
Ministru kabineta rīkojums Nr.542
Rīgā 2008.gada 4.septembrī (prot. Nr.61 36.§)
Par Emisijas kvotu sadales plānu 2008.–2012.gadam
1. Saskaņā ar likuma “Par piesārņojumu” 32.1 panta pirmo daļu apstiprināt Emisijas kvotu sadales plānu 2008.–2012.gadam (turpmāk – plāns).
2. Vides ministrijai iesniegt plānu apstiprināšanai Eiropas Komisijā.
3. Vides ministrijai iesniegt Eiropas Komisijā iesniegumu par dalībnieku vienpusēju iekļaušanu Eiropas Savienības emisijas kvotu tirdzniecības sistēmā 2008.–2012.gadā atbilstoši Eiropas Parlamenta un Padomes Direktīvas 2003/87/EK, ar kuru nosaka siltumnīcefekta radīto gāzu emisijas kvotu tirdzniecības sistēmu Kopienā un groza Padomes direktīvu 96/61/EK, 24.pantam.
4. Atzīt par spēku zaudējušu Ministru kabineta 2007.gada 17.decembra rīkojumu Nr.809 “Par Emisijas kvotu sadales plānu 2008.–2012.gadam” (Latvijas Vēstnesis, 2007, 203.nr.).
Ministru prezidents I.Godmanis
Vides ministrs R.Vējonis
Apstiprināts ar
Ministru kabineta
2008.gada 4.septembra rīkojumu Nr.542
Emisijas kvotu sadales plāns 2008.–2012.gadam
Satura rādītājs
Ievads
1. Kopējā emisijas kvotu daudzuma noteikšana
1.1. Latvijas starptautiskās saistības
1.2. Emisijas kvotu tirdzniecības sistēmas dalībnieki
1.3. Pieņēmumi kopējā emisijas kvotu daudzuma noteikšanai un aprēķina metodika
1.4. Pasākumi iekārtām, kas neveic likumā “Par piesārņojumu” 2.pielikumā minētās piesārņojošās darbības
1.5. Kioto protokola elastīgo mehānismu izmantošana
1.6. Normatīvie akti un politikas plānošanas dokumenti, kas ņemti vērā, nosakot emisijas kvotu apjomu
1.6.1. Likumi
1.6.2. Ministru kabineta noteikumi
1.6.3. Politikas plānošanas dokumenti
2. Emisijas kvotas nozaru un iekārtu līmenī 15
2.1. Aprēķinam izmantotā metodika
2.1.1. Iekārtu sadalījums pa nozaru grupām
2.1.2. Bāzes gada dati
2.1.3. Emisijas kvotu sadales nosacījumi
2.2. Emisijas kvotas nozaru līmenī
2.3. Emisijas kvotas iekārtu līmenī
2.4. Brīvprātīgie emisijas kvotu tirdzniecības sistēmas dalībnieki
2.5. Iepriekš veiktie siltumnīcefekta gāzu emisiju samazināšanas pasākumi
2.6. Procedūra, lai nodrošinātu, ka operatoriem netiek piešķirtas vairāk emisijas kvotu kā vajadzīgs
2.7. Iekārtu kopfondi
3. Jaunās iekārtas
3.1. Emisijas kvotu aprēķināšana jaunajām iekārtām
3.1.1. Metodika jaunas katlu mājas izbūves gadījumā
3.1.2. Metodika koģenerācijas stacijas izbūves gadījumā
3.1.3. Metodika kondensācijas stacijas izbūves gadījumā
3.1.4. Metodika jaunas rūpnieciskās ražotnes izbūves gadījumā
3.1.5. Metodika iekārtām, kas Plāna izstrādes laikā neatbilst likuma “Par piesārņojumu” 2.pielikumā minētiem ražošanas jaudas nosacījumiem, bet 2008.–2012.gadā – atbilst
3.1.6. Esošas iekārtas aizstāšana ar jaunu iekārtu
3.1.7. Iekārtas slēgšana un siltumnīcefekta gāzu emisijas atļaujas anulēšana
3.2. Siltumnīcefekta gāzu emisijas atļaujas
4. Sabiedriskā apspriešana
5. Iekārtu saraksts
Ievads
Lai sekmētu globālo klimata pārmaiņu novēršanu, īstenojot Eiropas Savienības normatīvajos aktos noteiktās prasības, Latvijai ir jāizstrādā emisijas kvotu sadales plāns (turpmāk – Plāns) katram Eiropas Savienības emisijas kvotu tirdzniecības sistēmas (turpmāk – ES ETS) periodam. Plāna izveide noteikta likumā “Par piesārņojumu” un tajā tiek iekļauti jautājumi par ES ETS dalībniekiem Latvijā, emisijas kvotu sadales principiem un paredzēto emisijas kvotu sadalījumu, ar sadali saistītiem normatīviem aktiem, politikas plānošanas dokumentiem un siltumnīcefekta gāzu (turpmāk – SEG) emisiju samazināšanas potenciālu. Pirmais ES ETS periods ilga no 2005.gada 1.janvāra līdz 2007.gada 31.decembrim, bet otrais periods, kuram sagatavots minētais dokuments, ilgst no 2008.gada 1.janvāra līdz 2012.gada 31.decembrim.
Latvijas sagatavotais Plāns1 Eiropas Kopienu komisijā (turpmāk – Komisija) tika iesniegts 2006.gada 16.augustā. Komisija 2006.gada 29.novembrī pieņēma lēmumu2 par Latvijas iesniegto Plānu, nosakot ikgadējo emisijas kvotu3 apjomu 3,283 miljonu apmērā. Ievērojot Komisijas lēmuma 3.panta nosacījumus par atļautajiem grozījumiem Plānā, Ministru kabinets 2006.gada 28.decembrī apstiprināja Plāna grozījumus4, nosakot ikgadējo emisijas kvotu apjomu 6,25 miljonu apmērā. Plāna grozījumi Komisijā tika iesniegti 2006.gada 29.decembrī. Komisija, izvērtējot Plāna grozījumus, 2007.gada 13.jūlijā pieņēma lēmumu5 par Latvijas iesniegtajiem grozījumiem Plānā, palielinot ikgadējo emisijas kvotu apjomu par 0,145 miljoniem, tādejādi nosakot, ka kopējais ikgadējais Latvijai atļautais emisijas kvotu apjoms Plānā minētajām iekārtām ir 3,428 miljoni. Ievērojot Komisijas iepriekš minētos lēmumus, Latvija izstrādāja Plāna grozījumus. Ministru kabinets 2007.gada 17.decembrī apstiprināja Plāna6 grozījumus, nosakot ikgadējo emisijas kvotu apjomu 3,428 miljonu apmērā. Iepriekš minētie Plāna grozījumi tika notificēti Eiropas Komisijā, kura veica iesniegto grozījumu pārbaudi. Latvija par pārbaudes rezultātiem tika informēta, saņemot Komisijas Vides ģenerāldirektorāta 2008.gada 30.maija vēstuli ENV/C2/IB/bm D(2008)7156 (turpmāk – vēstule). Vēstulē norādīts, ka Latvija ir veikusi visus nepieciešamos Plāna grozījumus. Vienlaikus vēstulē konstatēts, ka attiecībā uz emisijas kvotu sadali iekārtu līmenī Latvijai ir jāsamazina ikgadējais izsniedzamo emisijas kvotu daudzums par 0,029633 miljoniem, jo saskaņā ar Komisijas 2006.gada 29.novembra lēmuma 3.pantu7 pieļaujamais kopējais emisiju kvotu daudzums ir jāiedala “šajā plānā uzskaitītajām iekārtām un tirgus jaunpienācējiem”. Tas nozīmē, ka gadījumā, ja tiek samazināts iekārtu skaits, ko aptver ES ETS, atbilstoši jākoriģē arī kopējais piešķiramais emisijas kvotu daudzums. Tādejādi kopējais ikgadējais Latvijai atļautais emisijas kvotu apjoms ir 3,398 miljoni. Papildus tam vēstulē norādīts, ka kopējā Latvijas atļautajā emisijas kvotu daudzumā nav ietvertas emisijas kvotas trim brīvprātīgajiem ES ETS dalībniekiem, kas dalību sistēmā uzsāk tikai no 2008.gada 1.janvāra; attiecībā uz šīm iekārtām Latvija var ar īpašu iesniegumu lūgt Eiropas Komisijai piešķirt papildu emisijas kvotas.
Latvija ir uzsākusi tiesvedību par Komisijas 2007.gada 13.jūlija lēmuma atcelšanu. Ievērojot 2007.gada 31.jūlija Ministru kabineta sēdē lemto, Latvija 2007.gada 26.septembrī ir iesniegusi Eiropas Kopienu Pirmās instances tiesā (turpmāk – Tiesā) prasības pieteikumu par šī Komisijas lēmuma atcelšanu. Tiesas paziņojums par Latvijas prasību publicēts ES Oficiālajā Vēstnesī 2007.gada 10.novembrī (lieta Nr. T–369/07). Tiesa ir noraidījusi Latvijas prasību izskatīt lietu paātrinātā procesā, tādējādi paredzams, ka tiesvedība ilgs vismaz 2 gadus. Šobrīd ir noslēgusies tiesvedības rakstiskā daļa, kuras laikā veikta rakstiska viedokļu apmaiņa (replikas) starp Latviju un Komisiju. Tiesa var pasludināt Komisijas lēmumu par spēkā neesošu vai arī noraidīt Latvijas prasību. Ja lēmums tiktu pasludināts par spēkā neesošu, Komisijai būtu pienākums veikt jaunu Latvijas iesniegtā emisiju kvotu sadales plāna izvērtējumu un pieņemt jaunu lēmumu. Tomēr uzsāktā tiesvedība, atbilstoši Eiropas Kopienas dibināšanas līguma 242.pantam, neaptur Komisijas lēmuma spēkā esamību un piemērošanu. Tādējādi, lai nodrošinātu ES ETS darbības nepārtrauktību Latvijā, ir nepieciešams veikt grozījumus Plānā, nosakot emisijas kvotu sadali atbilstoši Komisijas 2007.gada 13.jūlija lēmumā un Komisijas Vides ģenerāldirektorāta 2008.gada 30.maija vēstulē noteiktajam kopējam emisijas kvotu daudzumam, t.i., ikgadēji 3,398 miljoni emisijas kvotas.
Plāna saturs veidots saskaņā ar
Komisijas 2004.gada 7.janvāra paziņojumu COM
(2003) 830 final8 un Komisijas 2005.gada
22.decembra paziņojumu COM(2005) 703 final9.
Papildus tam, Plāns sagatavots, ievērojot Komisijas 2006.gada
29.novembra paziņojumu Padomei un Eiropas Parlamentam
COM(2006) 725 final10, Komisijas lēmumus
(skatīt 2. un 5.parindi) un vēstuli par Latvijas iesniegto Plānu
un tā grozījumiem.
Plāns izstrādāts, pamatojoties uz Ministru kabinetā 2007.gada 12.novembrī apstiprināto rīkojumu Nr.699 “Par Koncepcijas par rīcības variantiem emisijas kvotu sadalei 2008.–2012.gada periodā”. Šīs koncepcijas mērķis bija nodrošināt pārdomāta, ekonomiski pamatota lēmuma pieņemšanu jautājumā par principiem, uz kuriem balstīsies grozījumi Plānā, piedāvājot risinājuma variantus emisijas kvotu sadalei.
1. Kopējā emisijas kvotu daudzuma noteikšana
1.1. Latvijas starptautiskās saistības
Latvijas Republikas Saeima 1995.gadā ratificēja Apvienoto Nāciju Organizācijas Vispārējo konvenciju par klimata pārmaiņām un 2002.gadā šīs konvencijas Kioto protokolu, tādējādi uzņēmās pildīt virkni saistības. Atbilstoši Kioto protokolam, Latvijai individuāli vai kopīgā rīcībā ar citām valstīm laika posmā no 2008. līdz 2012.gadam jāpanāk SEG emisiju samazinājums par 8%, salīdzinot ar emisiju apjomu 1990.gadā.
1990.gadā Latvija emitēja 25,909 milj. tonnu oglekļa dioksīda (turpmāk – CO2) ekvivalentu11. Tas nozīmē, ka lai pildītu Kioto protokolā noteiktās saistības, Latvija laikposmā no 2008.–2012.gadam ik gadu nedrīkst emitēt vairāk par 23,836 milj. tonnām CO2 ekvivalentu.
Kopējais SEG emisiju daudzums 2005.gadā Latvijā bija 10,880 milj. tonnu CO212. Iekārtas, kas iesaistītas ES ETS pirmajā periodā, 2005.gadā emitēja 2,854 milj. tonnu CO213 (energoapgādes iekārtas – 1,922 milj. tonnu CO2; pārējās sadedzināšanas iekārtas – 0,179 milj. tonnu CO2 un rūpniecības iekārtas – 0,753 milj. tonnu CO2), kas kopā veido 26% no kopējā SEG emisijas apjoma valstī.
2005.gadā izstrādātās SEG emisiju prognozes14 rāda, ka Latvija varēs izpildīt Kioto protokolā emisiju samazināšanas saistības – 2010.gadā prognozētais SEG emisiju apjoms Latvijā varētu būt pat par 40% zemāks nekā 1990.gadā (skatīt 1.attēlu), pie nosacījuma, ka:
• tiek ieviesti apstiprinātie politikas dokumenti un tiesību akti klimata pārmaiņu jomā (īpaši attiecībā uz atjaunojamo energoresursu izmantošanas veicināšanu, biodegvielas ražošanu un izmantošanas veicināšanu, energoresursu efektīvu un racionālu izmantošanu, kūtsmēslu krātuvju sakārtošanu, mūsdienu prasībām atbilstošu sadzīves atkritumu apsaimniekošanas sistēmas izveidi, lauksaimniecībā neizmantoto zemju apmežošanu);
• netiek attīstīta kāda jauna energoietilpīga rūpniecības nozare, kas varētu būtiski palielināt prognozēto SEG emisiju apjomu.
1.attēls. Kopējā formā izteiktās SEG emisijas 2000.–2020.gadā, tūkst. tonnas CO2 ekvivalentu
Avots: Klimata pārmaiņu samazināšanas programma 2005.–2010.gadam un jaunākie komercsabiedrību un valsts institūciju dati, kuri koriģē emisiju prognozes
1.2. Emisijas kvotu tirdzniecības sistēmas dalībnieki
Likums “Par piesārņojumu” nosaka, ka ES ETS obligāti jāpiedalās individuālajiem komersantiem vai komercsabiedrībām, kas veic šādas piesārņojošas darbības:
1. enerģētikā:
1.1. sadedzināšanas iekārtas, kuru nominālā ievadītā siltuma jauda pārsniedz 20 megavatus, izņemot bīstamo atkritumu vai sadzīves atkritumu sadedzināšanas iekārtas;
1.2. minerāleļļas attīrīšanas un rafinēšanas iekārtas;
1.3. koksa krāsnis;
2. melno metālu ražošanā un apstrādē:
2.1. iekārtas metālu rūdu, arī sulfīdu rūdu, apdedzināšanai un kausējumu iegūšanai;
2.2. iekārtas čuguna vai tērauda pirmreizējai vai atkārtotai kausēšanai, ieskaitot nepārtraukto izliešanu, kuru jauda pārsniedz 2,5 tonnas stundā;
3. minerālu izstrādājumu ražošanā:
3.1. iekārtas klinkera cementa ražošanai rotācijas krāsnīs, kuru ražošanas jauda pārsniedz 500 tonnas produkcijas dienā, vai iekārtas kaļķu ražošanai rotācijas krāsnīs, kuru ražošanas jauda pārsniedz 50 tonnas produkcijas dienā, vai citu veidu krāsnis kaļķu ražošanai, kuru ražošanas jauda pārsniedz 50 tonnas produkcijas dienā;
3.2. iekārtas stikla, arī stikla šķiedras, ražošanai, kuru kausēšanas jauda pārsniedz 20 tonnas dienā;
3.3. iekārtas apdedzināto māla izstrādājumu, arī jumta kārniņu, ķieģeļu, ugunsizturīgo ķieģeļu, flīžu, krāsns podiņu vai porcelāna, ražošanai, kuru ražošanas jauda pārsniedz 75 tonnas gatavās produkcijas dienā vai kuru apdedzināšanas krāsns tilpums ir lielāks par 4 kubikmetriem un apdedzināšanas krāsnī var ievietot vairāk nekā 300 kilogramu produkcijas uz vienu krāsns kubikmetru;
4. citās nozarēs:
4.1. iekārtas celulozes ražošanai no koksnes vai citām šķiedrvielām;
4.2. iekārtas papīra vai kartona ražošanai, kuru ražošanas jauda pārsniedz 20 tonnas produkcijas dienā.
