
Ministru kabineta noteikumi Nr.1049
Rīgā 2008.gada 16.decembrī (prot. Nr.93 64.§)
Grozījums Ministru kabineta 2006.gada 18.aprīļa noteikumos Nr.305 “Kadastrālās vērtēšanas noteikumi”
Izdoti saskaņā ar Nekustamā īpašuma valsts kadastra likuma 66.panta trešo daļu
Izdarīt Ministru kabineta 2006.gada 18.aprīļa noteikumos Nr.305 “Kadastrālās vērtēšanas noteikumi” (Latvijas Vēstnesis, 2006, 72., 206.nr.; 2007, 158.nr.) grozījumu un papildināt noteikumus ar 15.1, 15.2, 15.3 un 15.4 punktu šādā redakcijā:
“15.1 Ja kārtējā gada 31.decembrī nekustamā īpašuma tirgus informācija par pēdējā gada periodu uzrāda cenu krituma tendenci valstī, tad šo noteikumu 19.1., 26.1., 26.2. un 41.1.apakšpunktā noteiktās bāzes vērtības nosaka visām šo noteikumu 15.punktā minētajām nekustamā īpašuma grupām.
15.2 Nosakot bāzes vērtības šo noteikumu 15.1 punktā minētajā gadījumā, pieņem, ka nekustamā īpašuma tirgus cenu krituma tendence saglabāsies arī nākamajā gadā. Nosakot bāzes vērtības, izvērtē cenu izmaiņu prognozi uz nākamā gada 1.janvāri pa vērtību zonām attiecīgajai nekustamā īpašuma grupai.
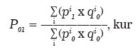
15.3 Nekustamā īpašuma tirgus cenu izmaiņu tendences noteikšanai valstī nosaka 12 cenu izmaiņu indeksus (turpmāk – cenu indekss), izmantojot šādu formulu:
P01 – cenu indekss;
pi1 – vidējā darījuma summa latos pārskata periodā i-tajā darījumu objektu grupā;
pi0 – vidējā darījuma summa latos bāzes periodā i-tajā darījumu objektu grupā;
qi0 – darījumu skaits bāzes periodā i-tajā darījumu objektu grupā;
i – darījumu objektu grupa, kur ir darījumi gan bāzes, gan pārskata periodā.
15.4 Cenu indeksu noteikšanai:
15.41. pārskata periods ir seši mēneši, un tā beigu datums ir kārtējā gada katra mēneša pirmais datums (ieskaitot);
15.42. bāzes periods visiem cenu indeksiem ir nemainīgs – iepriekšējā gada pirmais pusgads (seši mēneši);
15.43. nekustamā īpašuma tirgus datubāzē reģistrētos darījumus dala darījumu objektu grupās, ņemot vērā darījuma objekta sastāvu un objektu raksturojošos lielumus:
15.43.1. darījumi ar zemi, kur zemes platība ir mazāka vai vienāda ar 3000 m2;
15.43.2. darījumi ar zemi, kur zemes platība ir lielāka par 3000 m2 un mazāka vai vienāda ar 30000 m2;
15.43.3. darījumi ar zemi, kur zemes platība ir lielāka par 30000 m2 un mazāka vai vienāda ar 100000 m2;
15.43.4. darījumi ar zemes un būvju īpašumiem, kur zemes platība ir mazāka vai vienāda ar 3000 m2 un kopējā visu būvju platība ir mazāka vai vienāda ar 500 m2;
15.43.5. darījumi ar zemes un būvju īpašumiem, kur zemes platība ir mazāka vai vienāda ar 3000 m2 un kopējā visu būvju platība ir lielāka par 500 m2 un mazāka vai vienāda ar 10000 m2;
15.43.6. darījumi ar zemes un būvju īpašumiem, kur zemes platība ir lielāka par 3000 m2 un mazāka vai vienāda ar 30000 m2 un kopējā visu būvju platība ir mazāka vai vienāda ar 500 m2;
15.43.7. darījumi ar zemes un būvju īpašumiem, kur zemes platība ir lielāka par 3000 m2 un mazāka vai vienāda ar 30000 m2 un kopējā visu būvju platība ir lielāka par 500 m2 un mazāka vai vienāda ar 10000 m2;
15.43.8. darījumi ar zemes un būvju īpašumiem, kur zemes platība ir lielāka par 30000 m2 un mazāka vai vienāda ar 100000 m2 un kopējā visu būvju platība ir mazāka vai vienāda ar 500 m2;
15.43.9. darījumi ar zemes un būvju īpašumiem, kur zemes platība ir lielāka par 30000 m2 un mazāka vai vienāda ar 100000 m2 un kopējā visu būvju platība ir lielāka par 500 m2 un mazāka vai vienāda ar 10000 m2;
15.43.10. darījumi ar dzīvokļu īpašumiem un citām telpām.”
Ministru prezidents I.Godmanis
Tieslietu ministrs G.Bērziņš
Redakcijas piebilde: noteikumi stājas spēkā ar 2008.gada 30.decembri.