
Rīgā 2008.gada 15.septembrī (prot. Nr.65 7.§)
3.1. pilsētām, kā arī novadiem, kuros ietilpst pilsētas (2.pielikums);
3.2. pagastiem, kā arī novadiem, kuros ietilpst tikai pagasti (3.pielikums);
3.3. rajoniem (4.pielikums);
3.4. plānošanas reģioniem (5.pielikums).
5.1. mēneša laikā atbilstoši šo noteikumu 2., 3. un 4.pielikumā noteiktajam kalendāra gadam, un reģionālās attīstības un pašvaldību lietu ministrs iesniedz Ministru kabinetā noteikumu projektu par grozījumiem šo noteikumu 2., 3. un, ja nepieciešams, 4.pielikumā - ja novads izveidots kārtējā gadā no 1.aprīļa līdz 1.oktobrim;
5.2. atbilstoši šo noteikumu 4.punktā noteiktajai kārtībai - ja novads izveidots citā laikā.
6.1. izmanto rādītājus, kas raksturo teritorijas sociāli ekonomisko attīstību:
6.1.1. pagastu grupā izmanto sešus rādītājus;
6.1.2. pilsētu grupā izmanto četrus rādītājus;
6.1.3. rajoniem un plānošanas reģioniem izmanto astoņus rādītājus;
6.2. katra rādītāja nozīmību novērtē ar speciālu nozīmības svaru (1.pielikums). Rādītāju nozīmības svaru summa katrā teritoriju grupā ir 1;
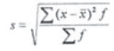
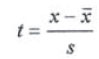
6.3. lai teritorijas attīstību raksturojošos rādītājus, kas izteikti dažādās vienībās (piemēram, cilvēki, lati, procenti), apvienotu un izveidotu teritorijas attīstības indeksu, veic rādītāju statistisku standartizāciju, izmantojot šādu formulu:
|
|
, kur |
t – attīstības pamatrādītāja standartizētā vērtība konkrētā teritorijā;
x – standartizējamais attīstības pamatrādītājs konkrētā teritorijā, izteikts savā specifiskajā mērvienībā;
– attiecīgā attīstības pamatrādītāja
svērtais aritmētiskais vidējais teritoriju grupā (pagasti, kā
arī novadi, kuros ietilpst tikai pagasti, pilsētas, kā arī
novadi, kuros ietilpst pilsētas, rajoni, plānošanas
reģioni);
s – standartnovirze, variācijas rādītājs, kuru aprēķina, izmantojot šādu formulu:
|
|
, kur |
ƒ – statistiskais svars, parasti iedzīvotāju skaits teritorijā;
6.4. lai katram rādītājam piešķirtu tā specifisko nozīmību, katru standartizēto rādītāju reizina ar nozīmības svaru, tādējādi aprēķinot teritorijas attīstības indeksa komponentus, kuru summa veido teritorijas attīstības indeksu;
6.5. teritorijas attīstības indeksa vērtību šo noteikumu 3.punktā noteiktajām teritorijām aprēķina Latvijas mērogā.
7.1. reģionālās attīstības valsts atbalsta programmu izstrādē;
7.2. atbalsta diferencēšanai Eiropas Savienības fondu līdzfinansēto pasākumu ietvaros;
7.3. lai novērtētu Eiropas Savienības, valsts atbalsta un citu finanšu instrumentu ietekmi uz teritoriju attīstību un ekonomisko efektivitāti;
7.4. vietējo pašvaldību, rajonu pašvaldību un plānošanas reģionu teritoriju attīstības salīdzināšanā, vērtēšanā, prognozēšanā un cita veida teritoriju attīstības analīzē.
Reģionālās attīstības un pašvaldību lietu ministrs E.Zalāns
Ministru kabineta
2008.gada 15.septembra noteikumiem Nr.730
|
Nr. |
Rādītājs2 |
Rajoni vai plānošanas reģioni |
Pagasti |
Pilsētas |
|||
|
+ vai - |
svars |
+ vai - |
svars |
+ vai - |
svars |
||
|
1. |
Iekšzemes kopprodukts uz vienu iedzīvotāju, latos (faktiskajās cenās)3 |
+ |
0,3 |
- |
- |
- |
- |
|
2. |
Bezdarba līmenis, % (reģistrēto bezdarbnieku skaits pret darbspējas vecuma iedzīvotāju skaitu)4 |
+ |
0,15 |
+ |
0,25 |
+ |
0,3 |
|
3. |
Iedzīvotāju ienākuma nodokļa apmērs uz vienu iedzīvotāju, latos |
+ |
0,1 |
+ |
0,25 |
+ |
0,3 |
|
4. |
Nefinanšu investīcijas uz vienu iedzīvotāju, latos (ietverti nemateriālie ieguldījumi, dzīvojamās ēkas, citas būves un celtnes, ilggadīgie stādījumi, tehnoloģiskās mašīnas un iekārtas, pārējie pamatlīdzekļi un inventārs, kā arī pamatlīdzekļu izveidošana un nepabeigto būvprojektu un kapitāla remonta izmaksas) |
+ |
0,1 |
- |
- |
- |
- |
|
5. |
Demogrāfiskās slodzes līmenis (bērnu un pensijas vecuma iedzīvotāju skaits pret darbspējas vecuma iedzīvotāju skaitu, reizināts ar 1000) |
+ |
0,1 |
+ |
0,15 |
+ |
0,2 |
|
6. |
Individuālo komersantu un komercsabiedrību skaits uz 1000 iedzīvotājiem |
+ |
0,1 |
- |
- |
- |
- |
|
7. |
Pastāvīgo iedzīvotāju blīvums (cilvēku skaits uz vienu kvadrātkilometru) |
+ |
0,05 |
+ |
0,1 |
- |
- |
|
8. |
Zemes vidējā kadastrālā vērtība (Ls/ha) |
- |
- |
+ |
0,1 |
- |
- |
|
9. |
Pastāvīgo iedzīvotāju skaita izmaiņas pēdējo piecu gadu laikā, % (starpība starp pastāvīgo iedzīvotāju skaitu perioda beigās un perioda sākumā pret iedzīvotāju skaitu perioda sākumā, reizināta ar 100) |
+ |
0,1 |
+ |
0,15 |
+ |
0,2 |
|
Svaru summa |
1,0 |
1,0 |
1,0 |
||||
Paskaidrojumi.
1. Plusa (+) zīme norāda, ka attiecīgo rādītāju izmanto.
2. Mīnusa (-) zīme norāda, ka attiecīgo rādītāju neizmanto.
Piezīmes.
1 Nozīmības svars - rādītāju svarīgums jeb nozīme kopējā teritorijas attīstības indeksa vērtībā.
2 1., 4., 5., 6. un 9.rādītāja avots - Centrālā statistikas pārvalde; 2.rādītāja avots - Nodarbinātības valsts aģentūra (reģistrēto bezdarbnieku skaits) un Centrālā statistikas pārvalde (darbspējas vecuma iedzīvotāju skaits); 3.rādītāja avots - Valsts kase; 7.rādītāja avots - Valsts zemes dienests (platība, km2) un Centrālā statistikas pārvalde (pastāvīgo iedzīvotāju skaits); 8.rādītāja avots - Valsts zemes dienests.