Atbilstoši Latvijas Republikas normatīvo aktu prasībām, ES ETS var brīvprātīgi iesaistīties arī tie Latvijas individuālie komersanti vai komercsabiedrības, kuras veic likuma “Par piesārņojumu” 2.pielikumā minētās piesārņojošās darbības, bet zem pielikumā minēto ražošanas jaudu robežas. Plašāku informāciju par brīvprātīgu dalību ES ETS skatīt Plāna 2.4.apakšnodaļā.
Plānā tiek ņemtas vērā tikai CO2 emisijas no augstāk minēto iekārtu grupām.
1.3. Pieņēmumi kopējā emisijas kvotu daudzuma noteikšanai un aprēķina metodika
Komisija 2006.gada 29.novembrī pieņēma lēmumu Nr. K(2006) 561215, kurā noteikts Latvijas kopējais atļautais emisijas kvotu apjoms – 3,283303 milj. gadā. Šis apjoms aprēķināts ar Komisijas izstrādātu metodiku, kuras pamatā ir ES ETS iekārtu faktiskās emisijas 2005.gadā, kā arī ņemts vērā iekšzemes kopprodukta pieaugums (IKP), oglekļa intensitātes samazinājums tautsaimniecībā un papildu emisijas no iekārtām, kas ietvertas, precizējot sadedzināšanas iekārtu definīciju16.
Papildus šim lēmumam, 2007.gada 13.jūlijā Komisija pieņēma lēmumu Nr. K(2007) 340917, ar kuru ikgadējais emisijas kvotu apjoms tiek palielināts par 0,144813 miljoniem. Vienlaikus Komisijas Vides ģenerāldirektorāta 2008.gada 30.maija vēstulē ENV/C2/IB/bm D(2008)7156 noteikts, ka izsniedzamo emisijas kvotu ikgadējais daudzums jāsamazina par 0,029633 miljoniem, jo saskaņā ar Komisijas 2006.gada 29.novembra lēmuma 3.pantu pieļaujamais kopējais emisiju kvotu daudzums ir jāiedala “šajā plānā uzskaitītajām iekārtām un tirgus jaunpienācējiem”. Tas nozīmē, ka gadījumā, ja tiek samazināts iekārtu skaits, ko aptver ES ETS, atbilstīgi jākoriģē arī kopējais piešķiramais emisijas kvotu daudzums. Tādejādi kopējais ikgadējais Latvijai atļautais emisijas kvotu apjoms 2008.–2012.gadā ir 3,398483 miljoni.
Latvija neatbalsta Komisijas 2007.gada 13.jūlija lēmumu un 2007.gada 26.septembrī ir iesniegusi Eiropas Kopienu Pirmās instances tiesā prasības pieteikumu par šī lēmuma atcelšanu. Tomēr uzsāktā tiesvedība, atbilstoši Eiropas Kopienas dibināšanas līguma 242.pantam, neaptur Komisijas lēmumu spēkā esamību un piemērošanu. Tādēļ šajā plānā emisijas kvotu sadale balstīta uz Komisijas 2007.gada 13.jūlija lēmumā un Komisijas Vides ģenerāldirektorāta 2008.gada 30.maija vēstulē noteikto kopējo emisijas kvotu daudzumu, t.i., ikgadēji 3,398483 miljoni emisijas kvotas.
Kopējais ikgadējais emisijas kvotu apjoms Latvijai noteikts saskaņā ar šādu aprēķinu:
Emisijas kvotas = (2,854492 x 1,5 x 0,8006) 18 – 0,02963319 = 3,398483 milj.
kur:
2,854492 – 2005.gadā verificētās emisijas Latvijā,
1,5 – iekšzemes kopprodukta pieaugums 2005.–2010.gadā20,
0,8006 – oglekļa intensitātes samazinājuma faktors 2005.–2010.gadā21,
0,029633 – Komisijas noteiktais emisijas kvotu samazinājums
Tādējādi, starp esošajām iekārtām un jaunajām iekārtām, 2008.–2012.gada perioda piecos gados Latvija plāno sadalīt kopā 3,398483 x 5 = 16,992415 milj. emisijas kvotas.
Emisijas kvotas gan obligātajiem, gan brīvprātīgajiem ES ETS dalībniekiem tiks piešķirtas par brīvu.
Atbilstoši likuma “Par piesārņojumu” 32.3 panta desmitās daļas nosacījumiem, Ministru kabinets lems par darbībām ar emisijas kvotu atlikumu (starpība starp Plānā paredzētajām emisijas kvotām jaunajām iekārtām un šīm iekārtām piešķirtajām emisijas kvotām).
1.4. Pasākumi iekārtām, kas neveic likumā “Par piesārņojumu” 2.pielikumā minētās piesārņojošās darbības
Lai veicinātu klimata pārmaiņu samazināšanu, attīstītu tīru tehnoloģiju ieviešanu un plašāku dalību ES ETS, Dabas resursu nodokļa likumā iestrādāti nosacījumi par šā nodokļa piemērošanu CO2 emisijām no stacionārām tehnoloģiskām iekārtām, kas veic likuma “Par piesārņojumu” 2.pielikumā minētās piesārņojošās darbības (skatīt 1.2.apakšnodaļu), arī tādas piesārņojošās darbības, kurās ražošanas jauda vai saražotās produkcijas apjoms nepārsniedz likuma “Par piesārņojumu” 2.pielikumā minētos rādītājus. Tai pat laikā Dabas resursu nodokļa likums nosaka, ka nodokli par CO2 emisiju nemaksā no iekārtām, kuras operatoram izsniegta siltumnīcefekta gāzu emisijas atļauja, kā arī par emisiju, kas rodas, izmantojot atjaunojamos energoresursus un kūdru. Dabas resursu nodokļa likme par vienu CO2 emisijas tonnu noteikta 0,10 Ls līdz 2008.gada 30.jūnijam un 0,30 Ls – pēc 2008.gada 1.jūlija.
1.5. Kioto protokola elastīgo mehānismu izmantošana
Latvijai, kā Apvienoto Nāciju Organizācijas Vispārējās konvencijas Kioto protokola dalībvalstij, ir iespējas piedalīties protokolā paredzētajos elastīgajos mehānismos – kopīgi īstenojamos projektos, tīrās attīstības mehānismā un starptautiskajā emisiju tirdzniecībā. Ņemot vērā SEG emisiju prognozes 2008.–2012.gadam (skatīt 1.attēlu), Latvijai nav nepieciešams izmantot minētos mehānismus Kioto protokolā noteiktā SEG emisiju samazinājuma sasniegšanai, tādēļ patreiz valsts neplāno “emisiju tiesību” pirkšanu no citām valstīm. Tai pašā laikā normatīvie akti neaizliedz Latvijas uzņēmējiem piedalīties kopīgi īstenojamos projektos un tīrās attīstības mehānismā ārpus Latvijas.
Sakarā ar lielo investoru interesi par kopīgi īstenojamo projektu īstenošanu Latvijā, Latvijas Republikas valdība ir lēmusi par dalību šajos Kioto protokola elastīgajos mehānismos22, piesaistot papildu investīcijas SEG emisiju samazināšanā. Ir izveidota institucionālā sistēma projektu mehānismu īstenošanai Latvijā. Patlaban valstī tiek īstenots viens kopīgi īstenojamais projekts – Liepājas sadzīves atkritumu apsaimniekošanas projekts23. Tā kā šis projekts nerada ne tiešu, ne netiešu emisiju samazinājumu vai ierobežojumu ES ETS aptvertajās iekārtās, šī projekta īstenošanai Plānā nav ietverta atsevišķa emisijas kvotu rezerve saskaņā ar Eiropas Komisijas 2006.gada 13.novembra Lēmuma 2006/780/EK par izvairīšanos no siltumnīcefekta gāzu emisiju samazinājumu divkāršas uzskaites saskaņā ar Kopienas emisijas kvotu tirdzniecības sistēmu attiecībā uz Kioto protokola projektu aktivitātēm saskaņā ar Eiropas Parlamenta un Padomes Direktīvu 2003/87/EK 3.panta 1.daļu. 2008.–2012.gada periodā Latvijā nav paredzēts piešķirt emisiju samazināšanas vienības par emisiju samazinājumu vai ierobežojumu, ko ES ETS aptvertajās iekārtās radījuši kopīgi īstenojamie projekti, un uz Plāna iesniegšanas laiku Eiropas Komisijā nevienam šādam projektam nebija izsniegts apliecinājuma raksts. Tāpēc Plānā nav ietverta atsevišķa emisijas kvotu rezerve arī saskaņā ar Eiropas Komisijas 2006.gada 13.novembra Lēmuma 2006/780/EK 3.panta 2.daļu.
Ņemot vērā prognozēto SEG emisiju apjomu 2008.–2012.gadam, Latvijai ir lielas potenciālas iespējas piedalīties starptautiskajā emisiju tirdzniecībā kā “emisiju tiesību” pārdevējai. 2006.gada pavasarī Latvijas Republikas valdība ir lēmusi par iesaistīšanos šajā Kioto protokola elastīgajā mehānismā24. Šobrīd ir uzsākta atbilstošo normatīvo aktu izstrāde25, lai valsts varētu pilnvērtīgi izmantot starptautisko emisiju tirdzniecību klimata politikas mērķu sasniegšanai.
Atbilstoši likuma “Par piesārņojumu” 32.1 panta trešās daļas 13.punktam maksimālais emisijas samazināšanas vienību un sertificētu emisijas samazināšanas vienību daudzums, ko operatori drīkst izmantot ES ETS noteikts 10% apmērā no katrai iekārtai piešķirtā emisijas kvotu daudzuma. Šis apjoms noteikts, balstoties uz principu, ka Kioto protokola projektu mehānismu izmantošana var papildināt emisiju samazinājumu, kas sasniegts pašā valstī, kā arī ievērojot principu, ka emisiju samazinājums ES ETS aptvertajās iekārtās Latvijā ir prioritāte. Noteiktais ierobežojums tomēr dod iespēju uzņēmumiem, kas to vēlas, iesaistīties Kioto protokola projektu aktivitātēs citās valstīs. Emisijas samazināšanas vienību un sertificētu emisijas samazināšanas vienību apmaiņas kārtību nosaka Ministru kabineta 2008.gada 7.jūlija noteikumi Nr.510 “Kioto protokola projektu mehānismu īstenošanas kārtība”.
1.6. Normatīvie akti un politikas plānošanas dokumenti, kas ņemti vērā, nosakot emisijas kvotu apjomu
Emisijas kvotu daudzuma noteikšanā ir ņemti vērā šādi normatīvie akti un politikas dokumenti:
1.6.1. Likumi
1) Likums “Par piesārņojumu”
Viens no likuma “Par piesārņojumu” mērķiem ir samazināt siltumnīcefekta gāzu emisijas, ņemot vērā izmaksu efektivitāti, un nodrošināt Latvijas līdzdalību ES ETS. Likumā iestrādāti vispārēji ES ETS pamatnosacījumi – valsts iestāžu un iekārtu operatoru tiesības un pienākumi siltumnīcefekta gāzu emisijas atļaujas izsniegšanas procesā, gada pārskatu sagatavošana, emisijas kvotu sadales plāna sagatavošanas un apstiprināšanas kārtība, emisijas kvotu sadales principi, siltumnīcefekta gāzu emisijas vienību reģistra izveides un uzturēšanas nosacījumi, darbības ar emisijas kvotām, kā arī iekārtu kopfonda izveides nosacījumi. Likumā uzskaitītas piesārņojošas darbības, kurām nepieciešams saņemt siltumnīcefekta gāzu emisijas atļauju un tādējādi obligāti jāpiedalās ES ETS, kā arī paredz iespēju šajā sistēmā piedalīties brīvprātīgi. Likums nosaka kārtību, kādā tiek nodrošināta sabiedrības līdzdalība lēmumu pieņemšanā par emisijas kvotu sadali un piešķiršanu un siltumnīcefekta gāzu emisijas atļaujas izsniegšanu.
Detalizētus ES ETS ieviešanas nosacījumus regulē likumam “Par piesārņojumu” pakārtotie Ministru kabineta noteikumi:
– Ministru kabineta 2004.gada 22.aprīļa noteikumi Nr.400 “Siltumnīcefekta gāzu emisijas atļaujas pieteikšanas un izsniegšanas kārtība”,
– Ministru kabineta 2004.gada 3.augusta noteikumi Nr.661 “Kārtība, kādā notiek darbības ar emisijas kvotām un tiek veidoti iekārtu kopfondi” un
– Ministru kabineta 2004.gada 7.septembra noteikumi Nr.778 “Kārtība, kādā tiek veikts siltumnīcefekta gāzu emisiju monitorings, kā arī pārbaudīti un apstiprināti ikgadējie pārskati par siltumnīcefekta gāzu emisiju”.
2) Enerģētikas likums
Viens no Enerģētikas likuma mērķiem ir nodrošināt enerģijas lietotāju nepārtrauktu, drošu, kvalitatīvu apgādi ar enerģiju, dažādojot izmantojamā kurināmā veidus, palielinot energoapgādes drošumu un uzlabojot enerģijas sadali un piegādi.
Atbilstoši Enerģētikas likuma 51.pantam pašvaldības savas administratīvās teritorijas attīstības programmas ietvaros, ņemot vērā vides aizsardzības un kultūras pieminekļu aizsardzības noteikumus, kā arī vietējo energoresursu izmantošanas iespējas un, izvērtējot siltumapgādes drošumu un ilgtermiņa robežizmaksas, nosaka siltumapgādes attīstību un saskaņo to ar Sabiedrisko pakalpojumu regulēšanas komisiju.
3) Elektroenerģijas tirgus likums
Viens no Elektroenerģijas tirgus likuma mērķiem ir veicināt elektroenerģijas ražošanu, izmantojot atjaunojamos energoresursus. Likums nosaka arī pasākumus šādas elektroenerģijas ražošanas veicināšanai.
Elektroenerģijas tirgus likums paredz, ka elektroenerģijas ražotāji var iegūt tiesības obligātā iepirkuma ietvaros pārdot elektroenerģiju, kas ražota koģenerācijas procesā, kā arī elektroenerģiju, kas ražota, izmantojot atjaunojamos energoresursus, tādējādi veicinot koģenerācijas un atjaunojamo energoresursu izmantošanu elektroenerģijas ražošanā.
4) Ēku energoefektivitātes likums
Likuma mērķis ir veicināt ēku energoefektivitātes uzlabošanu. Likums nosaka tiesisko un organizatorisko pamatu ēku energosertifikācijai, kā arī valsts pārvaldes un pašvaldību institūciju kompetenci ēku energoefektivitātes jomā.
