
Dažādi sludinājumi
Paziņojums par saistošo noteikumu pieņemšanu
Salacgrīvas pilsētas ar lauku teritoriju dome 2008.gada 18.jūnijā ar lēmumu nr.230 (protokols nr.10; 261.§) apstiprinājusi saistošos noteikumus nr.4 “Nolikums par licencēto vēžošanu Salacas upes posmā Salacgrīvas pilsētas ar lauku teritoriju domes administratīvajā teritorijā”.
Ar saistošo noteikumu pilnu tekstu var iepazīties Salacgrīvas pilsētas ar lauku teritoriju domē, Salacgrīvā, Smilšu ielā 9, un Salacgrīvas mājaslapā internetā, adrese: www.salacgriva.lv.
Paziņojums par promocijas darba aizstāvēšanu
2008.gada 20.augustā plkst. 11.00 Latvijas Lauksaimniecības universitātes Pārtikas tehnoloģijas fakultātes 145.auditorijā Jelgavā, Lielajā ielā 2, notiks LLU Pārtikas zinātnes nozares promocijas padomes atklātā sēde, kurā Ilze BEITĀNE aizstāvēs promocijas darbu “Laktulozes un inulīna izvērtējums jauna funkcionāla piena produkta izstrādē” inženierzinātņu doktora grāda iegūšanai.
Recenzenti: Lietuvas Lauksaimniecības universitātes profesore, Dr. habil. sc. ing. Sigita Angele Urbiene; Latvijas Universitātes profesore, Dr. habil. med. Aija Žileviča; Latvijas Lauksaimniecības universitātes docente, Dr. biol. Silvija Strikauska.
Ar zinātnisko darbu var iepazīties LLU Fundamentālajā bibliotēkā Lielajā ielā 2, Jelgavā, un http://llufb.llu.lv/llu-theses.htm.
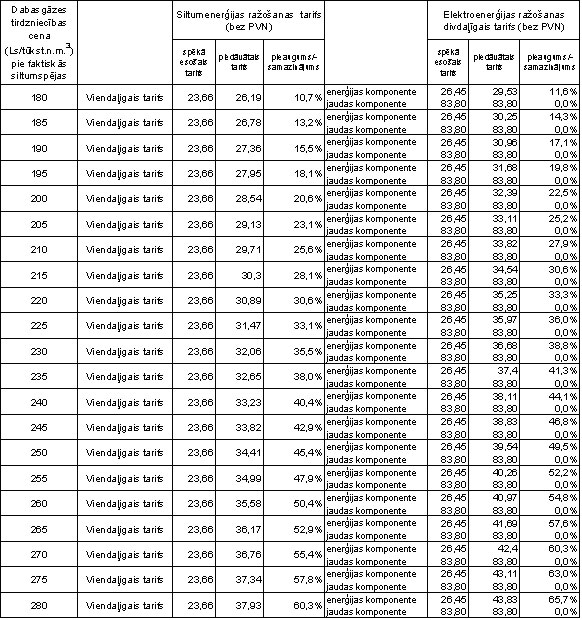
Paziņojums par AS “RĪGAS SILTUMS” SC “Imanta” koģenerācijas stacijā
saražotās siltumenerģijas un elektroenerģijas tarifu izmaiņu projekta iesniegšanu
Sabiedrisko pakalpojumu regulēšanas komisijai
AS “RĪGAS SILTUMS” (vienotais reģistrācijas nr.40003286750, juridiskā adrese: Cēsu ielā 3a, Rīgā, LV-1012) 2008.gada 30.jūlijā iesniedza Sabiedrisko pakalpojumu regulēšanas komisijai SC “Imanta” koģenerācijas stacijas saražotās siltumenerģijas un elektroenerģijas tarifu izmaiņu projektu, kurš ir aprēķināts saskaņā ar Sabiedrisko pakalpojumu regulēšanas komisijas padomes 2005.gada 21.decembra lēmumu Nr.311 apstiprinātās “Koģenerācijas stacijā saražotās siltumenerģijas un koģenerācijas stacijā ar jaudu virs 4 MW saražotās elektroenerģijas tarifu aprēķināšanas metodikas” 53.punktu.
Tabula 1.
Tabula 2.
