
prezidents izsludina šādu likumu:
List of Articles
|
Article 1: |
Abbreviated Expressions |
|
Article 2: |
Marks to Which the Treaty Applies |
|
Article 3: |
Application |
|
Article 4: |
Representation; Address for Service |
|
Article 5: |
Filing Date |
|
Article 6: |
Single Registration for Goods and/or Services in Several Classes |
|
Article 7: |
Division of Application and Registration |
|
Article 8: |
Communications |
|
Article 9: |
Classification of Goods and/or Services |
|
Article 10: |
Changes in Names or Addresses |
|
Article 11: |
Change in Ownership |
|
Article 12: |
Correction of a Mistake |
|
Article 13: |
Duration and Renewal of Registration |
|
Article 14: |
Relief Measures in Case of Failure to Comply with Time Limits |
|
Article 15: |
Obligation to Comply with the Paris Convention |
|
Article 16: |
Service Marks |
|
Article 17: |
Request for Recordal of a License |
|
Article 18: |
Request for Amendment or Cancellation of the Recordal of a License |
|
Article 19: |
Effects of the Non-Recordal of a License |
|
Article 20: |
Indication of the License |
|
Article 21: |
Observations in Case of Intended Refusal |
|
Article 22 |
Regulations |
|
Article 23: |
Assembly |
|
Article 24: |
International Bureau |
|
Article 25: |
Revision or Amendment |
|
Article 26: |
Becoming Party to the Treaty |
|
Article 27: |
Application of the TLT 1994 and This Treaty |
|
Article 28: |
Entry into Force; Effective Date of Ratifications and Accessions |
|
Article 29: |
Reservations |
|
Article 30: |
Denunciation of the Treaty |
|
Article 31: |
Languages of the Treaty; Signature |
|
Article 32: |
Depositary |
Article 1
Abbreviated Expressions
For the purposes of this Treaty, unless expressly stated otherwise:
(i) “Office” means the agency entrusted by a Contracting Party with the registration of marks;
(ii) “registration” means the registration of a mark by an Office;
(iii) “application” means an application for registration;
(iv) “communication” means any application, or any request, declaration, correspondence or other information relating to an application or a registration, which is filed with the Office;
(v) references to a “person” shall be construed as references to both a natural person and a legal entity;
(vi) “holder” means the person whom the register of marks shows as the holder of the registration;
(vii) “register of marks” means the collection of data maintained by an Office, which includes the contents of all registrations and all data recorded in respect of all registrations, irrespective of the medium in which such data are stored;
(viii) “procedure before the Office” means any procedure in proceedings before the Office with respect to an application or a registration;
(ix) “Paris Convention” means the Paris Convention for the Protection of Industrial Property, signed at Paris on March 20, 1883, as revised and amended;
(x) “Nice Classification” means the classification established by the Nice Agreement Concerning the International Classification of Goods and Services for the Purposes of the Registration of Marks, signed at Nice on June 15, 1957, as revised and amended;
(xi) “license” means a license for the use of a mark under the law of a Contracting Party;
(xii) “licensee” means the person to whom a license has been granted;
(xiii) “Contracting Party” means any State or intergovernmental organization party to this Treaty;
(xiv) “Diplomatic Conference” means the convocation of Contracting Parties for the purpose of revising or amending the Treaty;
(xv) “Assembly” means the Assembly referred to in Article 23;
(xvi) references to an “instrument of ratification” shall be construed as including references to instruments of acceptance and approval;
(xvii) “Organization” means the World Intellectual Property Organization;
(xviii) “International Bureau” means the International Bureau of the Organization;
(xix) “Director General” means the Director General of the Organization;
(xx) “Regulations” means the Regulations under this Treaty that are referred to in Article 22;
(xxi) references to an “Article” or to a “paragraph”, “subparagraph” or “item” of an Article shall be construed as including references to the corresponding rule(s) under the Regulations;
(xxii) “TLT 1994” means the Trademark Law Treaty done at Geneva on October 27, 1994.
Article 2
Marks to Which the Treaty Applies
(1) [Nature of Marks] Any Contracting Party shall apply this Treaty to marks consisting of signs that can be registered as marks under its law.
(2) [Kinds of Marks]
(a) This Treaty shall apply to marks relating to goods (trademarks) or services (service marks) or both goods and services.
(b) This Treaty shall not apply to collective marks, certification marks and guarantee marks.
Article 3
Application
(1) [Indications or Elements Contained in or Accompanying an Application; Fee]
(a) Any Contracting Party may require that an application contain some or all of the following indications or elements:
(i) a request for registration;
(ii) the name and address of the applicant;
(iii) the name of a State of which the applicant is a national if he/she is the national of any State, the name of a State in which the applicant has his/her domicile, if any, and the name of a State in which the applicant has a real and effective industrial or commercial establishment, if any;
(iv) where the applicant is a legal entity, the legal nature of that legal entity and the State, and, where applicable, the territorial unit within that State, under the law of which the said legal entity has been organized;
(v) where the applicant has a representative, the name and address of that representative;
(vi) where an address for service is required under Article 4(2)(b), such address;
(vii) where the applicant wishes to take advantage of the priority of an earlier application, a declaration claiming the priority of that earlier application, together with indications and evidence in support of the declaration of priority that may be required pursuant to Article 4 of the Paris Convention;
(viii) where the applicant wishes to take advantage of any protection resulting from the display of goods and/or services in an exhibition, a declaration to that effect, together with indications in support of that declaration, as required by the law of the Contracting Party;
(ix) at least one representation of the mark, as prescribed in the Regulations;
(x) where applicable, a statement, as prescribed in the Regulations, indicating the type of mark as well as any specific requirements applicable to that type of mark;
(xi) where applicable, a statement, as prescribed in the Regulations, indicating that the applicant wishes that the mark be registered and published in the standard characters used by the Office;
(xii) where applicable, a statement, as prescribed in the Regulations, indicating that the applicant wishes to claim color as a distinctive feature of the mark;
(xiii) a transliteration of the mark or of certain parts of the mark;
(xiv) a translation of the mark or of certain parts of the mark;
(xv) the names of the goods and/or services for which the registration is sought, grouped according to the classes of the Nice Classification, each group preceded by the number of the class of that Classification to which that group of goods or services belongs and presented in the order of the classes of the said Classification;
(xvi) a declaration of intention to use the mark, as required by the law of the Contracting Party.
(b) The applicant may file, instead of or in addition to the declaration of intention to use the mark referred to in subparagraph (a)(xvi), a declaration of actual use of the mark and evidence to that effect, as required by the law of the Contracting Party.
(c) Any Contracting Party may require that, in respect of the application, fees be paid to the Office.
(2) [Single Application for Goods and/or Services in Several Classes] One and the same application may relate to several goods and/or services, irrespective of whether they belong to one class or to several classes of the Nice Classification.
(3) [Actual Use] Any Contracting Party may require that, where a declaration of intention to use has been filed under paragraph (1)(a)(xvi), the applicant furnish to the Office within a time limit fixed in its law, subject to the minimum time limit prescribed in the Regulations, evidence of the actual use of the mark, as required by the said law.
(4) [Prohibition of Other Requirements] No Contracting Party may demand that requirements other than those referred to in paragraphs (1) and (3) and in Article 8 be complied with in respect of the application. In particular, the following may not be required in respect of the application throughout its pendency:
(i) the furnishing of any certificate of, or extract from, a register of commerce;
(ii) an indication of the applicant’s carrying on of an industrial or commercial activity, as well as the furnishing of evidence to that effect;
(iii) an indication of the applicant’s carrying on of an activity corresponding to the goods and/or services listed in the application, as well as the furnishing of evidence to that effect;
(iv) the furnishing of evidence to the effect that the mark has been registered in the register of marks of another Contracting Party or of a State party to the Paris Convention which is not a Contracting Party, except where the applicant claims the application of Article 6quinquies of the Paris Convention.
(5) [Evidence] Any Contracting Party may require that evidence be furnished to the Office in the course of the examination of the application where the Office may reasonably doubt the veracity of any indication or element contained in the application.
Article 4
Representation; Address for Service
(1) [Representatives Admitted to Practice]
(a) Any Contracting Party may require that a representative appointed for the purposes of any procedure before the Office
(i) have the right, under the applicable law, to practice before the Office in respect of applications and registrations and, where applicable, be admitted to practice before the Office;
(ii) provide, as its address, an address on a territory prescribed by the Contracting Party.
(b) An act, with respect to any procedure before the Office, by or in relation to a representative who complies with the requirements applied by the Contracting Party under subparagraph (a), shall have the effect of an act by or in relation to the applicant, holder or other interested person who appointed that representative.
(2) [Mandatory Representation; Address for Service]
(a) Any Contracting Party may require that, for the purposes of any procedure before the Office, an applicant, holder or other interested person who has neither a domicile nor a real and effective industrial or commercial establishment on its territory be represented by a representative.
(b) Any Contracting Party may, to the extent that it does not require representation in accordance with subparagraph (a), require that, for the purposes of any procedure before the Office, an applicant, holder or other interested person who has neither a domicile nor a real and effective industrial or commercial establishment on its territory have an address for service on that territory.
(3) [Power of Attorney]
(a) Whenever a Contracting Party allows or requires an applicant, a holder or any other interested person to be represented by a representative before the Office, it may require that the representative be appointed in a separate communication (hereinafter referred to as “power of attorney”) indicating the name of the applicant, the holder or the other person, as the case may be.
(b) The power of attorney may relate to one or more applications and/or registrations identified in the power of attorney or, subject to any exception indicated by the appointing person, to all existing and future applications and/or registrations of that person.
(c) The power of attorney may limit the powers of the representative to certain acts. Any Contracting Party may require that any power of attorney under which the representative has the right to withdraw an application or to surrender a registration contain an express indication to that effect.
(d) Where a communication is submitted to the Office by a person who refers to itself in the communication as a representative but where the Office is, at the time of the receipt of the communication, not in possession of the required power of attorney, the Contracting Party may require that the power of attorney be submitted to the Office within the time limit fixed by the Contracting Party, subject to the minimum time limit prescribed in the Regulations. Any Contracting Party may provide that, where the power of attorney has not been submitted to the Office within the time limit fixed by the Contracting Party, the communication by the said person shall have no effect.
(4) [Reference to Power of Attorney] Any Contracting Party may require that any communication made to the Office by a representative for the purposes of a procedure before the Office contain a reference to the power of attorney on the basis of which the representative acts.
(5) [Prohibition of Other Requirements] No Contracting Party may demand that requirements other than those referred to in paragraphs (3) and (4) and in Article 8 be complied with in respect of the matters dealt with in those paragraphs.
(6) [Evidence] Any Contracting Party may require that evidence be furnished to the Office where the Office may reasonably doubt the veracity of any indication contained in any communication referred to in paragraphs (3) and (4).
Article 5
Filing Date
(1) [Permitted Requirements]
(a) Subject to subparagraph (b) and paragraph (2), a Contracting Party shall accord as the filing date of an application the date on which the Office received the following indications and elements in the language required under Article 8(2):
(i) an express or implicit indication that the registration of a mark is sought;
(ii) indications allowing the identity of the applicant to be established;
(iii) indications allowing the applicant or its representative, if any, to be contacted by the Office;
(iv) a sufficiently clear representation of the mark whose registration is sought;
(v) the list of the goods and/or services for which the registration is sought;
(vi) where Article 3(1)(a)(xvi) or (b) applies, the declaration referred to in Article 3(1)(a)(xvi) or the declaration and evidence referred to in Article 3(1)(b), respectively, as required by the law of the Contracting Party.
(b) Any Contracting Party may accord as the filing date of the application the date on which the Office received only some, rather than all, of the indications and elements referred to in subparagraph (a) or received them in a language other than the language required under Article 8(2).
(2) [Permitted Additional Requirement]
(a) A Contracting Party may provide that no filing date shall be accorded until the required fees are paid.
(b) A Contracting Party may apply the requirement referred to in subparagraph (a) only if it applied such requirement at the time of becoming party to this Treaty.
(3) [Corrections and Time Limits] The modalities of, and time limits for, corrections under paragraphs (1) and (2) shall be fixed in the Regulations.
(4) [Prohibition of Other Requirements] No Contracting Party may demand that requirements other than those referred to in paragraphs (1) and (2) be complied with in respect of the filing date.
Article 6
Single Registration for Goods and/or Services in Several
Classes
Where goods and/or services belonging to several classes of the Nice Classification have been included in one and the same application, such an application shall result in one and the same registration.
Article 7
Division of Application and Registration
(1) [Division of Application]
(a) Any application listing several goods and/or services (hereinafter referred to as “initial application”) may,
(i) at least until the decision by the Office on the registration of the mark,
(ii) during any opposition proceedings against the decision of the Office to register the mark,
(iii) during any appeal proceedings against the decision on the registration of the mark,
be divided by the applicant or at its request into two or more applications (hereinafter referred to as “divisional applications”) by distributing among the latter the goods and/or services listed in the initial application. The divisional applications shall preserve the filing date of the initial application and the benefit of the right of priority, if any.
(b) Any Contracting Party shall, subject to subparagraph (a), be free to establish requirements for the division of an application, including the payment of fees.
(2) [Division of Registration] Paragraph (1) shall apply, mutatis mutandis, with respect to a division of a registration. Such a division shall be permitted
(i) during any proceedings in which the validity of the registration is challenged before the Office by a third party,
(ii) during any appeal proceedings against a decision taken by the Office during the former proceedings,
provided that a Contracting Party may exclude the possibility of the division of registrations if its law allows third parties to oppose the registration of a mark before the mark is registered.
Article 8
Communications
(1) [Means of Transmittal and Form of Communications] Any Contracting Party may choose the means of transmittal of communications and whether it accepts communications on paper, communications in electronic form or any other form of communication.
(2) [Language of Communications]
(a) Any Contracting Party may require that any communication be in a language admitted by the Office. Where the Office admits more than one language, the applicant, holder or other interested person may be required to comply with any other language requirement applicable with respect to the Office, provided that no indication or element of the communication may be required to be in more than one language.
(b) No Contracting Party may require the attestation, notarization, authentication, legalization or any other certification of any translation of a communication other than as provided under this Treaty.
(c) Where a Contracting Party does not require a communication to be in a language admitted by its Office, the Office may require that a translation of that communication by an official translator or a representative, into a language admitted by the Office, be supplied within a reasonable time limit.
(3) [Signature of Communications on Paper]
(a) Any Contracting Party may require that a communication on paper be signed by the applicant, holder or other interested person. Where a Contracting Party requires a communication on paper to be signed, that Contracting Party shall accept any signature that complies with the requirements prescribed in the Regulations.
(b) No Contracting Party may require the attestation, notarization, authentication, legalization or other certification of any signature except, where the law of the Contracting Party so provides, if the signature concerns the surrender of a registration.
(c) Notwithstanding subparagraph (b), a Contracting Party may require that evidence be filed with the Office where the Office may reasonably doubt the authenticity of any signature of a communication on paper.
(4) [Communications Filed in Electronic Form or by Electronic Means of Transmittal] Where a Contracting Party permits the filing of communications in electronic form or by electronic means of transmittal, it may require that any such communications comply with the requirements prescribed in the Regulations.
(5) [Presentation of a Communication] Any Contracting Party shall accept the presentation of a communication the content of which corresponds to the relevant Model International Form, if any, provided for in the Regulations.
(6) [Prohibition of Other Requirements] No Contracting Party may demand that, in respect of paragraphs (1) to (5), requirements other than those referred to in this Article be complied with.
(7) [Means of Communication with Representative] Nothing in this Article regulates the means of communication between an applicant, holder or other interested person and its representative.
Article 9
Classification of Goods and/or Services
(1) [Indications of Goods and/or Services] Each registration and any publication effected by an Office which concerns an application or registration and which indicates goods and/or services shall indicate the goods and/or services by their names, grouped according to the classes of the Nice Classification, and each group shall be preceded by the number of the class of that Classification to which that group of goods or services belongs and shall be presented in the order of the classes of the said Classification.
(2) [Goods or Services in the Same Class or in Different Classes]
(a) Goods or services may not be considered as being similar to each other on the ground that, in any registration or publication by the Office, they appear in the same class of the Nice Classification.
(b) Goods or services may not be considered as being dissimilar from each other on the ground that, in any registration or publication by the Office, they appear in different classes of the Nice Classification.
Article 10
Changes in Names or Addresses
(1) [Changes in the Name or Address of the Holder]
(a) Where there is no change in the person of the holder but there is a change in its name and/or address, each Contracting Party shall accept that a request for the recordal of the change by the Office in its register of marks be made by the holder in a communication indicating the registration number of the registration concerned and the change to be recorded.
(b) Any Contracting Party may require that the request indicate
(i) the name and address of the holder;
(ii) where the holder has a representative, the name and address of that representative;
(iii) where the holder has an address for service, such address.
(c) Any Contracting Party may require that, in respect of the request, a fee be paid to the Office.
(d) A single request shall be sufficient even where the change relates to more than one registration, provided that the registration numbers of all registrations concerned are indicated in the request.
(2) [Change in the Name or Address of the Applicant] Paragraph (1) shall apply, mutatis mutandis, where the change concerns an application or applications, or both an application or applications and a registration or registrations, provided that, where the application number of any application concerned has not yet been issued or is not known to the applicant or its representative, the request otherwise identifies that application as prescribed in the Regulations.
(3) [Change in the Name or Address of the Representative or in the Address for Service] Paragraph (1) shall apply, mutatis mutandis, to any change in the name or address of the representative, if any, and to any change relating to the address for service, if any.
(4) [Prohibition of Other Requirements] No Contracting Party may demand that requirements other than those referred to in paragraphs (1) to (3) and in Article 8 be complied with in respect of the request referred to in this Article. In particular, the furnishing of any certificate concerning the change may not be required.
(5) [Evidence] Any Contracting Party may require that evidence be furnished to the Office where the Office may reasonably doubt the veracity of any indication contained in the request.
Article 11
Change in Ownership
(1) [Change in the Ownership of a Registration]
(a) Where there is a change in the person of the holder, each Contracting Party shall accept that a request for the recordal of the change by the Office in its register of marks be made by the holder or by the person who acquired the ownership (hereinafter referred to as “new owner”) in a communication indicating the registration number of the registration concerned and the change to be recorded.
(b) Where the change in ownership results from a contract, any Contracting Party may require that the request indicate that fact and be accompanied, at the option of the requesting party, by one of the following:
(i) a copy of the contract, which copy may be required to be certified, by a notary public or any other competent public authority, as being in conformity with the original contract;
(ii) an extract of the contract showing the change in ownership, which extract may be required to be certified, by a notary public or any other competent public authority, as being a true extract of the contract;
(iii) an uncertified certificate of transfer drawn up in the form and with the content as prescribed in the Regulations and signed by both the holder and the new owner;
(iv) an uncertified transfer document drawn up in the form and with the content as prescribed in the Regulations and signed by both the holder and the new owner.
(c) Where the change in ownership results from a merger, any Contracting Party may require that the request indicate that fact and be accompanied by a copy of a document, which document originates from the competent authority and evidences the merger, such as a copy of an extract from a register of commerce, and that that copy be certified by the authority which issued the document or by a notary public or any other competent public authority, as being in conformity with the original document.
(d) Where there is a change in the person of one or more but not all of several co-holders and such change in ownership results from a contract or a merger, any Contracting Party may require that any co-holder in respect of which there is no change in ownership give its express consent to the change in ownership in a document signed by it.
(e) Where the change in ownership does not result from a contract or a merger but from another ground, for example, from operation of law or a court decision, any Contracting Party may require that the request indicate that fact and be accompanied by a copy of a document evidencing the change and that that copy be certified as being in conformity with the original document by the authority which issued the document or by a notary public or any other competent public authority.
(f) Any Contracting Party may require that the request indicate
(i) the name and address of the holder;
(ii) the name and address of the new owner;
(iii) the name of a State of which the new owner is a national if he/she is the national of any State, the name of a State in which the new owner has his/her domicile, if any, and the name of a State in which the new owner has a real and effective industrial or commercial establishment, if any;
(iv) where the new owner is a legal entity, the legal nature of that legal entity and the State, and, where applicable, the territorial unit within that State, under the law of which the said legal entity has been organized;
(v) where the holder has a representative, the name and address of that representative;
(vi) where the holder has an address for service, such address;
(vii) where the new owner has a representative, the name and address of that representative;
(viii) where the new owner is required to have an address for service under Article 4(2)(b), such address.
(g) Any Contracting Party may require that, in respect of the request, a fee be paid to the Office.
(h) A single request shall be sufficient even where the change relates to more than one registration, provided that the holder and the new owner are the same for each registration and that the registration numbers of all registrations concerned are indicated in the request.
