Ministru kabineta noteikumi Nr.49
Rīgā 2008.gada 29.janvārī (prot. Nr.6 14.§)
Noteikumi par kuģu drošību
Izdoti saskaņā ar Jūrlietu pārvaldes un jūras drošības likuma 11.panta ceturto daļu
1. Vispārīgie jautājumi
1. Noteikumi nosaka drošības prasības esošiem un jauniem Latvijas Kuģu reģistrā reģistrētiem komercdarbībai paredzētiem kuģiem, kuri:
1.1. neveic starptautiskus reisus;
1.2. veic starptautiskus reisus, bet to bruto tilpība ir mazāka par 500.
2. Noteikumi neattiecas uz:
2.1. zvejas kuģiem;
2.2. tiem pasažieru kuģiem, kuru drošības prasības nosaka normatīvie akti par pasažieru kuģu drošību (izņemot šo noteikumu 13.nodaļu);
2.3. atpūtas kuģiem (izņemot šo noteikumu 13.nodaļu).
3. Noteikumos lietoti šādi termini:
3.1. atvērta tipa kuģis - kuģis, kam nav ūdensnecaurlaidīga klāja;
3.2. avārijas slēgdēlis - slēgdēlis, kas tieši savienots ar avārijas elektroenerģijas avotu un paredzēts elektroenerģijas sadalei avārijas gadījumos;
3.3. B-15 klases nodalījums - nodalījums, ko veido starpsienas un klāji, griesti vai oderējums, kuri ir tā konstruēti, lai pirmās pusstundas standarta ugunsdrošības testa beigās nepieļautu liesmu integritāti, un to izolācijas vērtība ir tāda, lai liesmu iedarbībai nepakļautās nodalījuma puses vidējā temperatūra nepaceltos augstāk par 139 °C virs sākuma temperatūras, kā arī temperatūra jebkurā punktā (ieskaitot jebkuru savienojuma punktu) 15 minūtēs nepaceltos augstāk par 225 °C virs sākuma temperatūras;
3.4. darba klājs - zemākais nepārtrauktais klājs, kas atrodas virs dziļākās ekspluatācijas ūdenslīnijas;
3.5. degtnespējīgs materiāls - materiāls, kas aizdedzināšanas avota iedarbības rezultātā neaizdegas, negruzd un nepārogļojas;
3.6. degvielas sistēma - aprīkojums, kas tiek izmantots, lai sagatavotu degvielu padevei iekšdedzes dzinējos. Tas ietver augstspiediena sūkņus, filtrus, sildītājus un citas iekārtas, kas strādā ar degvielu, spiedienam pārsniedzot 0,18 N/mm2;
3.7. diametrālā plakne - kuģa korpusa vertikālā garenvirziena simetrijas plakne;
3.8. dziļākā ekspluatācijas ūdenslīnija - ūdenslīnija, kas atbilst maksimāli atļautajai kuģa iegrimei;
3.9. dzīvojamās telpas - kuģa apkalpes locekļiem paredzētās guļamtelpas, ēdamtelpas, sanitārās telpas, atpūtas telpas un lazarete;
3.10. enerģētiskā iekārta - mehānismu un sistēmu kopums, kas nodrošina kuģa kustību un vadību, kuģa tehnoloģisko iekārtu darbību, kā arī normālus sadzīves un darba apstākļus;
3.11. esošs kuģis - kuģis, kas nav jauns kuģis;
3.12. galvenais klājs - nepārtraukts ūdensnecaurlaidīgs klājs, kas ir tieši pakļauts ārējo jūras un laikapstākļu iedarbībai. Šo terminu lieto attiecībā uz atpūtas kuģiem;
3.13. galvenais slēgdēlis - slēgdēlis, kas tieši savienots ar galveno elektroenerģijas avotu un paredzēts elektroenerģijas sadalei;
3.14. galvenais stūres pievads - mehānismi, spēka agregāti (ja tādi ir izmantoti), palīgaprīkojums un līdzekļi, kas nodrošina griezes momenta novadīšanu uz stūres vārpstu, lai normālos ekspluatācijas apstākļos efektīvi grozītu stūri un vadītu kuģi;