AS “RĪGAS SILTUMS” SC “Imanta” siltumenerģijas un elektroenerģijas ražošanas tarifu projekts atkarībā no dabasgāzes tirdzniecības cenas un apstiprinātajiem dabasgāzes tirdzniecības gala tarifiem (bez PVN)
Tarifu izmaiņas ir saistītas ar dabasgāzes cenas pieaugumu saskaņā ar 2008.gada 24.jūlijā Sabiedriskās pakalpojumu regulēšanas komisijas apstiprinātajiem AS “Latvijas Gāze” dabasgāzes diferencētajiem tirdzniecības gala tarifiem.
Plānots, ka iesniegtie tarifi stāsies spēkā ar 2008.gada 1.oktobri.
Priekšlikumus un ieteikumus par tarifu projektu var iesniegt AS “RĪGAS SILTUMS” Rīgā, Cēsu ielā 3a, (e-pasts: siltums@rs.lv, tālr. 7017359, fakss 7017363), kā arī Sabiedrisko pakalpojumu regulēšanas komisijai Rīgā, Brīvības ielā 55 (fakss 7097277, e-pasts: sprk@sprk.gov.lv) rakstveidā vai elektroniskā veidā) 20 dienu laikā no šī paziņojuma publicēšanas laikrakstā.
Paziņojums
Valsts ieņēmumu dienesta Kurzemes reģionālā iestāde paziņo, ka ir veikts akcīzes nodokļa daļējs audits par konfiscētajām akcīzes precēm un pieņemts lēmums, kas uzliek pienākumu šādam nodokļu maksātājam iemaksāt budžetā papildus noteiktos maksājumus:
|
Nr. p.k. |
Nodokļu maksātāja nosaukums, NMR kods |
Lēmuma datums, numurs |
Papildu aprēķinātais nodoklis vai maksājums |
Summa (Ls) |
|
1. |
Vasilijs Ogars 31105612532 |
14.03.2008. Nr. 5.1.5-18/222 |
Akcīzes nodoklis pārējiem alkoholiskajiem dzērieniem |
1,04 |
|
Soda nauda |
0,52 |
|||
|
Kopa |
1,56 |
Saskaņā ar likuma “Par nodokļiem un nodevām” 23.panta trīspadsmito daļu lēmums stājas spēkā paziņojuma publicēšanas dienā.
Papildu aprēķinātās summas iemaksājamas budžetā 30 dienu laikā pēc paziņojuma publicēšanas.
Saskaņā ar likuma “Par nodokļiem un nodevām” 37.panta otrās daļas 1.punktu* un Administratīvā procesa likuma 77.pantu pieņemto lēmumu Vasilijam Ogaram ir tiesības 30 dienu laikā no lēmuma saņemšanas rakstveidā apstrīdēt Valsts ieņēmumu dienesta Kurzemes reģionālās iestādes direktoram. Iesniegums par lēmuma apstrīdēšanu iesniedzams Liepājas ielā 48, Kuldīgā, LV-3301.
Par p/a “Salacgrīvas komunālie pakalpojumi” sniegto pakalpojumu maksu
Salacgrīvas pilsētas ar lauku teritoriju dome 2008.gada 18.jūnijā (protokols nr.10) pieņēmusi lēmumus:
- Nr.222 “Par pašvaldības aģentūras “Salacgrīvas komunālie pakalpojumi” sniegto pakalpojumu maksas apstiprināšanu” (18.§).
- Nr.223 “Par pašvaldības aģentūras “Salacgrīvas komunālie pakalpojumi” šķeldošanas pakalpojumu maksas apstiprināšanu” (19.§)”.
Ar pieņemto lēmumu pilnu tekstu var iepazīties Salacgrīvas pilsētas ar lauku teritoriju domē Salacgrīvā, Smilšu ielā 9, un Salacgrīvas mājaslapā internetā, adrese: www.salacgriva.lv.
Paziņojums
SIA “Alpha osta” minerālmēslu termināļa drošības pārskata sabiedriskā apspriešana notiks 2008.gada 22.augustā Rīgā, Atlantijas ielā 7, 320.kabinetā. Ar drošības pārskatu var iepazīties otrdienās un ceturtdienās plkst. 10.00–17.00 uz vietas objektā Atlantijas ielā 35, vispirms piesakoties pa tālr. 67351520.