3 Ministru kabineta 2008.gada 15.septembra noteikumu Nr.730 “Teritorijas attīstības indeksa aprēķināšanas un piemērošanas kārtība” 4.punktā minētajos gadījumos reģionu un rajonu teritoriju attīstības indeksa t aprēķināšanai gadam tiek izmantots IKP par gadu t-1.
4 Darbspējas vecuma iedzīvotāji - sievietes 15-61 gads, vīrieši 15-62 gadi.
Ministru kabineta
2008.gada 15.septembra noteikumiem Nr.730
|
Nr. |
Administratīvo teritoriju un teritoriālo vienību klasifikatora kods |
Rajons |
Pilsēta, novads |
Teritorijas attīstības indekss |
|
1. |
800700 |
Rīgas |
Baloži |
2,596 |
|
2. |
740600 |
Ogres |
Ikšķiles novads |
1,885 |
|
3. |
801200 |
Rīgas |
Salaspils novads |
0,840 |
|
4. |
800600 |
Rīgas |
Baldone ar lauku teritoriju |
0,642 |
|
5. |
741000 |
Ogres |
Ķeguma novads |
0,523 |
|
6. |
740200 |
Ogres |
Ogres novads |
0,513 |
|
7. |
010000 |
Rīga |
0,434 |
|
|
8. |
800900 |
Rīgas |
Olaine |
0,413 |
|
9. |
801600 |
Rīgas |
Siguldas novads |
0,391 |
|
10. |
960100 |
Valmieras |
Valmiera |
0,367 |
|
11. |
130000 |
Jūrmala |
0,357 |
|
|
12. |
801400 |
Rīgas |
Saulkrasti ar lauku teritoriju |
0,349 |
|
13. |
741400 |
Ogres |
Lielvārdes novads |
0,342 |
|
14. |
320200 |
Aizkraukles |
Aizkraukles novads |
0,328 |
|
15. |
801700 |
Rīgas |
Vangaži |
0,286 |
|
16. |
090000 |
Jelgava |
0,261 |
|
|
17. |
270000 |
Ventspils |
0,226 |
|
|
18. |
900100 |
Tukuma |
Tukums |
-0,030 |
|
19. |
420100 |
Cēsu |
Cēsis |
-0,181 |
|
20. |
460100 |
Dobeles |
Dobele |
-0,205 |
|
21. |
400100 |
Bauskas |
Bauska |
-0,356 |
|
22. |
840100 |
Saldus |
Saldus |
-0,358 |
|
23. |
880100 |
Talsu |
Talsi |
-0,379 |
|
24. |
050000 |
Daugavpils |
-0,402 |
|
|
25. |
981400 |
Ventspils |
Piltene ar lauku teritoriju |
-0,403 |
|
26. |
660100 |
Limbažu |
Limbaži |
-0,425 |
|
27. |
640900 |
Liepājas |
Grobiņa |
-0,476 |
|
28. |
700100 |
Madonas |
Madona |
-0,495 |
|
29. |
541200 |
Jelgavas |
Kalnciems ar lauku teritoriju |
-0,525 |
|
30. |
320800 |
Aizkraukles |
Jaunjelgava ar lauku teritoriju |
-0,533 |
|
31. |
500100 |
Gulbenes |
Gulbene |
-0,579 |
|
32. |
560100 |
Jēkabpils |
Jēkabpils |
-0,580 |
|
33. |
170000 |
Liepāja |
-0,583 |
|
|
34. |
941500 |
Valkas |
Smiltene |
-0,611 |
|
35. |
380100 |
Balvu |
Balvi |
-0,652 |
|
36. |
360100 |
Alūksnes |
Alūksne |
-0,716 |
|
37. |
210000 |
Rēzekne |
-0,753 |
|
|
38. |
840601 |
Saldus |
Brocēnu novads |
-0,804 |
|
39. |
620100 |
Kuldīgas |
Kuldīga |
-0,907 |
|
40. |
940100 |
Valkas |
Valka |
-0,914 |
|
41. |
961500 |
Valmieras |
Rūjiena |
-0,929 |
|
42. |
661600 |
Limbažu |
Salacgrīva ar lauku teritoriju |
-0,943 |
|
43. |
760200 |
Preiļu |
Preiļu novads |
-0,947 |
|
44. |
901200 |
Tukuma |
Kandavas novads |
-0,948 |
|
45. |
881500 |
Talsu |
Stende |
-0,983 |
|
46. |
660800 |
Limbažu |
Aloja ar lauku teritoriju |
-1,087 |
|
47. |
460600 |
Dobeles |
Auce ar lauku teritoriju |
-1,125 |
|
48. |
660600 |
Limbažu |
Ainaži ar lauku teritoriju |
-1,184 |
|
49. |
700800 |
Madonas |
Cesvaine ar lauku teritoriju |
-1,187 |
|
50. |
881800 |
Talsu |
Valdemārpils ar lauku teritoriju |
-1,189 |
|
51. |
321300 |
Aizkraukles |
Pļaviņas |
-1,277 |
|
52. |
600200 |
Krāslavas |
Krāslavas novads |
-1,441 |
|
53. |
941700 |
Valkas |
Strenči |
-1,532 |
|
54. |
621000 |
Kuldīgas |
Skrunda ar lauku teritoriju |
-1,680 |
|
55. |
640800 |
Liepājas |
Durbes novads |
-1,686 |
|
56. |
881400 |
Talsu |
Sabiles novads |
-1,720 |
|
57. |
680100 |
Ludzas |
Ludza |
-1,730 |
|
58. |
641500 |
Liepājas |
Priekule |
-1,826 |
|
59. |
661800 |
Limbažu |
Staicele ar lauku teritoriju |
-1,871 |
|
60. |
440800 |
Daugavpils |
Ilūkstes novads |
-1,914 |
|
61. |
421100 |
Cēsu |
Līgatne |
-1,992 |
|
62. |
640500 |
Liepājas |
Aizpute |
-2,020 |
|
63. |
761200 |
Preiļu |
Līvānu novads |
-2,024 |
|
64. |
941400 |
Valkas |
Seda ar lauku teritoriju |
-2,038 |
|
65. |
560600 |
Jēkabpils |
Aknīste ar lauku teritoriju |
-2,066 |
|
66. |
641400 |
Liepājas |
Sakas novads |
-2,074 |
|
67. |
561600 |
Jēkabpils |
Viesīte ar lauku teritoriju |
-2,115 |
|
68. |
701400 |
Madonas |
Lubānas novads |
-2,255 |
|
69. |
961200 |
Valmieras |
Mazsalaca ar lauku teritoriju |
-2,321 |
|
70. |
360600 |
Alūksnes |
Ape ar lauku teritoriju |
-2,376 |
|
71. |
600900 |
Krāslavas |
Dagda |
-2,540 |
|
72. |
701700 |
Madonas |
Varakļāni |
-2,822 |
|
73. |
441600 |
Daugavpils |
Subate ar lauku teritoriju |
-2,898 |
|
74. |
381500 |
Balvu |
Viļaka |
-3,188 |
|
75. |
781700 |
Rēzeknes |
Viļāni |