(i) Where the change of ownership does not affect all the goods and/or services listed in the holder’s registration, and the applicable law allows the recording of such change, the Office shall create a separate registration referring to the goods and/or services in respect of which the ownership has changed.
(2) [Change in the Ownership of an Application] Paragraph (1) shall apply, mutatis mutandis, where the change in ownership concerns an application or applications, or both an application or applications and a registration or registrations, provided that, where the application number of any application concerned has not yet been issued or is not known to the applicant or its representative, the request otherwise identifies that application as prescribed in the Regulations.
(3) [Prohibition of Other Requirements] No Contracting Party may demand that requirements other than those referred to in paragraphs (1) and (2) and in Article 8 be complied with in respect of the request referred to in this Article. In particular, the following may not be required:
(i) subject to paragraph (1)(c), the furnishing of any certificate of, or extract from, a register of commerce;
(ii) an indication of the new owner’s carrying on of an industrial or commercial activity, as well as the furnishing of evidence to that effect;
(iii) an indication of the new owner’s carrying on of an activity corresponding to the goods and/or services affected by the change in ownership, as well as the furnishing of evidence to either effect;
(iv) an indication that the holder transferred, entirely or in part, its business or the relevant goodwill to the new owner, as well as the furnishing of evidence to either effect.
(4) [Evidence] Any Contracting Party may require that evidence, or further evidence where paragraph (1)(c) or (e) applies, be furnished to the Office where that Office may reasonably doubt the veracity of any indication contained in the request or in any document referred to in the present Article.
Article 12
Correction of a Mistake
(1) [Correction of a Mistake in Respect of a Registration]
(a) Each Contracting Party shall accept that the request for the correction of a mistake which was made in the application or other request communicated to the Office and which mistake is reflected in its register of marks and/or any publication by the Office be made by the holder in a communication indicating the registration number of the registration concerned, the mistake to be corrected and the correction to be entered.
(b) Any Contracting Party may require that the request indicate
(i) the name and address of the holder;
(ii) where the holder has a representative, the name and address of that representative;
(iii) where the holder has an address for service, such address.
(c) Any Contracting Party may require that, in respect of the request, a fee be paid to the Office.
(d) A single request shall be sufficient even where the correction relates to more than one registration of the same person, provided that the mistake and the requested correction are the same for each registration and that the registration numbers of all registrations concerned are indicated in the request.
(2) [Correction of a Mistake in Respect of an Application] Paragraph (1) shall apply, mutatis mutandis, where the mistake concerns an application or applications, or both an application or applications and a registration or registrations, provided that, where the application number of any application concerned has not yet been issued or is not known to the applicant or its representative, the request otherwise identifies that application as prescribed in the Regulations.
(3) [Prohibition of Other Requirements] No Contracting Party may demand that requirements other than those referred to in paragraphs (1) and (2) and in Article 8 be complied with in respect of the request referred to in this Article.
(4) [Evidence] Any Contracting Party may require that evidence be furnished to the Office where the Office may reasonably doubt that the alleged mistake is in fact a mistake.
(5) [Mistakes Made by the Office] The Office of a Contracting Party shall correct its own mistakes, ex officio or upon request, for no fee.
(6) [Uncorrectable Mistakes] No Contracting Party shall be obliged to apply paragraphs (1), (2) and (5) to any mistake which cannot be corrected under its law.
Article 13
Duration and Renewal of Registration
(1) [Indications or Elements Contained in or Accompanying a Request for Renewal; Fee]
(a) Any Contracting Party may require that the renewal of a registration be subject to the filing of a request and that such request contain some or all of the following indications:
(i) an indication that renewal is sought;
(ii) the name and address of the holder;
(iii) the registration number of the registration concerned;
(iv) at the option of the Contracting Party, the filing date of the application which resulted in the registration concerned or the registration date of the registration concerned;
(v) where the holder has a representative, the name and address of that representative;
(vi) where the holder has an address for service, such address;
(vii) where the Contracting Party allows the renewal of a registration to be made for some only of the goods and/or services which are recorded in the register of marks and such a renewal is requested, the names of the recorded goods and/or services for which the renewal is requested or the names of the recorded goods and/or services for which the renewal is not requested, grouped according to the classes of the Nice Classification, each group preceded by the number of the class of that Classification to which that group of goods or services belongs and presented in the order of the classes of the said Classification;
(viii) where a Contracting Party allows a request for renewal to be filed by a person other than the holder or its representative and the request is filed by such a person, the name and address of that person.
(b) Any Contracting Party may require that, in respect of the request for renewal, a fee be paid to the Office. Once the fee has been paid in respect of the initial period of the registration or of any renewal period, no further payment may be required for the maintenance of the registration in respect of that period. Fees associated with the furnishing of a declaration and/or evidence of use shall not be regarded, for the purposes of this subparagraph, as payments required for the maintenance of the registration and shall not be affected by this subparagraph.
(c) Any Contracting Party may require that the request for renewal be presented, and the corresponding fee referred to in subparagraph (b) be paid, to the Office within the period fixed by the law of the Contracting Party, subject to the minimum periods prescribed in the Regulations.
(2) [Prohibition of Other Requirements] No Contracting Party may demand that requirements other than those referred to in paragraph (1) and in Article 8 be complied with in respect of the request for renewal. In particular, the following may not be required:
(i) any representation or other identification of the mark;
(ii) the furnishing of evidence to the effect that the mark has been registered, or that its registration has been renewed, in any other register of marks;
(iii) the furnishing of a declaration and/or evidence concerning use of the mark.
(3) [Evidence] Any Contracting Party may require that evidence be furnished to the Office in the course of the examination of the request for renewal where the Office may reasonably doubt the veracity of any indication or element contained in the request for renewal.
(4) [Prohibition of Substantive Examination] No Office of a Contracting Party may, for the purposes of effecting the renewal, examine the registration as to substance.
(5) [Duration] The duration of the initial period of the registration, and the duration of each renewal period, shall be 10 years.
Article 14
Relief Measures in Case of Failure to Comply with Time
Limits
(1) [Relief Measure Before the Expiry of a Time Limit] A Contracting Party may provide for the extension of a time limit for an action in a procedure before the Office in respect of an application or a registration, if a request to that effect is filed with the Office prior to the expiry of the time limit.
(2) [Relief Measures After the Expiry of a Time Limit] Where an applicant, holder or other interested person has failed to comply with a time limit (“the time limit concerned”) for an action in a procedure before the Office of a Contracting Party in respect of an application or a registration, the Contracting Party shall provide for one or more of the following relief measures, in accordance with the requirements prescribed in the Regulations, if a request to that effect is filed with the Office:
(i) extension of the time limit concerned for the period prescribed in the Regulations;
(ii) continued processing with respect to the application or registration;
(iii) reinstatement of the rights of the applicant, holder or other interested person with respect to the application or registration if the Office finds that the failure to comply with the time limit concerned occurred in spite of due care required by the circumstances having been taken or, at the option of the Contracting Party, that the failure was unintentional.
(3) [Exceptions] No Contracting Party shall be required to provide for any of the relief measures referred to in paragraph (2) with respect to the exceptions prescribed in the Regulations.
(4) [Fee] Any Contracting Party may require that a fee be paid in respect of any of the relief measures referred to in paragraphs (1) and (2).
(5) [Prohibition of Other Requirements] No Contracting Party may demand that requirements other than those referred to in this Article and in Article 8 be complied with in respect of any of the relief measures referred to in paragraph (2).
Article 15
Obligation to Comply with the Paris Convention
Any Contracting Party shall comply with the provisions of the Paris Convention which concern marks.
Article 16
Service Marks
Any Contracting Party shall register service marks and apply to such marks the provisions of the Paris Convention which concern trademarks.
Article 17
Request for Recordal of a License
(1) [Requirements Concerning the Request for Recordal] Where the law of a Contracting Party provides for the recordal of a license with its Office, that Contracting Party may require that the request for recordal
(i) be filed in accordance with the requirements prescribed in the Regulations, and
(ii) be accompanied by the supporting documents prescribed in the Regulations.
(2) [Fee] Any Contracting Party may require that, in respect of the recordal of a license, a fee be paid to the Office.
(3) [Single Request Relating to Several Registrations] A single request shall be sufficient even where the license relates to more than one registration, provided that the registration numbers of all registrations concerned are indicated in the request, the holder and the licensee are the same for all registrations, and the request indicates the scope of the license in accordance with the Regulations with respect to all registrations.
(4) [Prohibition of Other Requirements]
(a) No Contracting Party may demand that requirements other than those referred to in paragraphs (1) to (3) and in Article 8 be complied with in respect of the recordal of a license with its Office. In particular, the following may not be required:
(i) the furnishing of the registration certificate of the mark which is the subject of the license;
(ii) the furnishing of the license contract or a translation of it;
(iii) an indication of the financial terms of the license contract.
(b) Subparagraph (a) is without prejudice to any obligations existing under the law of a Contracting Party concerning the disclosure of information for purposes other than the recording of the license in the register of marks.
(5) [Evidence] Any Contracting Party may require that evidence be furnished to the Office where the Office may reasonably doubt the veracity of any indication contained in the request or in any document referred to in the Regulations.
(6) [Requests Relating to Applications] Paragraphs (1) to (5) shall apply, mutatis mutandis, to requests for recordal of a license for an application, where the law of a Contracting Party provides for such recordal.
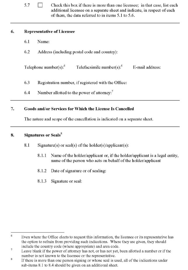
Article 18
Request for Amendment or Cancellation of the Recordal of a
License
(1) [Requirements Concerning the Request] Where the law of a Contracting Party provides for the recordal of a license with its Office, that Contracting Party may require that the request for amendment or cancellation of the recordal of a license
(i) be filed in accordance with the requirements prescribed in the Regulations, and
(ii) be accompanied by the supporting documents prescribed in the Regulations.
(2) [Other Requirements] Article 17(2) to (6) shall apply, mutatis mutandis, to requests for amendment or cancellation of the recordal of a license.
Article 19
Effects of the Non-Recordal of a License
(1) [Validity of the Registration and Protection of the Mark] The non‑recordal of a license with the Office or with any other authority of the Contracting Party shall not affect the validity of the registration of the mark which is the subject of the license or the protection of that mark.
(2) [Certain Rights of the Licensee] A Contracting Party may not require the recordal of a license as a condition for any right that the licensee may have under the law of that Contracting Party to join infringement proceedings initiated by the holder or to obtain, by way of such proceedings, damages resulting from an infringement of the mark which is the subject of the license.
(3) [Use of a Mark Where License Is Not Recorded] A Contracting Party may not require the recordal of a license as a condition for the use of a mark by a licensee to be deemed to constitute use by the holder in proceedings relating to the acquisition, maintenance and enforcement of marks.
Article 20
Indication of the License
Where the law of a Contracting Party requires an indication that the mark is used under a license, full or partial non‑compliance with that requirement shall not affect the validity of the registration of the mark which is the subject of the license or the protection of that mark, and shall not affect the application of Article 19(3).
Article 21
Observations in Case of Intended Refusal
An application under Article 3 or a request under Articles 7, 10 to 14, 17 and 18 may not be refused totally or in part by an Office without giving the applicant or the requesting party, as the case may be, an opportunity to make observations on the intended refusal within a reasonable time limit. In respect of Article 14, no Office shall be required to give an opportunity to make observations where the person requesting the relief measure has already had an opportunity to present an observation on the facts on which the decision is to be based.
Article 22
Regulations
(1) [Content]
(a) The Regulations annexed to this Treaty provide rules concerning
(i) matters which this Treaty expressly provides to be “prescribed in the Regulations”;
(ii) any details useful in the implementation of the provisions of this Treaty;
(iii) any administrative requirements, matters or procedures.
(b) The Regulations also contain Model International Forms.
(2) [Amending the Regulations] Subject to paragraph (3), any amendment of the Regulations shall require three‑fourths of the votes cast.
(3) [Requirement of Unanimity]
(a) The Regulations may specify provisions of the Regulations which may be amended only by unanimity.
(b) Any amendment of the Regulations resulting in the addition of provisions to, or the deletion of provisions from, the provisions specified in the Regulations pursuant to subparagraph (a) shall require unanimity.
(c) In determining whether unanimity is attained, only votes actually cast shall be taken into consideration. Abstentions shall not be considered as votes.
(4) [Conflict Between the Treaty and the Regulations] In the case of conflict between the provisions of this Treaty and those of the Regulations, the former shall prevail.
Article 23
Assembly
(1) [Composition]
(a) The Contracting Parties shall have an Assembly.
(b) Each Contracting Party shall be represented in the Assembly by one delegate, who may be assisted by alternate delegates, advisors and experts. Each delegate may represent only one Contracting Party.
(2) [Tasks] The Assembly shall
(i) deal with matters concerning the development of this Treaty;
(ii) amend the Regulations, including the Model International Forms;
(iii) determine the conditions for the date of application of each amendment referred to in item (ii);
(iv) perform such other functions as are appropriate to implementing the provisions of this Treaty.
(3) [Quorum]
(a) One-half of the members of the Assembly which are States shall constitute a quorum.
(b) Notwithstanding subparagraph (a), if, in any session, the number of the members of the Assembly which are States and are represented is less than one-half but equal to or more than one-third of the members of the Assembly which are States, the Assembly may make decisions but, with the exception of decisions concerning its own procedure, all such decisions shall take effect only if the conditions set forth hereinafter are fulfilled. The International Bureau shall communicate the said decisions to the members of the Assembly which are States and were not represented and shall invite them to express in writing their vote or abstention within a period of three months from the date of the communication. If, at the expiration of this period, the number of such members having thus expressed their vote or abstention attains the number of the members which was lacking for attaining the quorum in the session itself, such decisions shall take effect, provided that at the same time the required majority still obtains.
(4) [Taking Decisions in the Assembly]
(a) The Assembly shall endeavor to take its decisions by consensus.
(b) Where a decision cannot be arrived at by consensus, the matter at issue shall be decided by voting. In such a case,
(i) each Contracting Party that is a State shall have one vote and shall vote only in its own name; and
(ii) any Contracting Party that is an intergovernmental organization may participate in the vote, in place of its Member States, with a number of votes equal to the number of its Member States which are party to this Treaty. No such intergovernmental organization shall participate in the vote if any one of its Member States exercises its right to vote and vice versa. In addition, no such intergovernmental organization shall participate in the vote if any one of its Member States party to this Treaty is a Member State of another such intergovernmental organization and that other intergovernmental organization participates in that vote.
(5) [Majorities]
(a) Subject to Articles 22(2) and (3), the decisions of the Assembly shall require two-thirds of the votes cast.
(b) In determining whether the required majority is attained, only votes actually cast shall be taken into consideration. Abstentions shall not be considered as votes.
(6) [Sessions] The Assembly shall meet upon convocation by the Director General and, in the absence of exceptional circumstances, during the same period and at the same place as the General Assembly of the Organization.
(7) [Rules of Procedure] The Assembly shall establish its own rules of procedure, including rules for the convocation of extraordinary sessions.
Article 24
International Bureau
(1) [Administrative Tasks]
(a) The International Bureau shall perform the administrative tasks concerning this Treaty.
(b) In particular, the International Bureau shall prepare the meetings and provide the secretariat of the Assembly and of such committees of experts and working groups as may be established by the Assembly.
(2) [Meetings Other than Sessions of the Assembly] The Director General shall convene any committee and working group established by the Assembly.
(3) [Role of the International Bureau in the Assembly and Other Meetings]
(a) The Director General and persons designated by the Director General shall participate, without the right to vote, in all meetings of the Assembly, the committees and working groups established by the Assembly.
(b) The Director General or a staff member designated by the Director General shall be ex officio secretary of the Assembly, and of the committees and working groups referred to in subparagraph (a).
(4) [Conferences]
(a) The International Bureau shall, in accordance with the directions of the Assembly, make the preparations for any revision conferences.
(b) The International Bureau may consult with Member States of the Organization, intergovernmental organizations and international and national non‑governmental organizations concerning the said preparations.
(c) The Director General and persons designated by the Director General shall take part, without the right to vote, in the discussions at revision conferences.
(5) [Other Tasks] The International Bureau shall carry out any other tasks assigned to it in relation to this Treaty.
Article 25
Revision or Amendment
This Treaty may only be revised or amended by a diplomatic conference. The convocation of any diplomatic conference shall be decided by the Assembly.
Article 26
Becoming Party to the Treaty
(1) [Eligibility] The following entities may sign and, subject to paragraphs (2) and (3) and Article 28(1) and (3), become party to this Treaty:
(i) any State member of the Organization in respect of which marks may be registered with its own Office;
(ii) any intergovernmental organization which maintains an Office in which marks may be registered with effect in the territory in which the constituting treaty of the intergovernmental organization applies, in all its Member States or in those of its Member States which are designated for such purpose in the relevant application, provided that all the Member States of the intergovernmental organization are members of the Organization;
(iii) any State member of the Organization in respect of which marks may be registered only through the Office of another specified State that is a member of the Organization;
(iv) any State member of the Organization in respect of which marks may be registered only through the Office maintained by an intergovernmental organization of which that State is a member;
(v) any State member of the Organization in respect of which marks may be registered only through an Office common to a group of States members of the Organization.
(2) [Ratification or Accession] Any entity referred to in paragraph (1) may deposit
(i) an instrument of ratification, if it has signed this Treaty,
(ii) an instrument of accession, if it has not signed this Treaty.
(3) [Effective Date of Deposit] The effective date of the deposit of an instrument of ratification or accession shall be,
(i) in the case of a State referred to in paragraph (1)(i), the date on which the instrument of that State is deposited;
(ii) in the case of an intergovernmental organization, the date on which the instrument of that intergovernmental organization is deposited;
(iii) in the case of a State referred to in paragraph (1)(iii), the date on which the following condition is fulfilled: the instrument of that State has been deposited and the instrument of the other, specified State has been deposited;
(iv) in the case of a State referred to in paragraph (1)(iv), the date applicable under item (ii), above;
(v) in the case of a State member of a group of States referred to in paragraph (1)(v), the date on which the instruments of all the States members of the group have been deposited.
Article 27
Application of the TLT 1994 and This Treaty
(1) [Relations Between Contracting Parties to Both This Treaty and the TLT 1994] This Treaty alone shall be applicable as regards the mutual relations of Contracting Parties to both this Treaty and the TLT 1994.
(2) [Relations Between Contracting Parties to This Treaty and Contracting Parties to the TLT 1994 That Are Not Party to This Treaty] Any Contracting Party to both this Treaty and the TLT 1994 shall continue to apply the TLT 1994 in its relations with Contracting Parties to the TLT 1994 that are not party to this Treaty.
Article 28
Entry into Force; Effective Date of Ratifications and
Accessions
(1) [Instruments to Be Taken into Consideration] For the purposes of this Article, only instruments of ratification or accession that are deposited by entities referred to in Article 26(1) and that have an effective date according to Article 26(3) shall be taken into consideration.
(2) [Entry into Force of the Treaty] This Treaty shall enter into force three months after ten States or intergovernmental organizations referred to in Article 26(1)(ii) have deposited their instruments of ratification or accession.
(3) [Entry into Force of Ratifications and Accessions Subsequent to the Entry into Force of the Treaty] Any entity not covered by paragraph (2) shall become bound by this Treaty three months after the date on which it has deposited its instrument of ratification or accession.
Article 29
Reservations
(1) [Special Kinds of Marks] Any State or intergovernmental organization may declare through a reservation that, notwithstanding Article 2(1) and (2)(a), any of the provisions of Articles 3(1), 5, 7, 8(5), 11 and 13 shall not apply to associated marks, defensive marks or derivative marks. Such reservation shall specify those of the aforementioned provisions to which the reservation relates.
(2) [Multiple‑class Registration] Any State or intergovernmental organization, whose legislation at the date of adoption of this Treaty provides for a multiple‑class registration for goods and for a multiple‑class registration for services may, when acceding to this Treaty, declare through a reservation that the provisions of Article 6 shall not apply.
(3) [Substantive Examination on the Occasion of Renewal] Any State or intergovernmental organization may declare through a reservation that, notwithstanding Article 13(4), the Office may, on the occasion of the first renewal of a registration covering services, examine such registration as to substance, provided that such examination shall be limited to the elimination of multiple registrations based on applications filed during a period of six months following the entry into force of the law of such State or organization that introduced, before the entry into force of this Treaty, the possibility of registering service marks.