Attiecībā uz valsts pārvaldes institūciju kompetenci paredzēts, ka ēku energoefektivitātes uzlabošanas jomas vispārējo pārraudzību un koordināciju valstī veic Ekonomikas ministrija. Ekonomikas ministrija īsteno vienotas politikas un programmas izveidi, kā arī nodrošina sabiedrības informēšanu par ēkas energoefektivitātes prasībām un enerģijas taupības pasākumiem.
Likums nosaka, ka jaunbūvēm ar kopējo platību virs 1000 m2, uzsākot projektēšanas darbus, kā alternatīvu risinājumu ir jāizvērtē uz atjaunojamiem resursiem balstītas decentralizētas energoapgādes sistēmas, koģenerācijas sistēmas, lokālās apkures, dzesēšanas sistēmas vai siltumsūkņa lietošana.
Ja ēkā ir apkures katls ar nominālo jaudu virs 20 kW vai apkures sistēma, kas vecāka par 15 gadiem, tiks novērtēta katla efektivitāte un doti ieteikumi par apkures katlu nomaiņu vai citām izmaiņām apkures sistēmā un alternatīviem risinājumiem, lai samazinātu enerģijas patēriņu un CO2 emisiju daudzumu.
1.6.2. Ministru kabineta noteikumi
Ministru kabineta 2002.gada 9.jūlija noteikumi Nr.294 “Kārtība, kādā piesakāmas A, B un C kategorijas piesārņojošas darbības un izsniedzamas atļaujas A un B kategorijas piesārņojošo darbību veikšanai”
Noteikumi nosaka atļauju iesniegumu iesniegšanas un saņemšanas nosacījumus, ietverot maksimālā kurināmā patēriņa limitu iekārtā. Šis nosacījums ir ņemts vērā, aprēķinot emisijas kvotas esošajām iekārtām un emisijas kvotu rezerves apjomu jaunām iekārtām.
1.6.3. Politikas plānošanas dokumenti
1) Pamatnostādnes “Tautsaimniecības vienotā stratēģija” (apstiprinātas ar Ministru kabineta 2004.gada 18.augusta rīkojumu Nr.568)
Pamatnostādnes definē valsts politiku stabilas, sabalansētas un ilgtspējīgas izaugsmes nodrošināšanai, vienotā sistēmā sasaistot ilgtermiņa ekonomiskos mērķus un prioritātes (10–30 gadiem) ar vidēja (5–10 gadiem) un īstermiņa (1–3 gadiem) mērķiem un pasākumiem.
Pamatnostādņu “Tautsaimniecības vienotā stratēģija” dokumentā ir dots esošās ekonomiskās situācijas izvērtējums, definēti Latvijas ekonomiskās politikas stratēģiskie mērķi un to sasniegšanas izvērtējuma rādītāji, kā arī raksturoti politikas virzieni sabalansētas un ilgtspējīgas izaugsmes nodrošināšanai.
Kā viens no mērķiem ir izvirzīts ikgadējais iekšzemes kopprodukta pieauguma temps vidējā termiņā (līdz 2010.gadam) par 8%, ilgtermiņā (līdz 2030.gadam) par 5%.
2) Klimata pārmaiņu samazināšanas programma 2005.–2010.gadam (apstiprināta ar Ministru kabineta 2005.gada 6.aprīļa rīkojumu Nr.220).
Programmas mērķis ir sekmēt globālo klimata pārmaiņu novēršanu, realizējot pasākumus, kas vērsti uz koordinētu SEG emisiju samazināšanu un CO2 piesaistes palielināšanu, piedaloties Kioto protokolā paredzētajos elastīgajos mehānismos, piesaistot investīcijas SEG emisiju samazinošiem projektiem un atbalstot citu ekonomiski pamatotu starptautisko sadarbību SEG emisiju samazināšanā.
Programmā noteiktas pašreiz jaunākās SEG emisijas prognozes līdz 2020.gadam, kuras ņemtas vērā emisijas kvotu daudzuma aprēķinā. Programmā apkopotas esošā un plānotā politika un pasākumi tautsaimniecības nozarēs, kas emitē SEG vai piesaista CO2.
3) Enerģētikas attīstības pamatnostādnes 2007.–2016.gadam (apstiprinātas ar Ministru kabineta 2006.gada 1.augusta rīkojumu Nr.571).
Enerģētikas attīstības pamatnostādnes 2007.–2016.gadam ir politikas plānošanas dokuments, kas nosaka Latvijas valdības politikas pamatprincipus, mērķus un rīcības virzienus enerģētikā turpmākajiem desmit gadiem un iezīmē arī nozares ilgtermiņa attīstības virzienus.
Lai samazinātu atkarību no ārējiem energoresursu avotiem, šis dokuments paredz vairākas alternatīvas. Kā ticamākā alternatīva dabas gāzes izmantošanas samazinājumam elektroenerģijas ražošanā ir cietais kurināmais – ogles kombinācijā ar biomasu. 2011.–2012.gadā plānota jaunas ogļu kondensācijas stacijas būvniecība. Paredzētā kondensācijas stacijas jauda ir 400 MWel. Enerģētikas attīstības pamatnostādnēs 2007.–2016.gadam papildus paredzēta arī jaunas atomelektrostacijas būvniecība Lietuvā.
Dokuments nosaka, ka līdz 2016.gadam ir jāapgūst koģenerācijas potenciāls Latvijas lielākajās pilsētās (ieskaitot Rīgu) ar kopējo siltumslodzi aptuveni 300 MWth un pārējās Latvijas pilsētās – ar kopējo siltumslodzi aptuveni 100 MWth.
Paredzēts, ka sākot ar 2008.gadu energoefektivitātes pasākumu rezultātā primāro energoresursu patēriņam ir jāsamazinās par 1% gadā salīdzinot ar aprēķināto patēriņu bez efektivitātes pasākumu veikšanas, kas nosakāms izmantojot iepriekšējo 5 gadu vidējo energointensitātes rādītāju.
Izstrādājot Plānu, ir ņemti vērā visi augstākminētie un citi šajā dokumentā minētie prognožu dati.
4) Atjaunojamo energoresursu izmantošanas pamatnostādnes 2006.–2013.gadam (apstiprinātas Ministru kabineta 2006.gada 31.oktobra rīkojumu Nr.835)
Šis ilgtermiņa politikas plānošanas dokuments nosaka pamatprincipus, mērķus un rīcības virzienus atjaunojamo energoresursu izmantošanā Latvijā.
5) Latvijas rūpniecības attīstības pamatnostādnes (2004.–2013.) (apstiprinātas ar Ministru kabineta 2004.gada 25.februāra rīkojumu Nr.120)
Latvijas rūpniecības attīstības pamatnostādnes ir ilgtermiņa politikas plānošanas dokuments, kurā ir ietverti valsts politikas pamatprincipi, mērķi un prioritātes rūpniecības sektora konkurētspējas veicināšanai.
6) “Latvijas Nacionālais attīstības plāns 2007.–2013.gadam” (Ministru kabineta 2006.gada 4.jūlija noteikumi Nr.564).
Nacionālais attīstības plāns ir viens no būtiskākajiem vidēja termiņa valsts attīstības plānošanas dokumentiem, kura uzdevums ir koncentrēt sabiedrības uzmanību uz nepieciešamību nodrošināt darbību koordināciju un sabalansētību valsts attīstības mērķu sasniegšanai un tam nepieciešamo priekšnosacījumu radīšanai. NAP, kā viens no prioritāšu risināmajiem uzdevumiem, ir noteikts – pievērst īpašu uzmanību ekonomiskam enerģētisko resursu un izejvielu patēriņam ražošanas uzņēmumos “tīrākas ražošanas” principu un labāko pieejamo tehnoloģiju ieviešanai, lai samazinātu ražošanas procesu un ražoto produktu nelabvēlīgo ietekmi uz vidi un cilvēku veselību.
7) Koncepcija par rīcības variantiem emisijas kvotu sadalei 2008.–2012.gada periodā (apstiprināta ar Ministru kabineta 2007.gada 12.novembra rīkojumu Nr.699).
Koncepcijas mērķis ir nodrošināt pārdomāta, ekonomiski pamatota lēmuma pieņemšanu jautājumā par principiem, uz kuriem balstīsies grozījumi Emisijas kvotu sadales plānā 2008.–2012.gadam. Koncepcijā piedāvāti 6 risinājuma varianti emisijas kvotu sadalei, un tie savstarpēji salīdzināti un analizēti pēc to sociālekonomiskās ietekmes, inflācijas palielināšanās, ietekmes uz dažādu preču, pakalpojumu cenu kāpumu. Scenāriju veidošanā piemēroti vairāki emisijas kvotu sadales nosacījumi, uz kuriem balstīta šajā Plānā minētā emisijas kvotu sadale nozaru un iekārtu līmenī.
Ministru kabinets apstiprināja 6.rīcības variantu, nosakot atbilstošus emisijas kvotu sadales nosacījumus esošam un jaunām iekārtām (vairāk skatīt Plāna 2.nodaļā).
2. Emisijas kvotas nozaru un iekārtu līmenī
2.1. Aprēķinam izmantotā metodika
Emisijas kvotu sadalē nozaru un iekārtu līmenī ievēroti Koncepcijā par rīcības variantiem emisijas kvotu sadalei 2008.–2012.gada periodā26 (turpmāk – Koncepcija) noteiktie emisijas kvotu sadales nosacījumi:
2.1.1. Iekārtu sadalījums pa nozaru grupām
Visas Plānā minētās iekārtas iedalītas šādās nozaru grupās:
1) enerģētika. Šajā grupā ietvertas iekārtas, kuru pamatdarbība ir siltumenerģijas vai siltumenerģijas un elektroenerģijas ražošana;
2) rūpniecība. Šī grupa aptver iekārtas, kas veic piesārņojošas darbības kādā no likuma “Par piesārņojumu” 2.pielikuma 2., 3., un 4.daļā minētajām darbībām (piemēram, klinkera, keramikas produktu, tērauda u.c. ražošanas iekārtas), kā arī sadedzināšanas iekārtas, kas saražoto siltumenerģiju izmanto produkcijas ražošanas vajadzībām (piemēram, piena pārstrādes, tekstilrūpniecības, kokapstrādes u.c. uzņēmumi);
3) jaunās iekārtas. Šajā grupā ietilpst tās patlaban zināmās un potenciālās iekārtas, kas dalību sistēmā uzsākušas vai plāno uzsākt pēc 2006.gada 16.augusta. Šai iekārtu grupā ietilpst arī piesārņojošās darbības paplašināšanās gadījumi, t.i., papildu tehnoloģisku vienību, kas veic likumā “Par piesārņojumu” 2.pielikumā minētās piesārņojošās darbības, uzstādīšanu. Ir apzināts, ka ikgadējais jaunām iekārtām nepieciešamais emisijas kvotu apjoms ir 1,989 miljoni27 (2008.gadā – 1,379 milj., 2009.gadā – 1,983 milj., 2010.gadā – 2,167 milj., 2011.gadā – 2,202 milj. un 2012.gadā – 2,213 milj.).
2.1.2. Bāzes gada dati
Emisijas kvotu sadale esošām iekārtām balstīta uz bāzes gada datiem. Ar šo terminu saprotamas ES ETS dalībnieku vidēji aritmētiskās 2005.–2006.gada verificētās emisijas, kuras koriģētas, izmantojot labāko pieejamo informāciju, šādos gadījumos:
1) iekārta dalību sistēmā uzsākusi pēc 2005.gada 1.janvāra. Šajā gadījumā vidēji aritmētiskās 2005.–2006.gada verificētās emisijas neatspoguļo patieso iekārtas darbībai nepieciešamo emisijas kvotu apjomu (aprēķini par nepilniem 2 gadiem), tādēļ par bāzes gada datiem tiek izmantoti iekārtas 2006.gada verificētie emisiju dati;
2) iekārta dalību sistēmā uzsākusi pēc 2006.gada 1.janvāra. Šajā gadījumā vidēji aritmētiskās 2005.–2006.gada verificētās emisijas neatspoguļo patieso iekārtas darbībai nepieciešamo emisijas kvotu apjomu (aprēķini par nepilniem 2 gadiem), tādēļ par bāzes gada datiem tiek izmantots iekārtas reālais (monitoringa dati) emitētais CO2 emisiju apjoms pēc iekārtas operatora izvēles viena kalendārā gada periodā pēc 2006.gada 1.janvāra (piemēram, 2006.gada 1.jūnijs –2007.gada 31.maijs);
3) iekārta nav ETS dalībnieks 2005.–2007.gada periodā, bet vēlas brīvprātīgi iesaistīties ETS no 2008.gada 1.janvāra. Šai iekārtai nav 2005. un 2006.gada verificēto emisiju datu, tādēļ par bāzes gada datiem tiek izmantotas iekārtas vidēji aritmētiskās 2005.–2006.gada CO2 emisijas (iekārtas operatora sniegtā informācija, t.sk., iesniegums siltumnīcefekta gāzu emisijas atļaujas saņemšanai 2008.–2012.gada periodā);
4) iekārta paplašinājusi esošo piesārņojošo darbību laikposmā līdz 2005.gada 31.decembrim. Šajā gadījumā vidēji aritmētiskās 2005.–2006.gada verificētās emisijas neatspoguļo patieso iekārtas darbībai nepieciešamo emisijas kvotu apjomu (aprēķini par nepilniem 2 gadiem), tādēļ par bāzes gada datiem tiek izmantoti 2006.gada verificētie dati;
5) iekārta paplašinājusi esošo piesārņojošo darbību laikposmā no 2006.gada 1.janvāra līdz 2006.gada 16.augustam. Šajā gadījumā vidēji aritmētiskās 2005.–2006.gada verificētās emisijas neatspoguļo patieso iekārtas darbībai nepieciešamo emisijas kvotu apjomu (aprēķini par nepilniem 2 gadiem), tādēļ par bāzes gada datiem tiek izmantoti iekārtas reālais (monitoringa dati) emitētais CO2 emisiju apjoms pēc iekārtas operatora izvēles viena kalendārā gada periodā pēc 2006.gada 1.janvāra (piemēram, 2006.gada 1.jūnijs –2007.gada 31.maijs);
6) iekārta pārtrauc dalību ES ETS no 2008.gada 1.janvāra. Tādejādi tiek koriģēts (samazināts) nozares, kurai pieskaitāma šī iekārta, kopējais bāzes gada emisijas apjoms;
7) iekārtā netiek turpināta cukura ražošana 2008.–2012.gada periodā. Šajā gadījumā par bāzes gada datiem tiek izmantotas iekārtas vidēji aritmētiskās 2005.–2006.gada verificētās emisijas, tām atņemot šajos gados cukura ražošanas procesā emitēto CO2 apjomu. Tādejādi tiek koriģēts (samazināts) nozares, kurai pieskaitāma šī iekārta, kopējais bāzes gada emisijas apjoms.
2.1.3. Emisijas kvotu sadales nosacījumi
Emisijas kvotu sadales nosacījumi nozaru un iekārtu līmenī noteikti atbilstoši Koncepcijai un Ministru kabineta atbalstītajam 6.rīcības variantam:
ü esošo rūpniecības iekārtu izaugsme 2008.–2012.gada periodā 6% apmērā, salīdzinot ar bāzes gada datiem;
ü emisiju samazinājums esošām enerģētikas iekārtām par 20%, salīdzinot ar bāzes gada datiem;
ü jauno iekārtu rezerve – starpība starp Komisijas piešķirto apjomu (ikgadēji 3,398483 miljoni) un esošām iekārtām piešķiramo apjomu, ņemot vērā piemēroto emisiju pieaugumu (rūpniecības iekārtu gadījumā) un samazinājumu (enerģētikas iekārtu gadījumā);
Papildus augstāk minētiem nosacījumiem, attiecībā uz emisijas kvotu piešķiršanu no jauno iekārtu rezerves piemērojami papildu nosacījumi, kas nodrošina jauno iekārtu rezerves pieejamību iespējami lielākam jauno iekārtu skaitam, t.i., vienai iekārtai tiek piešķirts:
1) ne vairāk kā 80% no iekārtai nepieciešamā emisijas kvotu apjoma un
2) ne vairāk kā 45% (rūpniecības iekārtas gadījumā) vai 20% (enerģētikas iekārtas gadījumā) no kopējā jauno iekārtu rezerves apjoma.