-3,383 |
|
76. |
680900 |
Ludzas |
Kārsava |
-3,526 |
|
77. |
681800 |
Ludzas |
Zilupes novads |
-3,617 |
Ministru kabineta
2008.gada 15.septembra noteikumiem Nr.730
|
Nr. |
Administratīvo teritoriju un teritoriālo vienību klasifikatora kods |
Rajons |
Pagasts, novads |
Teritorijas attīstības indekss |
|
1. |
807600 |
Rīgas |
Mārupes pagasts |
4,020 |
|
2. |
809600 |
Rīgas |
Stopiņu novads |
3,440 |
|
3. |
806000 |
Rīgas |
Garkalnes novads |
2,660 |
|
4. |
805200 |
Rīgas |
Carnikavas novads |
2,325 |
|
5. |
804400 |
Rīgas |
Ādažu novads |
2,208 |
|
6. |
804800 |
Rīgas |
Babītes pagasts |
1,929 |
|
7. |
807000 |
Rīgas |
Ķekavas pagasts |
1,893 |
|
8. |
546700 |
Jelgavas |
Ozolnieku novads |
1,433 |
|
9. |
806400 |
Rīgas |
Inčukalna novads |
1,383 |
|
10. |
808000 |
Rīgas |
Olaines pagasts |
1,320 |
|
11. |
808800 |
Rīgas |
Salas pagasts |
1,175 |
|
12. |
906600 |
Tukuma |
Lapmežciema novads |
1,103 |
|
13. |
848600 |
Saldus |
Saldus pagasts |
1,017 |
|
14. |
969000 |
Valmieras |
Valmieras pagasts |
0,928 |
|
15. |
808400 |
Rīgas |
Ropažu novads |
0,918 |
|
16. |
427200 |
Cēsu |
Priekuļu pagasts |
0,840 |
|
17. |
805600 |
Rīgas |
Daugmales pagasts |
0,757 |
|
18. |
406000 |
Bauskas |
Gailīšu pagasts |
0,723 |
|
19. |
406800 |
Bauskas |
Īslīces pagasts |
0,699 |
|
20. |
545200 |
Jelgavas |
Glūdas pagasts |
0,652 |
|
21. |
806800 |
Rīgas |
Krimuldas pagasts |
0,646 |
|
22. |
406400 |
Bauskas |
Iecavas novads |
0,631 |
|
23. |
807400 |
Rīgas |
Mālpils pagasts |
0,601 |
|
24. |
328000 |
Aizkraukles |
Sērenes pagasts |
0,592 |
|
25. |
886800 |
Talsu |
Laidzes pagasts |
0,588 |
|
26. |
548200 |
Jelgavas |
Svētes pagasts |
0,585 |
|
27. |
545600 |
Jelgavas |
Jaunsvirlaukas pagasts |
0,585 |
|
28. |
744800 |
Ogres |
Jumpravas pagasts |
0,571 |
|
29. |
809200 |
Rīgas |
Sējas novads |
0,565 |
|
30. |
547000 |
Jelgavas |
Platones pagasts |
0,541 |
|
31. |
627400 |
Kuldīgas |
Pelču pagasts |
0,522 |
|
32. |
328200 |
Aizkraukles |
Skrīveru pagasts |
0,520 |
|
33. |
447400 |
Daugavpils |
Naujenes pagasts |
0,494 |
|
34. |
464600 |
Dobeles |
Auru pagasts |
0,453 |
|
35. |
804200 |
Rīgas |
Allažu pagasts |
0,452 |
|
36. |
966200 |
Valmieras |
Kauguru pagasts |
0,449 |
|
37. |
405200 |
Bauskas |
Codes pagasts |
0,447 |
|
38. |
548600 |
Jelgavas |
Valgundes novads |
0,437 |
|
39. |
908400 |
Tukuma |
Tumes pagasts |
0,434 |
|
40. |
948000 |
Valkas |
Smiltenes pagasts |
0,433 |
|
41. |
326000 |
Aizkraukles |
Kokneses pagasts |
0,423 |
|
42. |
964600 |
Valmieras |
Brenguļu pagasts |
0,417 |
|
43. |
988400 |
Ventspils |
Vārves pagasts |
0,404 |
|
44. |
968800 |
Valmieras |
Vaidavas pagasts |
0,401 |
|
45. |
409400 |
Bauskas |
Vecumnieku pagasts |
0,389 |
|
46. |
405000 |
Bauskas |
Ceraukstes pagasts |
0,387 |
|
47. |
546200 |
Jelgavas |
Līvbērzes pagasts |
0,380 |
|
48. |
986000 |
Ventspils |
Puzes pagasts |
0,369 |
|
49. |
905000 |
Tukuma |
Engures pagasts |
0,365 |
|
50. |
424700 |
Cēsu |
Amatas novads |
0,355 |
|
51. |
986600 |
Ventspils |
Tārgales pagasts |
0,344 |
|
52. |
966400 |
Valmieras |
Kocēnu pagasts |
0,340 |
|
53. |
886200 |
Talsu |
Kolkas pagasts |
0,337 |
|
54. |
847200 |
Saldus |
Novadnieku pagasts |
0,330 |
|
55. |
426000 |
Cēsu |
Liepas pagasts |
0,329 |
|
56. |
544800 |
Jelgavas |
Elejas pagasts |
0,319 |
|
57. |
748800 |
Ogres |
Suntažu pagasts |
0,302 |
|
58. |
568600 |
Jēkabpils |
Salas pagasts |
0,295 |
|
59. |
626000 |
Kuldīgas |
Kurmāles pagasts |
0,281 |
|
60. |
407600 |
Bauskas |
Rundāles pagasts |
0,271 |
|
61. |
429400 |
Cēsu |
Veselavas pagasts |
0,270 |
|
62. |
647600 |
Liepājas |
Medzes pagasts |
0,268 |
|
63. |
706600 |
Madonas |
Lazdonas pagasts |
0,265 |
|
64. |
647800 |
Liepājas |
Nīcas pagasts |
0,258 |
|
65. |
888300 |
Talsu |
Rojas novads |
0,255 |
|
66. |
465200 |
Dobeles |
Bērzes pagasts |
0,254 |
|
67. |
908000 |
Tukuma |
Slampes pagasts |
0,253 |
|
68. |
446000 |
Daugavpils |
Kalkūnes pagasts |
0,239 |
|
69. |
887200 |
Talsu |
Lībagu pagasts |
0,237 |
|
70. |
907800 |
Tukuma |
Sēmes pagasts |
0,234 |
|
71. |
947400 |
Valkas |
Palsmanes pagasts |
0,225 |
|
72. |
427600 |
Cēsu |
Raunas pagasts |
0,218 |
|
73. |
666400 |
Limbažu |
Limbažu pagasts |
0,215 |
|
74. |
564800 |
Jēkabpils |
Ābeļu pagasts |
0,211 |
|
75. |
426200 |
Cēsu |
Līgatnes pagasts |
0,197 |
|
76. |
947000 |
Valkas |
Launkalnes pagasts |
0,196 |
|
77. |
509000 |
Gulbenes |
Stradu pagasts |
0,196 |
|
78. |
407200 |
Bauskas |