(4) [Certain Rights of the Licensee] Any State or intergovernmental organization may declare through a reservation that, notwithstanding Article 19(2), it requires the recordal of a license as a condition for any right that the licensee may have under the law of that State or intergovernmental organization to join infringement proceedings initiated by the holder or to obtain, by way of such proceedings, damages resulting from an infringement of the mark which is the subject of the license.
(5) [Modalities] Any reservation under paragraphs (1), (2), (3) or (4) shall be made in a declaration accompanying the instrument of ratification of, or accession to, this Treaty of the State or intergovernmental organization making the reservation.
(6) [Withdrawal] Any reservation under paragraphs (1), (2), (3) or (4) may be withdrawn at any time.
(7) [Prohibition of Other Reservations] No reservation to this Treaty other than the reservations allowed under paragraphs (1), (2), (3) and (4) shall be permitted.
Article 30
Denunciation of the Treaty
(1) [Notification] Any Contracting Party may denounce this Treaty by notification addressed to the Director General.
(2) [Effective Date] Denunciation shall take effect one year from the date on which the Director General has received the notification. It shall not affect the application of this Treaty to any application pending or any mark registered in respect of the denouncing Contracting Party at the time of the expiration of the said one-year period, provided that the denouncing Contracting Party may, after the expiration of the said one-year period, discontinue applying this Treaty to any registration as from the date on which that registration is due for renewal.
Article 31
Languages of the Treaty; Signature
(1) [Original Texts; Official Texts]
(a) This Treaty shall be signed in a single original in the English, Arabic, Chinese, French, Russian and Spanish languages, all texts being equally authentic.
(b) An official text in a language not referred to in subparagraph (a) that is an official language of a Contracting Party shall be established by the Director General after consultation with the said Contracting Party and any other interested Contracting Party.
(2) [Time Limit for Signature] This Treaty shall remain open for signature at the headquarters of the Organization for one year after its adoption.
Article 32
Depositary
The Director General shall be the depositary of this Treaty.
REGULATIONS UNDER THE SINGAPORE TREATY ON THE LAW OF TRADEMARKS
List of Rules
|
Rule 1: |
Abbreviated Expressions |
|
Rule 2: |
Manner of Indicating Names and Addresses |
|
Rule 3: |
Details Concerning the Application |
|
Rule 4: |
Details Concerning Representation and Address for Service |
|
Rule 5: |
Details Concerning the Filing Date |
|
Rule 6: |
Details Concerning Communications |
|
Rule 7: |
Manner of Identification of an Application Without Its Application Number |
|
Rule 8: |
Details Concerning Duration and Renewal |
|
Rule 9: |
Relief Measures in Case of Failure to Comply with Time Limits |
|
Rule 10: |
Requirements Concerning the Request for Recordal of a License or for Amendment or Cancellation of the Recordal of a License |
List of Model International Forms
|
Form No. 1 |
Application for the Registration of a Mark |
|
Form No. 2 |
Power of Attorney |
|
Form No. 3 |
Request for the Recordal of Change(s) in Name(s) and/or Address(es) |
|
Form No. 4 |
Request for the Recordal of a Change in Ownership
in Respect of |
|
Form No. 5 |
Certificate of Transfer in Respect of Registration(s) and/or Application(s) for Registration of Marks |
|
Form No. 6 |
Transfer Document in Respect of Registration(s) and/or Application(s) for Registration of Marks |
|
Form No. 7 |
Request for the Correction of Mistake(s) in
Registration(s) and/or |
|
Form No. 8 |
Request for the Renewal of a Registration |
|
Form No. 9 |
Request for Recordal of License |
|
Form No. 10 |
Statement of License |
|
Form No. 11 |
Statement of Amendment of License |
|
Form No. 12 |
Statement of Cancellation of License |
Rule 1
Abbreviated Expressions
(1) [Abbreviated Expressions Defined in the Regulations] For the purposes of these Regulations, unless expressly stated otherwise:
(i) “Treaty” means the Singapore Treaty on the Law of Trademarks;
(ii) “Article” refers to the specified Article of the Treaty;
(iii) “exclusive license” means a license which is only granted to one licensee and which excludes the holder from using the mark and from granting licenses to any other person;
(iv) “sole license” means a license which is only granted to one licensee and which excludes the holder from granting licenses to any other person but does not exclude the holder from using the mark;
(v) “non-exclusive license” means a license which does not exclude the holder from using the mark or from granting licenses to any other person.
(2) [Abbreviated Expressions Defined in the Treaty] The abbreviated expressions defined in Article 1 for the purposes of the Treaty shall have the same meaning for the purposes of these Regulations.
Rule 2
Manner of Indicating Names and Addresses
(1) [Names]
(a) Where the name of a person is to be indicated, any Contracting Party may require,
(i) where the person is a natural person, that the name to be indicated be the family or principal name and the given or secondary name or names of that person or that the name to be indicated be, at that person’s option, the name or names customarily used by the said person;
(ii) where the person is a legal entity, that the name to be indicated be the full official designation of the legal entity.
(b) Where the name of a representative which is a firm or partnership is to be indicated, any Contracting Party shall accept as indication of the name the indication that the firm or partnership customarily uses.
(2) [Addresses]
(a) Where the address of a person is to be indicated, any Contracting Party may require that the address be indicated in such a way as to satisfy the customary requirements for prompt postal delivery at the indicated address and, in any case, consist of all the relevant administrative units up to, and including, the house or building number, if any.
(b) Where a communication to the Office of a Contracting Party is in the name of two or more persons with different addresses, that Contracting Party may require that such communication indicate a single address as the address for correspondence.
(c) The indication of an address may contain a telephone number, a telefacsimile number and an e-mail address and, for the purposes of correspondence, an address different from the address indicated under subparagraph (a).
(d) Subparagraphs (a) and (c) shall apply, mutatis mutandis, to addresses for service.
(3) [Other Means of Identification] Any Contracting Party may require that a communication to the Office indicate the number or other means of identification, if any, with which the applicant, holder, representative or interested person is registered with its Office. No Contracting Party may refuse a communication on grounds of failure to comply with any such requirement, except for applications filed in electronic form.
(4) [Script to Be Used] Any Contracting Party may require that any indication referred to in paragraphs (1) to (3) be in the script used by the Office.
Rule 3
Details Concerning the Application
(1) [Standard Characters] Where the Office of a Contracting Party uses characters (letters and numbers) that it considers as being standard, and where the application contains a statement to the effect that the applicant wishes that the mark be registered and published in the standard characters used by the Office, the Office shall register and publish that mark in such standard characters.
(2) [Mark Claiming Color] Where the application contains a statement to the effect that the applicant wishes to claim color as a distinctive feature of the mark, the Office may require that the application indicate the name or code of the color or colors claimed and an indication, in respect of each color, of the principal parts of the mark which are in that color.
(3) [Number of Reproductions]
(a) Where the application does not contain a statement to the effect that the applicant wishes to claim color as a distinctive feature of the mark, a Contracting Party may not require more than
(i) five reproductions of the mark in black and white where the application may not, under the law of that Contracting Party, or does not contain a statement to the effect that the applicant wishes the mark to be registered and published in the standard characters used by the Office of the said Contracting Party;
(ii) one reproduction of the mark in black and white where the application contains a statement to the effect that the applicant wishes the mark to be registered and published in the standard characters used by the Office of that Contracting Party.
(b) Where the application contains a statement to the effect that the applicant wishes to claim color as a distinctive feature of the mark, a Contracting Party may not require more than five reproductions of the mark in black and white and five reproductions of the mark in color.
(4) [Three-Dimensional Mark]
(a) Where the application contains a statement to the effect that the mark is a three‑dimensional mark, the reproduction of the mark shall consist of a two‑dimensional graphic or photographic reproduction.
(b) The reproduction furnished under subparagraph (a) may, at the option of the applicant, consist of one single view of the mark or of several different views of the mark.
(c) Where the Office considers that the reproduction of the mark furnished by the applicant under subparagraph (a) does not sufficiently show the particulars of the three‑dimensional mark, it may invite the applicant to furnish, within a reasonable time limit fixed in the invitation, up to six different views of the mark and/or a description by words of that mark.
(d) Where the Office considers that the different views and/or the description of the mark referred to in subparagraph (c) still do not sufficiently show the particulars of the three‑dimensional mark, it may invite the applicant to furnish, within a reasonable time limit fixed in the invitation, a specimen of the mark.
(e) Paragraph (3)(a)(i) and (b) shall apply mutatis mutandis.
(5) [Hologram Mark, Motion Mark, Color Mark, Position Mark] Where the application contains a statement to the effect that the mark is a hologram mark, a motion mark, a color mark or a position mark, a Contracting Party may require one or more reproductions of the mark and details concerning the mark, as prescribed by the law of that Contracting Party.
(6) [Mark Consisting of a Non-Visible Sign] Where the application contains a statement to the effect that the mark consists of a non-visible sign, a Contracting Party may require one or more representations of the mark, an indication of the type of mark and details concerning the mark, as prescribed by the law of that Contracting Party.
(7) [Transliteration of the Mark] For the purposes of Article 3(1)(a)(xiii), where the mark consists of or contains matter in script other than the script used by the Office or numbers expressed in numerals other than numerals used by the Office, a transliteration of such matter in the script and numerals used by the Office may be required.
(8) [Translation of the Mark] For the purposes of Article 3(1)(a)(xiv), where the mark consists of or contains a word or words in a language other than the language, or one of the languages, admitted by the Office, a translation of that word or those words into that language or one of those languages may be required.
(9) [Time Limit for Furnishing Evidence of Actual Use of the Mark] The time limit referred to in Article 3(3) shall not be shorter than six months counted from the date of allowance of the application by the Office of the Contracting Party where that application was filed. The applicant or holder shall have the right to an extension of that time limit, subject to the conditions provided for by the law of that Contracting Party, by periods of at least six months each, up to a total extension of at least two years and a half.
Rule 4
Details Concerning Representation and Address for Service
(1) [Address Where a Representative Is Appointed] Where a representative is appointed, a Contracting Party shall consider the address of that representative to be the address for service.
(2) [Address Where No Representative Is Appointed] Where no representative is appointed and an applicant, holder or other interested person has provided as its address an address on the territory of the Contracting Party, that Contracting Party shall consider that address to be the address for service.
(3) [Time Limit] The time limit referred to in Article 4(3)(d) shall be counted from the date of receipt of the communication referred to in that Article by the Office of the Contracting Party concerned and shall not be less than one month where the address of the person on whose behalf the communication is made is on the territory of that Contracting Party and not less than two months where such an address is outside the territory of that Contracting Party.
Rule 5
Details Concerning the Filing Date
(1) [Procedure in Case of Non-Compliance with Requirements] If the application does not, at the time of its receipt by the Office, comply with any of the applicable requirements of Article 5(1)(a) or (2)(a), the Office shall promptly invite the applicant to comply with such requirements within a time limit indicated in the invitation, which time limit shall be at least one month from the date of the invitation where the applicant’s address is on the territory of the Contracting Party concerned and at least two months where the applicant’s address is outside the territory of the Contracting Party concerned. Compliance with the invitation may be subject to the payment of a special fee. Even if the Office fails to send the said invitation, the said requirements remain unaffected.
(2) [Filing Date in Case of Correction] If, within the time limit indicated in the invitation, the applicant complies with the invitation referred to in paragraph (1) and pays any required special fee, the filing date shall be the date on which all the required indications and elements referred to in Article 5(1)(a) have been received by the Office and, where applicable, the required fees referred to in Article 5(2)(a) have been paid to the Office. Otherwise, the application shall be treated as if it had not been filed.
Rule 6
Details Concerning Communications
(1) [Indications Accompanying Signature of Communications on Paper] Any Contracting Party may require that the signature of the natural person who signs be accompanied by
(i) an indication in letters of the family or principal name and the given or secondary name or names of that person or, at the option of that person, of the name or names customarily used by the said person;
(ii) an indication of the capacity in which that person signed, where such capacity is not obvious from reading the communication.
(2) [Date of Signing] Any Contracting Party may require that a signature be accompanied by an indication of the date on which the signing was effected. Where that indication is required but is not supplied, the date on which the signing is deemed to have been effected shall be the date on which the communication bearing the signature was received by the Office or, if the Contracting Party so allows, a date earlier than the latter date.
(3) [Signature of Communications on Paper] Where a communication to the Office of a Contracting Party is on paper and a signature is required, that Contracting Party
(i) shall, subject to item (iii), accept a handwritten signature;
(ii) may permit, instead of a handwritten signature, the use of other forms of signature, such as a printed or stamped signature, or the use of a seal or of a bar-coded label;
(iii) may, where the natural person who signs the communication is a national of the Contracting Party and such person’s address is on its territory, or where the legal entity on behalf of which the communication is signed is organized under its law and has either a domicile or a real and effective industrial or commercial establishment on its territory, require that a seal be used instead of a handwritten signature.
(4) [Signature of Communications on Paper Filed by Electronic Means of Transmittal] A Contracting Party that provides for communications on paper to be filed by electronic means of transmittal shall consider any such communication signed if a graphic representation of a signature accepted by that Contracting Party under paragraph (3) appears on the communication as received.
(5) [Original of a Communication on Paper Filed by Electronic Means of Transmittal] A Contracting Party that provides for communications on paper to be filed by electronic means of transmittal may require that the original of any such communication be filed
(i) with the Office accompanied by a letter identifying that earlier transmission and
(ii) within a time limit which shall be at least one month from the date on which the Office received the communication by electronic means of transmittal.
(6) [Authentication of Communications in Electronic Form] A Contracting Party that permits the filing of communications in electronic form may require that any such communication be authenticated through a system of electronic authentication as prescribed by that Contracting Party.
(7) [Date of Receipt] Each Contracting Party shall be free to determine the circumstances in which the receipt of a document or the payment of a fee shall be deemed to constitute receipt by or payment to the Office in cases in which the document was actually received by or payment was actually made to
(i) a branch or sub-office of the Office,
(ii) a national Office on behalf of the Office of the Contracting Party, where the Contracting Party is an intergovernmental organization referred to in Article 26(1)(ii),
(iii) an official postal service,
(iv) a delivery service, or an agency, specified by the Contracting Party,
(v) an address other than the nominated addresses of the Office.
(8) [Electronic Filing] Subject to paragraph (7), where a Contracting Party provides for the filing of a communication in electronic form or by electronic means of transmittal and the communication is so filed, the date on which the Office of that Contracting Party receives the communication in such form or by such means shall constitute the date of receipt of the communication.
Rule 7
Manner of Identification of an Application Without Its Application
Number
(1) [Manner of Identification] Where it is required that an application be identified by its application number but where such a number has not yet been issued or is not known to the applicant or its representative, that application shall be considered identified if the following is supplied:
(i) the provisional application number, if any, given by the Office, or
(ii) a copy of the application, or
(iii) a representation of the mark, accompanied by an indication of the date on which, to the best knowledge of the applicant or the representative, the application was received by the Office and an identification number given to the application by the applicant or the representative.
(2) [Prohibition of Other Requirements] No Contracting Party may demand that requirements other than those referred to in paragraph (1) be complied with in order for an application to be identified where its application number has not yet been issued or is not known to the applicant or its representative.
Rule 8
Details Concerning Duration and Renewal
For the purposes of Article 13(1)(c), the period during which the request for renewal may be presented and the renewal fee may be paid shall start at least six months before the date on which the renewal is due and shall end at the earliest six months after that date. If the request for renewal is presented and/or the renewal fees are paid after the date on which the renewal is due, any Contracting Party may subject the acceptance of the request for renewal to the payment of a surcharge.
Rule 9
Relief Measures in Case of Failure to Comply with Time
Limits
(1) [Requirements Concerning Extension of Time Limits Under Article 14(2)(i)] A Contracting Party that provides for the extension of a time limit under Article 14(2)(i) shall extend the time limit for a reasonable period of time from the date of filing the request for extension and may require that the request
(i) contain an identification of the requesting party, the relevant application or registration number and the time limit concerned, and
(ii) be filed within a time limit which shall not be less than two months from the date of expiry of the time limit concerned.
(2) [Requirements Concerning Continued Processing Under Article 14(2)(ii)] A Contracting Party may require that the request for continued processing under Article 14(2)(ii)
(i) contain an identification of the requesting party, the relevant application or registration number and the time limit concerned, and
(ii) be filed within a time limit which shall not be less than two months from the date of expiry of the time limit concerned. The omitted act shall be completed within the same period or, where the Contracting Party so provides, together with the request.
(3) [Requirements Concerning Reinstatement of Rights Under Article 14(2)(iii)]
(a) A Contracting Party may require that the request for reinstatement of rights under Article 14(2)(iii)
(i) contain an identification of the requesting party, the relevant application or registration number and the time limit concerned, and
(ii) set out the facts and evidence in support of the reasons for the failure to comply with the time limit concerned.
(b) The request for reinstatement of rights shall be filed with the Office within a reasonable time limit, the duration of which shall be determined by the Contracting Party from the date of the removal of the cause of failure to comply with the time limit concerned. The omitted act shall be completed within the same period or, where the Contracting Party so provides, together with the request.
(c) A Contracting Party may provide for a maximum time limit for complying with the requirements under subparagraphs (a) and (b) of not less than six months from the date of expiry of the time limit concerned.
(4) [Exceptions Under Article 14(3)] The exceptions referred to in Article 14(3) are the cases of failure to comply with a time limit
(i) for which a relief measure has already been granted under Article 14(2),
(ii) for filing a request for a relief measure under Article 14,
(iii) for payment of a renewal fee,
(iv) for an action before a board of appeal or other review body constituted in the framework of the Office,
(v) for an action in inter partes proceedings,
(vi) for filing the declaration referred to in Article 3(1)(a)(vii) or the declaration referred to in Article 3(1)(a)(viii),
(vii) for filing a declaration which, under the law of the Contracting Party, may establish a new filing date for a pending application, and
(viii) for the correction or addition of a priority claim.
Rule 10
Requirements Concerning the Request for Recordal of a License or
for Amendment or Cancellation of the Recordal of a License
(1) [Content of Request]
(a) A Contracting Party may require that the request for recordal of a license under Article 17(1) contain some or all of the following indications or elements:
(i) the name and address of the holder;
(ii) where the holder has a representative, the name and address of that representative;
(iii) where the holder has an address for service, such address;
(iv) the name and address of the licensee;
(v) where the licensee has a representative, the name and address of that representative;
(vi) where the licensee has an address for service, such address;
(vii) the name of a State of which the licensee is a national if he/she is a national of any State, the name of a State in which the licensee has his/her domicile, if any, and the name of a State in which the licensee has a real and effective industrial or commercial establishment, if any;
(viii) where the holder or the licensee is a legal entity, the legal nature of that legal entity and the State, and, where applicable, the territorial unit within that State, under the law of which the said legal entity has been organized;
(ix) the registration number of the mark which is the subject of the license;
(x) the names of the goods and/or services for which the license is granted, grouped according to the classes of the Nice Classification, each group preceded by the number of the class of that Classification to which that group of goods or services belongs and presented in the order of the classes of the said Classification;
(xi) whether the license is an exclusive license, a non‑exclusive license or a sole license;
(xii) where applicable, that the license concerns only a part of the territory covered by the registration, together with an explicit indication of that part of the territory;
(xiii) the duration of the license.
(b) A Contracting Party may require that the request for amendment or cancellation of the recordal of a license under Article 18(1) contain some or all of the following indications or elements:
(i) the indications specified in items (i) to (ix) of subparagraph (a);
(ii) where the amendment or cancellation concerns any of the indications or elements specified under subparagraph (a), the nature and scope of the amendment or cancellation to be recorded.
(2) [Supporting Documents for Recordal of a License]
(a) A Contracting Party may require that the request for recordal of a license be accompanied, at the option of the requesting party, by one of the following:
(i) an extract of the license contract indicating the parties and the rights being licensed, certified by a notary public or any other competent public authority as being a true extract of the contract; or
(ii) an uncertified statement of license, the content of which corresponds to the statement of license Form provided for in the Regulations, and signed by both the holder and the licensee.
(b) Any Contracting Party may require that any co-holder who is not a party to the license contract give its express consent to the license in a document signed by it.
(3) [Supporting Documents for Amendment of Recordal of a License]
(a) A Contracting Party may require that the request for amendment of the recordal of a license be accompanied, at the option of the requesting party, by one of the following:
(i) documents substantiating the requested amendment of the recordal of the license; or
(ii) an uncertified statement of amendment of license, the content of which corresponds to the statement of amendment of license Form provided for in these Regulations, and signed by both the holder and the licensee.
(b) Any Contracting Party may require that any co-holder who is not a party to the license contract give its express consent to the amendment of the license in a document signed by it.
