
Latvijas Bankas noteikumi Nr.26
Rīgā 2009.gada 15.janvārī
Banku obligāto rezervju prasību aprēķināšanas un izpildes noteikumi
Izdoti saskaņā ar likuma “Par Latvijas Banku” 38.panta pirmo un ceturto daļu
I. VISPĀRĪGIE JAUTĀJUMI
1. “Banku obligāto rezervju prasību aprēķināšanas un izpildes noteikumi” (tālāk tekstā – noteikumi) nosaka Latvijas Republikā reģistrēto banku un Latvijas Republikā reģistrēto dalībvalstu un ārvalstu banku filiāļu (tālāk tekstā – banka) obligāto rezervju prasību aprēķināšanas un izpildes kārtību.
II. NOTEIKUMOS LIETOTIE TERMINI
2. Rezervju konts – bankas naudas konts Latvijas Bankā norēķiniem latos.
3. Rezervju konta dienas beigu atlikums – rezervju konta atlikums Latvijas Bankas norēķinu dienas beigās.
4. Rezervju bāze – obligāto rezervju prasībām pakļautās bankas saistības.
5. Obligāto rezervju prasības (tālāk tekstā – rezervju prasības) – prasības bankai rezervju kontā turēt rezervju normai atbilstošas rezerves.
6. Rezervju norma – procentos izteikta rezervju bāzes daļa.
7. Izpildes periods – periods, par kuru tiek aprēķināta rezervju prasību izpilde un kurš sākas mēneša 24. datumā un beidzas nākamā mēneša 23. datumā.
8. Apvienošanās – darbība, kurā viena vai vairākas bankas (apvienojušās bankas) bez to likvidācijas nodod visas savas prasības un saistības citai bankai (iegūstošajai bankai), kas var būt arī jaundibināmā banka.
9. Dalīšanās – darbība, kurā viena banka (dalāmā banka) bez tās likvidācijas nodod visas savas prasības un saistības vai daļu no tām vienai vai vairākām bankām (pārņēmējām bankām), kas var būt arī jaundibināmās bankas.
10. Saraksts – “Banku obligāto rezervju prasību izpildei pakļauto banku saraksts”.
11. Terminu “dalībvalsts”, “ārvalsts”, “sanācija” un “likvidācija” lietojums atbilst šo terminu lietojumam Kredītiestāžu likumā.
12. Terminu “MFI” un “ne-MFI” lietojums atbilst šo terminu lietojumam Latvijas Bankas “Monetāro finanšu iestāžu mēneša bilances pārskata un pielikumu sagatavošanas noteikumos”.
13. Latvijas Bankas noteiktā aizdevumu iespējas uz nakti procentu likme – zemākā Latvijas Bankas noteiktā aizdevumu iespējas uz nakti procentu likme.
III. REZERVJU BĀZE
14. Rezervju bāze ietver šādas saistības saskaņā ar Latvijas Bankas “Monetāro finanšu iestāžu mēneša bilances pārskata un pielikumu sagatavošanas noteikumiem”:
14.1. ne-MFI noguldījumi;
14.2. bankas emitētie parāda vērtspapīri;
14.3. saistības pret MFI, izņemot saistības pret Latvijas Banku un sarakstā iekļautajām bankām.
15. Ja banka spēj Latvijas Bankai sniegt pierādījumus par tās saistībām emitēto parāda vērtspapīru veidā pret banku, kas iekļauta sarakstā, banka šīs saistības var izslēgt no rezervju bāzes.
16. Bankas pierādījums par tās saistībām emitēto parāda vērtspapīru veidā pret banku, kas iekļauta sarakstā, ir depozitārās institūcijas konta izraksta kopija ar parāda vērtspapīru īpašnieku norādi konkrētā datumā. Bankai pēc Latvijas Bankas pieprasījuma ir pienākums sniegt papildu ziņas par vērtspapīru patieso īpašnieku.
17. Rezervju bāzi attiecīgajam izpildes periodam banka aprēķina, izmantojot rezervju bāzē ietverto saistību atlikumus tā mēneša pēdējā datumā, kam seko mēnesis, kurā sākas izpildes periods.
IV. REZERVJU PRASĪBU APRĒĶINĀŠANA
18. Rezervju bāzei piemērojama Latvijas Bankas noteiktā rezervju norma.
19. Latvijas Banka var noteikt atšķirīgu rezervju normu katrai no šādām pasīvā esošo piesaistīto līdzekļu kategorijām:
19.1. noguldījumi ar noteikto termiņu ilgāku par 2 gadiem;
19.2. noguldījumi ar brīdinājuma termiņu par izņemšanu ilgāku par 2 gadiem;
19.3. bankas emitētie neatsaucamie (bez tiesībām atpirkt pirms dzēšanas termiņa) parāda vērtspapīri ar sākotnējo dzēšanas termiņu ilgāku par 2 gadiem;
19.4. repo darījumi;
19.5. visas pārējās saistības, kas ietvertas rezervju bāzē.
