piezīmes:
1. Ja uz viļņa garumu attiecas divas robežvērtības, izmanto to, kas uzliek lielākus ierobežojumus.
2. Ja 1400≤ λ<105 nm: atvēruma diametrs = 1 mm pie t ≤ 0,3 s un 1,5 t0,375 mm pie 0,3 s < t < 10 s; ja 105≤ λ<106 nm: atvēruma diametrs = 11 mm.
3. Tā kā nav datu par tādiem impulsa ilgumiem, Starptautiskajā nejonizējošā starojuma aizsardzības komisija (turpmāk- ICNIRP) iesaka izmantot 1 ns izstarojuma robežvērtības.
4. Tabulā norādītās vērtības atsevišķiem lāzera impulsiem. Ja ir vairāki lāzera impulsi, tad jāsaskaita kopā to lāzeru impulsu ilgums, kas atbilst intervālam Tmin (uzskaitītam tabulā 2.6.) un iegūto laika vērtību ieraksta kā “t” šādā formulā: 5,6 ·103 t 0,25
2.3. tabula
Lāzera starojuma ekspozīcijas robežvērtības uz acīm. Ilgs iedarbības laiks
≥ 10 s|
Viļņa garums1 (nm) |
Atvērums |
Ilgums (s) |
|||
|
101 - 102 |
102 - 104 |
104 - 3 · 104 |
|||
|
Viļņa garums1 (nm) |
Atvērums |
Ilgums (s) |
|||
|
101 - 102 |
102 - 104 |
104 - 3 · 104 |
|||
|
UVC |
180-280 |
3,5 mm |
H = 30 [J/m2] |
||
|
UVB |
280-302 |
||||
|
303 |
H = 40 [J/m2] |
||||
|
304 |
H = 60 [J/m2] |
||||
|
305 |
H = 100 [J/m2] |
||||
|
306 |
H = 160 [J/m2] |
||||
|
307 |
H = 250 [J/m2] |
||||
|
308 |
H = 400 [J/m2] |
||||
|
309 |
H = 630 [J/m2] |
||||
|
310 |
H = 1,0 · 103 [J/m2] |
||||
|
311 |
H = 1,6 · 103 [J/m2] |
||||
|
312 |
H = 2,5 · 103 [J/m2] |
||||
|
313 |
H = 4,0 · 103 [J/m2] |
||||
|
314 |
H = 6,3 · 103 [J/m2] |
||||
|
UVA |
315-400 |
H = 104 [J/m2] |
|||
|
Redzamais 400 – 700 |
400-600 sk. 2.piezīmi |
7 mm |
H = 100 CB [J/m2] (γ = 11 mrad) sk.piezīmi4 |
E = 1 CB [W/m2]; (γ = 1,1 t0,5 mrad) sk. 4.piezīmi |
E = 1 CB [W/m2] (γ = 110 mrad) sk. 4.piezīmi |
|
400-700 sk. 2.piezīmi |
ja α < 1,5 mrad tad E = 10 [W/m2] |
||||
|
ISA |
700-1400 |
7 mm |
ja α < 1,5 mrad tad E = 10 CA CC
[W/m2] |
||
|
ISB ISC |
1400-106 |
Sk. 3.piezīmi |
E = 1000 [W/m2] |
||
Piezīmes:
1. Ja uz lāzera viļņa garumu vai citu nosacījumu attiecas divas robežvērtības, izmanto to, kura uzliek stingrākus ierobežojumus.