(4) [Supporting Documents for Cancellation of Recordal of a License] A Contracting Party may require that the request for cancellation of the recordal of a license be accompanied, at the option of the requesting party, by one of the following:
(i) documents substantiating the requested cancellation of the recordal of the license; or
(ii) an uncertified statement of cancellation of license, the content of which corresponds to the statement of cancellation of license Form provided for in these Regulations, and signed by both the holder and the licensee.
Saturs
|
1. pants. |
Terminu skaidrojumi |
|
2. pants. |
Zīmes, uz kurām attiecas Līgums |
|
3. pants. |
Pieteikums |
|
4. pants. |
Pārstāvība; piegādes adrese |
|
5. pants. |
Pieteikuma datums |
|
6. pants. |
Viena reģistrācija attiecībā uz precēm un/vai pakalpojumiem vairākās klasēs |
|
7. pants. |
Pieteikuma un reģistrācijas sadalīšana |
|
8. pants. |
Paziņojumi |
|
9. pants. |
Preču un/vai pakalpojumu klasifikācija |
|
10. pants. |
Izmaiņas vārdos (nosaukumos) vai adresēs |
|
11. pants. |
Īpašumtiesību maiņa |
|
12. pants. |
Kļūdas labošana |
|
13. pants. |
Reģistrācijas spēkā esamības ilgums un tās atjaunošana |
|
14. pants. |
Atvieglojumi termiņu neievērošanas gadījumā |
|
15. pants. |
Pienākums ievērot Parīzes konvenciju |
|
16. pants. |
Pakalpojumu zīmes |
|
17. pants. |
Iesniegums par licences ierakstīšanu reģistrā |
|
18. pants. |
Iesniegums par licences ieraksta grozīšanu vai anulēšanu |
|
19. pants. |
Sekas licences neierakstīšanai reģistrā |
|
20. pants. |
Norāde par licenci |
|
21. pants. |
Apsvērumi paredzama noraidījuma gadījumā |
|
22. pants. |
Reglaments |
|
23. pants. |
Asambleja |
|
24. pants. |
Starptautiskais birojs |
|
25. pants. |
Pārskatīšana vai grozījumi |
|
26. pants. |
Pievienošanās Līgumam |
|
27. pants. |
1994. gada Preču zīmju līguma un šā Līguma piemērošana |
|
28. pants. |
Stāšanās spēkā; ratifikāciju un pievienošanos spēkā stāšanās diena |
|
29. pants. |
Atrunas |
|
30. pants. |
Līguma denonsācija |
|
31. pants. |
Līguma valodas; parakstīšana |
|
32. pants. |
Depozitārijs |
1. pants
Terminu skaidrojumi
Šajā Līgumā, ja vien nav īpaši noteikts citādi:
(i) “Iestāde” nozīmē institūciju, kam Līgumslēdzēja puse uzticējusi reģistrēt zīmes;
(ii) “reģistrācija” nozīmē Iestādes veiktu zīmes reģistrāciju;
(iii) “pieteikums” nozīmē reģistrācijas pieteikumu;
(iv) “paziņojums” nozīmē jebkuru pieteikumu vai jebkuru iesniegumu, deklarāciju, vēstuli vai citu informāciju, kas attiecas uz pieteikumu vai reģistrāciju un kas tiek iesniegta Iestādē;
(v) atsauces uz “personu” jāizprot kā atsauces gan uz fizisku, gan juridisku personu;
(vi) “īpašnieks” nozīmē personu, kura zīmju reģistrā uzrādīta kā reģistrācijas īpašnieks;
(vii) “zīmju reģistrs” nozīmē datu krājumu, kuru kārto Iestāde un kurš ietver visu reģistrāciju saturu un visas ziņas, kas tajā iekļautas attiecībā uz visām reģistrācijām, neatkarīgi no veida, kādā šie dati tiek glabāti;
(viii) “procedūra Iestādē” nozīmē jebkuru procedūru, kuru attiecībā uz pieteikumu vai reģistrāciju kārto Iestādes lietvedībā;
(ix) “Parīzes konvencija” nozīmē Parīzes konvenciju par rūpnieciskā īpašuma aizsardzību, kas parakstīta 1883. gada 20. martā Parīzē, ar labojumiem un grozījumiem;
(x) “Nicas klasifikācija” nozīmē klasifikāciju, kas iedibināta ar Nicas Nolīgumu par preču un pakalpojumu starptautisko klasifikāciju zīmju reģistrācijai, kurš parakstīts 1957. gada 15. jūnijā Nicā, ar labojumiem un grozījumiem;
(xi) “licence” nozīmē zīmes izmantošanas licenci saskaņā ar Līgumslēdzējas puses tiesību aktiem;
(xii) “licenciāts” nozīmē personu, kurai piešķirta licence;
(xiii) “Līgumslēdzēja puse” nozīmē jebkuru valsti vai starpvaldību organizāciju, kas ir šā Līguma dalībniece;
(xiv) “diplomātiskā konference” nozīmē Līgumslēdzēju pušu sanāksmi ar mērķi pārskatīt vai grozīt Līgumu;
(xv) “Asambleja” nozīmē Asambleju, kas minēta 23. pantā;
(xvi) atsauces uz “ratifikācijas dokumentu” jāizprot kā atsauces arī uz pieņemšanas un apstiprināšanas dokumentiem;
(xvii) “Organizācija” nozīmē Pasaules Intelektuālā īpašuma organizāciju;
(xviii) “Starptautiskais birojs” nozīmē Organizācijas Starptautisko biroju;
(xix) “ģenerāldirektors” nozīmē Organizācijas ģenerāldirektoru;
(xx) “Reglaments” nozīmē šā Līguma Reglamentu, kas minēts 22. pantā;
(xxi) atsauces uz “pantu” vai panta “daļu”, “punktu” vai “apakšpunktu” jāizprot kā atsauces arī uz attiecīgajiem noteikumiem Reglamentā;
(xxii) “1994. gada Preču zīmju līgums” nozīmē Preču zīmju līgumu, kas pieņemts Ženēvā 1994. gada 27. oktobrī.
2. pants
Zīmes, uz kurām attiecas Līgums
(1) [Zīmju raksturs] Katra Līgumslēdzēja puse šo Līgumu piemēro zīmēm, ko veido tādi apzīmējumi, kurus saskaņā ar Līgumslēdzējas puses tiesību aktiem var reģistrēt kā zīmes.
(2) [Zīmju veidi]
(a) Šo Līgumu piemēro zīmēm, kas attiecas uz precēm (preču zīmes) vai uz pakalpojumiem (pakalpojumu zīmes), vai kas attiecas gan uz precēm, gan pakalpojumiem.
(b) Šo Līgumu nepiemēro kolektīvajām zīmēm, sertifikācijas zīmēm un garantijas zīmēm.
3. pants
Pieteikums
(1) [Ziņas vai materiāli, kas iekļaujami pieteikumā vai pievienojami pieteikumam; maksa]
(a) Jebkura Līgumslēdzēja puse var prasīt, lai pieteikums ietvertu visas vai dažas no šādām ziņām vai materiāliem:
(i) lūgumu reģistrēt zīmi;
(ii) pieteicēja vārdu (nosaukumu) un adresi;
(iii) tās valsts nosaukumu, kuras pilsonis (valstspiederīgais) ir pieteicējs, ja viņš ir kādas valsts pilsonis (valstspiederīgais), tās valsts nosaukumu, kurā pieteicējam ir pastāvīga dzīvesvieta (atrašanās vieta), ja viņam tāda ir, un tās valsts nosaukumu, kurā pieteicējam ir reāls un strādājošs rūpniecības vai tirdzniecības uzņēmums, ja viņam tāds ir;
(iv) ja pieteicējs ir juridiska persona, šīs juridiskās personas tiesisko statusu un valsti, un vajadzības gadījumā – teritoriālo vienību šajā valstī, kuras jurisdikcijā minētā juridiskā persona nodibināta;
(v) ja pieteicējam ir pārstāvis, šā pārstāvja vārdu un adresi,
(vi) ja saskaņā ar 4. panta 2. daļas (b) punktu tiek prasīta piegādes adrese, šo adresi;
(vii) ja pieteicējs vēlas izmantot agrāka pieteikuma prioritātes priekšrocības, deklarāciju ar šāda agrāka pieteikuma prioritātes pieprasījumu, kopā ar tādām papildu ziņām un pierādījumiem attiecībā uz prioritātes deklarāciju, kādus var pieprasīt atbilstoši Parīzes konvencijas 4. pantam;
(viii) ja pieteicējs vēlas izmantot tādas aizsardzības priekšrocības, kas izriet no preču un/vai pakalpojumu demonstrēšanas izstādē, – attiecīgu deklarāciju kopā ar tādām papildu ziņām attiecībā uz šo deklarāciju, kādas nepieciešamas saskaņā ar Līgumslēdzējas puses tiesību aktiem;
(ix) vismaz vienu zīmes atveidojumu, kā paredzēts Reglamentā;
(x) vajadzības gadījumā – paziņojumu, kā paredzēts Reglamentā, par zīmes tipu, kā arī attiecībā uz šāda tipa zīmi prasītās īpašās papildu ziņas vai materiālus;
(xi) vajadzības gadījumā – paziņojumu, kā paredzēts Reglamentā, par to, ka pieteicējs vēlas, lai zīme tiktu reģistrēta un publicēta ar standarta rakstu zīmēm, kādas lieto Iestāde;
(xii) vajadzības gadījumā – paziņojumu, kā paredzēts Reglamentā, par to, ka pieteicējs vēlas pretendēt uz krāsu kā zīmi raksturojošu pazīmi;
(xiii) zīmes vai noteiktu tās daļu transliterāciju;
(xiv) zīmes vai noteiktu tās daļu tulkojumu;
(xv) preču un/vai pakalpojumu nosaukumus, attiecībā uz kuriem reģistrācija pieprasīta, sagrupētus saskaņā ar Nicas klasifikācijas klasēm, katru grupu ievadot ar tās klasifikācijas klases numuru, pie kuras šī preču vai pakalpojumu grupa pieder, un novietojot minētās klasifikācijas klašu secībā;
(xvi) paziņojumu par nodomu lietot šo zīmi, kāds nepieciešams saskaņā ar Līgumslēdzējas puses tiesību aktiem.
(b) Papildus (a) punkta (xvi) apakšpunktā minētajam paziņojumam par nodomu lietot zīmi vai tā vietā pieteicējs var iesniegt paziņojumu par zīmes faktisko lietojumu un attiecīgus pierādījumus, kādi nepieciešami saskaņā ar Līgumslēdzējas puses tiesību aktiem.
(c) Jebkura Līgumslēdzēja puse var prasīt, lai attiecībā uz pieteikumu Iestādei tiktu samaksātas maksas.
(2) [Viens pieteikums attiecībā uz precēm un/vai pakalpojumiem vairākās klasēs] Viens un tas pats pieteikums var attiekties uz vairākām precēm un/vai pakalpojumiem neatkarīgi no tā, vai tie pieder vienai vai vairākām Nicas klasifikācijas klasēm.
(3) [Faktiskais lietojums] Ja saskaņā ar 1. daļas (a) punkta (xvi) apakšpunktu ir iesniegts paziņojums par nodomu lietot zīmi, jebkura Līgumslēdzēja puse var pieprasīt, lai tās tiesību aktos noteiktajā termiņā, ievērojot minimālo termiņu, kāds paredzēts Reglamentā, pieteicējs Iestādei iesniegtu pierādījumus par zīmes faktisko lietojumu, kādi nepieciešami saskaņā ar Līgumslēdzējas puses tiesību aktiem.
(4) [Citu prasību aizliegums] Neviena Līgumslēdzēja puse attiecībā uz pieteikumu nevar pieprasīt tādu prasību izpildi, kas nav minētas šā panta 1. vai 3. daļā vai 8. pantā. Jo īpaši, attiecībā uz pieteikumu visā tā izskatīšanas gaitā nevar pieprasīt:
(i) iesniegt jebkādu apliecību vai izrakstu no komercreģistra;
(ii) norādīt, ka pieteicējs veic rūpniecisku vai tirdzniecisku darbību, kā arī iesniegt attiecīgus pierādījumus;
(iii) norādīt, ka pieteicēja darbība atbilst pieteikumā ietvertajām precēm un/vai pakalpojumiem, kā arī iesniegt attiecīgus pierādījumus;
(iv) iesniegt pierādījumus par to, ka zīme reģistrēta citas Līgumslēdzējas puses zīmju reģistrā vai tādas Parīzes konvencijas dalībvalsts, kura nav Līgumslēdzēja puse, zīmju reģistrā, izņemot gadījumu, kad pieteicējs pretendē uz Parīzes konvencijas 6-quinquies panta piemērošanu.
(5) [Pierādījumi] Jebkura Līgumslēdzēja puse var pieprasīt, lai pieteikuma izskatīšanas gaitā Iestādei tiktu iesniegti pierādījumi, ja Iestādei ir pamats apšaubīt jebkuru pieteikuma ziņu vai materiālu ticamību.
4. pants
Pārstāvība; piegādes adrese
(1) [Pārstāvji, kuri pielaisti praksei]
(a) Jebkura Līgumslēdzēja puse var prasīt, lai persona, kas iecelta par pārstāvi jebkuras procedūras veikšanai Iestādē,
(i) saskaņā ar piemērojamiem tiesību aktiem būtu tiesīga praktizēt Iestādē attiecībā uz pieteikumiem un reģistrācijām un, vajadzības gadījumā, būtu pielaista praksei Iestādē;
(ii) kā savu adresi norādītu adresi Līgumslēdzējas puses noteiktajā teritorijā.
(b) Darbība, ko sakarā ar jebkuru procedūru Iestādē veic pārstāvis vai ko veic attiecībā uz pārstāvi, kurš atbilst prasībām, kādas piemēro Līgumslēdzēja puse saskaņā ar (a) punktu, izraisa tādas pašas tiesiskās sekas kā darbība, ko veic pieteicējs, īpašnieks vai cita ieinteresēta persona vai ko veic attiecībā uz minētajām personām, kuras iecēla šo pārstāvi.
(2) [Obligātā pārstāvība; piegādes adrese]
(a) Jebkura Līgumslēdzēja puse var prasīt, lai pieteicējs, īpašnieks vai cita ieinteresēta persona, kurai nav ne pastāvīgas dzīvesvietas (atrašanās vietas), ne reāla un strādājoša rūpniecības vai tirdzniecības uzņēmuma tās teritorijā, jebkuras darbības veikšanai Iestādē tiktu pārstāvēta ar pārstāvi.
(b) Jebkura Līgumslēdzēja puse var, ciktāl tā neprasa pārstāvja starpniecību saskaņā ar (a) punktu, prasīt, lai pieteicējam, īpašniekam vai citai ieinteresētai personai, kam nav ne pastāvīgas dzīvesvietas (atrašanās vietas), ne reāla un strādājoša rūpniecības vai tirdzniecības uzņēmuma tās teritorijā, jebkuras darbības veikšanai Iestādē būtu piegādes adrese šajā teritorijā.
(3) [Pilnvara]
(a) Gadījumos, kad Līgumslēdzēja puse pieļauj vai pieprasa, lai pieteicējs, īpašnieks vai jebkura cita ieinteresēta persona Iestādē tiktu pārstāvēta ar pārstāvi, tā var prasīt, lai pārstāvis tiktu iecelts ar speciālu paziņojumu (turpmāk – “pilnvara”), norādot, atkarībā no apstākļiem, pieteicēja, īpašnieka vai citas pārstāvētās personas vārdu (nosaukumu).
(b) Pilnvara var attiekties uz vienu vai vairākiem pieteikumiem un/vai reģistrācijām, kas identificētas pilnvarā vai arī, ievērojot jebkurus pilnvardevējas personas norādītos izņēmumus, uz visiem pašreizējiem un turpmākiem šīs personas pieteikumiem un/vai reģistrācijām.
(c) Pilnvara var ierobežot pārstāvja pilnvarojumu, paredzot tikai noteiktas darbības. Jebkura Līgumslēdzēja puse var prasīt, lai jebkura pilnvara, saskaņā ar kuru pārstāvim ir tiesības atsaukt pieteikumu vai atteikties no reģistrācijas, ietvertu skaidri izteiktu norādi par to.
(d) Ja Iestādei paziņojumu iesniedz persona, kas sevi šajā paziņojumā norāda kā pārstāvi, bet Iestādes rīcībā šā paziņojuma saņemšanas laikā nav nepieciešamās pilnvaras, Līgumslēdzēja puse var prasīt, lai pilnvara Iestādei tiktu iesniegta Līgumslēdzējas puses noteiktā termiņā, ievērojot minimālo termiņu, kāds paredzēts Reglamentā. Jebkura Līgumslēdzēja puse var paredzēt, ka, ja pilnvara Iestādē netiek iesniegta Līgumslēdzējas puses noteiktā termiņā, minētās personas paziņojumam nav tiesisku seku.
(4) [Atsauce uz pilnvaru] Jebkura Līgumslēdzēja puse var prasīt, lai jebkurš paziņojums, ko pārstāvis iesniedz kādas darbības veikšanai Iestādē, ietvertu atsauci uz pilnvaru, uz kuras pamata pārstāvis rīkojas.
(5) [Citu prasību aizliegums] Attiecībā uz jautājumiem, ko regulē šā panta 3. un 4. daļa, neviena Līgumslēdzēja puse nevar pieprasīt tādu prasību izpildi, kuras nav paredzētas minētajās šā panta daļās vai 8. pantā.
(6) [Pierādījumi] Jebkura Līgumslēdzēja puse var pieprasīt, lai Iestādei tiktu iesniegti pierādījumi, ja Iestādei ir pamats apšaubīt jebkuru ziņu ticamību, kuras ietvertas 3. un 4. daļā minētajos paziņojumos.
5. pants
Pieteikuma datums
(1) [Pieļaujamās prasības]
(a) Ievērojot arī šīs daļas (b) punkta un 2. daļas noteikumus, Līgumslēdzēja puse par pieteikuma iesniegšanas dienu (pieteikuma datumu) nosaka dienu, kurā Iestāde 8. panta 2. daļā paredzētajā valodā saņēmusi šādas ziņas un materiālus:
(i) tieši izteiktu vai netiešu norādi, ka tiek pieprasīta zīmes reģistrācija;
(ii) ziņas, kas ļauj identificēt pieteicēju;
(iii) ziņas, kas Iestādei ļauj sazināties ar pieteicēju vai viņa pārstāvi, ja tāds ir;
(iv) pietiekami skaidru tās zīmes atveidojumu, kuras reģistrācija tiek pieprasīta;
(v) to preču un/vai pakalpojumu sarakstu, attiecībā uz kuriem reģistrācija tiek pieprasīta;
(vi) ja piemērojams 3. panta 1. daļas (a) punkta (xvi) apakšpunkts vai 3. panta 1. daļas (b) punkts, paziņojumu, kas minēts 3. panta 1. daļas (a) punkta (xvi) apakšpunktā, vai, attiecīgi, 3. panta 1. daļas (b) punktā minēto paziņojumu un pierādījumus – saskaņā ar Līgumslēdzējas puses tiesību aktiem.
(b) Jebkura Līgumslēdzēja puse par pieteikuma iesniegšanas dienu (pieteikuma datumu) var noteikt dienu, kurā Iestāde saņēmusi tikai dažas, bet ne visas (a) punktā norādītās ziņas un materiālus, vai saņēmusi tos citā valodā, nevis tajā, kas noteikta 8. panta 2. daļā.
(2) [Pieļaujamā papildprasība]
(a) Līgumslēdzēja puse var paredzēt, ka pieteikuma datums netiek noteikts, iekams noteiktās maksas nav samaksātas.
(b) Līgumslēdzēja puse (a) punktā minēto prasību var piemērot vienīgi tad, ja, pievienojoties Līgumam, tā jau piemēroja šādu prasību.
(3) [Labojumi un termiņi] Sīkāki nosacījumi un termiņi 1. un 2. daļas izpildei nepieciešamo labojumu veikšanai paredzami Reglamentā.
(4) [Citu prasību aizliegums] Neviena Līgumslēdzēja puse attiecībā uz pieteikuma datuma noteikšanu nevar pieprasīt tādu prasību izpildi, kas nav minētas 1. un 2. daļā.
6. pants
Viena reģistrācija attiecībā uz precēm un/vai pakalpojumiem
vairākās klasēs
Ja vienā un tai pašā pieteikumā iekļautas preces un/vai pakalpojumi, kas pieder vairākām Nicas klasifikācijas klasēm, šāda pieteikuma rezultātā tiek veikta viena un tā pati reģistrācija.