AS “Parex banka” informē, ka ar 2008.gada 1.septembri stājas spēkā izmaiņas kopējā pakalpojumu cenrādī sadaļā Maksājumu kartes
Par izmaiņām kopējā pakalpojuma cenrādī var iepazīties AS “Parex banka” filiālēs un klientu apkalpošanas centros, interneta mājas lapā www.parex.lv vai arī zvanot pa diennakts Klientu kontaktu centra tālruni 67010000.
Paziņojums
Ventspils pilsētas vēlēšanu komisija aicina izvirzīt un pieteikt savus pārstāvjus iecirkņu komisiju izveidošanai darbam tautas nobalsošanai par likumprojektu “Grozījums likumā “Par valsts pensijām”” š.g. 23.augustā atbilstoši likuma “Par pilsētu, rajonu, novadu un pagastu vēlēšanu komisijām un vēlēšanu iecirkņu komisijām” 6. un 8.pantam.
Vēlēšanu iecirkņa komisijas locekļa kandidāta pieteikuma izsniegšana un pieteikuma pieņemšana notiek katru darbdienu no pulksten 14 līdz 16 Ventspilī, Jūras ielā 36, 43.kabinetā līdz š.g. 1.augustam. Uzziņas pa tālr. 3601111.
Čehijas Nacionālās bankas paziņojums un tā neoficiāls tulkojums latviešu valodā
CZECH NATIONAL BANK
Prague, July 10th, 2008
Ref.: 2008/9997/570
Sp. 570/1/2008
Financial and Capital Market Commission
Kungu iela 1 Riga LV-1050
Latvia
Re: AIG CZECH REPUBLIC pojišt’ovna, a.s. – information on its insurance
licence withdrawal on request
We would like to inform you that the Czech National Bank has withdrawn the licence to carry out insurance and reinsurance business of the Czech insurance company AIG CZECH REPUBLIC pojišt’ovna, a.s., I.D. 264 77 696, based Praha 1, V Celnici 1031/4, PSČ 110 00, (hereinafter “AIG”). The withdrawal came into force on July 3, 2008.
Please note that the administrative decision was taken only and solely at the AIG’s own request and has neither vindicator nor compulsory character.
The information above is made pursuant to article 22 subsection 1 of the first non-life insurance Directive (73/239/EEC) stipulating that “in the event of the withdrawal or lapse of authorization, the competent authority of the home Member State shall notify the competent authorities of the other Member Stole accordingly...” Under section 33 subsection 6 of the Act No. 363/1999 Coll., Insurance Act. if the insurance licence is withdrawn ,,the CNB is obliged to inform of this decision competent authorities of other Member States”.
Hana Fouskovį Ilona Vodičkova
Director of Licensing Division
ČEHIJAS NACIONĀLĀ BANKA
Prāgā 2008. gada 10. jūlijā
Nr. 2008/9997/570
Finanšu un kapitāla tirgus komisijai
Informācija par apdrošināšanas sabiedrības AIG CZECH REPUBLIC pojišt’ovna, a.s. licences atsaukšanu pēc sabiedrības pieprasījuma
Informējam, ka Čehijas Nacionālā banka (Czech National Bank, ČNB) ir atsaukusi apdrošināšanas un pārapdrošināšanas darbības licenci, kas izsniegta Čehijas apdrošināšanas sabiedrībai AIG CZECH REPUBLIC pojišt’ovna, a.s. (I.D. 264 77 696, Praha 1, V Celnici 1031/4, PSČ 110 00, Čehijas Republika) (turpmāk AIG). Lēmums par licences atsaukšanu ir spēkā no 2008.gada 3.jūlija.
Darām zināmu, ka administratīvais lēmums ir pieņemts tikai un vienīgi pēc AIG pieprasījuma un tam nepiemīt ne attaisnojošs, ne piespiedu raksturs.
Minētā informācija tiek sniegta saskaņā ar Pirmās nedzīvības apdrošināšanas direktīvas 22. panta 1. apakšpunkta prasībām, kas paredz, ka gadījumos, ja “licence tiek atsaukta vai apturēta, tās valsts uzraudzības iestāde, kurā atrodas uzņēmuma galvenais birojs, paziņo to citu dalībvalstu uzraudzības iestādēm..”. Saskaņā ar Apdrošināšanas likuma (Nr. 363/1999 Coll.) 33.punkta 6.apakšpunktu, gadījumā ja tiek atsaukta licence, “ČNB ir pienākums par to ziņot citām dalībvalstu uzraudzības iestādēm.”
Hana Fouskovį
Licencēšanas nodaļas direktore