Mežotnes pagasts |
0,194 |
|
79. |
427400 |
Cēsu |
Raiskuma pagasts |
0,190 |
|
80. |
908200 |
Tukuma |
Smārdes pagasts |
0,177 |
|
81. |
324600 |
Aizkraukles |
Bebru pagasts |
0,175 |
|
82. |
386000 |
Balvu |
Kupravas pagasts |
0,167 |
|
83. |
667600 |
Limbažu |
Skultes pagasts |
0,162 |
|
84. |
789600 |
Rēzeknes |
Vērēmu pagasts |
0,157 |
|
85. |
909000 |
Tukuma |
Viesatu pagasts |
0,156 |
|
86. |
468400 |
Dobeles |
Penkules pagasts |
0,153 |
|
87. |
668400 |
Limbažu |
Vidrižu pagasts |
0,151 |
|
88. |
646000 |
Liepājas |
Grobiņas pagasts |
0,148 |
|
89. |
907400 |
Tukuma |
Pūres pagasts |
0,141 |
|
90. |
549200 |
Jelgavas |
Vircavas pagasts |
0,135 |
|
91. |
846600 |
Saldus |
Lutriņu pagasts |
0,132 |
|
92. |
989000 |
Ventspils |
Ziru pagasts |
0,129 |
|
93. |
985600 |
Ventspils |
Popes pagasts |
0,127 |
|
94. |
745600 |
Ogres |
Ķeipenes pagasts |
0,124 |
|
95. |
847000 |
Saldus |
Nīgrandes pagasts |
0,122 |
|
96. |
905400 |
Tukuma |
Irlavas pagasts |
0,121 |
|
97. |
844800 |
Saldus |
Ezeres pagasts |
0,118 |
|
98. |
785600 |
Rēzeknes |
Griškānu pagasts |
0,117 |
|
99. |
889600 |
Talsu |
Virbu pagasts |
0,117 |
|
100. |
887400 |
Talsu |
Lubes pagasts |
0,109 |
|
101. |
408400 |
Bauskas |
Stelpes pagasts |
0,108 |
|
102. |
547800 |
Jelgavas |
Sidrabenes pagasts |
0,101 |
|
103. |
849600 |
Saldus |
Zirņu pagasts |
0,096 |
|
104. |
429200 |
Cēsu |
Vecpiebalgas pagasts |
0,096 |
|
105. |
665600 |
Limbažu |
Lēdurgas pagasts |
0,094 |
|
106. |
706200 |
Madonas |
Kalsnavas pagasts |
0,092 |
|
107. |
987800 |
Ventspils |
Užavas pagasts |
0,091 |
|
108. |
987000 |
Ventspils |
Ugāles pagasts |
0,089 |
|
109. |
428200 |
Cēsu |
Straupes pagasts |
0,084 |
|
110. |
704600 |
Madonas |
Bērzaunes pagasts |
0,082 |
|
111. |
746400 |
Ogres |
Lēdmanes pagasts |
0,082 |
|
112. |
747200 |
Ogres |
Mazozolu pagasts |
0,081 |
|
113. |
428600 |
Cēsu |
Taurenes pagasts |
0,081 |
|
114. |
468900 |
Dobeles |
Tērvetes novads |
0,078 |
|
115. |
366000 |
Alūksnes |
Jaunlaicenes pagasts |
0,075 |
|
116. |
889400 |
Talsu |
Vandzenes pagasts |
0,074 |
|
117. |
409200 |
Bauskas |
Vecsaules pagasts |
0,069 |
|
118. |
964400 |
Valmieras |
Bērzaines pagasts |
0,063 |
|
119. |
967800 |
Valmieras |
Rencēnu pagasts |
0,063 |
|
120. |
446400 |
Daugavpils |
Laucesas pagasts |
0,062 |
|
121. |
425000 |
Cēsu |
Dzērbenes pagasts |
0,060 |
|
122. |
744400 |
Ogres |
Birzgales pagasts |
0,060 |
|
123. |
787600 |
Rēzeknes |
Ozolaines pagasts |
0,059 |
|
124. |
905600 |
Tukuma |
Jaunpils pagasts |
0,058 |
|
125. |
506000 |
Gulbenes |
Jaungulbenes pagasts |
0,056 |
|
126. |
507200 |
Gulbenes |
Lizuma pagasts |
0,052 |
|
127. |
847600 |
Saldus |
Pampāļu pagasts |
0,050 |
|
128. |
566200 |
Jēkabpils |
Gārsenes pagasts |
0,045 |
|
129. |
467200 |
Dobeles |
Krimūnu pagasts |
0,044 |
|
130. |
904800 |
Tukuma |
Džūkstes pagasts |
0,040 |
|
131. |
429000 |
Cēsu |
Vaives pagasts |
0,039 |
|
132. |
968400 |
Valmieras |
Skaņkalnes pagasts |
0,039 |
|
133. |
969600 |
Valmieras |
Zilākalna pagasts |
0,036 |
|
134. |
546000 |
Jelgavas |
Lielplatones pagasts |
0,035 |
|
135. |
967200 |
Valmieras |
Naukšēnu pagasts |
0,033 |
|
136. |
944800 |
Valkas |
Brantu pagasts |
0,028 |
|
137. |
468000 |
Dobeles |
Naudītes pagasts |
0,027 |
|
138. |
364800 |
Alūksnes |
Gaujienas pagasts |
0,021 |
|
139. |
746000 |
Ogres |
Lauberes pagasts |
0,017 |
|
140. |
549600 |
Jelgavas |
Zaļenieku pagasts |
0,017 |
|
141. |
904600 |
Tukuma |
Degoles pagasts |
0,016 |
|
142. |
949000 |
Valkas |
Variņu pagasts |
0,015 |
|
143. |
666000 |
Limbažu |
Liepupes pagasts |
0,003 |
|
144. |
944600 |
Valkas |
Blomes pagasts |
0,001 |
|
145. |
426400 |
Cēsu |
Mārsnēnu pagasts |
0,001 |
|
146. |
628400 |
Kuldīgas |
Rumbas pagasts |
0,000 |
|
147. |
464200 |
Dobeles |
Annenieku pagasts |
-0,001 |
|
148. |
709000 |
Madonas |
Sarkaņu pagasts |
-0,006 |
|
149. |
665200 |
Limbažu |
Katvaru pagasts |
-0,012 |
|
150. |
549000 |
Jelgavas |
Vilces pagasts |
-0,015 |
|
151. |
428000 |
Cēsu |
Stalbes pagasts |
-0,019 |
|
152. |
965200 |
Valmieras |
Dikļu pagasts |
-0,021 |
|
153. |
409600 |
Bauskas |
Viesturu pagasts |
-0,022 |
|
154. |
326600 |
Aizkraukles |
Mazzalves pagasts |
-0,024 |
|
155. |
965800 |
Valmieras |
Jeru pagasts |
-0,025 |
|
156. |
627200 |
Kuldīgas |
Padures pagasts |
-0,025 |
|
157. |
408000 |
Bauskas |
Skaistkalnes pagasts |
-0,025 |
|
158. |
745200 |
Ogres |
Krapes pagasts |
-0,026 |
|
159. |