7. pants
Pieteikuma un reģistrācijas sadalīšana
(1) [Pieteikuma sadalīšana]
(a) Jebkuru pieteikumu, kas ietver vairākas preces un/vai pakalpojumus (turpmāk – “sākotnējais pieteikums”),
(i) vismaz līdz Iestādes lēmuma pieņemšanai attiecībā uz zīmes reģistrāciju,
(ii) jebkuras iebildumu procedūras laikā pret Iestādes lēmumu reģistrēt zīmi,
(iii) jebkuras apelācijas procedūras laikā par lēmumu attiecībā uz zīmes reģistrāciju,
pieteicējs var sadalīt, vai pēc pieteicēja iesnieguma to var sadalīt divos vai vairākos pieteikumos (turpmāk – “izdalītie pieteikumi”), sadalot starp tiem sākotnējā pieteikumā ietvertās preces un/vai pakalpojumus. Izdalītie pieteikumi saglabā sākotnējā pieteikuma datumu un prioritātes tiesību priekšrocības, ja tādas ir.
(b) Jebkura Līgumslēdzēja puse, ievērojot (a) punkta noteikumus, ir tiesīga noteikt prasības attiecībā uz pieteikuma sadalīšanu, arī maksas samaksu.
(2) [Reģistrācijas sadalīšana] Šā panta 1. daļas noteikumus mutatis mutandis piemēro arī attiecībā uz reģistrācijas sadalīšanu. Šāda sadalīšana atļaujama
(i) jebkuras procedūras laikā, kad trešā persona Iestādē apstrīd reģistrācijas spēkā esamību,
(ii) jebkuras apelācijas procedūras laikā par Iestādes lēmumu, kas pieņemts iepriekšējās procedūras gaitā,
ar nosacījumu, ka Līgumslēdzēja puse var neparedzēt reģistrācijas sadalīšanas iespēju, ja tās tiesību akti trešām personām ļauj iebilst pret zīmes reģistrāciju, pirms tā veikta.
8. pants
Paziņojumi
(1) [Saziņas līdzekļi un paziņojumu forma] Jebkura Līgumslēdzēja puse ir tiesīga izvēlēties saziņas līdzekļus paziņojumu pārsūtīšanai un vai tā pieņem paziņojumus uz papīra, elektroniskus paziņojumus vai paziņojumus jebkurā citā saziņas formā.
(2) [Saziņas valoda]
(a) Jebkura Līgumslēdzēja puse var prasīt, lai jebkurš paziņojums būtu valodā, kuru Iestāde pieļauj. Ja Iestāde pieļauj vairāk par vienu valodu, pieteicējam, īpašniekam vai citai ieinteresētai personai var pieprasīt ievērot jebkuras citas prasības, kuras Iestāde izvirza attiecībā uz valodām, ar nosacījumu, ka nekādas paziņojuma ziņas vai materiālus nevar prasīt iesniegt vairāk kā vienā valodā.
(b) Neviena Līgumslēdzēja puse nevar prasīt, lai paziņojuma tulkojums tiktu apstiprināts, notariāli apliecināts, noteikts kā autentisks, legalizēts vai jebkā citādi apliecināts, ja tas nav paredzēts šajā Līgumā.
(c) Ja Līgumslēdzēja puse neprasa, lai paziņojums būtu valodā, kuru tās Iestāde pieļauj, Iestāde var prasīt, lai samērīgā termiņā tiktu iesniegts oficiāla tulkotāja vai pārstāvja veikts šā paziņojuma tulkojums valodā, kuru Iestāde pieļauj.
(3) [Paraksts paziņojumos uz papīra]
(a) Jebkura Līgumslēdzēja puse var prasīt, lai paziņojumu uz papīra parakstītu pieteicējs, īpašnieks vai cita ieinteresēta persona. Ja Līgumslēdzēja puse prasa, lai paziņojums uz papīra būtu parakstīts, šī Līgumslēdzēja puse pieņem jebkuru parakstu, kas atbilst prasībām, kādas paredzētas Reglamentā.
(b) Neviena Līgumslēdzēja puse nevar prasīt, lai paraksts tiktu apstiprināts, notariāli apliecināts, noteikts kā autentisks, legalizēts vai citādi apliecināts, izņemot gadījumus, kad paraksts attiecas uz atteikšanos no reģistrācijas, – ja tā paredz Līgumslēdzējas puses tiesību akti.
(c) Neatkarīgi no (b) punkta noteikumiem Līgumslēdzēja puse var pieprasīt, lai Iestādei tiktu iesniegti pierādījumi, ja Iestādei ir pamats apšaubīt jebkura paraksta autentiskumu paziņojumā uz papīra.
(4) [Paziņojumi, kas iesniegti elektroniskā formā vai ar elektronisko saziņas līdzekļu starpniecību] Ja Līgumslēdzēja puse pieļauj paziņojumu iesniegšanu elektroniskā formā vai ar elektronisko saziņas līdzekļu starpniecību, tā var prasīt, lai jebkurš šāds paziņojums atbilstu prasībām, kādas paredzētas Reglamentā.
(5) [Paziņojuma noformējums] Visas Līgumslēdzējas puses pieņem tādu paziņojuma noformējumu, kurš pēc satura atbilst Reglamentā paredzētai attiecīgai Starptautiskajai paraugveidlapai, ja tāda ir.
(6) [Citu prasību aizliegums] Neviena Līgumslēdzēja puse attiecībā uz jautājumiem, ko regulē šā panta 1. – 5. daļa, nevar pieprasīt tādu prasību izpildi, kuras nav minētas šajā pantā.
(7) [Saziņas līdzekļi ar pārstāvi] Nekas šajā pantā neregulē saziņas līdzekļus starp pieteicēju, īpašnieku vai citu ieinteresētu personu un šo personu pārstāvi.
9. pants
Preču un/vai pakalpojumu klasifikācija
(1) [Preču un/vai pakalpojumu norādīšana] Katrā Iestādes veiktā reģistrācijā un jebkurā publikācijā, kas attiecas uz pieteikumu vai reģistrāciju un kur tiek norādītas preces un/vai pakalpojumi, preces un/vai pakalpojumus apzīmē ar to nosaukumiem, grupējot tos saskaņā ar Nicas klasifikācijas klasēm un šīs klasifikācijas klašu secībā, turklāt katru grupu ievadot ar tās klases numuru, pie kuras pieder attiecīgā preču vai pakalpojumu grupa.
(2) [Preces vai pakalpojumi vienā un tajā pašā klasē vai dažādās klasēs]
(a) Preces vai pakalpojumus nevar uzskatīt par savstarpēji līdzīgiem, pamatojoties uz to, ka kādā Iestādes veiktā reģistrācijā vai publikācijā tie minēti vienā un tajā pašā Nicas klasifikācijas klasē.
(b) Preces vai pakalpojumus nevar uzskatīt par tādiem, kas nav savstarpēji līdzīgi, pamatojoties uz to, ka kādā Iestādes veiktā reģistrācijā vai publikācijā tie minēti dažādās Nicas klasifikācijas klasēs.
10. pants
Izmaiņas vārdos (nosaukumos) vai adresēs
(1) [Izmaiņas īpašnieka vārdā (nosaukumā) vai adresē]
(a) Ja nav mainījies īpašnieks, bet ir izmaiņas tā vārdā (nosaukumā) un/vai adresē, katra Līgumslēdzēja puse pieņem iesniegumu Iestādei par izmaiņu ierakstīšanu tās zīmju reģistrā, ja šāds lūgums izteikts īpašnieka paziņojumā, norādot attiecīgās reģistrācijas numuru un izmaiņas, kas jāieraksta.
(b) Jebkura Līgumslēdzēja puse var prasīt, lai iesniegumā tiktu norādīts:
(i) īpašnieka vārds (nosaukums) un adrese,
(ii) ja īpašniekam ir pārstāvis, šā pārstāvja vārds un adrese,
(iii) ja īpašniekam ir piegādes adrese, šī adrese.
(c) Jebkura Līgumslēdzēja puse var prasīt, lai attiecībā uz iesniegumu Iestādei tiktu samaksāta maksa.
(d) Ar vienu iesniegumu pietiek, pat ja izmaiņas attiecas uz vairāk nekā vienu reģistrāciju, ar noteikumu, ka iesniegumā ir norādīti visu attiecīgo reģistrāciju numuri.
(2) [Izmaiņas pieteicēja vārdā (nosaukumā) vai adresē] Ja izmaiņas attiecas uz pieteikumu vai pieteikumiem, vai gan uz pieteikumu vai pieteikumiem, gan uz reģistrāciju vai reģistrācijām, šā panta 1. daļu piemēro mutatis mutandis, ar noteikumu, ka gadījumā, ja kādam pieteikumam numurs vēl nav piešķirts vai pieteicējam vai viņa pārstāvim nav zināms, iesniegumā pieteikums jāidentificē, kā paredzēts Reglamentā.
(3) [Izmaiņas pārstāvja vārdā vai adresē, vai piegādes adresē] Šā panta 1. daļu piemēro mutatis mutandis jebkuru izmaiņu gadījumā pārstāvja, ja tāds iecelts, vārdā vai adresē, un jebkuru izmaiņu gadījumā piegādes adresē, ja tāda ir.
(4) [Citu prasību aizliegums] Neviena Līgumslēdzēja puse attiecībā uz šajā pantā minēto iesniegumu nevar pieprasīt tādu prasību izpildi, kas nav minētas šā panta 1. – 3. daļā vai 8. pantā. It īpaši, nevar pieprasīt iesniegt nekādus apliecinājuma dokumentus attiecībā uz šīm izmaiņām.
(5) [Pierādījumi] Jebkura Līgumslēdzēja puse var pieprasīt, lai Iestādei tiktu iesniegti pierādījumi, ja Iestādei ir pamats apšaubīt jebkuru iesnieguma ziņu ticamību.
11. pants
Īpašumtiesību maiņa
(1) [Reģistrācijas īpašumtiesību maiņa]
(a) Ja mainījies īpašnieks, katra Līgumslēdzēja puse pieņem iesniegumu Iestādei par izmaiņu ierakstīšanu tās zīmju reģistrā, ja šāds lūgums izteikts īpašnieka vai personas, kas ieguvusi īpašumtiesības (turpmāk – “jaunais īpašnieks”), paziņojumā, norādot attiecīgās reģistrācijas numuru un izmaiņas, kas jāieraksta.
(b) Ja īpašumtiesību maiņa izriet no līguma, jebkura Līgumslēdzēja puse var prasīt, lai iesniegumā tiktu norādīts šis fakts un iesniegumam būtu pievienots, pēc iesniedzēja izvēles, viens no šādiem dokumentiem:
(i) līguma kopija, kuras atbilstību līguma oriģinālam var pieprasīt apliecināt notariāli vai citā kompetentā valsts institūcijā;
(ii) izraksts no līguma, kurš parāda īpašumtiesību maiņu un kura pareizību var pieprasīt apliecināt notariāli vai citā kompetentā valsts institūcijā;
(iii) neapliecināta nodošanas apliecība, kura pēc formas un satura atbilst tai, kāda paredzēta Reglamentā, un kuru parakstījuši gan iepriekšējais īpašnieks, gan jaunais īpašnieks;
(iv) neapliecināts nodošanas akts, kurš pēc formas un satura atbilst tam, kāds paredzēts Reglamentā, un kuru parakstījuši gan iepriekšējais īpašnieks, gan jaunais īpašnieks.
(c) Ja īpašumtiesību maiņa izriet no uzņēmumu apvienošanas, jebkura Līgumslēdzēja puse var prasīt, lai iesniegumā tiktu norādīts šis fakts un iesniegumam būtu pievienota kopija no kompetentas institūcijas izdota dokumenta, kurš liecina par uzņēmumu apvienošanu, piemēram, komercreģistra izraksta kopija, un lai šīs kopijas atbilstību dokumenta oriģinālam būtu apliecinājusi tā institūcija, kas šo dokumentu izdevusi, vai notārs, vai cita kompetenta valsts institūcija.
(d) Ja mainījies viens vai vairāki, bet ne visi līdzīpašnieki, un šāda īpašumtiesību maiņa izriet no līguma vai uzņēmumu apvienošanas, jebkura Līgumslēdzēja puse var prasīt, lai katrs līdzīpašnieks, attiecībā uz kuru īpašumtiesības nemainās, viņa parakstītā dokumentā sniegtu skaidri izteiktu piekrišanu īpašumtiesību maiņai.
(e) Ja īpašumtiesību maiņa neizriet no līguma vai uzņēmumu apvienošanas, bet tai ir cits pamats, piemēram, tiesību norma vai tiesas nolēmums, jebkura Līgumslēdzēja puse var prasīt, lai iesniegumā tiktu norādīts šis fakts un iesniegumam būtu pievienota kopija no dokumenta, kurš liecina par šo maiņu, un lai šīs kopijas atbilstību dokumenta oriģinālam būtu apliecinājusi tā institūcija, kas šo dokumentu izdevusi, vai notārs, vai cita kompetenta valsts institūcija.
(f) Jebkura Līgumslēdzēja puse var prasīt, lai iesniegumā būtu norādīti:
(i) iepriekšējā īpašnieka vārds (nosaukums) un adrese;
(ii) jaunā īpašnieka vārds (nosaukums) un adrese;
(iii) tās valsts nosaukums, kuras pilsonis (valstspiederīgais) ir jaunais īpašnieks, ja viņš ir kādas valsts pilsonis (valstspiederīgais), tās valsts nosaukums, kurā jaunajam īpašniekam ir pastāvīga dzīvesvieta (atrašanās vieta), ja viņam tāda ir, vai tās valsts nosaukums, kurā jaunajam īpašniekam ir reāls un strādājošs rūpniecības vai tirdzniecības uzņēmums, ja viņam tāds ir;
(iv) ja jaunais īpašnieks ir juridiska persona, šīs juridiskās personas tiesiskais statuss un valsts, un kur tas nepieciešams, teritoriālā vienība šajā valstī, kuras jurisdikcijā minētā juridiskā persona nodibināta;
(v) ja iepriekšējam īpašniekam ir pārstāvis, šā pārstāvja vārds un adrese;
(vi) ja iepriekšējam īpašniekam ir piegādes adrese, šī adrese;
(vii) ja jaunajam īpašniekam ir pārstāvis, šā pārstāvja vārds un adrese;
(viii) ja jaunajam īpašniekam saskaņā ar 4. panta 2. daļas (b) punktu ir nepieciešama piegādes adrese, šī adrese.
(g) Jebkura Līgumslēdzēja puse var prasīt, lai attiecībā uz iesniegumu Iestādei tiktu samaksāta maksa.
(h) Ar vienu iesniegumu pietiek, pat ja īpašumtiesību maiņa attiecas uz vairāk nekā vienu reģistrāciju, ar noteikumu, ka iepriekšējais un jaunais īpašnieks katrai reģistrācijai ir tie paši un iesniegumā ir norādīti visu attiecīgo reģistrāciju numuri.
(i) Ja īpašumtiesību maiņa neskar visas preces un/vai pakalpojumus, kas iekļauti bijušā īpašnieka reģistrācijā, un attiecīgie tiesību akti pieļauj ierakstīt šādu maiņu, Iestāde izveido atsevišķu reģistrāciju precēm un/vai pakalpojumiem, attiecībā uz kuriem īpašumtiesības mainījušās.
(2) [Pieteikuma īpašumtiesību maiņa] Ja īpašumtiesību maiņa attiecas uz pieteikumu vai pieteikumiem, vai gan uz pieteikumu vai pieteikumiem, gan uz reģistrāciju vai reģistrācijām, šā panta 1. daļu piemēro mutatis mutandis, ar noteikumu, ka gadījumā, ja kādam pieteikumam numurs vēl nav piešķirts vai pieteicējam vai viņa pārstāvim nav zināms, iesniegumā pieteikums jāidentificē, kā paredzēts Reglamentā.
(3) [Citu prasību aizliegums] Neviena Līgumslēdzēja puse attiecībā uz šajā pantā minēto iesniegumu nevar pieprasīt tādu prasību izpildi, kas nav minētas šā panta 1. vai 2. daļā, vai 8. pantā. It īpaši, nevar pieprasīt:
(i) iesniegt jebkādu apliecību vai izrakstu no komercreģistra, izņemot gadījumu, uz kuru attiecas šā panta 1. daļas (c) punkts;
(ii) norādīt, ka jaunais īpašnieks veic rūpniecisku vai tirdzniecisku darbību, kā arī iesniegt attiecīgus pierādījumus;
(iii) norādīt, ka jaunā īpašnieka darbība atbilst precēm un/vai pakalpojumiem, uz kuriem attiecas īpašumtiesību maiņa, kā arī iesniegt attiecīgus pierādījumus;
(iv) norādīt, ka iepriekšējais īpašnieks pilnībā vai daļēji nodevis jaunajam īpašniekam savu uzņēmumu vai tā nemateriālās vērtības, kā arī iesniegt attiecīgus pierādījumus.
(4) [Pierādījumi] Jebkura Līgumslēdzēja puse var pieprasīt, lai Iestādei tiktu iesniegti pierādījumi vai arī papildpierādījumi – tajos gadījumos, uz kuriem attiecas šā panta 1. daļas (c) vai (e) punkts, ja Iestādei ir pamats apšaubīt jebkuru ziņu ticamību, kuras ietver iesniegums vai cits šajā pantā minētais dokuments.
12. pants
Kļūdas labošana
(1) [Kļūdas labošana attiecībā uz reģistrāciju]
(a) Katra Līgumslēdzēja puse pieņem iesniegumu izdarīt tādas kļūdas labojumu, kas pieļauta pieteikumā vai citā Iestādei paziņotā iesniegumā un atspoguļota tās zīmju reģistrā un/vai kādā publikācijā, ja šāds lūgums izteikts īpašnieka paziņojumā, norādot attiecīgās reģistrācijas numuru, kļūdu, kas jālabo, un labojumu, kurš jāieraksta.
(b) Jebkura Līgumslēdzēja puse var prasīt, lai iesniegumā tiktu norādīts:
(i) īpašnieka vārds (nosaukums) un adrese,
(ii) ja īpašniekam ir pārstāvis, šā pārstāvja vārds un adrese,
(iii) ja īpašniekam ir piegādes adrese, šī adrese.
(c) Jebkura Līgumslēdzēja puse var prasīt, lai attiecībā uz iesniegumu Iestādei tiktu samaksāta maksa.
(d) Ar vienu iesniegumu pietiek, pat ja labojums attiecas uz vairāk nekā vienu tās pašas personas reģistrāciju, ar noteikumu, ka kļūda un pieprasītais labojums ir tie paši katrai reģistrācijai un iesniegumā ir norādīti visu attiecīgo reģistrāciju numuri.
(2) [Kļūdas labošana attiecībā uz pieteikumu] Ja kļūda attiecas uz pieteikumu vai pieteikumiem, vai gan uz pieteikumu vai pieteikumiem, gan uz reģistrāciju vai reģistrācijām, šā panta 1. daļu piemēro mutatis mutandis, ar noteikumu, ka gadījumā, ja kādam pieteikumam numurs vēl nav piešķirts vai pieteicējam vai viņa pārstāvim nav zināms, iesniegumā pieteikums jāidentificē, kā paredzēts Reglamentā.
(3) [Citu prasību aizliegums] Neviena Līgumslēdzēja puse attiecībā uz šajā pantā minēto iesniegumu nevar pieprasīt tādu prasību izpildi, kas nav minētas šā panta 1. vai 2. daļā, vai 8. pantā.
(4) [Pierādījumi] Jebkura Līgumslēdzēja puse var pieprasīt, lai Iestādei tiktu iesniegti pierādījumi, ja Iestādei ir pamats apšaubīt, vai norādītā kļūda patiešām ir kļūda.
(5) [Iestādes pieļautās kļūdas] Līgumslēdzējas puses Iestāde savas pieļautās kļūdas labo ex officio vai pēc iesnieguma, neņemot par to maksu.
(6) [Nelabojamas kļūdas] Nevienai Līgumslēdzējai pusei nav pienākuma piemērot šā panta 1., 2. un 5. daļu kļūdām, kas saskaņā ar tās tiesību aktiem nav labojamas.