2. Maziem avotiem, kuri pretnostatīti ar leņķi 1,5 mrad vai mazāki, redzamās dubultās robežas E no 400 nm līdz 600 nm samazina siltuma robežas pie 10s ≤ t<T1 un fotoķīmiskās robežas ilgākiem laika posmiem. Attiecībā uz T1 un T2 sk. 2.5. tabulu. Tīklenes fotoķīmiskā riska robežu var izteikt arī kā laikā integrēto spožumu G = 106 CB [J/m2 · sr] pie t > 10s līdz t = 10000 s un L = 100 CB [W/m2 · sr] pie t > 10000 s. G un L mērījumiem jāizmanto γm kā vidējais redzes leņķis. Oficiālā robeža starp redzamo un infrasarkano starojumu ir 780 nm un to ir noteikusi Starptautiskā apgaismojuma komisija (turpmāk – CIE). Kolonna ar viļņa garuma joslu nosaukumiem ir domāta vienīgi, lai sniegtu lietotājam labāku pārskatu. Apzīmējumu G izmanto Eiropas Standartizācijas komiteja (turpmāk – CEN); apzīmējumu Lt izmanto CIE; Apzīmējumu LP izmanto IEC un Elektrotehniskās Standartizācijas Eiropas komiteja (turpmāk - CENELEC.)
3. Viļņa garums 1400-105 nm: atvēruma diametrs = 3,5 mm; viļņa garums 105 - 106 nm: atvēruma diametrs = 11 mm
4. Iedarbības vērtības izmērīšanai γ apsvērumu nosaka šādi: Ja α α (avota leņķiskais pretnosacījums) > γ γ (ierobežojošs konusa leņķis, norādīts iekavās atbilstošajā ailē) tad mērījuma redzes leņķis γm ir γ noteiktā vērtība. Ja izmanto lielāku mērījuma redzes leņķi, tad risks tiktu novērtēts par augstu. Ja α < γ tad mērījuma leņķim γm ir jābūt pietiekami lielam, lai pilnībā iekļautu avotu, bet citādi tam nav ierobežojumu, un tas var būt lielāks par γ.
2.4. tabula
Lāzera starojuma ekspozīcijas robežvērtības uz ādu.
|
Viļņa garums (nm) |
Atvērums |
Ilgums (s) |
||||||
|
< 10-9 |
10-9 - 10-7 |
10-7 - 10-3 |
10-3 – 101 |
101 - 103 |
103 - 3 · 104 |
|||
|
UV |
180-400 |
3. 5mm |
E = 3 · 1010 [W/m2] |
Tādas pašas iedarbības robežvērtības kā uz acīm |
||||
|
Redzamais un |
400-700 |
3. 5mm |
E = 2 · 1011 [W/m2] |
H=200 CA [J/m2] |
H = 1,1 · 104 CA t 0,25 [J/m2] |
E = 2 · 103 CA [W/m2] |
||
|
700-1400 |
E = 2 · 1011 CA [W/m2] |
|||||||
|
ISB |
1400-1500 |
E = 1012 [W/m2] |
Tādas pašas iedarbības robežvērtības kā uz acīm |
|||||
|
1500-1800 |
E = 1013 [W/m2] |
|||||||
|
1800-2600 |
E = 1012 [W/m2] |
|||||||
|
2600-106 |
E = 1011 [W/m2] |
|||||||
Piezīme.
Ja uz lāzera starojuma viļņa garumu vai citu nosacījumu attiecas divas robežvērtības, izmanto to, kura paredz stingrākus ierobežojumus.
2.5. tabula
Parametri un korekcijas vērtības lāzera starojuma ekspozīcijas robežvērtību noteikšanai
|
1. |
Lāzera starojuma parametrs, atbilstoši Starptautiskās nejonizējošā starojuma aizsardzības komisijas (ICNIRP) lietotajai terminoloģijai |
Derīgais spektra diapazons (nm) |
Korekcijas vērtība |
|
1.1.
