
Centrālā statistikas pārvalde
Informācija
1999. gada 9. augustāPar patēriņa cenu samazināšanos jūlijā
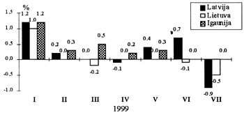
Vidējais patēriņa cenu līmenis 1999. gada jūlijā, salīdzinot ar jūniju, samazinājās par 0,9%. Precēm cenas samazinājās par 1,2%, bet pakalpojumiem tās nemainījās.
Salīdzinājumā ar iepriekšējā gada jūliju, patēriņa cenas pieauga par 1,8%, tai skaitā precēm — par 0,9%, pakalpojumiem — par 4,5%.
Lielākā ietekme uz patēriņa cenu indeksu jūlijā bija dārzeņu, kartupeļu un augļu sezonas cenu pazeminājumam vidēji par 17,2%.
Visvairāk pazeminājās svaigo kāpostu cenas — par 54,8%, gurķu — par 51,3%, jauno kartupeļu — par 38,6%, burkānu — par 26,4%, saldo piparu — par 22,5%, tomātu — par 20,4%, banānu — par 10,2%.
Bez tam cenu indeksa līmeni jūlijā ietekmēja arī citu uztura produktu cenu kritums: gāzēto bezalkoholisko dzērienu — par 5%, sviesta — par 3,3%, krējuma — par 2,4%, cūkgaļas un maltās kafijas — par 2,2%, eļļas — par 1,4%, biezpiena — par 1,1%.
Savukārt cenas paaugstinājās degvielai par 3,2%, importa cigaretēm — par 3,1%, olām — par 2%, šampanietim — par 1,3%, margarīnam — par 1%.
Igaunijā 1999. gada jūlijā, salīdzinot ar jūniju, patēriņa cenu indekss nemainījās. To ietekmēja sezonas cenu kritums uztura produktiem un cenu kāpums degvielai.
Salīdzinot ar 1998. gada jūliju, patēriņa cenas Igaunijā pieauga par 2,6%.
Lietuvā patēriņa cenas jūlijā, salīdzinot ar jūniju, samazinājās par 0,5%. Lielākā ietekme uz patēriņa cenu indeksu bija sezonas uztura produktu cenu kritumam.
Salīdzinot ar iepriekšējā gada jūliju, patēriņa cenas Lietuvā pazeminājās par 0,2%.
Patēriņa cenu pārmaiņas 1999.gada atsevišķos mēnešos
Latvijā, Lietuvā un Igaunijā
Cenu statistikas departaments