13. pants
Reģistrācijas spēkā esamības ilgums un atjaunošana
(1) [Ziņas vai materiāli, kas iekļaujami iesniegumā vai pievienojami iesniegumam par atjaunošanu; maksa]
(a) Jebkura Līgumslēdzēja puse var prasīt, lai kā priekšnoteikums reģistrācijas atjaunošanai tiktu iesniegts iesniegums un lai šāds iesniegums ietvertu visas vai dažas no šādām ziņām:
(i) norādi, ka tiek pieprasīta reģistrācijas atjaunošana;
(ii) īpašnieka vārdu (nosaukumu) un adresi;
(iii) attiecīgās reģistrācijas numuru;
(iv) pēc Līgumslēdzējas puses izvēles – vai nu tā pieteikuma datumu, no kura izriet attiecīgā reģistrācija, vai šīs reģistrācijas datumu;
(v) ja īpašniekam ir pārstāvis, šā pārstāvja vārdu un adresi;
(vi) ja īpašniekam ir piegādes adrese, šo adresi;
(vii) ja Līgumslēdzēja puse pieļauj, ka reģistrācijas atjaunošanu veic tikai attiecībā uz dažām no zīmju reģistrā iekļautajām precēm un/vai pakalpojumiem, un tiek pieprasīta šāda atjaunošana, – to reģistrā iekļauto preču un/vai pakalpojumu nosaukumus, attiecībā uz kuriem atjaunošana tiek pieprasīta, vai arī to reģistrā iekļauto preču un/vai pakalpojumu nosaukumus, attiecībā uz kuriem atjaunošana netiek pieprasīta, sagrupētus saskaņā ar Nicas klasifikācijas klasēm, katru grupu ievadot ar šīs klasifikācijas tās klases numuru, pie kuras šī preču vai pakalpojumu grupa pieder, un izvietojot šīs klasifikācijas klašu secībā;
(viii) ja Līgumslēdzēja puse pieļauj, ka reģistrācijas atjaunošanas iesniegumu var iesniegt persona, kas nav īpašnieks vai viņa pārstāvis, un iesniegumu ir iesniegusi šāda persona, – šīs personas vārdu un adresi.
(b) Jebkura Līgumslēdzēja puse var prasīt, lai attiecībā uz reģistrācijas atjaunošanas iesniegumu Iestādei tiktu samaksāta maksa. Ja maksa attiecībā uz reģistrācijas sākuma periodu vai jebkuru atjaunojuma periodu ir samaksāta, nekāds papildu maksājums par reģistrācijas uzturēšanu spēkā šajā periodā nevar tikt pieprasīts. Maksas, kas saistītas ar paziņojuma un/vai pierādījumu par lietojumu iesniegšanu, saskaņā ar šo punktu neuzskata par maksājumiem par reģistrācijas uzturēšanu spēkā, un uz tām neattiecas šā punkta noteikumi.
(c) Jebkura Līgumslēdzēja puse var prasīt, lai reģistrācijas atjaunošanas iesniegums Iestādei tiktu iesniegts un attiecīgā maksa, kas minēta (b) punktā, tiktu samaksāta Līgumslēdzējas puses tiesību aktos noteiktā termiņā, ievērojot minimālos termiņus, kādi paredzēti Reglamentā.
(2) [Citu prasību aizliegums] Neviena Līgumslēdzēja puse attiecībā uz reģistrācijas atjaunošanas iesniegumu nevar pieprasīt tādu prasību izpildi, kas nav minētas šā panta 1. daļā vai 8. pantā. It īpaši, nevar pieprasīt:
(i) jebkādu zīmes atveidojumu vai citu zīmes identifikāciju;
(ii) iesniegt pierādījumus par to, ka zīme reģistrēta vai ka tās reģistrācija tikusi atjaunota kādā citā zīmju reģistrā;
(iii) iesniegt paziņojumu un/vai pierādījumus attiecībā uz zīmes lietošanu.
(3) [Pierādījumi] Jebkura Līgumslēdzēja puse var pieprasīt, lai reģistrācijas atjaunošanas iesnieguma izskatīšanas gaitā Iestādei tiktu iesniegti pierādījumi, ja Iestādei ir pamats apšaubīt jebkuru atjaunošanas iesnieguma ziņu vai materiālu ticamību.
(4) [Būtības ekspertīzes aizliegums] Neviena Līgumslēdzējas puses Iestāde nedrīkst kā reģistrācijas atjaunošanas priekšnoteikumu veikt reģistrācijas ekspertīzi pēc būtības.
(5) [Ilgums] Reģistrācijas sākuma perioda ilgums un katra atjaunojuma perioda ilgums ir 10 gadi.
14. pants
Atvieglojumi termiņu neievērošanas gadījumā
(1) [Atvieglojums pirms termiņa izbeigšanās] Līgumslēdzēja puse var paredzēt iespēju pagarināt termiņu darbības izpildei procedūrā Iestādē attiecībā uz pieteikumu vai reģistrāciju, ja attiecīgs iesniegums Iestādē tiek iesniegts pirms termiņa izbeigšanās.
(2) [Atvieglojumi pēc termiņa beigām] Gadījumos, kad pieteicējs, īpašnieks vai cita ieinteresēta persona nav ievērojusi kādu termiņu (“attiecīgais termiņš”) darbības izpildei procedūrā Iestādē attiecībā uz pieteikumu vai reģistrāciju, Līgumslēdzēja puse, ja Iestādē saņemts attiecīgs iesniegums, saskaņā ar prasībām, kādas paredzētas Reglamentā, paredz vienu vai vairākus šādus atvieglojumus:
(i) attiecīgā termiņa pagarināšanu par laikposmu, kāds paredzēts Reglamentā;
(ii) lietvedības turpināšanu attiecībā uz pieteikumu vai reģistrāciju;
(iii) pieteicēja, īpašnieka vai citas ieinteresētas personas tiesību atjaunošanu attiecībā uz pieteikumu vai reģistrāciju, ja Iestāde konstatē, ka attiecīgais termiņš ir nokavēts, kaut arī pieliktas apstākļiem atbilstošas pūles, vai, pēc Līgumslēdzējas puses izvēles, – ka kavējums radies bez nodoma.
(3) [Izņēmumi] Nevienai Līgumslēdzējai pusei nav pienākuma paredzēt kādu no šā panta 2. daļā minētajiem atvieglojumiem attiecībā uz izņēmumiem, kas paredzēti Reglamentā.
(4) [Maksa] Jebkura Līgumslēdzēja puse var prasīt, lai attiecībā uz jebkuru no šā panta 1. un 2. daļā minētajiem atvieglojumiem Iestādei tiktu samaksāta maksa.
(5) [Citu prasību aizliegums] Neviena Līgumslēdzēja puse attiecībā uz šā panta 2. daļā minētajiem atvieglojumiem nevar pieprasīt tādu prasību izpildi, kas nav minētas šajā pantā vai 8. pantā.
15. pants
Pienākums ievērot Parīzes konvenciju
Visas Līgumslēdzējas puses ievēro Parīzes konvencijas noteikumus, kuri attiecas uz zīmēm.
16. pants
Pakalpojumu zīmes
Visas Līgumslēdzējas puses reģistrē pakalpojumu zīmes un šīm zīmēm piemēro Parīzes konvencijas noteikumus, kuri attiecas uz preču zīmēm.
17. pants
Iesniegums par licences ierakstīšanu reģistrā
(1) [Prasības attiecībā uz iesniegumu par ierakstīšanu reģistrā] Ja Līgumslēdzējas puses tiesību akti paredz licences ierakstu Iestādes reģistrā, šī Līgumslēdzēja puse var prasīt, lai iesniegums par ierakstīšanu reģistrā
(i) tiktu iesniegts atbilstoši prasībām, kādas paredzētas Reglamentā,
(ii) tiktu papildināts ar papilddokumentiem, kādi paredzēti Reglamentā.
(2) [Maksa] Jebkura Līgumslēdzēja puse var prasīt, lai attiecībā uz licences ierakstīšanu reģistrā Iestādei tiktu samaksāta maksa.
(3) [Viens iesniegums attiecībā uz vairākām reģistrācijām] Ar vienu iesniegumu pietiek, pat ja licence attiecas uz vairāk nekā vienu reģistrāciju, ar noteikumu, ka iesniegumā ir minēti visu attiecīgo reģistrāciju numuri, īpašnieks un licenciāts visām reģistrācijām ir tie paši un iesniegumā atbilstoši Reglamentam norādīts licences apjoms attiecībā uz visām reģistrācijām.
(4) [Citu prasību aizliegums]
(a) Neviena Līgumslēdzēja puse attiecībā uz licences ierakstīšanu reģistrā tās Iestādē nevar pieprasīt tādu prasību izpildi, kas nav minētas šā panta 1. – 3. daļā vai 8. pantā. It īpaši, nevar pieprasīt:
(i) iesniegt tās zīmes reģistrācijas apliecību, kura ir licences priekšmets;
(ii) iesniegt licences līgumu vai tā tulkojumu;
(iii) norādīt licences līguma finansiālos noteikumus.
(b) Šīs panta daļas (a) punkts neskar saistības, kas saskaņā ar Līgumslēdzējas puses tiesību aktiem pastāv attiecībā uz informācijas izpaušanu mērķiem, kuri nav saistīti ar licences ierakstīšanu zīmju reģistrā.
(5) [Pierādījumi] Jebkura Līgumslēdzēja puse var pieprasīt, lai Iestādei tiktu iesniegti pierādījumi, ja Iestādei ir pamats apšaubīt jebkuru ziņu ticamību, kuras ietver iesniegums vai jebkurš Reglamentā minētais dokuments.
(6) [Iesniegumi, kas attiecas uz pieteikumiem] Šā panta 1. – 5. daļu mutatis mutandis piemēro iesniegumiem par licences ierakstīšanu reģistrā attiecībā uz pieteikumu, ja Līgumslēdzējas puses tiesību akti paredz šādu ierakstu.
18. pants
Iesniegums par licences ieraksta grozīšanu vai
anulēšanu
(1) [Prasības attiecībā uz iesniegumu] Ja Līgumslēdzējas puses tiesību akti paredz licences ierakstu Iestādes reģistrā, šī Līgumslēdzēja puse var prasīt, lai iesniegums par licences ieraksta grozīšanu vai anulēšanu
(i) tiktu iesniegts atbilstoši prasībām, kādas paredzētas Reglamentā,
(ii) tiktu papildināts ar papilddokumentiem, kādi paredzēti Reglamentā.
(2) [Citas prasības] Iesniegumiem par licences ieraksta grozīšanu vai anulēšanu mutatis mutandis piemēro 17. panta 2. – 6. daļu.
19. pants
Sekas licences neierakstīšanai reģistrā
(1) [Reģistrācijas spēkā esamība un zīmes aizsardzība] Licences neierakstīšana Iestādes reģistrā vai Līgumslēdzējas puses citas institūcijas reģistrā neiespaido reģistrācijas spēkā esamību un aizsardzību zīmei, kas ir licences priekšmets.
(2) [Atsevišķas licenciāta tiesības] Līgumslēdzēja puse nevar prasīt licences ierakstu reģistrā kā nosacījumu, lai licenciāts varētu izmantot tiesības, kādas paredz šīs Līgumslēdzējas puses tiesību akti, – iestāties lietā, ja pārkāpuma tiesvedību uzsācis īpašnieks, vai šādā tiesvedībā saņemt atlīdzību par zaudējumiem, kuri radušies tās zīmes pārkāpuma dēļ, kas ir licences priekšmets.
(3) [Zīmes lietošana, ja licence nav ierakstīta reģistrā] Līgumslēdzēja puse nevar prasīt licences ierakstu reģistrā kā nosacījumu, lai procedūrās, kas attiecas uz zīmju tiesību iegūšanu, uzturēšanu spēkā un īstenošanu, licenciāta veiktu zīmes lietojumu atzītu par īpašnieka veiktu zīmes lietojumu.
20. pants
Norāde par licenci
Ja Līgumslēdzējas puses tiesību akti prasa norādīt, ka zīme tiek lietota saskaņā ar licenci, šīs prasības pilnīga vai daļēja neizpilde neiespaido reģistrācijas spēkā esamību un aizsardzību zīmei, kas ir licences priekšmets, kā arī neiespaido 19. panta 3. daļas piemērošanu.
21. pants
Apsvērumi paredzama noraidījuma gadījumā
Iestāde nedrīkst pilnībā vai daļēji noraidīt 3. pantā paredzēto pieteikumu vai 7. pantā, 10. – 14. pantā, 17. vai 18. pantā paredzēto iesniegumu, nedodot, atkarībā no apstākļiem, pieteicējam vai iesnieguma iesniedzējam iespēju samērīgā termiņā izteikt savus apsvērumus sakarā ar paredzamo noraidījumu. Attiecībā uz 14. pantu nevienai Iestādei nav pienākuma dot iespēju izteikt apsvērumus, ja personai, kas lūdz piemērot atvieglojumu, jau bijusi iespēja sniegt savas piezīmes par faktiem, ar kuriem pamatojams lēmums.
22. pants
Reglaments
(1) [Saturs]
(a) Reglaments, kas pievienots šim Līgumam, paredz noteikumus attiecībā uz:
(i) jautājumiem, kurus šis Līgums konkrēti paredz regulēt kā “paredzēts Reglamentā”;
(ii) sīkāku regulējumu, kas lietderīgs šā Līguma normu īstenošanai;
(iii) administratīvām prasībām, jautājumiem un procedūrām.
(b) Reglaments ietver arī Starptautiskās paraugveidlapas.
(2) [Reglamenta grozīšana] Ievērojot arī šā panta 3. daļas noteikumus, jebkuram Reglamenta grozījumam nepieciešamas trīs ceturtdaļas no nodotajām balsīm.
(3) [Vienbalsīga lēmuma nepieciešamība]
(a) Reglamentā var konkretizēt, kurus Reglamenta noteikumus grozīt var vienīgi ar vienbalsīgu lēmumu.
(b) Vienbalsīgs lēmums nepieciešams jebkuram Reglamenta grozījumam, kas izpaužas kā atbilstoši (a) punktam Reglamentā konkretizēto noteikumu papildināšana vai noteikumu svītrošana no tiem.
(c) Nosakot, vai panākts vienbalsīgs lēmums, vērā ņem vienīgi faktiski nodotās balsis. Atturēšanos neuzskata par balsojumu.
(4) [Pretruna starp Līgumu un Reglamentu] Gadījumā, ja starp šā Līguma normām un Reglamenta noteikumiem ir pretruna, piemēro Līguma normas.
23. pants
Asambleja
(1) [Sastāvs]
(a) Līgumslēdzējas puses veido Asambleju.
(b) Katru Līgumslēdzēju pusi Asamblejā pārstāv viens delegāts, kam var palīdzēt aizstājēji delegāti, padomdevēji un eksperti. Katrs delegāts var pārstāvēt tikai vienu Līgumslēdzēju pusi.
(2) [Funkcijas] Asambleja:
(i) kārto jautājumus, kas attiecas uz šā Līguma attīstību;
(ii) groza Reglamentu, arī Starptautiskās paraugveidlapas;
(iii) pieņem nosacījumus attiecībā uz katra (ii) apakšpunktā paredzētā grozījuma piemērošanas dienu;
(iv) veic citas šā Līguma noteikumu īstenošanai vajadzīgas darbības.
(3) [Kvorums]
(a) Puse no Asamblejas loceklēm, kuras ir valstis, veido kvorumu.
(b) Neatkarīgi no (a) punkta noteikumiem, ja kādā sesijā to Asamblejas locekļu skaits, kuras ir valstis un kuras ir pārstāvētas, ir mazāks par pusi, bet līdzinās vienai trešdaļai vai pārsniedz vienu trešdaļu no to Asamblejas locekļu skaita, kuras ir valstis, Asambleja var pieņemt lēmumus, tomēr, izņemot tādus lēmumus, kas attiecas uz pašas Asamblejas procedūru, visi šādi lēmumi stājas spēkā tikai tad, ja ir ievēroti turpmāk minētie nosacījumi. Starptautiskais birojs tādus lēmumus paziņo Asamblejas loceklēm, kuras ir valstis un kuras nebija pārstāvētas, un uzaicina tās trijos mēnešos no paziņojuma dienas rakstveidā balsot vai atturēties. Ja pēc šā termiņa beigām tādu locekļu skaits, kas tādējādi izteikuši savu balsojumu vai atturēšanos, sasniedz to locekļu skaitu, kāds pietrūka notikušās sesijas kvorumam, šādi lēmumi stājas spēkā ar noteikumu, ka vienlaikus saglabājas vajadzīgais balsu vairākums.
(4) [Lēmumu pieņemšana Asamblejā]
(a) Asambleja pieliek pūles, lai lēmumus pieņemtu konsensa ceļā.
(b) Ja konsensa ceļā lēmumu pieņemt nevar, izskatāmo jautājumu izlemj balsojot. Šādā gadījumā:
(i) katrai dalībpusei, kura ir valsts, ir viena balss, un šī dalībpuse balso vienīgi savā vārdā;
(ii) katra dalībpuse, kura ir starpvaldību organizācija, var balsot tās dalībvalstu vārdā, izmantojot balsu skaitu, kas līdzinās to tās dalībvalstu skaitam, kuras ir šā Akta dalībpuses. Neviena šāda starpvaldību organizācija nevar piedalīties balsošanā, ja kaut viena tās dalībvalsts izmanto savas tiesības balsot, un vice versa. Turklāt neviena šāda starpvaldību organizācija nevar piedalīties balsošanā, ja kaut viena tās dalībvalsts, kas ir šā Līguma dalībniece, ir citas šādas starpvaldību organizācijas dalībvalsts un šī cita starpvaldību organizācija piedalās balsošanā.
(5) [Nepieciešamais vairākums]
(a) Ciktāl citādi nav paredzēts 22. panta 2. vai 3. daļā, Asamblejas lēmumu pieņemšanai nepieciešamas divas trešdaļas no nodotajām balsīm.
(b) Nosakot, vai sasniegts nepieciešamais vairākums, vērā ņem vienīgi faktiski nodotās balsis. Atturēšanos neuzskata par balsojumu.
(6) [Sesijas] Asambleja sanāk, ģenerāldirektora sasaukta, turklāt, ja nav ārkārtēju apstākļu, tajā pašā laikā un vietā, kur sanāk Organizācijas Ģenerālā asambleja.
(7) [Procedūras noteikumi] Asambleja pieņem savus procedūras noteikumus, arī noteikumus ārkārtas sesiju sasaukšanai.
24. pants
Starptautiskais birojs
(1) [Administratīvie uzdevumi]
(a) Administratīvos uzdevumus, kas attiecas uz šo Līgumu, veic Starptautiskais birojs.
(b) Citstarp Starptautiskais birojs sagatavo sanāksmes un nodrošina sekretariātu Asamblejai un tādām ekspertu komitejām un darba grupām, kuras var nodibināt Asambleja.
(2) [Sanāksmes, kas nav Asamblejas sesijas] Ģenerāldirektors sasauc jebkuru komiteju vai darba grupu, kuru nodibinājusi Asambleja.
(3) [Starptautiskā biroja funkcijas Asamblejā un citās sanāksmēs]
(a) Ģenerāldirektors un ģenerāldirektora norādītas personas bez balsstiesībām piedalās visās Asamblejas sanāksmēs un visās Asamblejas nodibināto komiteju un darba grupu sanāksmēs.
(b) Ģenerāldirektors vai ģenerāldirektora norādīts personāla pārstāvis ir Asamblejas un (a) punktā minēto komiteju un darba grupu sanāksmju sekretārs ex officio.
(4) [Konferences]
(a) Starptautiskais birojs saskaņā ar Asamblejas instrukcijām veic sagatavošanas darbus jebkādām pārskatīšanas konferencēm.
(b) Starptautiskais birojs var apspriesties ar Organizācijas dalībvalstīm, starpvaldību organizācijām un starptautiskām un nacionālām nevalstiskām organizācijām par minētajiem sagatavošanas darbiem.
(c) Ģenerāldirektors un ģenerāldirektora norādītas personas piedalās pārskatīšanas konferenču diskusijās bez balsstiesībām.
(5) [Citi uzdevumi] Starptautiskais birojs veic jebkādus citus uzdevumus, kas tam uzticēti saistībā ar šo Aktu.
25. pants
Pārskatīšana un grozīšana
Šis Līgums var tikt pārskatīts vai grozīts vienīgi diplomātiskā konferencē. Par diplomātiskās konferences sasaukšanu izlemj Asambleja.