425600 |
Cēsu |
Jaunpiebalgas pagasts |
-0,027 |
|
160. |
747600 |
Ogres |
Meņģeles pagasts |
-0,036 |
|
161. |
324200 |
Aizkraukles |
Aiviekstes pagasts |
-0,040 |
|
162. |
466400 |
Dobeles |
Īles pagasts |
-0,042 |
|
163. |
906800 |
Tukuma |
Lestenes pagasts |
-0,046 |
|
164. |
466000 |
Dobeles |
Dobeles pagasts |
-0,046 |
|
165. |
886400 |
Talsu |
Ķūļciema pagasts |
-0,058 |
|
166. |
547400 |
Jelgavas |
Sesavas pagasts |
-0,059 |
|
167. |
408800 |
Bauskas |
Svitenes pagasts |
-0,060 |
|
168. |
404600 |
Bauskas |
Brunavas pagasts |
-0,065 |
|
169. |
369400 |
Alūksnes |
Zeltiņu pagasts |
-0,065 |
|
170. |
649600 |
Liepājas |
Vērgales pagasts |
-0,073 |
|
171. |
885400 |
Talsu |
Ģibuļu pagasts |
-0,075 |
|
172. |
645600 |
Liepājas |
Gaviezes pagasts |
-0,077 |
|
173. |
949200 |
Valkas |
Vijciema pagasts |
-0,082 |
|
174. |
846200 |
Saldus |
Kursīšu pagasts |
-0,082 |
|
175. |
708600 |
Madonas |
Praulienas pagasts |
-0,087 |
|
176. |
506800 |
Gulbenes |
Litenes pagasts |
-0,088 |
|
177. |
644200 |
Liepājas |
Aizputes pagasts |
-0,099 |
|
178. |
328400 |
Aizkraukles |
Staburaga pagasts |
-0,104 |
|
179. |
884600 |
Talsu |
Balgales pagasts |
-0,106 |
|
180. |
466800 |
Dobeles |
Jaunbērzes pagasts |
-0,109 |
|
181. |
644800 |
Liepājas |
Cīravas pagasts |
-0,109 |
|
182. |
845800 |
Saldus |
Jaunlutriņu pagasts |
-0,112 |
|
183. |
645000 |
Liepājas |
Dunalkas pagasts |
-0,125 |
|
184. |
624200 |
Kuldīgas |
Alsungas pagasts |
-0,127 |
|
185. |
465000 |
Dobeles |
Bēnes pagasts |
-0,136 |
|
186. |
707400 |
Madonas |
Mārcienas pagasts |
-0,137 |
|
187. |
645800 |
Liepājas |
Gramzdas pagasts |
-0,141 |
|
188. |
365800 |
Alūksnes |
Jaunannas pagasts |
-0,145 |
|
189. |
746800 |
Ogres |
Madlienas pagasts |
-0,147 |
|
190. |
467600 |
Dobeles |
Lielauces pagasts |
-0,150 |
|
191. |
966800 |
Valmieras |
Lodes pagasts |
-0,154 |
|
192. |
465400 |
Dobeles |
Bikstu pagasts |
-0,154 |
|
193. |
566800 |
Jēkabpils |
Krustpils pagasts |
-0,157 |
|
194. |
885000 |
Talsu |
Dundagas pagasts |
-0,157 |
|
195. |
668000 |
Limbažu |
Umurgas pagasts |
-0,179 |
|
196. |
889200 |
Talsu |
Valdgales pagasts |
-0,183 |
|
197. |
704400 |
Madonas |
Barkavas pagasts |
-0,184 |
|
198. |
749200 |
Ogres |
Taurupes pagasts |
-0,188 |
|
199. |
989400 |
Ventspils |
Zlēku pagasts |
-0,195 |
|
200. |
944400 |
Valkas |
Bilskas pagasts |
-0,198 |
|
201. |
704200 |
Madonas |
Aronas pagasts |
-0,199 |
|
202. |
848200 |
Saldus |
Rubas pagasts |
-0,201 |
|
203. |
908800 |
Tukuma |
Vānes pagasts |
-0,202 |
|
204. |
625800 |
Kuldīgas |
Kabiles pagasts |
-0,203 |
|
205. |
449800 |
Daugavpils |
Višķu pagasts |
-0,212 |
|
206. |
449200 |
Daugavpils |
Tabores pagasts |
-0,213 |
|
207. |
325000 |
Aizkraukles |
Daudzeses pagasts |
-0,215 |
|
208. |
364200 |
Alūksnes |
Alsviķu pagasts |
-0,217 |
|
209. |
664800 |
Limbažu |
Brīvzemnieku pagasts |
-0,219 |
|
210. |
325800 |
Aizkraukles |
Klintaines pagasts |
-0,223 |
|
211. |
849200 |
Saldus |
Vadakstes pagasts |
-0,223 |
|
212. |
707600 |
Madonas |
Mētrienas pagasts |
-0,224 |
|
213. |
945800 |
Valkas |
Grundzāles pagasts |
-0,226 |
|
214. |
888600 |
Talsu |
Strazdes pagasts |
-0,227 |
|
215. |
425400 |
Cēsu |
Inešu pagasts |
-0,228 |
|
216. |
709600 |
Madonas |
Vestienas pagasts |
-0,229 |
|
217. |
964800 |
Valmieras |
Burtnieku pagasts |
-0,239 |
|
218. |
985000 |
Ventspils |
Jūrkalnes pagasts |
-0,240 |
|
219. |
447600 |
Daugavpils |
Nīcgales pagasts |
-0,242 |
|
220. |
849400 |
Saldus |
Zaņas pagasts |
-0,249 |
|
221. |
566600 |
Jēkabpils |
Kalna pagasts |
-0,253 |
|
222. |
369600 |
Alūksnes |
Ziemera pagasts |
-0,253 |
|
223. |
705500 |
Madonas |
Ērgļu novads |
-0,254 |
|
224. |
405600 |
Bauskas |
Dāviņu pagasts |
-0,256 |
|
225. |
508400 |
Gulbenes |
Rankas pagasts |
-0,257 |
|
226. |
969400 |
Valmieras |
Vilpulkas pagasts |
-0,259 |
|
227. |
369000 |
Alūksnes |
Virešu pagasts |
-0,259 |
|
228. |
504800 |
Gulbenes |
Daukstu pagasts |
-0,261 |
|
229. |
646600 |
Liepājas |
Kalvenes pagasts |
-0,262 |
|
230. |
845600 |
Saldus |
Jaunauces pagasts |
-0,263 |
|
231. |
948400 |
Valkas |
Trikātas pagasts |
-0,266 |
|
232. |
569000 |
Jēkabpils |
Sēlpils pagasts |
-0,273 |
|
233. |
627800 |
Kuldīgas |
Raņķu pagasts |
-0,274 |
|
234. |
887000 |
Talsu |
Laucienes pagasts |
-0,275 |
|
235. |
648000 |
Liepājas |
Otaņķu pagasts |
-0,275 |
|
236. |
987400 |
Ventspils |
Usmas pagasts |
-0,277 |
|
237. |
706800 |
Madonas |
Liezēres pagasts |