2.2. Emisijas kvotas nozaru līmenī
Kopējā apjoma sadalījums pa nozarēm veikts, summējot emisijas kvotu apjomu, kas aprēķināts šīs nozares iekārtām, ņemot vērā iekārtas bāzes gada datus un nozarei noteikto emisiju pieaugumu vai samazinājumu, salīdzinot ar bāzes gada datiem.
Detalizētāks emisijas kvotu sadalījums starp esošajām un jaunajām iekārtām uzrādīts 1.tabulā:
1.tabula
Emisijas kvotu sadalījums 2008.–2012.gada periodā
|
Vidēji gadā 2008.–2012.gada periodā (milj.) |
KOPĀ 2008.–2012.gada periodā (milj.) |
|
|
PAVISAM KOPĀ, |
3,398483 |
16,992415 |
|
Enerģētika |
1,576935 |
7,884675 |
|
Rūpniecība |
1,020809 |
5,104045 |
|
Jaunās iekārtas |
0,800739 |
4,003695 |
2.3. Emisijas kvotas iekārtu līmenī
Ikgadējais emisijas kvotu apjoms katrai Plānā iekļautajai iekārtai aprēķināts, izmantojot 1.vienādojumu:
EQ = A x B [1]
kur
EQ – emisijas kvotas;
A – iekārtas bāzes gada dati;
B – attiecīgajai nozarei noteiktais emisiju pieaugums vai samazinājums, salīdzinot ar bāzes gada datiem28.
Emisijas kvotu kopējais apjoms 2008.–2012.gada periodā aprēķināts, reizinot ikgadējo emisijas kvotu apjomu ar pieci.
Tām iekārtām vai to daļām, kas darbību ir uzsākušas pēc Emisijas kvotu sadales plāna 2008.–2012.gadam iesniegšanas Eiropas Komisijā, t.i., 2006.gada 16.augusta, emisijas kvotas tiks piešķirtas no emisijas kvotu rezerves pēc Plāna 3.nodaļā aprakstītās metodikas.
2.4. Brīvprātīgie emisijas kvotu tirdzniecības sistēmas dalībnieki
Saskaņā ar likumu “Par piesārņojumu”, ES ETS var piedalīties arī tās iekārtas, kuras veic likuma “Par piesārņojumu” 2.pielikumā minētās piesārņojošās darbības, kuru ražošanas jauda vai saražotais produkcijas apjoms nepārsniedz likuma “Par piesārņojumu” 2.pielikumā minētos rādītājus.
Uz brīvprātīgajiem ES ETS dalībniekiem attiecas tādi paši emisijas kvotu sadales, siltumnīcefekta gāzu emisijas monitoringa un ziņošanas nosacījumi, kādi attiecināmi uz obligātajiem sistēmas dalībniekiem.
Plānā ir iekļauti 6 brīvprātīgie operatori, kas savu dalību ES ETS uzsāka 2005.–2007.gada periodā un to turpinās 2008.–2012.gada periodā. Šo iekārtu saraksts sniegts Plāna 2.tabulā.
Uzsākt brīvprātīgu dalību ES ETS 2008.–2012.gada periodā vēlas trīs brīvprātīgas iekārtas. Šo iekārtu uzskaitījums sniegts Plāna 3.tabulā. Minētām trim iekārtām emisijas kvotas tiks piešķirtas pēc Eiropas Komisijas lēmuma par iekārtu iekļaušanu ES ETS. Attiecībā uz šīm iekārtām Latvija iesniegs īpašu iesniegumu (iesnieguma iesniegšanu nosaka Eiropas Parlamenta un Padomes direktīvas 2003/87/EK, ar kuru nosaka siltumnīcefekta radīto gāzu emisijas kvotu tirdzniecības sistēmu Kopienā un groza Padomes direktīvu 96/61/EK, 24.pants). lūdzot piešķirt papildu emisijas kvotas saskaņā ar Plāna 3.tabulā norādīto emisijas kvotu apjomu.
2.5. Iepriekš veiktie siltumnīcefekta gāzu emisiju samazināšanas pasākumi
Aprēķinot emisijas kvotu apjomu, operatoriem netiek piešķirtas papildu emisijas kvotas par iepriekš veiktiem SEG emisiju samazināšanas pasākumiem.
2.6. Procedūra, lai nodrošinātu, ka operatoriem netiek piešķirtas vairāk emisijas kvotu kā vajadzīgs
Latvija ir mainījusi galvenos emisijas kvotu sadalīšanas metodikas pamatprincipus pēc Plāna iesniegšanas Eiropas Komisijai, emisijas kvotas iekārtām piešķirot pēc pēdējiem vidējiem darbības datu rādītājiem un nosakot stingrākus emisijas kvotu samazināšanas pasākumus, sevišķi energoapgādes iekārtām. Izaugsmes faktori atspoguļo vispārējās Latvijas attīstības tendences, kā arī atsevišķo apakšnozaru īpatsvaru un attīstības tempus pēdējos gados. Izmantojot jauno metodiku, Latvija ir palielinājusi emisijas kvotu piešķiršanas procedūras caurspīdīgumu un nodrošinājusi, ka operatoriem netiek piešķirtas vairāk emisijas kvotu kā vajadzīgs.
2.7. Iekārtu kopfondi
Likums “Par piesārņojumu” un Ministru kabineta 2004.gada 3.augusta noteikumi Nr.661 “Kārtība, kādā notiek darbības ar emisijas kvotām un tiek veidoti iekārtu kopfondi” nosaka iekārtu kopfondu izveidošanas kārtību. Par iekārtu kopfonda izveidi 2008.–2012.gada periodam operatori varēja lemt līdz 2007.gada 1.septembrim, kad iesniedzams iesniegums par iekārtu kopfonda izveidi.
Līdz 2007.gada 1.septembrim iesniegumi par šādu kopfondu izveidošanu netika saņemti.
3. Jaunās iekārtas
Latvija paredzējusi emisijas kvotu rezervi jaunām iekārtām, kas plāno savu darbību uzsākt laika periodā no Plāna iesniegšanas Eiropas Komisijā 2006.gada 16.augustā līdz 2012.gadam.
Kopējais jaunām iekārtām paredzētais emisijas kvotu apjoms aprēķināts saskaņā ar Plāna 2.1.3.apakšanodaļā noteiktiem nosacījumiem, t.i., jauno iekārtu rezerve ir starpība starp Komisijas piešķirto apjomu (ikgadēji 3,398483 milj.) un esošām iekārtām piešķiramo apjomu, ņemot vērā piemēroto emisiju pieaugumu (rūpniecības iekārtu gadījumā) un samazinājumu (enerģētikas iekārtu gadījumā). Kopējais emisijas kvotu rezerves apjoms jaunajām iekārtām sniegts 1.tabulā.
Saskaņā ar normatīvajos aktos noteiktajiem principiem, iekārtas darbību raksturojošo rādītāju izmantošana emisijas kvotu rezerves aprēķinā negarantē emisijas kvotu piešķiršanu konkrētajai iekārtai vai konkrētam operatoram. Atbilstoši likumam “Par piesārņojumu” emisijas kvotu apjomu jaunajai iekārtai nosaka Vides ministrija, pieņemot lēmumu par emisijas kvotu piešķiršanu operatoram, kurš saņēmis siltumnīcefekta gāzu emisijas atļauju. Emisijas kvotas tiks aprēķinātas, izmantojot Plānā, Ministru kabineta 2004.gada 7.septembra noteikumos Nr.778 “Kārtība, kādā tiek veikts siltumnīcefekta gāzu emisiju monitorings, kā arī pārbaudīti un apstiprināti ikgadējie pārskati par siltumnīcefekta gāzu emisiju” un Komisijas Lēmumā 2007/589/EK29 aprakstīto metodiku, ievērojot normatīvo aktu prasības ES ETS jomā.
Emisijas kvotas jaunajai iekārtai piešķir bez maksas no emisijas kvotu rezerves jaunām iekārtām. Uz emisijas kvotām no rezerves jaunās iekārtas pretendē tādā secībā, kādā tām izsniegtas siltumnīcefekta gāzu emisijas atļaujas 2008.–2012.gada periodam vai to grozījumi, kuros ietverta informācija par iekārtas darbības paplašināšanos. Ja atļaujas vai tās grozījumu izsniegšanas brīdī jauno iekārtu nav iespējams tehniski darbināt (iekārtas darbspēju apliecina operatora iesniegts apliecinājuma dokuments, piemēram, iekārtas pieņemšanas – nodošanas akts), iekārta zaudē vietu secībā, kādā tā pretendē uz emisijas kvotām. Līdz ar attiecīgu apliecinājuma dokumentu iesniegšanu Vides ministrijā šāda iekārta atkārtoti pretendē uz emisijas kvotām (šajā gadījumā secību, kādā iekārta pretendē uz emisijas kvotām nosaka datums, ar kādu iesniegts apliecinājuma dokuments). Gadījumā, ja emisijas kvotu rezerve būs izsmelta, jaunajām iekārtām emisijas kvotas būs jāpērk emisijas kvotu tirgū pēc vispārējiem tirgus nosacījumiem.
3.1. Emisijas kvotu aprēķināšana jaunajām iekārtām
Uz emisijas kvotu rezervi jaunām iekārtām varēs pieteikties tie operatori, kuri atbilst likumā “Par piesārņojumu” 32.2 panta ceturtās daļas nosacījumiem.
Lai saņemtu emisijas kvotas jaunai iekārtai, iesniegumam siltumnīcefekta gāzu emisijas atļaujas saņemšanai jāpievieno energoauditora30 (rūpniecības iekārtu gadījumā arī neatkarīga eksperta31) atzinums par jauno tehnoloģisko iekārtu, arī ražošanas iekārtu, atbilstību uzstādītajām jaudām, pieslēgtajiem patērētājiem un to darbības nodrošinājumu (līgumi ar patērētājiem, pieslēgumi tīkliem utt.), kā arī citi dokumenti, kas pamato iesniegumā norādīto informāciju.
Lēmumu par emisijas kvotu piešķiršanu jaunām iekārtām pieņem Vides ministrija, ņemot vērā šādus pamatnosacījumus, t.sk., likuma “Par piesārņojumu” 32.1 panta trešās daļas 3., 4., 8., 9. un 12.punktā minētos:
1) ievēro normatīvo aktu prasības, no kurām izriet siltumnīcefekta gāzu emisiju samazinājums vai palielinājums;
2) ievēro noteikumu, ka attiecīgajai iekārtai piešķirto emisijas kvotu skaits nedrīkst pārsniegt tai nepieciešamo daudzumu, ņemot vērā iekārtas potenciālu (tai skaitā tehnoloģisko potenciālu) siltumnīcefekta gāzu emisiju samazināšanā;
3) ietver informāciju par jau veiktajiem siltumnīcefekta gāzu emisiju samazināšanas pasākumiem, arī izmantojot labāko pieejamo tehnisko paņēmienu vadlīnijas A kategorijas iekārtām;
4) ņem vērā tīro tehnoloģiju, arī energoefektīvo tehnoloģiju ietekmi uz siltumnīcefekta gāzu emisiju;
5) neietver normas, kuras diskriminē uzņēmumus vai nozares, kā arī nosacījumus, kurus var atzīt par normatīvajiem aktiem neatbilstošu valsts atbalstu;
6) nepiešķir emisijas kvotas par to produkcijas (siltumenerģija, elektroenerģija vai cita produkcija) apjomu, kurš piešķirts esošai ES ETS iekārtai.
Emisijas kvotu aprēķiniem jaunajām iekārtām ir izstrādātas emisijas kvotu aprēķinu metodikas šādām jauno iekārtu grupām:
I. katlu mājas izbūves gadījumā;
II. koģenerācijas stacijas izbūves gadījumā;
III. kondensācijas stacijas izbūves gadījumā;
IV. jaunas rūpnieciskās ražošanas izveides gadījumā.
Papildus augstāk minētām metodikām ir aprakstīta metodika gadījumā, ja Plāna izstrādes laikā iekārta neatbilst likuma “Par piesārņojumu” 2.pielikumā minētiem ražošanas jaudas nosacījumiem, bet 2008.–2012.gadā, uzstādot papildu tehnoloģiskās iekārtas, – atbilst, un ja esoša iekārta (vai tās daļa) tiek slēgta vai tiek aizstāta ar jaunu iekārtu.
Jaunajām iekārtām piešķiramo emisijas kvotu apjomu nosaka atkarībā no plānotās ražošanas:
• katlu mājām:
– siltumenerģijas patērētājs,
• koģenerācijas stacijām:
– siltumenerģijas patērētājs un tehniskās iespējas elektroenerģijas ražošanai,
• kondensācijas stacijām:
– elektroenerģijas patērētājs,
• rūpnieciskām ražotnēm:
– produkcijas noieta tirgus.
Atbilstoši Plāna 2.1.3.apakšnodaļai, emisijas kvotas no jauno iekārtu rezerves tiek piešķirtas, piemērojot divus papildu nosacījumus – vienai iekārtai tiek piešķirts:
1) ne vairāk kā 80% no iekārtai nepieciešamā emisijas kvotu apjoma un
2) ne vairāk kā 45% (rūpniecības iekārtas gadījumā) vai 20% (enerģētikas iekārtas gadījumā) no kopējā jauno iekārtu rezerves apjoma.
Metodiku apraksti nepieciešamā emisijas kvotu apjoma aprēķināšanai doti Plāna 3.1.1.–3.1.7.apakšnodaļās.
3.1.1. Metodika jaunas katlu mājas izbūves gadījumā
Nepieciešamās emisijas kvotas jaunu katlu māju izbūves gadījumā aprēķina ar šādu vienādojumu:
..............Qkm∙R∙O∙0,0036
EQkm=————————, tCO2/gadā [2]
..............η∙(1–qsz)
kur
EQkm – emisijas kvotas jaunajai katlu mājai;
Qkm – prognozētais siltumenerģijas patēriņš, MWh / gadā
R – emisijas faktors, kas norādīts pēdējā Latvijas Vides, ģeoloģijas un meteoroloģijas aģentūras sagatavotajā ziņojumā par valsts kopējo SEG emisiju ANO Vispārējās konvencijas par klimata pārmaiņām sekretariātam (turpmāk – valsts ziņojums UNFCCC), t CO2/TJ;
O – oksidācijas faktors, kas norādīts pēdējā valsts ziņojumā UNFCCC;
η – katlu mājas lietderības koeficients (ja nav datu, tad pieņem 0,95, ja izmanto dabas gāzi vai dīzeļdegvielu, vai 0,9, ja izmanto citus kurināmā veidus);
qsz – siltuma zudumi siltuma tīklos (ārpus katlu mājas), pieņem ne lielāku par 0,1.
Prognozēto siltumenerģijas patēriņu nosaka, summējot katra pieslēgtā siltumenerģijas patērētāja ikgadējo patēriņu:
Qkm=Σ Qi, MWh/gadā, [2.1]
kur
Qi – katra siltumenerģijas patērētāja (ēkas vai tehnoloģijas) ikgadējais siltumenerģijas patēriņš, MWh/gadā.
Gadījumā, ja siltumenerģijas patērētājs ir ēkas, tad ikgadējo siltumenerģijas patēriņu nosaka ar vienādojumu:
..............F
Qi=q∙ ——, MWh/gadā, [2.2.a]
..............1000
kur
F – ēkas apsildāmā platība, m2;
q – īpatnējais siltumenerģijas patēriņš standarta klimatiskajos apstākļos, kWh/m2 gadā, kuru nosaka energoauditors. Ja nav pieejams energoauditora slēdziens, pieņem 100 kWh/m2 gadā jaunām ēkām un 150 kWh/m2 gadā esošām ēkām.
