
Korupcijas novēršanas un apkarošanas biroja dienesta informācija Nr.1/6239
Rīgā 2008.gada 17.jūnijā
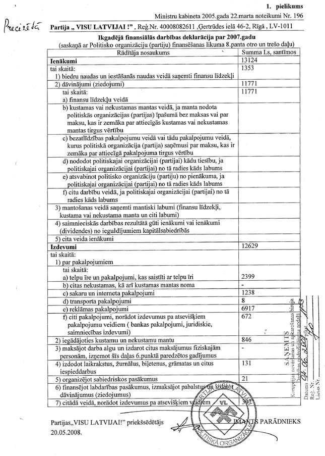
Par politisko organizāciju iesniegtajām precizētajām ikgadējām finansiālās darbības deklarācijām par 2007.gadu
Saskaņā ar Ministru kabineta 2005.gada 22.marta noteikumiem Nr.196
Politiskā organizācija “Visu Latvijai!”
Politiskā organizācija “Jūrmala – mūsu mājas”
Politiskā organizācija “Latgales tauta”