-0,278 |
|
238. |
445200 |
Daugavpils |
Dubnas pagasts |
-0,279 |
|
239. |
624600 |
Kuldīgas |
Ēdoles pagasts |
-0,281 |
|
240. |
625400 |
Kuldīgas |
Īvandes pagasts |
-0,283 |
|
241. |
967100 |
Valmieras |
Burtnieku novads |
-0,284 |
|
242. |
365600 |
Alūksnes |
Jaunalūksnes pagasts |
-0,287 |
|
243. |
786600 |
Rēzeknes |
Lendžu pagasts |
-0,291 |
|
244. |
447000 |
Daugavpils |
Maļinovas pagasts |
-0,294 |
|
245. |
909600 |
Tukuma |
Zentenes pagasts |
-0,295 |
|
246. |
849800 |
Saldus |
Zvārdes pagasts |
-0,295 |
|
247. |
327800 |
Aizkraukles |
Seces pagasts |
-0,299 |
|
248. |
567600 |
Jēkabpils |
Mežāres pagasts |
-0,303 |
|
249. |
968200 |
Valmieras |
Sēļu pagasts |
-0,304 |
|
250. |
966600 |
Valmieras |
Ķoņu pagasts |
-0,306 |
|
251. |
325400 |
Aizkraukles |
Iršu pagasts |
-0,307 |
|
252. |
666800 |
Limbažu |
Pāles pagasts |
-0,309 |
|
253. |
629000 |
Kuldīgas |
Snēpeles pagasts |
-0,311 |
|
254. |
565400 |
Jēkabpils |
Dunavas pagasts |
-0,317 |
|
255. |
568800 |
Jēkabpils |
Saukas pagasts |
-0,317 |
|
256. |
628200 |
Kuldīgas |
Rudbāržu pagasts |
-0,317 |
|
257. |
789200 |
Rēzeknes |
Stoļerovas pagasts |
-0,318 |
|
258. |
426800 |
Cēsu |
Nītaures pagasts |
-0,321 |
|
259. |
645200 |
Liepājas |
Dunikas pagasts |
-0,325 |
|
260. |
905800 |
Tukuma |
Jaunsātu pagasts |
-0,325 |
|
261. |
948800 |
Valkas |
Valkas pagasts |
-0,327 |
|
262. |
445000 |
Daugavpils |
Demenes pagasts |
-0,330 |
|
263. |
404400 |
Bauskas |
Bārbeles pagasts |
-0,331 |
|
264. |
629600 |
Kuldīgas |
Vārmes pagasts |
-0,338 |
|
265. |
326200 |
Aizkraukles |
Kurmenes pagasts |
-0,340 |
|
266. |
469400 |
Dobeles |
Vītiņu pagasts |
-0,341 |
|
267. |
429600 |
Cēsu |
Zaubes pagasts |
-0,342 |
|
268. |
787800 |
Rēzeknes |
Ozolmuižas pagasts |
-0,349 |
|
269. |
567000 |
Jēkabpils |
Kūku pagasts |
-0,352 |
|
270. |
647200 |
Liepājas |
Lažas pagasts |
-0,358 |
|
271. |
364400 |
Alūksnes |
Annas pagasts |
-0,366 |
|
272. |
368400 |
Alūksnes |
Trapenes pagasts |
-0,375 |
|
273. |
764200 |
Preiļu |
Aglonas pagasts |
-0,378 |
|
274. |
506400 |
Gulbenes |
Lejasciema pagasts |
-0,380 |
|
275. |
329600 |
Aizkraukles |
Zalves pagasts |
-0,386 |
|
276. |
945200 |
Valkas |
Ērģemes pagasts |
-0,387 |
|
277. |
329000 |
Aizkraukles |
Valles pagasts |
-0,388 |
|
278. |
327400 |
Aizkraukles |
Pilskalnes pagasts |
-0,388 |
|
279. |
429800 |
Cēsu |
Zosēnu pagasts |
-0,388 |
|
280. |
568000 |
Jēkabpils |
Rites pagasts |
-0,390 |
|
281. |
649400 |
Liepājas |
Vecpils pagasts |
-0,400 |
|
282. |
668800 |
Limbažu |
Viļķenes pagasts |
-0,401 |
|
283. |
384600 |
Balvu |
Balvu pagasts |
-0,406 |
|
284. |
848800 |
Saldus |
Šķēdes pagasts |
-0,407 |
|
285. |
984400 |
Ventspils |
Ances pagasts |
-0,409 |
|
286. |
965600 |
Valmieras |
Ipiķu pagasts |
-0,413 |
|
287. |
565200 |
Jēkabpils |
Dignājas pagasts |
-0,413 |
|
288. |
629200 |
Kuldīgas |
Turlavas pagasts |
-0,419 |
|
289. |
469800 |
Dobeles |
Zebrenes pagasts |
-0,424 |
|
290. |
367600 |
Alūksnes |
Mārkalnes pagasts |
-0,429 |
|
291. |
649800 |
Liepājas |
Virgas pagasts |
-0,432 |
|
292. |
569600 |
Jēkabpils |
Vīpes pagasts |
-0,433 |
|
293. |
329200 |
Aizkraukles |
Vietalvas pagasts |
-0,433 |
|
294. |
427800 |
Cēsu |
Skujenes pagasts |
-0,434 |
|
295. |
446200 |
Daugavpils |
Kalupes pagasts |
-0,441 |
|
296. |
766800 |
Preiļu |
Rudzātu pagasts |
-0,443 |
|
297. |
569800 |
Jēkabpils |
Zasas pagasts |
-0,445 |
|
298. |
569400 |
Jēkabpils |
Variešu pagasts |
-0,450 |
|
299. |
947600 |
Valkas |
Plāņu pagasts |
-0,455 |
|
300. |
644400 |
Liepājas |
Bārtas pagasts |
-0,456 |
|
301. |
646400 |
Liepājas |
Kalētu pagasts |
-0,458 |
|
302. |
424800 |
Cēsu |
Drustu pagasts |
-0,460 |
|
303. |
885800 |
Talsu |
Īves pagasts |
-0,461 |
|
304. |
787000 |
Rēzeknes |
Maltas pagasts |
-0,464 |
|
305. |
447200 |
Daugavpils |
Medumu pagasts |
-0,474 |
|
306. |
664400 |
Limbažu |
Braslavas pagasts |
-0,475 |
|
307. |
648400 |
Liepājas |
Rucavas pagasts |
-0,483 |
|
308. |
504400 |
Gulbenes |
Beļavas pagasts |
-0,490 |
|
309. |
945400 |
Valkas |
Ēveles pagasts |
-0,492 |
|
310. |
645400 |
Liepājas |
Embūtes pagasts |
-0,492 |
|
311. |
705000 |
Madonas |
Dzelzavas pagasts |
-0,492 |
|
312. |
368800 |
Alūksnes |
Veclaicenes pagasts |
-0,493 |
|
313. |
685000 |
Ludzas |
Cirmas pagasts |
-0,495 |
|
314. |
626400 |
Kuldīgas |
Laidu pagasts |
-0,495 |
|
315. |
508800 |
Gulbenes |
Stāmerienas pagasts |
-0,496 |
|
316. |
707000 |
Madonas |