26. pants
Kļūšana par Līguma dalībnieku
(1) [Tiesības uz dalību] Līgumu parakstīt un, ievērojot arī šā panta 2. un 3. daļas un 28. panta 1. un 3. daļas noteikumus, kļūt par šā Līguma dalībniecēm var šādi starptautisko attiecību subjekti:
(i) jebkura Organizācijas dalībvalsts, attiecībā uz kuru zīmes var reģistrēt šīs valsts pašas Iestādē;
(ii) jebkura starpvaldību organizācija, kam ir Iestāde, kurā var reģistrēt zīmes attiecībā uz teritoriju, kur ir spēkā starpvaldību organizācijas izveidošanas līgums, visās tās dalībvalstīs vai tajās dalībvalstīs, kuras šādam nolūkam ir norādītas attiecīgā pieteikumā, ar noteikumu, ka visas šīs starpvaldību organizācijas dalībvalstis ir Organizācijas dalībvalstis;
(iii) jebkura Organizācijas dalībvalsts, attiecībā uz kuru zīmes var reģistrēt vienīgi ar citas, īpaši noteiktas valsts, kas ir Organizācijas dalībvalsts, Iestādes starpniecību;
(iv) jebkura Organizācijas dalībvalsts, attiecībā uz kuru zīmes var reģistrēt vienīgi ar starpvaldību organizācijas, kuras dalībvalsts ir šī valsts, Iestādes starpniecību;
(v) jebkura Organizācijas dalībvalsts, attiecībā uz kuru zīmes var reģistrēt vienīgi ar Organizācijas dalībvalstu grupai kopīgas Iestādes starpniecību.
(2) [Ratifikācija vai pievienošanās] Jebkurš 1. daļā minētais starptautisko attiecību subjekts var deponēt:
(i) ratifikācijas dokumentu, ja tas parakstījis šo Līgumu,
(ii) pievienošanās dokumentu, ja tas nav parakstījis šo Līgumu.
(3) [Deponēšanas diena] Par ratifikācijas vai pievienošanās dokumenta deponēšanas dienu uzskata:
(i) šā panta 1. daļas (i) punktā minētajā gadījumā – dienu, kurā attiecīgā valsts iesniegusi savu dokumentu;
(ii) starpvaldību organizācijas gadījumā – dienu, kurā šī starpvaldību organizācija iesniegusi savu dokumentu;
(iii) šā panta 1. daļas (iii) punktā minētajā gadījumā – dienu, ar kuru iestājušies šādi apstākļi: attiecīgā valsts iesniegusi savu dokumentu, un cita, īpaši noteikta valsts iesniegusi savu dokumentu;
(iv) šā panta 1. daļas (iv) punktā minētajā gadījumā – dienu, kura noteikta šīs panta daļas (ii) punktā;
(v) šā panta 1. daļas (v) punktā minētajā gadījumā, kad valsts ir valstu grupas locekle, – dienu, ar kuru iesniegti visu valstu – grupas locekļu attiecīgie dokumenti.
27. pants
1994. gada Preču zīmju līguma un šā Līguma
piemērošana
(1) [Attiecības starp Līgumslēdzējām pusēm, kas ir gan šā Līguma, gan 1994. gada Preču zīmju līguma dalībnieces] Savstarpējās attiecībās starp valstīm, kas ir gan šā Līguma, gan 1994. gada Preču zīmju līguma dalībnieces, piemērojams vienīgi šis Akts.
(2) [Attiecības starp šā Līguma Līgumslēdzējām pusēm un 1994. gada Preču zīmju līguma Līgumslēdzējām pusēm, kas nav šā Līguma dalībnieces] Jebkura Līgumslēdzēja puse, kas ir gan šā Līguma, gan 1994. gada Preču zīmju līguma dalībniece, turpina piemērot 1994. gada Preču zīmju līgumu attiecībās ar 1994. gada Preču zīmju līguma Līgumslēdzējām pusēm, kuras nav šā Līguma dalībnieces.
28. pants
Stāšanās spēkā; ratifikāciju un pievienošanos spēkā
stāšanās diena
(1) [Dokumenti, kurus ņem vērā] Šā panta piemērošanai ņem vērā vienīgi tādus ratifikācijas vai pievienošanās dokumentus, kurus deponējuši 26. panta 1. daļā minētie starptautisko attiecību subjekti un kuriem atzīta to deponēšanas diena saskaņā ar 26. panta 3. daļu.
(2) [Līguma stāšanās spēkā] Šis Līgums stājas spēkā trīs mēnešus pēc tam, kad desmit valstis vai tādas starpvaldību organizācijas, kas minētas 26. panta 1. daļas (ii) punktā, ir deponējušas savus ratifikācijas vai pievienošanās dokumentus.
(3) [Ratifikāciju un pievienošanos stāšanās spēkā pēc Līguma stāšanās spēkā] Jebkuram starptautisko attiecību subjektam, kuru neskar šā panta 2. daļa, šis Līgums kļūst saistošs trīs mēnešus kopš dienas, kad tas deponējis savu ratifikācijas vai pievienošanās dokumentu.
29. pants
Atrunas
(1) [Īpašie zīmju veidi] Jebkura valsts vai starpvaldību organizācija, izmantojot atrunu, var paziņot, ka, neatkarīgi no 2. panta 1. daļas un 2. daļas (a) punkta noteikumiem, tā kādas no 3. panta 1. daļas, 5. panta, 7. panta, 8. panta 5. daļas, 11. panta un 13. panta prasībām nepiemēros asociētajām zīmēm, defensīvajām zīmēm vai atvasinātajām zīmēm. Šādā atrunā norādāmas tās no iepriekšminētajām prasībām, uz kurām šī atruna attiecas.
(2) [Reģistrācija vairākās klasēs] Jebkura valsts vai starpvaldību organizācija, kuras tiesību akti šā Līguma pieņemšanas dienā paredz reģistrāciju vairākās klasēs attiecībā uz precēm un reģistrāciju vairākās klasēs attiecībā uz pakalpojumiem, var laikā, kad tā pievienojas šim Līgumam, izmantojot atrunu, paziņot, ka tā nepiemēros 6. panta noteikumus.
(3) [Būtības ekspertīze reģistrācijas atjaunošanas gadījumā] Jebkura valsts vai starpvaldību organizācija, izmantojot atrunu, var paziņot, ka, atkāpjoties no 13. panta 4. daļas noteikumiem, reģistrācijas, kas ietver pakalpojumus, pirmās atjaunošanas gadījumā tās Iestāde var veikt reģistrācijas ekspertīzi pēc būtības, bet ar noteikumu, ka šāda ekspertīze aprobežojas ar to, ka tiek novērstas daudzkārtīgas reģistrācijas uz to pieteikumu pamata, kas iesniegti sešu mēnešu laikā pēc tāda šīs valsts vai starpvaldību organizācijas tiesību akta spēkā stāšanās, ar kuru pirms šā Līguma spēkā stāšanās ir ieviesta iespēja reģistrēt pakalpojumu zīmes.
(4) [Atsevišķas licenciāta tiesības] Jebkura valsts vai starpvaldību organizācija, izmantojot atrunu, var paziņot, ka neatkarīgi no 19. panta 2. daļas noteikumiem tā prasīs licences ierakstu reģistrā kā nosacījumu, lai licenciāts varētu izmantot tiesības saskaņā ar šīs valsts vai starpvaldību organizācijas tiesību aktiem – iestāties lietā, ja pārkāpuma tiesvedību uzsācis īpašnieks, vai šādā tiesvedībā saņemt atlīdzību par zaudējumiem, kuri radušies tās zīmes pārkāpuma dēļ, kas ir licences priekšmets.
(5) [Sīkāki nosacījumi] Jebkuru atrunu, kas paredzēta šā panta 1., 2., 3. vai 4. daļā, piesaka deklarācijā, kuru pievieno tās valsts vai starpvaldību organizācijas, kas šo atrunu piesaka, Līguma ratifikācijas vai pievienošanās dokumentam.
(6) [Atsaukšana] Jebkuru atrunu, kas paredzēta šā panta 1., 2., 3. vai 4. daļā, jebkurā laikā var atsaukt.
(7) [Citu atrunu aizliegums] Nav atļautas tādas atrunas attiecībā uz šo Līgumu, kuras neparedz šā panta 1., 2., 3. vai 4. daļa.
30. pants
Līguma denonsācija
(1) [Notifikācija] Jebkura Līgumslēdzēja puse var denonsēt šo Līgumu ar Ģenerāldirektoram adresētu notifikāciju.
(2) [Spēkā stāšanās datums] Denonsācija stājas spēkā vienu gadu pēc dienas, kad Ģenerāldirektors saņēmis notifikāciju. Denonsācija neskar šā Līguma piemērošanu jebkuram pieteikumam, kas ir izskatīšanā, vai jebkurai zīmei, kas, minētajam viena gada termiņam beidzoties, ir reģistrēta attiecībā uz Līgumslēdzēju pusi, kas denonsē šo Līgumu, ar noteikumu, ka Līgumslēdzēja puse, kas denonsē Līgumu, var pēc minētā termiņa izbeigšanās pārtraukt piemērot šo Līgumu jebkurai reģistrācijai, sākot ar datumu, kad veicama šīs reģistrācijas atjaunošana.
31. pants
Līguma valodas; parakstīšana
(1) [Oriģinālteksti; oficiālie teksti]
(a) Šo Līgumu paraksta vienā, angļu, arābu, ķīniešu, franču, krievu un spāņu valodā sastādītā eksemplārā, kura visi teksti ir vienlīdz autentiski.
(b) Oficiālo tekstu valodā, kas nav norādīta (a) punktā, bet ir kādas Līgumslēdzējas puses oficiālā valoda, izveido ģenerāldirektors, apspriedies ar minēto Līgumslēdzēju pusi un jebkuru citu ieinteresētu Līgumslēdzēju pusi.
(2) [Parakstīšanas termiņš] Šis Līgums paliek atklāts parakstīšanai Organizācijas galvenajā mītnē vienu gadu kopš tā pieņemšanas.
32. pants
Depozitārijs
Šā Līguma depozitārija funkcijas veic ģenerāldirektors.
Singapūras līguma par preču zīmēm
Reglaments
Saturs
|
1. noteikums. |
Terminu skaidrojumi |
|
2. noteikums. |
Vārdu un adrešu norādīšanas veids |
|
3. noteikums. |
Nosacījumi attiecībā uz pieteikumu |
|
4. noteikums. |
Nosacījumi attiecībā uz pārstāvību un piegādes adresi |
|
5. noteikums. |
Nosacījumi attiecībā uz pieteikuma datumu |
|
6. noteikums. |
Nosacījumi attiecībā uz paziņojumiem |
|
7. noteikums. |
Pieteikuma identifikācija bez pieteikuma numura |
|
8. noteikums. |
Nosacījumi attiecībā uz spēkā esamības ilgumu un atjaunošanu |
|
9. noteikums. |
Atvieglojumi termiņu neievērošanas gadījumā |
|
10. noteikums. |
Prasības attiecībā uz iesniegumu par licences ierakstīšanu reģistrā vai par licences ieraksta grozīšanu vai anulēšanu |
Starptautiskie veidlapu paraugi
|
Veidlapa Nr. 1 |
Zīmes reģistrācijas pieteikums |
|
Veidlapa Nr. 2 |
Pilnvara |
|
Veidlapa Nr. 3 |
Iesniegums par vārda, nosaukuma (vārdu, nosaukumu) un/vai adreses (adrešu) izmaiņu ierakstīšanu reģistrā |
|
Veidlapa Nr. 4 |
Zīmes reģistrācijas (reģistrāciju) un/vai reģistrācijas pieteikuma (pieteikumu) īpašumtiesību maiņas iesniegums |
|
Veidlapa Nr. 5 |
Zīmes reģistrācijas (reģistrāciju) un/vai reģistrācijas pieteikuma (pieteikumu) nodošanas apliecība |
|
Veidlapa Nr. 6 |
Zīmes reģistrācijas (reģistrāciju) un/vai reģistrācijas pieteikuma (pieteikumu) nodošanas akts |
|
Veidlapa Nr. 7 |
Iesniegums par kļūdas (kļūdu) labojumu zīmes reģistrācijā (reģistrācijās) un/vai reģistrācijas pieteikumā (pieteikumos) |
|
Veidlapa Nr. 8 |
Reģistrācijas atjaunošanas iesniegums |
|
Veidlapa Nr. 9 |
Iesniegums par licences ierakstīšanu reģistrā |
|
Veidlapa Nr. 10 |
Paziņojums par licenci |
|
Veidlapa Nr. 11 |
Paziņojums par licences grozījumu |
|
Veidlapa Nr. 12 |
Paziņojums par licences anulēšanu |
1. noteikums
Terminu skaidrojumi
(1) [Reglamentā noteiktie terminu skaidrojumi] Šajā Reglamentā, ja vien nav īpaši noteikts citādi:
(i) “Līgums” nozīmē Singapūras līgumu par preču zīmēm;
(ii) “pants” attiecas uz konkretizētu Līguma pantu;
(iii) “izņēmuma licence” nozīmē licenci, kas izdota tikai vienam licenciātam un kas neļauj īpašniekam lietot zīmi pašam, un neļauj piešķirt licences kādām citām personām;
(iv) “solo licence” nozīmē licenci, kas izdota tikai vienam licenciātam un kas neļauj īpašniekam piešķirt licences kādām citām personām, bet neliedz īpašniekam lietot zīmi pašam;
(v) “vienkārša licence” nozīmē licenci, kas neliedz īpašniekam lietot zīmi pašam un neliedz piešķirt licences jebkurai citai personai.
(2) [Līgumā noteiktie terminu skaidrojumi] Terminiem, kas Līguma ietvaros noteikti tā 1. pantā, ir tā pati nozīme šā Reglamenta ietvaros.
2. noteikums
Vārdu un adrešu norādīšanas veids
(1) [Vārdi]
(a) Ja jābūt norādītam personas vārdam (nosaukumam), jebkura Līgumslēdzēja puse var prasīt:
(i) ja tā ir fiziska persona, tad lai vārds, kas jānorāda, būtu šīs personas uzvārds vai galvenais vārds un personvārds vai papildvārds vai vārdi, vai lai vārds, kas jānorāda, būtu, pēc šīs personas izvēles, minētās personas parasti lietotais vārds vai vārdi;
(ii) ja tā ir juridiska persona, lai nosaukums, kas jānorāda, būtu juridiskās personas pilns oficiālais nosaukums.
(b) Ja jānorāda pārstāvja, kas ir komersants vai sabiedrība, nosaukums, visas Līgumslēdzējas puses par nosaukumu pieņem nosaukumu, kādu komersants vai sabiedrība parasti izmanto.
(2) [Adreses]
(a) Ja jānorāda personas adrese, jebkura Līgumslēdzēja puse var prasīt, lai adrese būtu norādīta tādā veidā, kas apmierina parastās prasības tūlītējai pasta piegādei uz norādīto adresi un jebkurā gadījumā sastāv no visām būtiskajām administratīvajām vienībām līdz mājas numuram, to ieskaitot, ja tāds ir.
(b) Ja paziņojums Līgumslēdzējas puses iestādei iesniegts divu vai vairāku personu vārdā ar dažādām adresēm, tad Līgumslēdzēja puse var prasīt, lai šāds paziņojums norādītu vienu adresi kā adresi sarakstei.
(c) Adreses norāde var ietvert telefona numuru, faksa numuru un e-pasta adresi, un, sarakstes vajadzībām, adresi, kas atšķiras no (a) apakšpunktā norādītās adreses.
(d) Šā punkta (a) un (c) apakšpunkti mutatis mutandis piemērojami arī attiecībā uz piegādes adresi.
(3) [Citi identifikācijas līdzekļi] Jebkura Līgumslēdzēja puse var prasīt, lai jebkurš paziņojums Iestādei ietver pieteicēja, īpašnieka, pārstāvja vai citas ieinteresētas personas numuru vai citu identifikācijas līdzekli, ja tāds ir, ar kuru minētā persona Iestādē reģistrēta. Neviena Līgumslēdzēja puse nedrīkst noraidīt paziņojumu, pamatojoties uz to, ka nav ievērota šāda prasība, izņemot gadījumu, kad tas attiecas uz elektroniskā formā iesniegtu pieteikumu.
(4) [Rakstības lietošana] Jebkura Līgumslēdzēja puse var prasīt, lai visas norādes, kas minētas 1. – 3. punktā, būtu tādā rakstībā, kādu lieto Iestāde.
3. noteikums
Nosacījumi attiecībā uz pieteikumu
(1) [Standarta rakstu zīmes] Ja Līgumslēdzējas puses Iestāde lieto rakstu zīmes (burtus un ciparus), kuras tā uzskata par standarta rakstu zīmēm, un ja pieteikums ietver paziņojumu par to, ka pieteicējs vēlas, lai zīme tiktu reģistrēta un publicēta, izmantojot Iestādes lietotās standarta rakstu zīmes, tad Iestāde reģistrē un publicē šo zīmi, izmantojot šādas standarta rakstu zīmes.
(2) [Krāsa kā zīmi raksturojoša pazīme] Ja pieteikums ietver paziņojumu par to, ka pieteicējs pretendē uz krāsu kā zīmi raksturojošu pazīmi, Iestāde var prasīt, lai pieteikumā būtu minēts pieprasītās krāsas nosaukums vai kods vai pieprasīto krāsu nosaukumi vai kodi un, attiecībā uz katru krāsu, norāde, kuras no zīmes būtiskajām daļām ir šajā krāsā.
(3) [Attēlu skaits]
(a) Ja pieteikums neietver paziņojumu par to, ka pieteicējs pretendē uz krāsu kā zīmi raksturojošu pazīmi, Līgumslēdzēja puse nedrīkst pieprasīt vairāk kā:
(i) piecus melnbaltus zīmes attēlus, ja pieteikums neietver vai, saskaņā ar Līgumslēdzējas puses tiesību aktiem, nedrīkst ietvert paziņojumu par to, ka pieteicējs vēlas, lai zīme tiktu reģistrēta un publicēta, izmantojot standarta rakstu zīmes, ko lieto šīs Līgumslēdzējas puses Iestāde;
(ii) vienu melnbaltu zīmes attēlu, ja pieteikums ietver paziņojumu par to, ka pieteicējs vēlas, lai zīme tiktu reģistrēta un publicēta, izmantojot standarta rakstu zīmes, ko lieto šīs Līgumslēdzējas puses Iestāde.
(b) Ja pieteikums ietver paziņojumu par to, ka pieteicējs pretendē uz krāsu kā zīmi raksturojošu pazīmi, Līgumslēdzēja puse nedrīkst pieprasīt vairāk kā piecus melnbaltus zīmes attēlus un piecus krāsainus zīmes attēlus.
(4) [Telpiska zīme]
(a) Ja pieteikums ietver paziņojumu par to, ka zīme ir telpiska, šīs zīmes attēlu veido divdimensiju grafisks vai fotogrāfisks attēls.
(b) Attēls, kas iesniegts saskaņā ar (a) apakšpunktu, var, pēc pieteicēja izvēles, sastāvēt no viena zīmes skata vai vairākiem atšķirīgiem zīmes skatiem.
(c) Ja iestāde uzskata, ka zīmes attēls, ko pieteicējs iesniedzis saskaņā ar (a) apakšpunktu, nepietiekami parāda telpiskās zīmes īpatnības, tā var uzaicināt pieteicēju uzaicinājumā noteiktā samērīgā termiņā iesniegt līdz sešiem dažādiem zīmes skatiem un/vai šīs zīmes vārdisku aprakstu.
(d) Ja Iestāde uzskata, ka (c) apakšpunktā minētie zīmes atšķirīgie skati un/vai apraksts tomēr nepietiekami demonstrē telpiskās zīmes īpatnības, tā var uzaicināt pieteicēju uzaicinājumā noteiktā samērīgā termiņā iesniegt zīmes lietojuma paraugu.
(e) Šā noteikuma 3. punkta (a)(i) apakšpunktu un (b) apakšpunktu piemēro mutatis mutandis.
(5) [Hologrāfiska zīme, kustību zīme, krāsu zīme, novietojuma zīme] Ja pieteikums ietver paziņojumu par to, ka zīme ir hologrāfiska zīme, kustību zīme, krāsu zīme vai novietojuma zīme, Līgumslēdzēja puse var pieprasīt vienu zīmes attēlu vai vairākus zīmes attēlus un sīkāku informāciju par zīmi, kā paredzēts šīs Līgumslēdzējas puses tiesību aktos.
(6) [Zīme, ko veido apzīmējums, ko nevar uztvert vizuāli] Ja pieteikums ietver paziņojumu par to, ka zīmi veido apzīmējums, kuru nevar uztvert vizuāli, Līgumslēdzēja puse var pieprasīt vienu vai vairākus zīmes atveidojumus, norādi par zīmes tipu un sīkāku informāciju par zīmi, kā paredzēts šīs Līgumslēdzējas puses tiesību aktos.