20. Rezervju prasības aprēķina rezervju normas apmērā no 17.punktā noteiktajā kārtībā aprēķinātās rezervju bāzes.
V. REZERVJU PRASĪBU IZPILDE
21. Rezervju prasību izpildi veido izpildes perioda vidējais rezervju konta dienas beigu atlikums.
22. Banka ir izpildījusi rezervju prasības, ja attiecīgā izpildes perioda vidējais rezervju konta dienas beigu atlikums nav mazāks par rezervju prasību summu, kas izpildes periodam aprēķināta saskaņā ar 20.punkta nosacījumiem.
VI. “OBLIGĀTO REZERVJU PRASĪBU APRĒĶINA” SAGATAVOŠANAS un IESNIEGŠANAS KĀRTĪBA
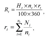
23. “Obligāto rezervju prasību aprēķinu” (1.pielikums) banka sagatavo divos eksemplāros, t.sk. viens glabājas bankā, bet otru elektroniskā veidā iesniedz Latvijas Bankas Statistikas pārvaldei.
24. “Obligāto rezervju prasību aprēķinu” banka iesniedz septiņu darbadienu laikā pēc tā mēneša pēdējā datuma, kam seko mēnesis, kurā sākas izpildes periods.
25. Par “Obligāto rezervju prasību aprēķina” pareizību atbild bankas vadītājs.
26. “Obligāto rezervju prasību aprēķinā” summas norāda veselos latos.
27. Ja Latvijas Bankas Statistikas pārvalde konstatē, ka bankas iesniegtais “Obligāto rezervju prasību aprēķins” sagatavots kļūdaini, tas pa tālruni tiek paziņots attiecīgā pārskata izpildītājam. Pēc kļūdu novēršanas elektroniskā veidā sagatavoto “Obligāto rezervju prasību aprēķinu” banka iesniedz atkārtoti ne vēlāk kā nākamajā darbadienā pēc paziņojuma par kļūdu esamību saņemšanas no Latvijas Bankas.
28. Latvijas Bankas Monetārās politikas pārvaldes Finanšu tirgus analīzes daļa konsultē bankas par “Obligāto rezervju prasību aprēķina” sagatavošanu.
29. Elektroniskā veidā “Obligāto rezervju prasību aprēķinu” sagatavo un nosūta atbilstoši “Kredītiestāžu statistisko pārskatu sagatavošanas elektroniskā veidā rokasgrāmatai” un saskaņā ar Latvijas Bankas “Elektroniskā veidā iesniedzamo kredītiestāžu statistisko pārskatu sagatavošanas noteikumiem”.
VII. REZERVJU PRASĪBAS BANKU APVIENOŠANĀS UN DALĪŠANĀS GADĪJUMĀ
30. Izpildes periodā, kurā notiek banku apvienošanās, apvienojušos banku rezervju prasības pārņem iegūstošā banka. Iegūstošās bankas rezervju prasības aprēķina, pamatojoties uz apvienojušos banku un iegūstošās bankas rezervju bāzu kopsummu. Iegūstošās bankas rezervju prasību izpildē summē visu apvienojušos banku rezervju prasību izpildi.
31. Izpildes periodā, kurā notiek bankas dalīšanās, rezervju prasību izpildi uzņemas attiecīgās pārņēmējbankas. Katra pārņēmējbanka pārņem rezervju prasību daļu atbilstoši proporcijai, kādā tiek sadalīta dalāmās bankas rezervju bāze. Atbilstoši tādai pašai proporcijai starp pārņēmējbankām sadala dalāmās bankas rezervju prasību izpildi tai izpildes perioda daļai, kurā sadalīšana vēl nav veikta.
VIII. SARAKSTS
32. Sarakstā iekļautas bankas, kuras saskaņā ar 1.punkta nosacījumiem pakļautas obligāto rezervju prasību izpildei, kā arī bankas, kuras atbilst 36.punkta nosacījumiem.
33. Sarakstu apstiprina Latvijas Bankas Monetārās politikas pārvaldes vadītājs.
34. Sarakstu publicē Latvijas Bankas interneta lapā (www.bank.lv).
35. Par bankas iekļaušanu sarakstā vai svītrošanu no tā Latvijas Banka rakstiski informē visas sarakstā iekļautās bankas.
IX. NO REZERVJU PRASĪBU IZPILDES ATBRĪVOTĀS BANKAS
36. Latvijas Banka atbrīvo banku no rezervju prasību izpildes, bet nesvītro to no saraksta, ja Latvijas Banka atbilstoši Finanšu un kapitāla tirgus komisijas lūgumam, kas izteikts saskaņā ar Kredītiestāžu likumu, apturējusi bankas norēķinus, kuros tiek izmantoti korespondentkonti Latvijas Bankā.