Ļaudonas pagasts |
-0,503 |
|
317. |
327000 |
Aizkraukles |
Neretas pagasts |
-0,505 |
|
318. |
949600 |
Valkas |
Zvārtavas pagasts |
-0,506 |
|
319. |
909200 |
Tukuma |
Zantes pagasts |
-0,506 |
|
320. |
786800 |
Rēzeknes |
Lūznavas pagasts |
-0,509 |
|
321. |
446800 |
Daugavpils |
Līksnas pagasts |
-0,512 |
|
322. |
946200 |
Valkas |
Jērcēnu pagasts |
-0,522 |
|
323. |
784400 |
Rēzeknes |
Bērzgales pagasts |
-0,524 |
|
324. |
967600 |
Valmieras |
Ramatas pagasts |
-0,524 |
|
325. |
509400 |
Gulbenes |
Tirzas pagasts |
-0,525 |
|
326. |
628000 |
Kuldīgas |
Rendas pagasts |
-0,528 |
|
327. |
367200 |
Alūksnes |
Malienas pagasts |
-0,539 |
|
328. |
384800 |
Balvu |
Bērzkalnes pagasts |
-0,553 |
|
329. |
565800 |
Jēkabpils |
Elkšņu pagasts |
-0,559 |
|
330. |
328600 |
Aizkraukles |
Sunākstes pagasts |
-0,563 |
|
331. |
567400 |
Jēkabpils |
Leimaņu pagasts |
-0,573 |
|
332. |
644600 |
Liepājas |
Bunkas pagasts |
-0,573 |
|
333. |
445400 |
Daugavpils |
Dvietes pagasts |
-0,586 |
|
334. |
648200 |
Liepājas |
Priekules pagasts |
-0,586 |
|
335. |
507600 |
Gulbenes |
Līgo pagasts |
-0,590 |
|
336. |
469000 |
Dobeles |
Ukru pagasts |
-0,597 |
|
337. |
505200 |
Gulbenes |
Druvienas pagasts |
-0,597 |
|
338. |
365200 |
Alūksnes |
Ilzenes pagasts |
-0,599 |
|
339. |
625000 |
Kuldīgas |
Gudenieku pagasts |
-0,600 |
|
340. |
765200 |
Preiļu |
Jersikas pagasts |
-0,602 |
|
341. |
445600 |
Daugavpils |
Eglaines pagasts |
-0,603 |
|
342. |
449400 |
Daugavpils |
Vaboles pagasts |
-0,603 |
|
343. |
626800 |
Kuldīgas |
Nīkrāces pagasts |
-0,608 |
|
344. |
389800 |
Balvu |
Žīguru pagasts |
-0,611 |
|
345. |
784200 |
Rēzeknes |
Audriņu pagasts |
-0,614 |
|
346. |
449600 |
Daugavpils |
Vecsalienas pagasts |
-0,636 |
|
347. |
448600 |
Daugavpils |
Skrudalienas pagasts |
-0,652 |
|
348. |
564600 |
Jēkabpils |
Atašienes pagasts |
-0,653 |
|
349. |
448400 |
Daugavpils |
Salienas pagasts |
-0,655 |
|
350. |
605000 |
Krāslavas |
Bērziņu pagasts |
-0,665 |
|
351. |
505600 |
Gulbenes |
Galgauskas pagasts |
-0,669 |
|
352. |
389000 |
Balvu |
Vectilžas pagasts |
-0,674 |
|
353. |
784800 |
Rēzeknes |
Dekšāres pagasts |
-0,678 |
|
354. |
425800 |
Cēsu |
Kaives pagasts |
-0,680 |
|
355. |
367400 |
Alūksnes |
Mālupes pagasts |
-0,693 |
|
356. |
448800 |
Daugavpils |
Sventes pagasts |
-0,701 |
|
357. |
646800 |
Liepājas |
Kazdangas pagasts |
-0,702 |
|
358. |
605600 |
Krāslavas |
Ezernieku pagasts |
-0,702 |
|
359. |
366400 |
Alūksnes |
Kalncempju pagasts |
-0,717 |
|
360. |
607600 |
Krāslavas |
Konstantinovas pagasts |
-0,733 |
|
361. |
684400 |
Ludzas |
Blontu pagasts |
-0,740 |
|
362. |
386600 |
Balvu |
Lazdulejas pagasts |
-0,741 |
|
363. |
649200 |
Liepājas |
Vaiņodes pagasts |
-0,750 |
|
364. |
946600 |
Valkas |
Kārķu pagasts |
-0,765 |
|
365. |
765600 |
Preiļu |
Pelēču pagasts |
-0,768 |
|
366. |
605400 |
Krāslavas |
Dagdas pagasts |
-0,772 |
|
367. |
607000 |
Krāslavas |
Kaplavas pagasts |
-0,774 |
|
368. |
767400 |
Preiļu |
Saunas pagasts |
-0,775 |
|
369. |
784600 |
Rēzeknes |
Čornajas pagasts |
-0,779 |
|
370. |
787400 |
Rēzeknes |
Nagļu pagasts |
-0,784 |
|
371. |
689800 |
Ludzas |
Zvirgzdenes pagasts |
-0,785 |
|
372. |
769400 |
Preiļu |
Vārkavas pagasts |
-0,786 |
|
373. |
685800 |
Ludzas |
Isnaudas pagasts |
-0,806 |
|
374. |
604800 |
Krāslavas |
Aulejas pagasts |
-0,817 |
|
375. |
684900 |
Ludzas |
Ciblas novads |
-0,823 |
|
376. |
708200 |
Madonas |
Ošupes pagasts |
-0,827 |
|
377. |
788600 |
Rēzeknes |
Sakstagala pagasts |
-0,830 |
|
378. |
785000 |
Rēzeknes |
Dricānu pagasts |
-0,834 |
|
379. |
766300 |
Preiļu |
Riebiņu novads |
-0,836 |
|
380. |
389400 |
Balvu |
Vīksnas pagasts |
-0,838 |
|
381. |
387400 |
Balvu |
Rugāju pagasts |
-0,838 |
|
382. |
689000 |
Ludzas |
Pušmucovas pagasts |
-0,850 |
|
383. |
607400 |
Krāslavas |
Kombuļu pagasts |
-0,862 |
|
384. |
707800 |
Madonas |
Murmastienes pagasts |
-0,873 |
|
385. |
785800 |
Rēzeknes |
Ilzeskalna pagasts |
-0,878 |
|
386. |
366800 |
Alūksnes |
Liepnas pagasts |
-0,889 |
|
387. |
607200 |
Krāslavas |
Kastuļinas pagasts |
-0,904 |
|
388. |
444600 |
Daugavpils |
Biķernieku pagasts |
-0,905 |
|
389. |
769100 |
Preiļu |
Vārkavas novads |
-0,906 |
|
390. |
687000 |
Ludzas |
Mežvidu pagasts |
-0,918 |
|
391. |
768200 |
Preiļu |
Sutru pagasts |
-0,941 |
|
392. |
687200 |
Ludzas |
Mērdzenes pagasts |
-0,947 |
|
393. |
785400 |
Rēzeknes |
Gaigalavas pagasts |
-0,955 |
|
394. |
608000 |