(7) [Zīmes transliterācija] Piemērojot 3. panta 1. daļas (a) punkta (xiii) apakšpunktu, ja zīmi pilnībā vai daļēji veido elementi citā rakstībā nekā tā, ko lieto Iestāde, vai skaitļi, kuri izteikti ar citiem cipariem nekā tie, ko lieto iestāde, var tikt pieprasīta šādu elementu transliterācija tādā rakstībā un ar tādiem cipariem, kādus lieto Iestāde.
(8) [Zīmes tulkojums] Piemērojot 3. panta 1. daļas (a) punkta (xiv) apakšpunktu, ja zīmi pilnībā vai daļēji veido vārds vai vārdi citā valodā nekā tā valoda vai viena no tām valodām, kuras pieļauj Iestāde, var tikt pieprasīts šā vārda vai šo vārdu tulkojums šajā valodā vai vienā no šīm valodām.
(9) [Pierādījumu iesniegšanas termiņš par zīmes faktisko lietojumu] Termiņš, kas minēts 3. panta 3. daļā, nedrīkst būt īsāks par 6 mēnešiem, skaitot no dienas, kad Līgumslēdzējas puses Iestāde, kur pieteikums ticis iesniegts, ir to akceptējusi. Pieteicējam vai īpašniekam ir tiesības uz šā termiņa pagarinājumu saskaņā ar šās Līgumslēdzējas puses tiesību aktos paredzētajiem nosacījumiem, ikreiz uz vismaz sešu mēnešu periodu, līdz kopējam termiņa pagarinājumam par vismaz divarpus gadiem.
4. noteikums
Nosacījumi attiecībā uz pārstāvību un piegādes
adresi
(1) [Adrese gadījumā, ja iecelts pārstāvis] Ja ir iecelts pārstāvis, Līgumslēdzēja puse uzskata šā pārstāvja adresi par piegādes adresi.
(2) [Adrese gadījumā, ja pārstāvis nav iecelts] Ja pārstāvis nav iecelts, bet pieteicējs, īpašnieks vai cita ieinteresēta persona kā savu adresi ir norādījusi adresi attiecīgās Līgumslēdzējas puses teritorijā, šī Līgumslēdzēja puse uzskata šo adresi par piegādes adresi.
(3) [Termiņš] Termiņu, kas minēts 4. panta 3. daļas (d) punktā, skaita no dienas, kad attiecīgās Līgumslēdzējas puses Iestāde saņēmusi tajā pašā punktā minēto paziņojumu, un tas nevar būt īsāks par vienu mēnesi, ja tās personas adrese, kuras vārdā šis paziņojums ir iesniegts, ir šīs Līgumslēdzējas puses teritorijā, un īsāks par diviem mēnešiem, ja šī adrese ir ārpus attiecīgās Līgumslēdzējas puses teritorijas.
5. noteikums
Nosacījumi attiecībā uz pieteikuma datumu
(1) [Procedūra prasību neizpildes gadījumā] Ja pieteikums tā saņemšanas brīdī Iestādē neatbilst kādai no prasībām, kas piemērojamas saskaņā ar 5. panta 1. daļas (a) punktu vai 2. daļas (a) punktu, Iestāde nekavējoties uzaicina pieteicēju izpildīt šīs prasības uzaicinājumā norādītā termiņā, kurš ir vismaz viens mēnesis no uzaicinājuma dienas, ja pieteicēja adrese ir attiecīgās Līgumslēdzējas puses teritorijā, vai vismaz divi mēneši, ja pieteicēja adrese ir ārpus attiecīgās Līgumslēdzējas puses teritorijas. Uzaicinājuma prasību izpildes priekšnoteikums var būt īpašas maksas samaksa. Pat ja Iestāde nenosūta minēto uzaicinājumu, tas negroza iepriekšminētās prasības.
(2) [Pieteikuma datums labojumu gadījumā] Ja uzaicinājumā norādītajā termiņā pieteicējs izpilda šā noteikuma 1. punktā minētā uzaicinājuma prasības un samaksā visas pieprasītās īpašās maksas, pieteikuma datums ir tās dienas datums, kurā Iestāde saņēmusi visas 5. panta 1. daļas (a) punktā minētās ziņas un materiālus, un, vajadzības gadījumā, Iestādei samaksātas arī 5. panta 2. daļas (a) punktā minētās maksas. Pretējā gadījumā pieteikumu uzskata par neiesniegtu.
6. noteikums
Nosacījumi attiecībā uz paziņojumiem
(1) [Norādes blakus parakstam paziņojumā uz papīra] Jebkura Līgumslēdzēja puse var prasīt, lai blakus tās fiziskās personas parakstam, kura paziņojumu parakstījusi, būtu:
(i) šīs personas uzvārda vai galvenā vārda un personvārda vai papildvārda, vai, pēc šīs personas izvēles, šīs personas parasti lietotā vārda vai vārdu atšifrējums ar burtiem;
(ii) norāde uz statusu, kādā šī persona paraksta paziņojumu, ja tas acīmredzami neizriet no paziņojuma teksta.
(2) [Parakstīšanas datums] Jebkura Līgumslēdzēja puse var prasīt, lai blakus parakstam būtu norādīts tās dienas datums, kurā notikusi paziņojuma parakstīšana. Ja datums ir prasīts, bet nav norādīts, par parakstīšanas datumu uzskata tās dienas datumu, kad paziņojums ar parakstu saņemts Iestādē, vai, ja Līgumslēdzēja puse to pieļauj, datumu, kas agrāks par minēto saņemšanas dienas datumu.
(3) [Paraksts paziņojumos uz papīra] Ja paziņojums Līgumslēdzējas puses Iestādei ir uz papīra un tiek prasīts paraksts, Līgumslēdzēja puse
(i) ievērojot arī šā punkta (iii) apakšpunktu, pieņem pašrocīgu parakstu,
(ii) pašrocīga paraksta vietā var atļaut citus paraksta veidus, tādus kā iespiests paraksts vai paraksta nospiedums, vai zīmoga vai svītrkoda marķējuma lietošanu,
(iii) var pieprasīt, lai pašrocīga paraksta vietā tiktu lietots zīmogs, ja fiziskā persona, kas paraksta paziņojumu, ir Līgumslēdzējas puses pilsonis (valstspiederīgais) un šīs personas adrese ir tās teritorijā vai arī ja paziņojums ir parakstīts juridiskas personas vārdā, kura ir nodibināta tās jurisdikcijā un kurai tās teritorijā ir vai nu pastāvīga atrašanās vieta, vai reāls un strādājošs rūpniecības vai tirdzniecības uzņēmums.
(4) [Paraksts paziņojumos uz papīra, kas iesniegti ar elektronisko saziņas līdzekļu starpniecību] Līgumslēdzēja puse, kas paredz iespēju paziņojumus uz papīra iesniegt ar elektronisko saziņas līdzekļu starpniecību, katru tādu paziņojumu uzskata par parakstītu, ja paziņojumā, kāds tas saņemts, redzams tāda paraksta grafisks atveidojums, kuru atbilstoši šā noteikuma 3. punktam šī Līgumslēdzēja puse pieņem.
(5) [Ar elektronisko saziņas līdzekļu starpniecību iesniegta paziņojuma oriģināls] Līgumslēdzēja puse, kas paredz iespēju paziņojumus uz papīra iesniegt ar elektronisko saziņas līdzekļu starpniecību, var prasīt, lai katra šāda paziņojuma oriģināls tiktu iesniegts:
(i) Iestādei kopā ar vēstuli, kurā identificēts agrākais elektroniskais sūtījums;
(ii) termiņā, kurš ir vismaz viens mēnesis no dienas, kad Iestāde saņēmusi paziņojumu ar elektronisko saziņas līdzekļu starpniecību.
(6) [Elektronisku paziņojumu autentiskums] Līgumslēdzēja puse, kas ļauj iesniegt paziņojumus elektroniskā formā, var prasīt, lai katrs šāds paziņojums tiktu apliecināts kā autentisks, izmantojot tādu elektronisko dokumentu autentiskuma nodrošināšanas sistēmu, kādu paredz šī Līgumslēdzēja puse.
(7) [Saņemšanas datums] Katra Līgumslēdzēja puse ir tiesīga brīvi noteikt priekšnosacījumus, pie kādiem dokumenta saņemšanu vai maksas samaksu uzskata par dokumenta saņemšanu Iestādē vai maksas samaksu Iestādei gadījumos, kad dokuments tiek faktiski saņemts vai maksa ir faktiski samaksāta
(i) Iestādes nodaļā vai tās filiālē,
(ii) nacionālajā Iestādē, kas rīkojas Līgumslēdzējas puses Iestādes vārdā, ja Līgumslēdzēja puse ir 26. panta 1. daļas (ii) punktā minētā starpvaldību organizācija,
(iii) oficiālā pasta iestādē,
(iv) piegādes dienestā vai aģentūrā, kuru konkretizējusi Līgumslēdzēja puse,
(v) vietā ar adresi, kas neatbilst izziņotajām Iestādes adresēm.
(8) [Elektroniska iesniegšana] Ja Līgumslēdzēja puse paredz paziņojuma iesniegšanu elektroniskā formā vai ar elektronisko saziņas līdzekļu starpniecību, un paziņojums ir šādi iesniegts, tā diena, kurā šīs Līgumslēdzējas puses Iestāde saņēmusi paziņojumu šādā formā vai ar šādu līdzekļu starpniecību, tiek atzīta par paziņojuma saņemšanas dienu, ciktāl citādi nav noteikts šā noteikuma 7. punktā.
7. noteikums
Pieteikuma identifikācija bez pieteikuma numura
(1) [Identifikācijas veids] Ja tiek prasīts, lai pieteikums būtu apzīmēts ar tā numuru, bet šis numurs nav vēl piešķirts vai nav zināms pieteicējam vai viņa pārstāvim, pieteikumu uzskata par identificētu, ja ir sniegtas šādas ziņas:
(i) pagaidu pieteikuma numurs, ja tādu Iestāde piešķīrusi, vai
(ii) pieteikuma kopija, vai
(iii) zīmes atveidojums, kuram blakus norādīts tās dienas datums, kurā, cik pieteicējam vai pārstāvim zināms, pieteikums saņemts iestādē, un identifikācijas numurs, ko pieteikumam piešķīris pieteicējs vai pārstāvis.
(2) [Citu prasību aizliegums] Neviena Līgumslēdzēja puse nevar prasīt, lai nolūkā identificēt pieteikumu gadījumos, kad pieteikuma numurs vēl nav piešķirts vai nav zināms pieteicējam vai viņa pārstāvim, tiktu izpildītas kādas citas prasības, kas nav minētas šā noteikuma 1. punktā.
8. noteikums
Nosacījumi attiecībā uz spēkā esamību un atjaunošanu
Piemērojot 13. panta 1. daļas (c) punktu, termiņš, kura laikā var tikt iesniegts reģistrācijas atjaunošanas iesniegums un var tikt samaksāta atjaunošanas maksa, sākas ne vēlāk kā sešus mēnešus pirms tās dienas, kad izdarāma atjaunošana, un beidzas ne agrāk kā sešus mēnešus pēc šīs dienas. Ja atjaunošanas iesniegums tiek iesniegts un/vai atjaunošanas maksa tiek samaksāta pēc dienas, kad izdarāma atjaunošana, katra Līgumslēdzēja puse kā priekšnoteikumu atjaunošanas iesnieguma pieņemšanai var noteikt papildmaksas samaksu.
9. noteikums
Atvieglojumi termiņu neievērošanas gadījumā
(1) [Prasības attiecībā uz termiņu pagarināšanu saskaņā ar 14. panta 2. daļas (i) punktu] Līgumslēdzēja puse, kas paredz termiņa pagarināšanu saskaņā ar 14. panta 2. daļas (i) punktu, pagarina termiņu par samērīgu laikposmu, kurš skaitāms no dienas, kad tiek iesniegts iesniegums par termiņa pagarināšanu, un var prasīt, lai šāds iesniegums:
(i) identificētu iesnieguma iesniedzēju, attiecīgā pieteikuma vai reģistrācijas numuru un attiecīgo termiņu,
(ii) tiktu iesniegts termiņā, kurš nevar būt īsāks par diviem mēnešiem, skaitot no dienas, kad beidzies attiecīgais termiņš.
(2) [Prasības attiecībā uz lietvedības turpināšanu saskaņā ar 14. panta 2. daļas (ii) punktu] Līgumslēdzēja puse var prasīt, lai iesniegums par lietvedības turpināšanu saskaņā ar 14. panta 2. daļas (ii) punktu:
(i) identificētu iesnieguma iesniedzēju, attiecīgā pieteikuma vai reģistrācijas numuru un attiecīgo termiņu,
(ii) tiktu iesniegts termiņā, kurš nevar būt īsāks par diviem mēnešiem, skaitot no dienas, kad beidzies attiecīgais termiņš. Neizpildītajai darbībai jābūt izpildītai šajā pašā termiņā vai – ja Līgumslēdzēja puse tā paredz – vienlaikus ar iesnieguma iesniegšanu.
(3) [Prasības attiecībā uz tiesību atjaunošanu saskaņā ar 14. panta 2. daļas (iii) punktu]
(a) Līgumslēdzēja puse var prasīt, lai iesniegums par tiesību atjaunošanu saskaņā ar 14. panta 2. daļas (iii) punktu:
(i) identificētu iesnieguma iesniedzēju, attiecīgā pieteikuma vai reģistrācijas numuru un attiecīgo termiņu,
(ii) ietvertu faktu un pierādījumu izklāstu par attiecīgā termiņa neievērošanas iemesliem.
(b) Iesniegums par tiesību atjaunošanu iesniedzams Iestādei samērīgā termiņā, kura ilgumu Līgumslēdzēja puse nosaka, skaitot no dienas, kad novērsts attiecīgā termiņa neievērošanas iemesls. Neizpildītajai darbībai jābūt izpildītai šajā pašā termiņā vai – ja Līgumslēdzēja puse tā paredz – vienlaikus ar iesnieguma iesniegšanu.
(c) Līgumslēdzēja puse var paredzēt maksimālo termiņu šā punkta (a) un (b) apakšpunkta prasību izpildei, kurš nevar būt īsāks par sešiem mēnešiem, skaitot no dienas, kad beidzies attiecīgais termiņš.
(4) [Izņēmumi saskaņā ar 14. panta 3. daļu] Izņēmumi, kas minēti 14. panta 3. daļā, attiecas uz gadījumiem, kad nav ievērots termiņš,
(i) attiecībā uz kuru jau ticis piešķirts 14. panta 2. daļā paredzēts atvieglojums,
(ii) kurš noteikts iesnieguma iesniegšanai par 14. pantā paredzētu atvieglojumu,
(iii) kurš noteikts atjaunošanas maksas samaksai,
(iv) kurš noteikts attiecībā uz darbībām apelācijas padomē vai citā Iestādes ietvaros izveidotā lēmumu pārskatīšanas struktūrā,
(v) kurš noteikts attiecībā uz darbībām inter partes procedūrās,
(vi) kurš noteikts 3. panta 1. daļas (a) punkta (vii) vai (viii) apakšpunktā minēto deklarāciju iesniegšanai,
(vii) kurš noteikts tādu deklarāciju iesniegšanai, kas saskaņā ar Līgumslēdzējas puses tiesību aktiem var izraisīt jauna pieteikuma datuma noteikšanu izskatīšanā esošam pieteikumam,
(viii) kurš noteikts prioritātes pieprasījuma labošanai vai papildināšanai.
10. noteikums
Prasības attiecībā uz iesniegumu par licences ierakstīšanu
reģistrā vai par licences ieraksta grozīšanu vai
anulēšanu
(1) [Iesnieguma saturs]
(a) Līgumslēdzēja puse var prasīt, lai iesniegums par licences ierakstīšanu reģistrā saskaņā ar 17. panta 1. daļu ietvertu visas vai dažas no šādām ziņām vai materiāliem:
(i) īpašnieka vārdu (nosaukumu) un adresi;
(ii) ja īpašniekam ir pārstāvis, šā pārstāvja vārdu un adresi;
(iii) ja īpašniekam ir piegādes adrese, šo adresi;
(iv) licenciāta vārdu (nosaukumu) un adresi;
(v) ja licenciātam ir pārstāvis, šā pārstāvja vārdu un adresi;
(vi) ja licenciātam ir piegādes adrese, šo adresi;
(vii) tās valsts nosaukumu, kuras pilsonis (valstspiederīgais) ir licenciāts, ja viņš ir kādas valsts pilsonis (valstspiederīgais), tās valsts nosaukumu, kurā licenciātam ir pastāvīga dzīvesvieta (atrašanās vieta), ja viņam tāda ir, un tās valsts nosaukumu, kurā licenciātam ir reāls un strādājošs rūpniecības vai tirdzniecības uzņēmums, ja viņam tāds ir;
(viii) ja īpašnieks vai licenciāts ir juridiska persona, šīs juridiskās personas tiesisko statusu un valsti, un vajadzības gadījumā – teritoriālo vienību šajā valstī, kuras jurisdikcijā šī juridiskā persona nodibināta;
(ix) tās zīmes reģistrācijas numuru, kura ir licences priekšmets;
(x) preču un/vai pakalpojumu nosaukumus, attiecībā uz kuriem piešķirta licence, sagrupētus saskaņā ar Nicas klasifikācijas klasēm, katru grupu ievadot ar tās klasifikācijas klases numuru, pie kuras šī preču vai pakalpojumu grupa pieder, un novietojot minētās klasifikācijas klašu secībā;
(xi) norādi, vai piešķirta izņēmuma licence, solo licence vai vienkārša licence;
(xii) vajadzības gadījumā – norādi, ka licence attiecas tikai uz daļu tās teritorijas, kuru aptver reģistrācija, un precīzu šīs teritorijas daļas norādi;
(xiii) licences termiņu.
(b) Līgumslēdzēja puse var prasīt, lai iesniegums par licences ieraksta grozīšanu vai anulēšanu saskaņā ar 18. panta 1. daļu ietvertu visas vai dažas no šādām ziņām vai materiāliem:
(i) ziņas, kas konkretizētas (a) apakšpunkta (i) – (ix) daļā;
(ii) ja grozījums vai anulēšana attiecas uz kādu no (a) apakšpunktā konkretizētajām ziņām vai materiāliem, norādi par reģistrā izdarāmā grozījuma vai svītrojuma raksturu un apjomu.
(2) [Licences ierakstīšanai reģistrā nepieciešamie papilddokumenti]
(a) Līgumslēdzēja puse var prasīt, lai iesniegumam par licences ierakstīšanu reģistrā tiktu pievienots, pēc iesniedzēja izvēles, kāds no šādiem papilddokumentiem:
(i) izraksts no licences līguma, kurš parāda puses un licencētās tiesības un kura pareizība apliecināta notariāli vai citā kompetentā valsts institūcijā;
(ii) neapliecināts paziņojums par licenci, kurš pēc satura atbilst paziņojuma par licenci veidlapai, kāda paredzēta Reglamentā, un kuru parakstījuši gan īpašnieks, gan licenciāts;
(b) Jebkura Līgumslēdzēja puse var prasīt, lai katrs līdzīpašnieks, kurš nav licences līguma puse, viņa parakstītā dokumentā sniegtu skaidri izteiktu piekrišanu licencei.
(3) [Licences ieraksta grozīšanai nepieciešamie papilddokumenti]
(a) Līgumslēdzēja puse var prasīt, lai iesniegumam par licences ieraksta grozīšanu tiktu pievienots, pēc iesniedzēja izvēles, kāds no šādiem papilddokumentiem:
(i) dokuments, kas apliecina pieprasīto grozījumu licences ierakstā;
(ii) neapliecināts paziņojums par licences grozījumu, kurš pēc satura atbilst paziņojuma par licences grozījumu veidlapai, kāda paredzēta šajā Reglamentā, un kuru parakstījuši gan īpašnieks, gan licenciāts.
(b) Jebkura Līgumslēdzēja puse var prasīt, lai katrs līdzīpašnieks, kurš nav licences līguma puse, viņa parakstītā dokumentā sniegtu skaidri izteiktu piekrišanu licences grozījumam.
(4) [Licences ieraksta anulēšanai nepieciešamie papilddokumenti] Līgumslēdzēja puse var prasīt, lai iesniegumam par licences ieraksta anulēšanu tiktu pievienots, pēc iesniedzēja izvēles, kāds no šādiem papilddokumentiem:
(i) dokuments vai dokumenti, kas apliecina pieprasīto licences ieraksta anulēšanu;
(ii) neapliecināts paziņojums par licences anulēšanu, kurš pēc satura atbilst paziņojuma par licences anulēšanu veidlapai, kāda paredzēta šajā Reglamentā, un kuru parakstījuši gan īpašnieks, gan licenciāts.