Gadījumā, ja siltumenerģijas patērētājs ir tehnoloģisks process (ieskaitot lauksaimniecisko ražošanu: piemēram, siltumnīcas), tad ikgadējo siltumenerģijas patēriņu nosaka ar vienādojumu:
Qi=b∙P, MWh/gadā, [2.2.b]
kur
P – saražotās produkcijas apjoms, t/gadā;
b – īpatnējais siltumenerģijas patēriņš uz produkcijas vienību, kuru izvērtē tirgus izpētes atskaitē (labākās pieejamās tehnoloģijas līdzīgām ražotnēm Eiropā) un apstiprina energoauditors, MWh/t.
Prognozētais produkcijas apjoms tiek noteikts, balstoties uz ar pircēju noslēgtajiem līgumiem un produkcijas noieta tirgus izpēti. To nosaka ar vienādojumu:
P=Pnosl + Ppar, t/gadā, [2.3]
kur
Pnosl – produkcijas apjoms, par kuru ar pircējiem ir noslēgti piegādes līgumi. Ja nav datu, tad pieņem 20% apmērā no maksimālā ražošanas apjoma (0,2∙Pmax), t/gadā;
Ppār – produkcijas apjoms, par kuru nav noslēgti piegādes līgumi, pieņem 10% apmērā no maksimālā ražošanas apjoma (0,1∙Pmax), t/gadā.
Prognozētais maksimālais produkcijas apjoms tiek noteikts atkarībā no iekārtas jaudas un darbības ilguma:
Pmax= U ∙ τ, t/gadā, [2.4]
kur
Pmax – maksimālais saražotās produkcijas apjoms, t/gadā,
U – tehnoloģisko iekārtu uzstādītā jauda, t/h,
τ – tehnoloģisko iekārtu darba stundu skaits gadā, h/gadā.
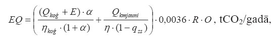
3.1.2. Metodika koģenerācijas stacijas izbūves gadījumā
Nepieciešamās emisijas kvotas jaunu koģenerācijas staciju izbūves gadījumā aprēķina ar šādu vienādojumu:
[3]
kur
Qkoģ – prognozētais siltumenerģijas patēriņš, MWh/ gadā
qsz – siltuma zudumi siltuma tīklos. Ja nav datu, tad pieņem ne lielāku par 10%)
E – saražotās elektroenerģijas daudzums, MWh/gadā
ηkoģ – koģenerācijas stacijas lietderības koeficients (ja nav datu, tad pieņem 0,8, ja izmanto ogles vai kūdru, vai 0,85, ja izmanto dabas gāzi vai dīzeļdegvielu).
Prognozēto siltumenerģijas patēriņu nosaka, summējot katra pieslēgtā siltumenerģijas patērētāja ikgadējo patēriņu:
Qkoģ= SQi, MWh/gadā, [3.1]
kur
Qi – katra siltumenerģijas patērētāja (ēkas, vai tehnoloģijas) ikgadējais siltumenerģijas patēriņš, MWh/gadā.
Gadījumā, ja siltumenerģijas patērētājs ir ēkas, tad ikgadējo siltumenerģijas patēriņu nosaka ar vienādojumu:
...............F
Qi=q ∙ —— , MWh/gadā, [3.2.a]
............1000
kur
F – ēkas apsildāmā platība, m2;
q – īpatnējais siltumenerģijas patēriņš standarta klimatiskajos apstākļos, kWh/m2 gadā, kuru nosaka energoauditors. Ja nav pieejams energoauditora slēdziens, pieņem 100 kWh/m2 gadā jaunām ēkām un 150 kWh/m2 gadā esošām ēkām.
Gadījumā, ja siltumenerģijas patērētājs ir tehnoloģisks process (ieskaitot lauksaimniecisko ražošanu: piemēram, siltumnīcas), tad ikgadējo siltumenerģijas patēriņu nosaka ar vienādojumu:
Qi=b ∙ P, MWh/gadā, [3.2.b]
kur
P – saražotās produkcijas apjoms, t/gadā;
b – īpatnējais siltumenerģijas patēriņš uz produkcijas vienību, kuru izvērtē tirgus izpētes atskaitē (labākās pieejamās tehnoloģijas līdzīgām ražotnēm Eiropā) un apstiprina energoauditors, MWh/t.
Prognozētais produkcijas apjoms tiek noteikts, balstoties uz ar pircēju noslēgtajiem līgumiem un produkcijas noieta tirgus izpēti. To nosaka ar vienādojumu:
P=Pnosl + Ppar, t/gadā, [3.3]
kur
Pnosl – produkcijas apjoms, par kuru ar pircējiem ir noslēgti piegādes līgumi. Ja nav datu, tad pieņem 20% apmērā no maksimālā ražošanas apjoma (0,2 ∙ Pmax), t/gadā;
Ppar –
produkcijas apjoms, par kuru nav noslēgti piegādes līgumi, pieņem
10% apmērā no maksimālā ražošanas apjoma
(0,1 ∙ Pmax), t/gadā.
Prognozētais maksimālais produkcijas apjoms tiek noteikts atkarībā no iekārtas jaudas un darbības ilguma:
Pmax= U ∙ τ, t/gadā, [3.4]
kur
Pmax – maksimālais saražotās produkcijas apjoms, t/gadā,
U – tehnoloģisko iekārtu uzstādītā jauda, t/h,
τ – tehnoloģisko iekārtu darba stundu skaits gadā, h/gadā.
Prognozēto saražoto elektroenerģijas daudzumu nosaka atkarībā no saražotās siltumenerģijas daudzuma un to apstiprina līgums ar elektroenerģijas pircēju:
E=a ∙ Qkģ, MWh/gadā, [3.5]
kur
α – saražotās elektroenerģijas un siltumenerģijas attiecība, kas ir atkarīga no koģenerācijas stacijas tehnoloģijas (ņem no iekārtu tehniskās dokumentācijas) un to slēdzienā apstiprina energoauditors.
Jaunajā koģenerācijas stacijā saražotās elektroenerģijas patēriņu liberalizēta elektroenerģijas tirgus gadījumā nosaka saskaņā ar parakstītiem komerclīgumiem ar patērētājiem, kuri iepirks elektroenerģiju, kas tiks ražota no jaunās koģenerācijas stacijas.
3.1.3. Metodika kondensācijas stacijas izbūves gadījumā
Nepieciešamās emisijas kvotas jaunu kondensācijas staciju izbūves gadījumā aprēķina ar šādu vienādojumu:
.............0,0036 ∙ E ∙ R ∙
O
EQkd=———————, tCO2/gadā [4]
.............η
kur
E – kondensācijas stacijā saražotās elektroenerģijas patēriņš, kuru liberalizēta elektroenerģijas tirgus gadījumā nosaka no parakstītiem komerclīgumiem ar patērētājiem, kuri iepirks elektroenerģiju, kas tiks ražota jaunajā kondensācijas stacijā, MWh/gadā;
h – lietderības koeficients (ja nav datu, tad ogļu vai kūdras izmantošanas gadījumā lietderības koeficientu pieņem 0,4 un dabas gāzes vai dīzeļdegvielas gadījumā – 0,5).
3.1.4. Metodika jaunas rūpnieciskās ražotnes izbūves gadījumā
Rūpniecības iekārtām nepieciešamās emisijas kvotas uz produkcijas vienību jaunas rūpniecības iekārtas izbūves gadījumā aprēķina saskaņā ar attiecīgajām metodikām, kuras uzrādītas Komisijas Lēmumā 2007/589/EK. Kopējo emisiju kvotu daudzumu nosaka ar šādu vienādojumu:
EQrupn=a∙k∙P+B ∙Qdz ∙R ∙O, t CO2/gadā, [5]
kur
P – saražotās produkcijas apjoms, t/gadā;
a – emisijas uz produkcijas vienību, kas aprēķinātas saskaņā ar Komisijas Lēmumā 2007/589/EK noteikto metodiku, tCO2/t;
k – koeficents, kas izsaka izejvielas daudzumu, kas patērēts vienas produkcijas vienības ražošanai;
B – kurināmā patēriņš gadā, t/gadā vai 1000 m3/gadā (atkarībā no kurināmā veida);
Qdz – zemākais sadegšanas siltuma faktors, kas norādīts pēdējā valsts ziņojumā UNFCCC, TJ/1000m3 vai TJ/t.
Prognozētais produkcijas apjoms tiek noteikts, balstoties uz ar pircēju noslēgtajiem līgumiem un produkcijas noieta tirgus izpēti. To nosaka ar vienādojumu:
P=Pnosl + Ppar, t/gadā, [5.1]
kur
Pnosl – produkcijas apjoms, par kuru ar pircējiem ir noslēgti piegādes līgumi. Ja nav datu, tad pieņem 20% apmērā no maksimālā ražošanas apjoma (0,2 ∙ Pmax), t/gadā;
Ppar –
produkcijas apjoms, par kuru nav noslēgti piegādes līgumi, pieņem
10% apmērā no maksimālā ražošanas apjoma
(0,1 ∙ Pmax), t/gadā.
Prognozētais maksimālais produkcijas apjoms tiek noteikts atkarībā no iekārtas jaudas un darbības ilguma:
Pmax= U ∙ τ, t/gadā, [5.2]
kur
Pmax – maksimālais saražotās produkcijas apjoms, t/gadā,
U – tehnoloģisko iekārtu uzstādītā jauda, t/h,
τ – tehnoloģisko iekārtu darba stundu skaits gadā, h/gadā.
3.1.5. Metodika iekārtām, kas Plāna izstrādes laikā neatbilst likuma “Par piesārņojumu” 2.pielikumā minētiem ražošanas jaudas nosacījumiem, bet 2008.–2012.gadā – atbilst
Iekārtām, kuras Plāna izstrādes laikā pēc jaudas nosacījumiem neatbilst likuma “Par piesārņojumu” nosacījumiem un tām Plānā nav atvēlētas emisijas kvotas, bet kas laika periodā līdz 2012.gada 31.decembrim palielina uzstādīto jaudu līdz tādam līmenim, ka iekārtai dalība ES ETS ir obligāta, emisijas kvotas aprēķina, piemērojot šādus principus:
1. emisijas kvotas esošajām iekārtas jaudām un ražošanas apjomiem tiek aprēķinātas, izmantojot 1.vienādojumu un 2.nodaļā aprakstītos emisijas kvotu sadales nosacījumus atkarībā no nozares, pie kuras ir pieskaitāma attiecīgā iekārta;
2. emisijas kvotas jaunajām iekārtas jaudām tiek aprēķinātas, izmantojot 3.nodaļā aprakstītos emisijas kvotu piešķiršanas principus atkarībā no nozares, pie kuras attiecīgā iekārta ir pieskaitāma.
3.1.6. Esošas iekārtas aizstāšana ar jaunu iekārtu
Šajā nodaļā aprakstīto aprēķinu metodiku piemēro gadījumā, ja esošu ES ETS iesaistītu iekārtu vai tās daļu (tehnoloģisku vienību) (turpmāk – aizstātā iekārta) aizstāj32 jauna iekārta, kura ir obligātais ES ETS dalībnieks.
Piešķirot emisijas kvotas jaunajai iekārtai, ievēro šādus pamatprincipus:
1. emisijas kvotas nepiešķir par to produkcijas (siltumenerģija, elektroenerģija vai cita produkcija) apjomu, kurš piešķirts un pārskaitīts uz aizstātās iekārtas operatora kontu siltumnīcefekta gāzu emisijas vienību reģistrā;
2. gadījumā, ja līdz ar iekārtas aizstāšanu nav paredzēts palielināt produkcijas ražošanas apjomu, piešķir emisijas kvotu daudzumu, kas vienāds ar aizstātajai iekārtai nepiešķirto emisijas kvotu daudzumu33;
3. papildus 2.pamatprincipam noteiktajam emisijas kvotu apjomam emisijas kvotas piešķir par produkcijas apjomu, kas pamatojams ar jauniem produkcijas ražošanas apjoma pieaugumiem (jauna apkurināmā platība, jauni elektroenerģijas, karstā ūdens vai tvaika patērētāji, produkcijas noieta tirgus paplašināšanās), kuru esamību pierāda noslēgtie piegādes līgumi un produkcijas noieta tirgus izpēte.
3.1.6.1. Katlu māja → katlu māja
Emisijas kvotas jaunajai iekārtai piešķir, ievērojot 3.1.6.apakšnodaļā minētos pamatprincipus.
Gadījumā, ja līdz ar iekārtas aizvietošanu plānots arī siltumenerģijas patēriņa pieaugums (jauna apkurināmā platība, jauni karstā ūdens vai tvaika patērētāji), tad emisijas kvotas siltumenerģijas patēriņa pieauguma daļai aprēķina saskaņā ar 3.1.1.apakšnodaļā aprakstīto metodiku.
3.1.6.2. Katlu māja → koģenerācijas iekārta
Gadījumā, ja jauna koģenerācijas iekārta aizvieto esošo katlu mājas iekārtu, pārņemot esošās iekārtas siltumenerģijas patērētājus un to enerģijas patēriņš nepieaug (piemēram, tiek uzbūvēta jauna koģenerācijas iekārta katlu mājā, kura apkalpo esošās katlu mājas siltumenerģijas patērētājus), jaunajai iekārtai piešķiramo emisiju kvotu daudzums tiek aprēķināts, balstoties uz principu, ka emisiju kvotas tiek piešķirtas tikai elektroenerģijas ražošanai, ņemot vērā elektroenerģijas un siltumenerģijas attiecību saskaņā ar jaunās iekārtas tehnisko dokumentāciju:
[6]
kur
Qkm jauni – jauno siltumenerģijas gala lietotāju siltumenerģijas patēriņu nosaka saskaņā ar 3.1.1.apakšnodaļā aprakstīto metodiku (skat. vienādojumus 2.1., 2.2a. 2.2b, 2.3. un 2.4.).
Gadījumā, ja līdz ar iekārtas aizvietošanu plānots arī siltumenerģijas patēriņa pieaugums, kas saistīts ar jauniem patērētājiem (jauna apkurināmā platība, jauni karstā ūdens vai tvaika patērētāji), tad paredzamais pieaugums pamatojams ar noslēgtiem papildu līgumiem. Šajā gadījumā emisijas kvotu aprēķinam arī izmantojama 6.formula.
3.1.6.3. Koģenerācijas iekārta → koģenerācijas iekārta
Gadījumā, ja jauna koģenerācijas iekārta aizvieto esošu koģenerācijas iekārtu, pārņemot esošās iekārtas siltumenerģijas patērētājus (piemēram, tiek uzbūvēta jauna koģenerācijas stacija, kura apkalpo esošās koģenerācijas stacijas siltumenerģijas patērētājus), jaunajai iekārtai piešķiramo emisiju kvotu daudzums tiek aprēķināts saskaņā ar šādu formulu:
[7]
kur
Qkoģ j – ikgadējā siltumenerģijas ražošana jaunas koģenerācijas stacijas izbūves gadījumā, MWh/gadā (saskaņā ar 3.1.2.apakšnodaļā aprakstīto metodiku);
Qkatli j – ikgadējā siltumenerģijas ražošana esošajā iekārtā, MWh/gadā;
αjaun – saražotās elektroenerģijas un siltumenerģijas attiecība, kas ir atkarīga no koģenerācijas stacijas tehnoloģijas (atbilstoši iekārtas tehniskai dokumentācijai);
Qkoģ e – esošas koģenerācijas stacijas ikgadēja siltumenerģijas ražošana, MWh/gadā;
Qkatli es – ikgadēja siltumenerģijas ražošana katlos, MWh/gadā;
αes – saražotās elektroenerģijas un siltumenerģijas attiecība, kas ir atkarīga no koģenerācijas stacijas tehnoloģijas (atbilstoši iekārtas tehniskai dokumentācijai).
