
Dažādi sludinājumi
PAZIŅOJUMS PAR RĪGAS DOMES LĒMUMU
Ar Rīgas domes priekšsēdētāja 17.02.2009. lēmumu nr.4719 (prot nr.121, 13.§) “Par Rīgas pašvaldības aģentūras “Reģionālais sporta centrs “Anniņmuiža”” sniegtajiem publiskajiem pakalpojumiem un to izcenojumiem” apstiprināti RPA RSC “Anniņmuiža” sniegtie publiskie pakalpojumi un to izcenojumi. Ar lēmumu var iepazīties mājas lapā: www.anninmuiza.com.
Par nodokļu parādu dzēšanu
Atsaucoties uz likuma “Par nodokļiem un nodevām” 25.panta ceturto daļu, Rīgas domes Pašvaldības ieņēmumu pārvalde informē, ka pamatojoties uz likuma “Par nodokļiem un nodevām” 25.panta pirmās daļas 3.punktu, trešo daļu un piektās daļas 2.punktu, 26.panta pirmo, astoto daļu un devītās daļas 4.punktu, Rīgas domes Pašvaldības ieņēmumu pārvalde 2008.gada 23.decembrī, 2009.gada 26.janvāri, 11.februārī un 13.februārī dzēsa zemes nodokļa, nekustamā īpašuma nodokļa un īpašuma nodokļa parādus, kā arī ar to saistīto soda naudu un nokavējuma naudu šādiem nodokļu maksātājiem:
|
Nr. p.k. |
Reģ. nr. vai personas kods |
Nosaukums |
|
1. |
1601XX-XXXXX |
Leons Kalns |
|
2. |
40003038354 |
SIA “VARIANT” |
|
3. |
40103000244 |
SIA “ZELTA ZĪLE” |
|
4. |
40103032288 |
SIA “KORE” |
|
5. |
40003102930 |
SIA “DIO KOMPĀNIJA” |
|
6. |
40003282886 |
PU “RĪGAS KINO MĀKSLAS NAMS” |
|
7. |
40003 1 84424 |
SIA “BŪVE AS” |
|
8. |
50003338541 |
SIA “AKD LOGISTIK” |
|
9. |
50102028291 |
IK “FONTO” |
|
10. |
50003166261 |
SIA “ZARS-L” |
|
11. |
40103022379 |
Rīgas pilsētas PU kinoteātris “BOLDERĀJA” |
|
12. |
46101013319 |
Kuldīgas rajona zemnieku saimniecība “VELTA” |
|
13. |
40003532962 |
SIA “RAŽOŠANA ENERĢĒTIKA ZINĀTNE” |
|
14. |
40102014035 |
IK “ALDAS” |
|
15. |
40003412471 |
SIA “VLADS 98” |
|
16. |
40002031946 |
A.Ivahņenko IU “TRIO VALKO” |
|
17. |
40003160163 |
SIA “MASTS-2” |
|
18. |
40003382196 |
SIA “ELSIS LAT” |
|
19. |
40003040931 |
SIA “EBELSHOF-MOTORS” |
|
20. |
40003042010 |
VAS “RĪGAS RADIOIZOTOPU APARATŪRAS BŪVES ZINĀTNISKI PĒTNIECISKAIS INSTITŪTS “RNIIRP”” |
|
21. |
50003578851 |
SIA “DOMINIJA BROKERI” |
|
22. |
40003282975 |
SIA “LILLA” |
|
23. |
40103110883 |
SIA “ERJUSS” |
|
24. |
40003308653 |
SIA “GREK” |
Pārvaldes priekšnieks I.Ziedonis
Paziņojums par prakses vietas maiņu
Rīgas apgabaltiesas iecirkņa nr.79 zvērināta tiesu izpildītāja Inta Podnieka paziņo, ka ar 2009.gada 2.martu tiek mainīta prakses vieta, un tās adrese ir: Rīga, Brīvības iela 105-3, LV-1001.