37. Latvijas Banka atbrīvo banku no rezervju prasību izpildes un svītro to no saraksta, ja tā atzīta par maksātnespējīgu vai likvidējamu.
X. LATVIJAS BANKAS PĀRBAUDES BANKĀS
38. Latvijas Bankas pilnvarotajai personai ir tiesības pārbaudīt bankas iesniegtā “Obligāto rezervju prasību aprēķina” atbilstību bankas grāmatvedības datiem.
39. Ja pārbaudes laikā konstatētas kļūdas, Latvijas Bankai ir tiesības pieprasīt, lai banka tās novērstu, nepieciešamības gadījumā veicot jaunu obligāto rezervju prasību aprēķinu.
XI. ATLĪDZĪBA
40. Par rezervju turēšanu rezervju kontā Latvijas Banka aprēķina atlīdzību saskaņā ar šādām formulām:
kur:
Rt – atlīdzība par rezervju turēšanu rezervju kontā t izpildes periodā;
Ht– rezervju prasību izpildi veidojošais vidējais rezervju konta atlikums t izpildes periodā;
nt – dienu skaits t izpildes periodā;
rt – rezervju prasību atlīdzības likme t izpildes periodā, noapaļota līdz procenta simtdaļām;
i – t izpildes perioda i diena;
Ni – i dienā spēkā esošā Latvijas Bankas noteiktā noguldījumu iespējas uz nakti procentu likme.
41. Latvijas Banka nemaksā atlīdzību par rezervju konta vidējā atlikuma pārsniegumu virs aprēķinātā rezervju prasību apjoma.
42. Otrajā darbadienā pēc izpildes perioda beigām Latvijas Banka ieskaita atlīdzību bankas rezervju kontā.
XII. ATBILDĪBA PAR REZERVJU PRASĪBU NEIZPILDI
43. Par bankām, kas nav izpildījušas rezervju prasības, piecu darbadienu laikā pēc rezervju prasību izpildes perioda beigām Latvijas Bankas Monetārās politikas pārvalde rakstiski informē Finanšu un kapitāla tirgus komisiju.
44. Latvijas Banka salīdzina bankas rezervju konta dienas beigu vidējo atlikumu ar rezervju prasību summu. Latvijas Banka informē banku par aprēķināto maksu par rezervju prasību neizpildi, nosūtot SWIFT paziņojumu. Ja bankai nosūtīt SWIFT paziņojumu nav iespējams, banku informē rakstiski. Banka veic aprēķinātās maksas par rezervju prasību neizpildi pārvedumu uz Latvijas Bankas naudas kontu nākamajā darbadienā pēc paziņojuma par rezervju prasību neizpildi saņemšanas no Latvijas Bankas.
45. Procentu likmi par rezervju prasību neizpildi nosaka izpildes periodam, kurā neizpilde pieļauta, attiecīgi par 2.5 procentu punktiem palielinot Latvijas Bankas noteikto aizdevumu iespējas uz nakti procentu likmi.
46. Maksu par rezervju prasību neizpildi aprēķina saskaņā ar šādu formulu:
kur:
Pt – maksa par rezervju prasību neizpildi t izpildes periodā;
Dt – rezervju prasību neizpildes apjoms t izpildes periodā;
nt – dienu skaits t izpildes periodā;
i – t izpildes perioda i diena;
Li – i dienā spēkā esošā Latvijas Bankas noteiktā aizdevumu iespējas uz nakti procentu likme.
47. Rezervju prasību neizpilde vairāk nekā divas reizes jebkurā 12 mēnešu periodā uzskatāma par rezervju prasību neizpildes atkārtošanos.
48. Katrā rezervju prasību neizpildes atkārtošanās gadījumā procentu likmi par rezervju prasību neizpildi aprēķina, par 5.0 procentu punktiem palielinot Latvijas Bankas noteikto aizdevumu iespējas uz nakti procentu likmi un attiecinot to uz rezervju prasību neizpildes apjomu, t.i., maksu par rezervju prasību neizpildi rezervju prasību neizpildes atkārtošanās gadījumā aprēķina saskaņā ar 46.punktā minēto formulu, skaitli 2.5 tajā aizstājot ar skaitli 5.0.
XIII. NOSLĒGUMA JAUTĀJUMI
49. Atzīt par spēku zaudējušu Latvijas Bankas padomes 2004.gada 11.marta lēmumu Nr.110/3 “Par banku obligāto rezervju prasībām” (Latvijas Vēstnesis, 2004, Nr.45).
50. Noteikumi stājas spēkā 2009.gada 24.janvārī.
Latvijas Bankas prezidents I.Rimšēvičs
1.pielikums
Latvijas Bankas 2009.gada 15.janvāra noteikumiem Nr.26
Latvijas Bankas prezidents I.Rimšēvičs