Emisijas kvotas esošu koģenerācijas iekārtu aizstāšanas gadījumos piešķir tikai gadījumos, kad tiek pierādīts vēsturiskais siltumenerģijas gala lietotāju siltumenerģijas patēriņš, kurš nepārklājas ar citu ES ETS siltumapgādes sistēmai pieslēgtu iekārtu. Ja siltumapgādes sistēmā darbojas vairākas ES ETS iekārtas, kurām ir piešķirtas emisijas kvotas, esošās koģenerācijas iekārtas emisijas kvotas tiek aprēķinātas pēc pārpalikuma principa (starpība starp kopējo esošo sistēmas siltumenerģijas patēriņu (saskaita esošajiem siltuma tīkliem pieslēgtos siltumenerģijas patērētājus) un kopējo energoavotos (sistēmai pieslēgtajos) saražoto siltumenerģiju saskaņā ar pēdējā gada verificētajiem datiem). Jaunajā koģenerācijas stacijā saražotās elektroenerģijas patēriņu liberalizēta elektroenerģijas tirgus gadījumā nosaka saskaņā ar parakstītiem komerclīgumiem ar patērētājiem, kuri iepirks elektroenerģiju, kas tiks ražota papildus esošajiem apjomiem (skat. 3.1.2. apakšnodaļu).
3.1.6.4. Rūpnieciskās iekārtas
Emisijas kvotas jaunajai iekārtai piešķir, ievērojot 3.1.6.apakšnodaļā minētos pamatprincipus.
Gadījumā, ja līdz ar rūpnieciskas iekārtas aizvietošanu plānots arī produkcijas noieta tirgus pieaugums, tad produkcijas noieta tirgus pieauguma daļai emisijas kvotas aprēķina saskaņā ar 3.1.4.apakšnodaļā aprakstīto metodiku un balstoties uz ar pircējiem noslēgtiem līgumiem un produkcijas noieta tirgus izpēti.
3.1.7. Iekārtas slēgšana un siltumnīcefekta gāzu emisijas atļaujas anulēšana
Gadījumā, ja tiek izbeigta iekārtas daļas darbība, operatora pienākums ir informēt Valsts vides dienesta Reģionālo vides pārvaldi par izmaiņām vismaz 60 dienas pirms darbības izmaiņām esošajā piesārņojošajā darbībā34. Gadījumā, ja tiek pilnībā pārtraukta iekārtas darbība, operatora pienākums ir ne vēlāk kā 30 dienas pirms darbības pārtraukšanas iesniegt Valsts vides dienesta Reģionālo vides pārvaldē attiecīgu iesniegumu35. Reģionālā vides pārvalde, pamatojoties uz operatora iesniegumu, veic attiecīgus grozījumus iekārtai izsniegtajā siltumnīcefekta gāzu emisijas atļaujā (iekārtas daļas darbības slēgšanas gadījumā) vai atceļ to (iekārtas pilnīgas darbības pārtraukšanas gadījumā vai gadījumā, ja iekārta vairs neveic likuma “Par piesārņojumu” 2.pielikumā minētās piesārņojošās darbības un iekārtas operators nevēlas turpināt šīs iekārtas dalību ES ETS brīvprātīgi).
Saskaņā ar likuma “Par piesārņojumu” 32.2 pantu, Vides ministrija pieņem lēmumu par emisijas kvotu nepiešķiršanu operatoram, kuram anulēta vai atcelta siltumnīcefekta gāzu emisijas atļauja. Šādos gadījumos nepiešķirtais emisijas kvotu daudzums tiek pieskaitīts emisijas kvotu rezervei jaunām iekārtām. Ja slēgto iekārtu vai iekārtas slēgto daļu aizstāj jauna iekārta, emisijas kvotas tai tiek aprēķinātas saskaņā ar 3.1.6.apakšnodaļā noteikto metodiku.
3.2. Siltumnīcefekta gāzu emisijas atļaujas
Siltumnīcefekta gāzu emisijas atļaujas 2008.–2012.gada periodam operatoriem ir jāsaņem atbilstoši likumā “Par piesārņojumu” un Ministru kabineta 2004.gada 22.aprīļa noteikumos Nr.400 “Siltumnīcefekta gāzu emisijas atļaujas pieteikšanas un izsniegšanas kārtība” noteiktajai kārtībai. Saskaņā ar normatīvo aktu nosacījumiem, emisijas kvotas tiek piešķirtas tikai tiem operatoriem, kuri saņēmuši siltumnīcefekta gāzu emisijas atļaujas.
4. Sabiedriskā apspriešana
Ar Ministru kabineta 2006.gada 9.augusta rīkojumu Nr.608 apstiprinātā emisijas kvotu sadales plāna sabiedriskā apspriešana notika no 2006.gada 11.aprīļa līdz 10.maijam, tai skaitā publiskās apspriešanas pasākums notika 2006.gada 28.aprīlī Vides ministrijas telpās. Tajā piedalījās 42 dalībnieki – iekārtu operatori, Valsts Vides dienesta reģionālo vides pārvalžu, dažādu valstisko un nevalstisko organizāciju, kā arī verificētāju un konsultatīvo firmu pārstāvji. Sabiedriskās apspriešanas laikā tika saņemtas vairākas vēstules. Galvenie komentāri no komercsabiedrību un profesionālo asociāciju puses saistījās ar bažām par nepietiekami piešķirtu emisijas kvotu daudzumu. Ņemot vērā gan publiskās apspriešanas pasākuma laikā izteiktos komentārus, gan individuālās sarunas ar komercsabiedrībām un komercsabiedrību un profesionālo asociāciju nosūtītās vēstules, tika veikti dokumenta precizējumi un papildinājumi pirms tā iesniegšanas apstiprināšanai Ministru kabinetā. Apstiprinātais dokuments tika iesniegts izskatīšanai Eiropas Komisijā 2006.gada 16.augustā.
Ņemot vērā Eiropas Komisijas 2006.gada 29.novembra Lēmumā norādītās Latvijas 2006.gada 16.augustā iesniegtā emisijas kvotu sadales plāna neatbilstības, Vides ministrija, konsultējoties ar Ekonomikas ministrijas, Reģionālās attīstības un pašvaldību lietu ministrijas, Latvijas Pašvaldību savienības, Latvijas Siltumuzņēmumu asociācijas pārstāvjiem, sagatavoja jaunu Emisijas kvotu sadales plānu 2008.–2012.gadam. Plāna projekta sabiedriskā apspriešana notika no 2006.gada 18.decembra līdz 22.decembrim, tai skaitā publiskā apspriešanas sanāksme 2006.gada 21.decembrī Vides ministrijas telpās.
Sabiedriskās apspriešanas laikā tika saņemtas 17 vēstules. 2006.gada 21.decembrī publiskajā apspriešanā piedalījās 60 dalībnieki – komersanti, valsts un nevalstisko organizāciju pārstāvji. Sanāksmes laikā dalībnieki tika iepazīstināti ar sagatavotajiem grozījumiem, prezentējot aprēķinu metodiku, galvenos pamatprincipus emisijas kvotu sadalē un laika grafiku Plāna projekta sagatavošanā un iesniegšanā Eiropas Komisijā. Ņemot vērā sabiedriskās apspriešanas laikā izteiktos komentārus un priekšlikumus, Plāna projektā tika izdarīti vairāki grozījumi. Galvenie no tiem saistīti ar valsts kopējā emisijas kvotu skaita aprēķinā izmantotā oglekļa intensitātes samazinājuma faktora korekciju un no tā izrietošajām izaugsmes faktoru un oglekļa intensitātes samazinājuma faktoru vērtību korekcijām nozaru līmenī. Ņemts vērā arī sabiedriskās apspriešanas laikā saņemtais priekšlikums paaugstināt maksimāli atļauto Kioto protokola projektu mehānismu radīto vienību izmantošanas apjomu līdz 10%.
Ņemot vērā Eiropas Komisijas 2007.gada 13.jūlija Lēmumu par Latvijas 2006.gada 29.decembrī iesniegto emisijas kvotu sadales plānu, tika izstrādāta koncepcija par rīcības variantiem emisiju kvotu sadalei 2008.–2012.gada periodam. Koncepcijas sabiedriskā apspriešana notika no 2007.gada 4.oktobra līdz 16.oktobrim, kuras laikā tika saņemtas 19 vēstules. Publiskā apspriešana koncepcijas projektam notika 2007.gada 16.oktobrī. Tajā piedalījās 47 dalībnieki – komersanti, valsts un nevalstisko organizāciju pārstāvji, preses pārstāvji. Būtiskākie sabiedrības izteiktie viedokļi bija saistīti ar nepieciešamību precizēt koncepcijā izvirzīto emisijas kvotu sadales scenāriju ietekmes uz produkcijas cenām un tarifiem; tika uzsvērts būtiskums maksimāli pietuvināt emisijas kvotu piešķiršanu jaunām iekārtām ar iekārtu reālo darbības uzsākšanu; emisijas kvotu sadalē atdalīt siltumenerģijas un elektroenerģijas ražošanu, ņemot to dažādo ietekmi uz tarifa celšanos un inflācijas palielināšanos. Tika izteikts aicinājums plašāk izmantot biomasu, kas samazinātu nepieciešamību pirkt trūkstošo emisijas kvotu apjomu. Tika norādīts, ka nedrīkst pieļaut tāda emisijas kvotu sadales scenārija atbalstīšanu, kurš atbalsta atsevišķu biznesa nozaru attīstību un galvenās emisijas kvotu pirkšanas izmaksas pārliekot uz cilvēku grupu, kurai mazi ieņēmumi. Sabiedriskās apspriedes laikā tika izteikti atbalsti visiem izstrādātajiem rīcības variantiem, kā arī izteikti priekšlikumi jauniem emisijas kvotu sadales variantiem.
Ņemot vērā apstiprināto Koncepciju, tika izstrādāts grozījums Emisiju kvotu sadales plānā 2008.–2012.gadam. Projekta grozījums Plāna sabiedriskā apspriešana notika no 2007.gada 15.novembra līdz 27.novembrim, kuras laikā tika saņemtas 6 vēstules, tai skaitā publiskā apspriešanas sanāksme 2007.gada 27.novembrī Vides ministrijas telpās. Publiskajā apspriešanā piedalījās 28 dalībnieki – komersanti, valsts un nevalstisko organizāciju pārstāvji, preses pārstāvji. Būtiskākie sabiedrības izteiktie viedokļi, ka lielā emisijas kvotu samazinājuma dēļ Latvijas iedzīvotājiem sadārdzināsies elektrības un siltumtarifi; neskaidrības par energoauditoru atzinumiem un jautājumi: vai tiks palielināts dabas resursu nodoklis; kādi kritēriji, lai iekārta varētu pretendēt uz jauno iekārtu rezerves emisiju kvotām.
Ņemot vērā Eiropas Komisijas Vides ģenerāldirektorāta 2008.gada 30.maija vēstuli ENV/C2/IB/bm D(2008)7156 par Latvijas 2007.gada 17.decembrī apstiprināto emisijas kvotu sadales plānu, tika izstrādāti grozījumi Plānā. Projekta grozījums Plānā sabiedriskā apspriešana notika 2008.gada 14.augustā. Tajā piedalījās 16 dalībnieki.
Attiecībā uz nākotnē paredzamo sabiedrības iesaistīšanu Plāna grozījumu vai papildinājumu apspriešanā, arī turpmāk sabiedrība tiks informēta par paredzamajiem grozījumiem Plānā, publiskojot informāciju Vides ministrijas mājas lapā internetā. Normatīvajos aktos noteiktajā kārtībā tiks nodrošināta sabiedrības viedokļa uzklausīšana par paredzamajiem grozījumiem. Grozījumi tiks publiskoti laikrakstā “Latvijas Vēstnesis”, Vides ministrijas mājas lapā internetā, normatīvo aktu informācijas sistēmā (NAIS) un citos saziņas līdzekļos.
5. Iekārtu saraksts
Informācija par emisijas kvotu sadali iekārtām, kuras iesaistītas ES ETS, apkopota 2. un 3.tabulā.