Sašķidrinātās dabasgāzes pieņemšanas termināla un kombinētā cikla elektrostacijas būvniecība
Vides pārraudzības valsts birojs 2009.gada 4.februārī pieņēma lēmumu nr.59 par ietekmes uz vidi novērtējuma procedūras piemērošanu SIA “Energo SG” (reģ. nr.50003805761) paredzētajai sašķidrinātās dabasgāzes pieņemšanas termināla un kombinētā cikla elektrostacijas būvniecībai, pamatojoties uz likuma “Par ietekmes uz vidi novērtējumu” 4.pantu un šā likuma 1.pielikuma “Objekti, kuru ietekmes novērtējums ir nepieciešams” 2. un 27.punktu.
Projekts paredz izbūvēt sašķidrinātās dabasgāzes pieņemšanas terminālu un kombinētā cikla elektrostaciju Rīgas brīvostas teritorijā. Elektrostacijā kā kurināmo plānots izmantot dabasgāzi un ražot elektrību un siltumu. Ar dabasgāzi no jaunā termināla paredzēts apgādāt arī citus patērētājus.
Informāciju par paredzēto darbību var iegūt un iepazīties ar sagatavotajiem dokumentiem (iesniegumu, lēmumu par ietekmes uz vidi novērtējuma nepieciešamību) iespējams:
– SIA “Energy Consulting”, Vītiņu ielā 14, Mārupē, e-pasts: anli@enconsulting.lv, tālr. 29205774, darba dienās no plkst. 10 līdz 17;
– Vides pārraudzības valsts birojā, Rūpniecības ielā 23, Rīgā, tālr. 67321173, darba dienās no plkst. 10 līdz 16.
Paredzētās darbības ietekmes uz vidi novērtējuma sākotnējās sabiedriskās apspriešanas sanāksme notiks š.g. 12.martā plkst. 17 Ziemeļu rajona izpilddirekcijā, Rūpniecības ielā 21, Rīgā.
Rakstiskus priekšlikumus par paredzēto darbību lūdzam iesniegt Vides pārraudzības valsts birojā (Rūpniecības iela 23, LV-1045 Rīga, tālr. 7321173, www.vidm.gov.lv/ivnvb/) 20 dienu laikā pēc šī paziņojuma publicēšanas.
Par nodokļu parādu dzēšanu
Pamatojoties uz Rēzeknes pilsētas domes 13.02.2009. lēmumu nr.63 “Par SIA “FIKT” nekustamā īpašuma nodokļa parādu dzēšanu”, dzēst SIA “FIKT”, reģ.nr.42403007555, juridiskā adrese: Viļānu iela 15, Rēzekne, Rēzeknes pilsētas domes budžetā ieskaitāmos nekustamā īpašuma nodokļa parādus kopsummā Ls 47,38.
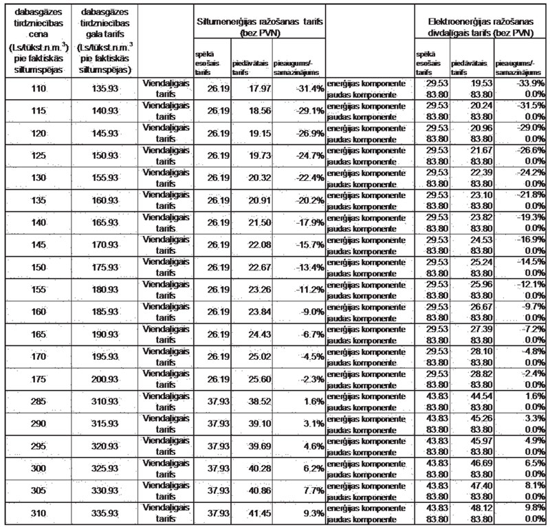
Paziņojums par a/s “RĪGAS SILTUMS” SC “Imanta” koģenerācijas stacijā
saražotās siltumenerģijas un elektroenerģijas tarifu projektu,
kas aprēķināts atbilstoši tālāk tabulā norādītajām dabasgāzes cenām
A/s “RĪGAS SILTUMS” (vienotais reģ. nr.40003286750, juridiskā adrese: Cēsu ielā 3a, Rīgā, LV-1012) 2009.gada 27.februārī iesniedza Sabiedrisko pakalpojumu regulēšanas komisijai SC “Imanta” koģenerācijas stacijas saražotās siltumenerģijas un elektroenerģijas tarifu projektu, kurš ir aprēķināts, pamatojoties uz Sabiedrisko pakalpojumu regulēšanas komisijas padomes 2005.gada 21.decembra lēmumu nr.311 apstiprinātās Koģenerācijas stacijā saražotās siltumenerģijas un koģenerācijas stacijā ar jaudu virs 4 MW saražotās elektroenerģijas tarifu aprēķināšanas metodikas. Tarifu papildinājumi saistīti ar izmaiņām tarifu metodikā un tie ir aprēķināti atbilstoši tabulā norādītajām dabasgāzes cenām.