Krāslavas |
Ķepovas pagasts |
-0,961 |
|
395. |
789800 |
Rēzeknes |
Viļānu pagasts |
-0,964 |
|
396. |
385800 |
Balvu |
Kubuļu pagasts |
-0,977 |
|
397. |
388200 |
Balvu |
Šķilbēnu pagasts |
-0,979 |
|
398. |
787500 |
Rēzeknes |
Nautrēnu pagasts |
-1,006 |
|
399. |
568200 |
Jēkabpils |
Rubenes pagasts |
-1,020 |
|
400. |
564400 |
Jēkabpils |
Asares pagasts |
-1,028 |
|
401. |
786200 |
Rēzeknes |
Kaunatas pagasts |
-1,030 |
|
402. |
604200 |
Krāslavas |
Andrupenes pagasts |
-1,033 |
|
403. |
387000 |
Balvu |
Medņevas pagasts |
-1,041 |
|
404. |
388600 |
Balvu |
Tilžas pagasts |
-1,076 |
|
405. |
688800 |
Ludzas |
Pureņu pagasts |
-1,092 |
|
406. |
609200 |
Krāslavas |
Šķaunes pagasts |
-1,123 |
|
407. |
689200 |
Ludzas |
Rundēnu pagasts |
-1,126 |
|
408. |
709400 |
Madonas |
Varakļānu pagasts |
-1,146 |
|
409. |
608800 |
Krāslavas |
Skaistas pagasts |
-1,146 |
|
410. |
606400 |
Krāslavas |
Izvaltas pagasts |
-1,150 |
|
411. |
385000 |
Balvu |
Bērzpils pagasts |
-1,161 |
|
412. |
789400 |
Rēzeknes |
Stružānu pagasts |
-1,188 |
|
413. |
609000 |
Krāslavas |
Svariņu pagasts |
-1,191 |
|
414. |
687800 |
Ludzas |
Nirzas pagasts |
-1,191 |
|
415. |
788200 |
Rēzeknes |
Rikavas pagasts |
-1,193 |
|
416. |
608600 |
Krāslavas |
Robežnieku pagasts |
-1,227 |
|
417. |
609600 |
Krāslavas |
Ūdrīšu pagasts |
-1,228 |
|
418. |
686800 |
Ludzas |
Malnavas pagasts |
-1,263 |
|
419. |
385600 |
Balvu |
Krišjāņu pagasts |
-1,264 |
|
420. |
786000 |
Rēzeknes |
Kantinieku pagasts |
-1,267 |
|
421. |
688000 |
Ludzas |
Ņukšu pagasts |
-1,270 |
|
422. |
605800 |
Krāslavas |
Grāveru pagasts |
-1,288 |
|
423. |
604400 |
Krāslavas |
Andzeļu pagasts |
-1,294 |
|
424. |
788800 |
Rēzeknes |
Silmalas pagasts |
-1,311 |
|
425. |
788000 |
Rēzeknes |
Pušas pagasts |
-1,322 |
|
426. |
686000 |
Ludzas |
Istras pagasts |
-1,337 |
|
427. |
608400 |
Krāslavas |
Piedrujas pagasts |
-1,340 |
|
428. |
385200 |
Balvu |
Briežuciema pagasts |
-1,342 |
|
429. |
604600 |
Krāslavas |
Asūnes pagasts |
-1,363 |
|
430. |
606800 |
Krāslavas |
Kalniešu pagasts |
-1,364 |
|
431. |
368000 |
Alūksnes |
Pededzes pagasts |
-1,378 |
|
432. |
444200 |
Daugavpils |
Ambeļu pagasts |
-1,391 |
|
433. |
386400 |
Balvu |
Lazdukalna pagasts |
-1,404 |
|
434. |
789000 |
Rēzeknes |
Sokolku pagasts |
-1,405 |
|
435. |
787200 |
Rēzeknes |
Mākoņkalna pagasts |
-1,432 |
|
436. |
785200 |
Rēzeknes |
Feimaņu pagasts |
-1,450 |
|
437. |
686400 |
Ludzas |
Lauderu pagasts |
-1,491 |
|
438. |
387800 |
Balvu |
Susāju pagasts |
-1,518 |
|
439. |
606200 |
Krāslavas |
Indras pagasts |
-1,530 |
|
440. |
609400 |
Krāslavas |
Šķeltovas pagasts |
-1,537 |
|
441. |
389200 |
Balvu |
Vecumu pagasts |
-1,648 |
|
442. |
685400 |
Ludzas |
Goliševas pagasts |
-1,695 |
|
443. |
688400 |
Ludzas |
Pasienes pagasts |
-1,701 |
|
444. |
689400 |
Ludzas |
Salnavas pagasts |
-1,713 |
|
445. |
684600 |
Ludzas |
Briģu pagasts |
-1,864 |
|
446. |
688600 |
Ludzas |
Pildas pagasts |
-1,885 |
|
447. |
384400 |
Balvu |
Baltinavas pagasts |
-1,972 |
Ministru kabineta
2008.gada 15.septembra noteikumiem Nr.730
|
Nr. |
Administratīvo teritoriju un teritoriālo vienību klasifikatora kods |
Rajons |
Teritorijas attīstības indekss |
|
1. |
800000 |
Rīgas |
1,924 |
|
2. |
960000 |
Valmieras |
0,651 |
|
3. |
740000 |
Ogres |
0,417 |
|
4. |
840000 |
Saldus |
0,185 |
|
5. |
420000 |
Cēsu |
0,166 |
|
6. |
900000 |
Tukuma |
0,143 |
|
7. |
320000 |
Aizkraukles |
0,122 |
|
8. |
880000 |
Talsu |
0,030 |
|
9. |
400000 |
Bauskas |
-0,024 |
|
10. |
540000 |
Jelgavas |
-0,069 |
|
11. |
940000 |
Valkas |
-0,084 |
|
12. |
460000 |
Dobeles |
-0,103 |
|
13. |
980000 |
Ventspils |
-0,122 |
|
14. |
560000 |
Jēkabpils |
-0,231 |
|
15. |
660000 |
Limbažu |
-0,298 |
|
16. |
500000 |
Gulbenes |
-0,328 |
|
17. |
700000 |
Madonas |
-0,434 |
|
18. |
620000 |
Kuldīgas |
-0,460 |
|
19. |
360000 |
Alūksnes |
-0,593 |
|
20. |
760000 |
Preiļu |
-0,652 |
|
21. |
640000 |
Liepājas |
-0,745 |
|
22. |
440000 |
Daugavpils |
-1,060 |
|
23. |
380000 |
Balvu |
-1,216 |
|
24. |
680000 |
Ludzas |
-1,287 |
|
25. |
600000 |
Krāslavas |
-1,321 |
|
26. |
780000 |
Rēzeknes |
-1,383 |
Ministru kabineta
2008.gada 15.septembra noteikumiem Nr.730
|
Nr. |
Plānošanas reģions |
Teritorijas attīstības indekss |
|
1. |
Rīgas reģions |
1,011 |
|
2. |
Kurzemes reģions |
-0,520 |
|
3. |
Zemgales reģions |
-0,574 |
|
4. |
Vidzemes reģions |
-0,851 |
|
5. |
Latgales reģions |
-1,341 |