2.tabula
Emisijas kvotu sadalījums iekārtām, neietverot brīvprātīgos ES ETS dalībniekus, kuri uzsāk dalību ES ETS 2008.–2012.gada periodā
|
Nr. p.k. |
Operators |
Iekārta |
Adrese |
Ražošanas veids |
Obligātais (O)/ brīvprātīgais (B) dalības veids |
Gada
vidējās emisijas bāzes |
Emisijas kvotas (skaits) |
||||||
|
2008 |
2009 |
2010 |
2011 |
2012 |
KOPĀ |
||||||||
|
1 |
SIA “Aizkraukles siltums” |
Katlu māja Rūpniecības iela 2 |
Rūpniecības iela 2, Aizkraukle, LV–5101 |
Siltumenerģijas ražošana |
O |
10 238 |
A |
8 190 |
8 190 |
8 190 |
8 190 |
8 190 |
40 950 |
|
2 |
SIA “AKD |
AKD |
Daugavgrīvas iela 77, Rīga, LV–1007 |
Stikla taras ražošana |
O |
10760 |
A |
11 406 |
11 406 |
11 406 |
11 406 |
11 406 |
57 030 |
|
3 |
A/S “Balticovo” |
Katlu māja |
Iecava, Bauskas rajons, LV–3913 |
Pārtikas olu un olu produktu ražošana |
O |
5 906 |
A |
6 260 |
6 260 |
6 260 |
6 260 |
6 260 |
31 300 |
|
4 |
A/S “BLB Baltijas Termināls” |
Katlu māja |
Ezera iela 22, Rīga, LV–1034 |
Naftas un ķīmisko produktu pārkraušana |
O |
10 529 |
A |
11 160 |
11 160 |
11 160 |
11 160 |
11 160 |
55 800 |
|
5 |
SIA “Bolderāja” |
Katlu māja |
Guberņciema iela 7, Rīga LV–1016 |
Kokskaidu plātņu ražošana |
O |
19 909 |
C |
21 104 |
21 104 |
21 104 |
21 104 |
21 104 |
105 520 |
|
6 |
SIA “Brocēnu keramika” |
Brocēnu keramika |
“Strīķi”, Brocēnu lauku teritorija, Saldus rajons, LV–3581 |
Keramikas flīžu ražošana |
O |
1 406 |
A |
1 490 |
1 490 |
1 490 |
1 490 |
1 490 |
7 450 |
|
7 |
SIA “CEMEX” |
Brocēni |
Liepnieku iela 15, Brocēnos, Saldus rajonā, LV–3851 |
Portlandcementa ražošana |
O |
321 649 |
A |
340 947 |
340 947 |
340 947 |
340 947 |
340 947 |
1 704 735 |
|
8 |
SIA “Ceplis” |
Ceplis |
“Ķieģeļceplis”, Lielauces pagasts, Dobeles rajons, LV–3723 |
Ķieģeļu ražošana |
O |
1 074 |
A |
1 138 |
1 138 |
1 138 |
1 138 |
1 138 |
5 690 |
|
9 |
A/S “Cesvaines piens” |
Katlu māja |
Rūpniecības iela 1, Cesvaine, LV–4871 |
Piena pārstrāde, pārtikas produktu ražošana |
O |
2 710 |
A |
2 872 |
2 872 |
2 872 |
2 872 |
2 872 |
14 360 |
|
10 |
SIA “CB” |
Katlu māja |
Rūpniecības iela 13, Cēsis, LV–4101 |
Siltumenerģijas un elektroenerģijas ražošana |
O |
13 771 |
A |
11 016 |
11 016 |
11 016 |
11 016 |
11 016 |
55 080 |
|
11 |
PAS “Daugavpils siltumtīkli” |
Katlu māja SC1 |
18 Novembra iela 2, Daugavpils, LV–5401 |
Siltumenerģijas un elektroenerģijas ražošana |
O |
53 685 |
A |
42 948 |
42 948 |
42 948 |
42 948 |
42 948 |
214 740 |
|
12 |
PAS “Daugavpils siltumtīkli” |
Katlu māja SC2 |
Silikātu iela 8, Duagavpils, LV–5401 |
Siltumenerģijas ražošana |
O |
22 831 |
A |
18 264 |
18 264 |
18 264 |
18 264 |
18 264 |
91 320 |
|
13 |
PAS “Daugavpils siltumtīkli” |
Katlu māja SC3 |
Mendeļejeva iela 13a, Daugavpils, LV–5410 |
Siltumenerģijas ražošana |
O |
74 176 |
A |
59 340 |
59 340 |
59 340 |
59 340 |
59 340 |
296 700 |
|
14 |
SIA “Dobeles enerģija” |
Katlu māja |
Spodrības iela 4a, Dobele, LV–3701 |
Siltumenerģijas ražošana |
O |
12 272 |
A |
9 817 |
9 817 |
9 817 |
9 817 |
9 817 |
49 085 |
|
15 |
A/S “Grīziņkalns” |
Stikla ražošanas krāsns |
Narvas iela 2, Rīga, LV–1009 |
Stikla izstrādājumu ražošana |
O |
5 418 |
B |
5 743 |
5 743 |
5 743 |
5 743 |
5 743 |
28 715 |
|
16 |
SIA “Jeld Wen Latvija” |
Kokšķiedras plākšņu rūpnīca |
Upes, Aizkraukles pagasts, Aizkraukles novads, LV–5102 |
Kokšķiedras plākšņu ražošana |
O |
360 |
C |
382 |
382 |
382 |
382 |
382 |
1 910 |
|
17 |
A/S “Jelgavas cukurfabrika” |
Katlu māja |
Cukura iela 22, Jelgava, LV–3002 |
Siltumenerģijas ražošana |
O |
20 635 |
D |
16 508 |
16 508 |
16 508 |
16 508 |
16 508 |
82 540 |
|
18 |
SIA “Fortum Jelgava” |
Katlu māja Ganību 71 |
Ganību iela 71, Jelgava, LV–3007 |
Siltumenerģijas ražošana |
O |
28 281 |
A |
22 625 |
22 625 |
22 625 |
22 625 |
22 625 |
113 125 |
|
19 |
SIA “Fortum Jelgava” |
Katlu māja Rūpniecības ielā 73 |
Rūpniecības iela 73, Jelgava, LV–3007 |
Siltumenerģijas ražošana |
O |
11 256 |
A |
9 004 |
9 004 |
9 004 |
9 004 |
9 004 |
45 020 |
|
20 |
SIA “Jēkabpils siltums” |
Katlu māja |
Tvaika iela 4, Jēkabpils, LV–5201 |
Siltumenerģijas ražošana |
O |
8 039 |
A |
6 431 |
6 431 |
6 431 |
6 431 |
6 431 |
32 155 |
|
21 |
SIA “Jūrmalas siltums” |
Katlu māja Aizputes 1a |
Aizputes iela 1d, Jūrmala, LV–2016 |
Siltumenerģijas ražošana |
B |
2 921 |
A |
2 336 |
2 336 |
2 336 |
2 336 |
2 336 |
11 680 |
|
22 |
SIA “Jūrmalas siltums” |
Katlu māja “Dubulti” |
Slokas iela 47a, Jūrmala, LV–2015 |
Siltumenerģijas ražošana |
O |
9 054 |
A |
7 243 |
7 243 |
7 243 |
7 243 |
7 243 |
36 215 |
|
23 |
SIA “Jūrmalas siltums” |
Katlu māja “Kauguri” |
Lībiešu iela 9, Jūrmala, LV–2016 |
Siltumenerģijas ražošana |
O |
27 483 |
A |
21 986 |
21 986 |
21 986 |
21 986 |
21 986 |
109 930 |
|
24 |
SIA “Jūrmalas siltums” |
Katlu māja Konkordijas ielā |
Konkordijas iela, Jūrmala, LV–2016 |
Siltumenerģijas ražošana |
B |
1 754 |
A |
1 403 |
1 403 |
1 403 |
1 403 |
1 403 |
7 015 |
|
25 |
SIA “Kalnciema ķieģelis” |
Kalnciema ķieģelis |
Jelgavas iela 17, Kalnciema pils., Jelgavas raj., LV–3016 |
Apdedzināto ķieģeļu ražošana |
O |
10 862 |
C |
11 514 |
11 514 |
11 514 |
11 514 |
11 514 |
57 570 |
|
26 |
SIA “Kalnciema ķieģelis” |
Āne |
Celtnieku iela 12, Jelgavas rajons, Cenu pagasts, Ozolnieku novads, LV–3043 |
Māla ķieģeļu ražošana |
O |
5 817 |
A |
6 165 |
6 165 |
6 165 |
6 165 |
6 165 |
30 825 |
|
27 |
SIA “KP Tehnoloģijas” |
Katlu māja |
Rīgas iela 98, Ogre LV–5001 |
Dzijas un trikotāžas izstrādā–jumu ražošana |
O |
8 248 |
B |
8 743 |
8 743 |
8 743 |
8 743 |
8 743 |
43 715 |
|
28 |
SIA “Krāslavas nami” |
Katlu māja |
Latgales ielā 14, Krāslava, LV–5601 |
Siltumenerģijas un elektroenerģijas ražošana |
O |
1 653 |
A |
1 322 |
1 322 |
1 322 |
1 322 |
1 322 |
6 610 |
|
29 |
SIA “Latelektro Gulbene” |
Katlu māja |
Miera iela 17, Gulbene, LV–4401 |
Siltumenerģijas un elektroenerģijas ražošana |
O |
0 |
A |
0 |
0 |
0 |
0 |
0 |
0 |
|
30 |
SIA “Latgales enerģija” |
TEC |
Atbrīvošanas aleja 155a, Rēzekne, LV–4600 |
Siltumenerģijas un elektroenerģijas ražošana |
O |
18 861 |
A |
15 088 |
15 088 |
15 088 |
15 088 |
15 088 |
75 440 |
|
31 |
SIA “Latgales enerģija” |
Katlu māja Meža ielā 1 |
Meža iela 1, Rēzekne, LV–4600 |
Siltumenerģijas ražošana |
B |
3 506 |
A |
2 805 |
2 805 |
2 805 |
2 805 |
2 805 |
14 025 |
|
32 |
SIA “Latgales enerģija” |
Katlu māja |
N.Rancāna iela 5, Rēzekne, LV–4600 |
Siltumenerģijas ražošana |
O |
32 769 |
A |
26 215 |
26 215 |
26 215 |
26 215 |
26 215 |
131 075 |
|
33 |
A/S |
TEC 1 |
Viskaļu iela 16, Rīga, LV–1025 |
Siltumenerģijas un elektroenerģijas ražošana |
O |
416 338 |
B |
333 070 |
333 070 |
333 070 |
333 070 |
333 070 |
1 665 350 |
|
34 |
A/S |
TEC 2 |
P/n Acone, Salaspils novads, Rīgas rajons, LV–2119 |
Siltumenerģijas un elektroenerģijas ražošana |
O |
624 556 |
A |
499 645 |
499 645 |
499 645 |
499 645 |
499 645 |
2 498 225 |
|
35 |
A/S “Latvijas Finieris” |
Rūpnīca “Furnieris” |
Bauskas iela 59, Rīga, LV–1004 |
Bērza saplākšņu ražošana |
O |
10 335 |
A |
10 955 |
10 955 |
10 955 |
10 955 |
10 955 |
54 775 |
|
36 |
A/S “Latvijas Finieris” |
Rūpnīca “Lignums” |
Platā iela 32, Rīga, LV–1016 |
Bērza saplākšņu ražošana |
O |
10 273 |
A |
10 889 |
10 889 |
10 889 |
10 889 |
10 889 |
54 445 |
|
37 |
A/S “Lauma” |
Katlu māja |
Ziemeļu iela 19, Liepājā, LV–3417 |
Tekstilmateriālu ražošana |
O |
14 341 |
A |
15 201 |
15 201 |
15 201 |
15 201 |
15 201 |
76 005 |
|
38 |
SIA “Liepājas enerģija” |
TEC |
Kaiju iela 33, Liepāja, LV–3401 |
Siltumenerģijas un elektroenerģijas ražošana |
O |
90 099 |
A |
72 079 |
72 079 |
72 079 |
72 079 |
72 079 |
360 395 |
|
39 |
SIA “Liepājas enerģija” |
Katlu māja |
Tukuma iela 2, Liepāja, LV–3416 |
Siltumenerģijas ražošana |
O |
8 191 |
A |
6 552 |
6 552 |
6 552 |
6 552 |
6 552 |
32 760 |
|
40 |
A/S “Liepājas metalurgs” |
Liepājas metalurgs |
Brīvības iela 93, Brīvības iela 94, Brīvības iela 94a, Liepāja, LV–3401 |
Tērauda un velmējumu ražošana |
O |
363 885 |
A |
385 718 |
385 718 |
385 718 |
385 718 |
385 718 |
1 928 590 |
|
41 |
A/S “Ligija teks” |
Katlu māja |
Šampētera iela 1, Rīga, LV–1046 |
Tekstila izstrādājumi |
O |
7 590 |
A |
8 045 |
8 045 |
8 045 |
8 045 |
8 045 |
40 225 |
|
42 |
SIA “Līvānu ķieģelis” |
Līvānu ķieģelis |
Iesalnieki, Jersikas pagasts, Preiļu rajons, LV–5316 |
Celtniecības materiālu ražošana |
O |
5 853 |
A |
6 204 |
6 204 |
6 204 |
6 204 |
6 204 |
31 020 |
|
43 |
SIA “Līvānu siltums” |
Katlu māja |
Iesalnieki, Jersikas pagasts, Preiļu rajons, LV–5316 |
Siltumenerģijas ražošana |
O |
1 812 |
A |
1 449 |
1 449 |
1 449 |
1 449 |
1 449 |
7 245 |
|
44 |
SIA “Līvbērzes enerģija” |
Katlu māja, koģenerācijas iekārta |
Jelgavas iela 2c, Līvbērzes pag., Jelgavas raj., LV–3014 |
Siltumenerģijas un elektroenerģijas ražošana |
O |
615 |
B |
492 |
492 |
492 |
492 |
492 |
2 460 |
|
45 |
SIA “Lodes |
Lode |
Lodes iela 1, Liepas pagasts, Cēsu rajons, LV–4128 |
Keramikas būvniecības materiālu ražošana |
O |
17 724 |
A |
18 787 |
18 787 |
18 787 |
18 787 |
18 787 |
93 935 |
|
46 |
SIA “Ludzas Bio–Enerģija” |
Katlu māja |
Rūpniecības iela 2b, Ludza, LV–5701 |
Siltumenerģijas ražošana |
B |
126 |
A |
100 |
100 |
100 |
100 |
100 |
500 |
|
47 |
Ogres novada PA “Mālkalne” |
Katlu māja Upes prospektā 19 |
Upes prospekts 19, Ogre, LV–5003 |
Siltumenerģijas ražošana |
O |
18 114 |
B |
14 491 |
14 491 |
14 491 |
14 491 |
14 491 |
72 455 |
|
48 |
SIA “Olaines ķīmiskā rūpnīca “Biolars”” |
Katlu māja |
Rūpnīcu iela 3, Olaine, Rīgas rajons, LV–2114 |
Ķīmisko vielu un produktu, laku un krāsu ražošana |
B |
2 602 |
A |
2 758 |
2 758 |
2 758 |
2 758 |
2 758 |
13 790 |
|
49 |
AS “Olaines ūdens un siltums” |
Katlu māja Kūdras ielā 27 |
Kūdras iela 27, Olaine, Rīgas rajons, LV–2114 |
Siltumenerģijas ražošana |
O |
13 918 |
A |
11 134 |
11 134 |
11 134 |
11 134 |
11 134 |
55 670 |
|
50 |
SIA “Papīrfabrika Līgatne” |
Papīrfabrika Līgatne |
Pilsoņu iela 1, Līgatne, LV–4110 |
Papīra ražošana |
O |
6 808 |
A |
7 216 |
7 216 |
7 216 |
7 216 |
7 216 |
36 080 |
|
51 |
VPP SIA “Pārventas siltums” |
Katlu māja |
Talsu iela 84, Ventspils, LV–3602 |
Siltumenerģijas un elektroenerģijas ražošana |
O |
41 172 |
A |
32 937 |
32 937 |
32 937 |
32 937 |
32 937 |
164 685 |
|
52 |
A/S “Preiļu siers” |
Katlu māja |
Daugavpils iela 75, Preiļi, LV–5301 |
Piena pārstrāde |
O |
6 313 |
A |
6 691 |
6 691 |
6 691 |
6 691 |
6 691 |
33 455 |
|
53 |
A/S “Putnu fabrika Ķekava” |
Katlu māja |
Rīgas raj., Ķekavas pag., LV–2123 |
Lauksaimnieciskā ražošana |
O |
16 257 |
A |
17 232 |
17 232 |
17 232 |
17 232 |
17 232 |
86 160 |
|
54 |
A/S “Rīgas kuģu būvētava” |
Katlu māja |
Gāles iela 2, Rīga, LV–1015 |
Kuģu būve un remonts |
O |
6 250 |
A |
6 624 |
6 624 |
6 624 |
6 624 |
6 624 |
33 120 |
|
55 |
SIA “Rīgas laku un krāsu rūpnīca” |
Katlu māja |
Daugavgrīvas iela 63/65, Rīga, LV–1007 |
Laku un krāsu ražošana |
B |
1 830 |
A |
1 940 |
1 940 |
1 940 |
1 940 |
1 940 |
9 700 |
|
56 |
A/S “Rīgas siltums” |
Siltumcentrāle “Daugavgrīva” |
Lēpju iela 4, Rīga, LV–1016 |
Siltumenerģijas un elektroenerģijas ražošana |
O |
6 121 |
A |
4 896 |
4 896 |
4 896 |
4 896 |
4 896 |
24 480 |
|
57 |
A/S “Rīgas siltums” |
Katlu māja Gobas ielā 33a |
Gobas iela 33a, Rīga, LV–1016 |
Siltumenerģijas ražošana |
O |
8 339 |
A |
6 671 |
6 671 |
6 671 |
6 671 |
6 671 |
33 355 |
|
58 |
A/S “Rīgas siltums” |
Siltumcentrāle |
Kurzemes prosp.17, Rīga, LV 1067 |
Siltumenerģijas ražošana |
O |
233 586 |
C |
186 869 |
186 869 |
186 869 |
186 869 |
186 869 |
934 345 |
|
59 |
A/S “Rīgas siltums” |
Siltumcentrāle “Vecmīlgrāvis” |
Atlantijas iela 51, Rīga, LV–1015 |
Siltumenerģijas un elektroenerģijas ražošana |
O |
26 505 |
A |
21 204 |
21 204 |
21 204 |
21 204 |
21 204 |
106 020 |
|
60 |
A/S “Rīgas siltums” |
Siltumcentrāle Imanta, iecirknis “Zasulauks” |
Kandavas iela 16, Rīga, LV–1083 |
Siltumenerģijas ražošana |
O |
12 711 |
A |
10 168 |
10 168 |
10 168 |
10 168 |
10 168 |
50 840 |
|
61 |
A/S “Rīgas siltums” |
Siltumcentrāle “Ziepniekkalns” |
Tīraines iela 5a, Rīga, LV–1058 |
Siltumenerģijas ražošana |
O |
34 959 |
A |
27 967 |
27 967 |
27 967 |
27 967 |
27 967 |
139 835 |
|
62 |
SIA “Sabiedrība Mārupe” |
Katlu māja |
Mazcenu aleja 41, Jaunmārupe, Mārupes pagasts, Rīgas rajons, LV–2166 |
Dārzeņkopība |
O |
16 606 |
A |
17 602 |
17 602 |
17 602 |
17 602 |
17 602 |
88 010 |
|
63 |
SIA “Salaspils siltums” |
Katlu māja |
Miera iela 31a, Salaspils, Rīgas rajons, LV–2169 |
Siltumenerģijas ražošana |
O |
19 274 |
A |
15 419 |
15 419 |
15 419 |
15 419 |
15 419 |
77 095 |
|
64 |
SIA “Saulkalne S” |
Saulkalne S |
Saulkalne, Salaspils lauku teritorija, Rīgas rajons, LV–2117 |
Dolomīta pārstrāde |
O |
5 991 |
A |
6 350 |
6 350 |
6 350 |
6 350 |
6 350 |
31 750 |
|
65 |
SIA “Talsu Bio–enerģija” |
Katlu māja |
Pumpura iela 12, Talsi, LV–3200 |
Siltumenerģijas ražošana |
O |
0 |
A |
0 |
0 |
0 |
0 |
0 |
0 |
|
66 |
SIA “Tukuma siltums” |
Katlu māja |
Kurzemes iela 140, Tukums, LV–3010 |
Siltumenerģijas ražošana |
O |
3 389 |
A |
2 711 |
2 711 |
2 711 |
2 711 |
2 711 |
13 555 |
|
67 |
A/S “Valmieras piens” |
Katlu māja |
Rīgas iela 93, Valmiera, LV–4201 |
Piena produktu ražošana |
O |
11 827 |
A |
12 536 |
12 536 |
12 536 |
12 536 |
12 536 |
62 680 |
|
68 |
A/S “Valmieras Enerģija” |
Katlu māja Dzelzceļa ielā 7 |
Dzelzceļa iela 7, Valmiera, LV–4201 |
Siltumenerģijas ražošana |
O |
10 160 |
A |
8 128 |
8 128 |
8 128 |
8 128 |
8 128 |
40 640 |
|
69 |
A/S “Valmieras Enerģija” |
Katlu māja Rīgas ielā 25 |
Rīgas iela 25, Valmiera, LV–4201 |
Siltumenerģijas ražošana |
O |
12 667 |
A |
10 133 |
10 133 |
10 133 |
10 133 |
10 133 |
50 665 |
|
70 |
A/S “Valmieras stikla šķiedra” |
Valmieras stikla šķiedra |
Cempu iela 13, Valmiera, LV–4200 |
Stikla šķiedras ražošana |
O |
29 121 |
A |
30 868 |
30 868 |
30 868 |
30 868 |
30 868 |
154 340 |
|
71 |
A/S “Ventbunkers” |
Katlu māja |
Dzintaru iela 90, Ventspils, LV–3602 |
Naftas produktu pārkraušana |
O |
24 782 |
A |
26 269 |
26 269 |
26 269 |
26 269 |
26 269 |
131 345 |
|
72 |
P SIA “Ventspils siltums” |
Katlu māja Brīvības ielā 38 |
Brīvības iela 38, Ventspils, LV–3600 |
Siltumenerģijas ražošana |
O |
33 519 |
A |
26 815 |
26 815 |
26 815 |
26 815 |
26 815 |
134 075 |
|
73 |
SIA “Wesemann – Sigulda” |
Katlu māja Pulkv. Brieža 109 |
Pulkv. Brieža iela 109, Sigulda, LV–2150 |
Siltumenerģijas ražošana |
O |
1 830 |
A |
1 464 |
1 464 |
1 464 |
1 464 |
1 464 |
7 320 |
|
KOPĀ |
2 597 744 |
2 597 744 |
2 597 744 |
2 597 744 |
2 597 744 |
12 988 720 |
|||||||
Piezīme. A – vidējie dati par 2005.–2006.gadu; B – 2006.gada dati; C – dati par kalendāro gadu pēc 2006.gada 1.janvāra; D – koriģētie vidējie dati par 2005.–2006.gadu, ņemot vērā cukura ražošanas pārtraukšanu.”