A/s “RĪGAS SILTUMS” SC “Imanta” siltumenerģijas un elektroenerģijas ražošanas tarifu projekts atkarībā no dabasgāzes tirdzniecības gala tarifiem (bez PVN)
Plānots, ka iesniegtie tarifi varētu stāties spēkā ar 2009.gada 1.maiju.
Iepazīties ar tarifu projektā ietverto publiski pieejamo informāciju, kā arī iesniegt savus priekšlikumus par tarifu projektu var a/s “RĪGAS SILTUMS” Rīgā, Cēsu ielā 3a (e-pasts: siltums@rs.lv, tālr.: 67017359, fakss: 67017363), kā arī Sabiedrisko pakalpojumu regulēšanas komisijai Rīgā, Brīvības ielā 55 (fakss: 67097277, e-pasts: sprk@sprk.gov.lv, rakstveidā vai elektroniski), 20 dienu laikā no šī paziņojuma publicēšanas dienas laikrakstā.
Paziņojums par nodokļu parādu dzēšanu
Pamatojoties uz likuma “Par nodokļiem un nodevām” 25.panta ceturto daļu, Valsts ieņēmumu dienests informē par valsts budžetā ieskaitāmo nodokļu parādu dzēšanu.
2008.gada decembrī dzēsti nodokļu parādi šādiem nodokļu maksātājiem:
|
Nr. p.k. |
Nosaukums |
Reģ. nr. |
Rīkojums datums |
Rīkojums nr. |
|
1 |
SIA Rietumi |
40003181625 |
02.12.2008. |
01-29/68 |
|
2 |
SIA “Rafters” |
40003647827 |
02.12.2008. |
01-29/69 |
|
3 |
SIA “Gaujas Serviss” |
40003545628 |
03.12.2008. |
01-29/70 |
|
4 |
SIA Baltijas Tehnoloģijas |
43602007352 |
02.12.2008. |
01-29/67 |
|
5 |
SIA Beaver Timber |
43603024805 |
03.12.2008. |
01-29/71 |
|
6 |
SIA “Eirogrupa 2000” |
45403008632 |
04.12.2008. |
01-29/72 |
|
7 |
SIA “Fonds Blago Vest” |
50003573411 |
05.12.2008. |
01-29/73 |
|
8 |
SIA “Gusto-R” |
49203003291 |
09.12.2008. |
01-29/74 |
|
9 |
SIA Action |
40003622575 |
10.12.2008. |
01-29/76 |
|
10 |
SIA “Jaceks un kompānija” |
43603002210 |
10.12.2008. |
01-29/75 |
|
11 |
SIA “BAS” |
43603002047 |
10.12.2008. |
01-29/78 |
|
12 |
SIA “Starkals” |
43603019039 |
10.12.2008. |
01-29/77 |
|
13 |
SIA “Rēgia” |
43603013430 |
10.12.2008. |
01-29/79 |
|
14 |
SIA Kriltis |
45403009943 |
12.12.2008. |
01-29/80 |
|
15 |
SIA Biroja tehnikas centrs fakss |
43603016780 |
12.12.2008. |
01-29/81 |
|
16 |
SIA “Salio” |
40003671848 |
17.12.2008. |
01-29/82 |
|
17 |
SIA “D.D.Ordeks” |
40103146414 |
18.12.2008. |
01-29/82a |
2009.gada janvārī dzēsti nodokļu parādi šādiem nodokļu maksātājiem:
|
Nr. p.k. |
Nosaukums |
Reģ. nr. |
Rīkojums datums |
Rīkojums nr. |
|
1 |
SIA “Bau pol” |
50003416371 |
09.01.2009. |
01-29/1 |
|
2 |
SIA “Līga&Co” |
43603000578 |
09.01.2009. |
01-29/2 |
|
3 |
SIA “Janavs” |
48503009877 |
09.01.2009. |
01-29/3 |
|
4 |
SIA “Vēriens” |
43603005880 |
12.01.2009. |
01-29/4 |
|
5 |
SIA “Riekstiņš un partneri” |
48503007490 |
15.01.2009. |
01-29/5 |
|
6 |
SIA “Rufo” |
40003486733 |
16.01.2009. |
01-29/6 |
|
7 |
SIA “Klifs AV” |
40003474062 |
21.01.2009. |
01-29/7 |
Paziņojums
2009.gada 5.marta Baltijas iluzionistu festivāla autori un scenāristi ir Jeļena un Genādijs Paļčevskis.
© Jeļena & Genādijs Paļčevskis, 2009.
Paziņojums
2009.gada 7.aprīļa Labāko iluzionistu koncerta autori un scenāristi ir Jeļena un Genādijs Paļčevskis.
© Jeļena & Genādijs Paļčevskis, 2009.
Paziņojums
Paziņojam, ka šādiem SIA “Nidus Jumti” darbiniekiem:
|
AGNIM BUŠAM |
pers.kods 2808XX-XXXXX, |
|
ROLANDAM MŪRNIEKAM |
pers.kods 3108XX-XXXXX, |
|
SANDIJAM PĒCIM |
pers.kods 0101XX-XXXXX, |
|
ALEKSANDRAM VIŠŅAKOVAM |
pers.kods 2307XX-XXXXX, |
|
JURIJAM VIŠŅAKOVAM |
pers.kods 1601XX-XXXXX |
tiek dots laiks ierasties SIA “Nidus Jumti” birojā un iesniegt darba kavējumu attaisnojošus dokumentus. Neierašanās gadījumā ar viņiem tiks pārtrauktas darba attiecības 2009.gada 12.martā, pamatojoties uz LR Darba likuma 114.pantu.
Paziņojums par likvidācijas ieņēmumu sadali fonda ieguldītājiem
IPAS “Invalda Asset Management Latvia” (turpmāk tekstā - Sabiedrība) valde paziņo par Likvidējamā atvērtā ieguldījumu fonda “Internacionālo akciju fondu fonds” (turpmāk tekstā - Fonds) likvidācijas ieņēmumu sadali Fonda ieguldītājiem.
Par vienu Fonda ieguldījumu apliecību izmaksājamā summa EUR valūtā ir 83,04.
Sabiedrība veiks maksājumus Fonda ieguldītājiem, izmantojot a/s “Latvijas Centrālais depozitārijs” starpniecību, un saskaņā ar LCD noteikumiem nr. 8 “Par dividenžu, procentu, pamatsummas un citu ienākumu izmaksu” septītajā darba dienā pēc sludinājuma publicēšanas laikrakstā “Latvijas Vēstnesis”.
Paziņojums
Tiek pārdota autotransporta firma SIA “Eiro Auto”, reģ. nr. LV 52403012651, ar TIR cornet, 5 sakabes SCANIA + Shmidt, 2007. gads.