|
CA |
λ<700 |
CA = 1,0 |
|
700-1050 |
CA = 10 0,002(λ – 700) |
||
|
1050-1400 |
CA = 5,0 |
||
|
1.2. |
CB |
400-450 |
CB = 1,0 |
|
450-700 |
CB = 10 0,02(λ – 450) |
||
|
1.3. |
CC |
700-1150 |
CC = 1,0 |
|
1150-1200 |
CC = 10 0,018(λ – 1150) |
||
|
1200-1400 |
CC = 8,0 |
||
|
1.4. |
T1 |
λ<450 |
T1 = 10 s |
|
450-500 |
T1 = 10 · [10 0,02 (λ – 450) ] s |
||
|
λ>500 |
T1 = 100 s |
||
|
2. |
Lāzera starojuma parametrs, atbilstoši Starptautiskās nejonizējošā starojuma aizsardzības komisijas (ICNIRP) lietotajai terminoloģijai |
Derīgs bioloģiskai iedarbībai |
Korekcijas vērtība |
|
2.1. |
αmin |
Jebkāda termiska iedarbība |
αmin = 1,5 mrad |
|
3. |
Lāzera starojuma parametrs, atbilstoši Starptautiskās nejonizējošā starojuma aizsardzības komisijas (ICNIRP) lietotajai terminoloģijai |
Derīgais leņķa diapazons |
Korekcijas vērtība |
|
3.1. |
CE |
α<αmin |
CE = 1,0 |
|
αmin<α<100 |
CE = α / αmin |
||
|
α>100 |
CE = α2 / (αmin · αmax)
mrad |
||
|
3.2. |
T2 |
α<1,5 |
T2 = 10 s |
|
1,5<α<100 |
T2 = 10 · (10 (α - 1,5) / 98,5 ) s |
||
|
α>100 |
T2 = 100 s |
||
|
4. |
Lāzera starojuma parametrs, atbilstoši Starptautiskās nejonizējošā starojuma aizsardzības komisijas (ICNIRP) lietotajai terminoloģijai |
Derīgais iedarbības laika diapazons |
Korekcijas vērtība |
|
4.1. |
|
t≤ 100 |
γ = 11 [mrad] |
|
100<t<104 |
γ = 1,1 t 0, 5 [mrad] |
||
|
t>104 |
γ = 110 [mrad] |
2.6. tabula
Parametru un korekcijas vērtību piemērošana atkārtotai lāzera starojuma iedarbībai
Katrai atkārtotas iedarbības reizei, ko rada atkārtoti pulsējoša vai skenējoša lāzera sistēmas, piemēro trīs šādus vispārējus principus:
1. Kāda atsevišķa impulsa radītā iedarbība impulsu virknē nedrīkst pārsniegt ekspozīcijas robežvērtību atsevišķam konkrēta ilguma impulsam.
2. Iedarbība no jebkādas impulsa grupas (vai impulsu apakšgrupas impulsu virknē), kas rodas t laikā, nepārsniedz ekspozīcijas robežvērtību t laikam.
3. Iedarbība no jebkāda atsevišķa impulsa impulsu grupā
nepārsniedz atsevišķa impulsa ekspozīcijas robežvērtību, kas reizināta ar
kumulatīvu termiskas korekcijas faktoru
Cp = N − 0,25, kur N ir impulsu skaits. Šo principu piemēro tikai
iedarbības robežām, lai aizsargātu no termiska savainojuma, turklāt visus
impulsus, kas rodas laikā, mazākā par Tmin, uzskata par vienu
impulsu.
|
Parametrs |
Derīgais spektra diapazons (nm) |
Korekcijas vērtība |
|
Tmin |
315<λ≤ 400 |
Tmin = 10-9 s (= 1 ns) |
|
400<λ≤ 1050 |
Tmin = 18 · 10-6 s (= 18 μs) |
|
|
1050<λ≤ 1400 |
Tmin = 50 · 10-6 s (= 50 μs) |
|
|
1400<λ≤ 1500 |
Tmin = 10-3 s (= 1 ms) |
|
|
1500<λ≤ 1800 |
Tmin = 10 s |
|
|
1800<λ≤ 2600 |
Tmin = 10-3 s (= 1 ms) |
|
|
2600<λ≤ 10 6 |
Tmin = 10-7 s (= 100 ns) |
Labklājības ministrs U.Augulis