3.tabula
Emisijas kvotu sadalījums brīvprātīgajiem ES ETS dalībniekiem, kuri uzsāk dalību ES ETS 2008.–2012.gada periodā
|
Nr. p.k. |
Operators |
Iekārta |
Adrese |
Ražošanas veids |
Obligātais (O)/ brīvprātīgais (B) dalības veids |
Gada vidējās emisijas bāzes periodā |
Emisijas kvotas (skaits) |
||||||
|
2008 |
2009 |
2010 |
2011 |
2012 |
KOPĀ |
||||||||
|
1 |
SIA “Jaunpagasts Plus” |
Katlu māja |
Baldones iela 2, Iecava, Bauskas raj., LV–3913 |
Spirta ražošana |
B |
3 138 |
A |
3 326 |
3 326 |
3 326 |
3 326 |
3 326 |
16 630 |
|
2 |
SIA “Jaunpagasts Plus” |
Katlu māja |
Spirta rūpnīca, Virbu pagasts, Talsu raj., LV–3292 |
Spirta ražošana |
B |
8 677 |
A |
9 198 |
9 198 |
9 198 |
9 198 |
9 198 |
45 990 |
|
3 |
SIA “Rigens” |
Koģenerācijas iekārta |
Dzintaru iela 60, Rīga, LV–1016 |
Siltumenerģijas un elektroenerģijas ražošana |
B |
3 395 |
A |
2 716 |
2 716 |
2 716 |
2 716 |
2 716 |
13 580 |
|
KOPĀ |
15 240 |
15 240 |
15 240 |
15 240 |
15 240 |
76 200 |
|||||||
Piezīme. A – vidējie dati par 2005.–2006.gadu; B – 2006.gada dati; C – dati par kalendāro gadu pēc 2006.gada 1.janvāra; D – koriģētie vidējie dati par 2005.–2006.gadu, ņemot vērā cukura ražošanas pārtraukšanu.”
1 Ministru kabineta 2006.gada 9.augusta rīkojums Nr.608 “Par Emisijas kvotu sadales plānu 2008.–2012.gadam”, zaudējis spēku ar Ministru kabineta 2006.gada 28.decembra rīkojumu Nr.1010
2 Komisijas 2006.gada 29.novembra lēmums Nr. K(2006) 5612 par valsts siltumnīcefekta gāzu emisijas kvotu sadales plānu, ko paziņojusi Latvija saskaņā ar Eiropas Parlamenta un Padomes Direktīvu 2003/87/EK
3 Emisijas kvota – pieļāvums emitēt noteiktā laika posmā vienu tonnu oglekļa dioksīda (CO2)
4 Ministru kabineta 2006.gada 28.decembra rīkojums Nr.1010 “Par Emisijas kvotu sadales plānu 2008.–2012.gadam”, zaudējis spēku ar Ministru kabineta 2007.gada 17.decembra rīkojumu Nr.809
5 Komisijas 2007.gada 13.jūlija lēmums Nr. K(2007) 3409 attiecībā uz grozījumiem valsts siltumnīcefekta gāzu emisijas kvotu sadales plānā, ko Latvija paziņojusi saskaņā ar 3.panta 3.punktu Komisijas 2006.gada 29.novembra Lēmumā K/2006/5612 (galīgā redakcija) par valsts siltumnīcefekta gāzu emisijas kvotu sadales plānu, ko paziņojusi Latvija saskaņā ar Eiropas Parlamenta un Padomes Direktīvu 2003/87/EK
6 Ministru kabineta 2007.gada 17.decembra rīkojums Nr.809 “Par Emisijas kvotu sadales plānu 2008.–2012.gadam”
7 Komisijas 2006.gada 29.novembra lēmuma Nr. K(2006) 5612 3.panta pirmās daļas redakcija: “Nedrīkst pārsniegt gada vidējo kopējo kvotu daudzumu, kas atbilst 3,283303 miljoniem tonnu un ko Latvija atbilstoši tās valsts emisijas kvotu sadales plānam iedala šajā plānā uzskaitītajām iekārtām un tirgus jaunpienācējiem”
8 Komisijas 2004.gada 7.janvāra paziņojums COM(2003) 830 final “Par vadošiem norādījumiem palīdzēt Dalībvalstīm Direktīvas 2003/87/EK, ar kuru izveido siltumnīcefekta gāzu emisijas kvotu tirdzniecības sistēmu kopienā un papildina Padomes Direktīvu 96/61/EK, 3.pielikumā minēto kritēriju ieviešanā un par apstākļiem, kādos force majeure tiek uzskatāmi pierādīts”
9 Komisijas 2005.gada 22.decembra paziņojums COM(2005) 703 final “Turpmākās vadlīnijas attiecībā uz valstu kvotu sadales plāniem ES emisijas kvotu tirdzniecības sistēmas tirdzniecības periodam no 2008. līdz 2012.gadam”
10 Komisijas 2006.gada 29.novembra paziņojums Padomei un Eiropas Parlamentam COM(2006) 725 final “Par valstu sadales plānu novērtēšanu siltumnīcefekta gāzu emisiju kvotu sadalei ES emisiju tirdzniecības sistēmas otrajā periodā”
11 Latvijas Vides, ģeoloģijas un meteoroloģijas aģentūra. 2007.gada pārskats par antropogēnajām siltumnīcefekta gāzu emisijām un piesaisti Latvijā (http://cdr.eionet.europa.eu/lv/un/colqlvn8g/envrh3zig/NIR_LATVIA_15.04.07.pdf)
12 Latvijas Vides, ģeoloģijas un meteoroloģijas aģentūra. 2007.gada pārskats par antropogēnajām siltumnīcefekta gāzu emisijām un piesaisti Latvijā (http://cdr.eionet.europa.eu/lv/un/colqlvn8g/envrh3zig/NIR_LATVIA_15.04.07.pdf)
13 Latvijas Vides, ģeoloģijas un meteoroloģijas aģentūra: ES ETS 2005.gada darbības rezultāti Latvijā (http://www.meteo.lv/upload_file/SEG_REGISTRS/LV_verificesana.pdf)
14 Klimata pārmaiņu samazināšanas programma 2005.–2010.gadam, 2005
15 Komisijas 2006.gada 29.novembra lēmums Nr. K(2006) 5612 par valsts siltumnīcefekta gāzu emisijas kvotu sadales plānu, ko paziņojusi Latvija saskaņā ar Eiropas Parlamenta un Padomes Direktīvu 2003/87/EK
16 Komisijas 2005.gada 22.decembra paziņojums “Turpmākās vadlīnijas attiecībā uz valstu kvotu sadales plāniem ES emisijas kvotu tirdzniecības sistēmas tirdzniecības periodam no 2008. līdz 2012.gadam” (COM(2005) 703 final) 36.rindkopa. Latvija 2005.–2007.gada periodā piemēroja t.s. ‘plašo’ sadedzināšanas iekārtas definīciju, tāpēc nav tādu iekārtu, kuras tiek papildus iekļautas ES ETS 2008.–2012.gada periodā saistībā ar sadedzināšanas iekārtas definīcijas precizēšanu
17 EK 2007.gada 13.jūlija lēmums Nr. K(2007) 3409 attiecībā uz grozījumiem valsts siltumnīcefekta gāzu emisiju kvotu sadales plānā, ko Latvija paziņojusi saskaņā ar 3.panta 3.punktu Komisijas 2006.gada 29.novembra Lēmumā C/2006/5612 (galīgā redakcija) par valsts siltumnīcefekta gāzu emisijas kvotu sadales plānu, ko paziņojusi Latvija saskaņā ar Eiropas Parlamenta un Padomes Direktīvu 2003/87/EK
18 Komisijas lēmums Nr. K(2007) 3409 preambulas 9.punkts
19 Saskaņā ar Komisijas Vides ģenerāldirektorāta 2008.gada 30.maija vēstuli ENV/C2/IB/bm D(2008)7156
20 Komisijas lēmums Nr. K(2007) 3409 preambulas 8.punkts
21 Komisijas lēmums Nr. K(2007) 3409 preambulas 8.punkts
22 Ministru kabineta 2008.gada 7.jūlija noteikumi Nr.510 “Kioto protokola projektu mehānismu īstenošanas kārtība”
23 Plašāka informācija par projektu pieejama Klimata pārmaiņu samazināšanas programmā 2005.–2010.gadam, 2005
24 Koncepcija par Latvijas dalību starptautiskajā emisiju tirdzniecībā (apstiprināta ar Ministru kabineta 2006.gada 12.aprīļa rīkojumu Nr.249 un tās grozījumi)
25 Likums “Par Latvijas Republikas dalību Kioto protokola elastīgajos mehānismos” (publicēts: Latvijas Vēstnesī 192 29.11.2007) un tam pakārtotie Ministru kabineta noteikumi
26 Ministru kabineta 2007.gada 12.novembra rīkojums Nr.699 “Par Koncepciju par rīcības variantiem emisijas kvotu sadalei 2008.–2012.gada periodā”
27 Prognoze par emisijas kvotu apjomu balstīta Emisijas kvotu sadales plānā 2008.–2012.gadam 1.6. apakšnodaļā minētajiem politikas plānošanas dokumentiem un informāciju par jauno iekārtu izbūvi, kas iegūta no Ekonomikas ministrijas un citām valsts un pašvaldību iestādēm, un anketējot ETS 2005.–2007.gada periodā iesaistītos iekārtu operatorus. Šo informāciju 2007.gada septembrī atkārtoti pārskatījusi un koriģējusi Ekonomikas ministrija
28 Skatīt Plāna 2.1.3.apakšnodaļu
29 Komisijas 2007.gada 18.jūlija lēmums Nr.2007/589/EK ar ko nosaka pamatnostādnes siltumnīcefekta gāzu emisiju monitoringam un ziņošanai par tām saskaņā ar Eiropas Parlamenta un Padomes Direktīvu 2003/87/EK
30 Šeit un turpmāk ar terminu “energoauditors” tiek apzīmēta persona, kura ieguvusi energoauditora sertifikātu vai, ja Latvijā nav šādu personu, apmācīta energoauditu veikšanai
31 Šeit un turpmāk ar terminu “neatkarīgs eksperts” tiek apzīmēta persona, kurai ir augstākā inženiertehniskā izglītība un vairāk kā 5 gadu darba pieredze attiecīgajā nozarē un kura nestrādā un nav nekādā citā veidā saistīta ar doto iekārtu
32 Aizstāšana – situācija, kad esošajai iekārtai sakarā ar darbības pārtraukšanu tiek anulēta siltumnīcefekta gāzu emisijas atļauja vai šīs iekārtas atļaujā tiek veikti grozījumi, no tehnoloģisko iekārtu saraksta svītrojot tās aizstāto daļu (tehnoloģisko vienību) (skat.3.1.7.apakšnodaļu), un jaunā iekārta pārņem aizstātās iekārtas patērētājus un veic aizstātai iekārtai līdzvērtīgu darbību.
33 Nepiešķirtais emisijas kvotu apjoms – emisijas kvotu daudzums, kas netiek piešķirts iekārtai sakarā ar siltumnīcefekta emisijas atļaujas anulēšanu (3.1.7.apakšnodaļa).
34 Saskaņā ar Ministru kabineta 2004.gada 22.aprīļa noteikumu Nr.400 “Siltumnīcefekta gāzu emisijas atļaujas pieteikšanas un izsniegšanas kārtība” 2.punktu
35 Saskaņā ar likuma “Par piesārņojumu” 30.panta 4.daļu
Vides ministrs R.Vējonis