3.15. garums (L) - garums, kas ir 96 % no pilna kuģa garuma pa ūdenslīniju ar iegrimi 85 % no teorētiskā sānu augstuma (augstums tiek mērīts no ķīļa augšējās malas), vai garums no kuģa priekšvadņa priekšējās malas līdz stūres vārpstas asij pa to pašu ūdenslīniju (izvēlas garāko). Kuģiem, kas projektēti ar konstruktīvo galsveri, ūdenslīnijai, pēc kuras tiek mērīts garums, jābūt paralēlai konstruktīvajai ūdenslīnijai;
3.16. jauns kuģis - kuģis, kas atbilst šādiem nosacījumiem:
3.16.1. līgums par kuģa būvi ir noslēgts 2007.gada 1.janvārī vai vēlāk;
3.16.2. līgums par kuģa būvi ir noslēgts pirms 2007.gada 1.janvāra, bet kuģis ir piegādāts pasūtītājam pēc 2010.gada 1.janvāra;
3.16.3. nav noslēgts līgums par kuģa būvi, bet par kuģa būves sākumu nosaka datumu, kad ir ielikts kuģa ķīlis vai ielikta konstrukcija, vai ir samontēta konstrukcija (konstrukcijas svars ir mazākais no vērtībām - 50 tonnas vai 1 % no paredzētā kuģa konstrukcijas svara);
3.17. kuģa garuma viduspunkts - garuma (L) viduspunkts;
3.18. kuģis bez enerģijas - stāvoklis, kad dzeniekārta, katls un palīgmehānismi nestrādā, jo nav nodrošināta enerģijas padeve;
3.19. kuģošanas rajoni - akvatorijas, kurās atļauta kuģa ekspluatācija. Šo noteikumu izpratnē ir noteikti šādi kuģošanas rajoni:
3.19.1. Baltijas jūra - kuģošana Baltijas jūrā, bet ne aiz līnijas, kas novilkta no Hanstholmas līdz Lindesnesai un cauri Ķīles kanālam, nepārsniedzot līniju, kas novilkta no Esbjergas caur punktu ar koordinātām 53 °N un 4 °E līdz Blankenberges bākai;
3.19.2. piekrastes kuģošana - kuģošana, ja attālums līdz patvēruma ostai nepārsniedz 20 jūras jūdzes;
3.19.3. iekšējo ūdeņu kuģošana - kuģošana ostu iekšējās akvatorijās un iekšējās ūdenstilpēs, neizejot jūrā. Komerckuģošanā izmantojamo kuģu satiksme iekšējo ūdeņu akvatorijās atļauta, ja kuģu ceļi ir ar atbilstošu dziļumu un aprīkoti ar navigācijas zīmēm un ugunīm;
3.20. maksimālais atpakaļgaitas ātrums - ātrums, kādu kuģis var attīstīt ar maksimālo projektēto atpakaļgaitas jaudu un maksimāli atļauto iegrimi;
3.21. mašīntelpas - tā kuģa konstrukcijas daļa, kur izvietoti iekšdedzes dzinēji vai centrālās apkures katli, vai iekšdedzes dzinēji un centrālās apkures katli, kurus apsilda, sadedzinot naftas produktus;
3.22. nominālais ekspluatācijas ātrums - lielākais ātrums, kādam kuģis ir projektēts ar maksimāli atļauto iegrimi;
3.23. normāli ekspluatācijas un sadzīves apstākļi - stāvoklis, kad kuģis kopumā, tā mehānismi, dzeniekārtas, stūres iekārta, drošas navigācijas līdzekļi, aprīkojums, kas samazina ugunsgrēka un kuģa pieplūšanas ar ūdeni risku, ārējie sakari un signāllīdzekļi, kuģa atstāšanas līdzekļi atrodas darba stāvoklī un sadzīves apstākļi nodrošina minimālu komfortu;
3.24. papildnosacījumi - meteoroloģiskie apstākļi, ledus apstākļi, kuģa noslogojums un citi apstākļi, kas jāņem vērā, ekspluatējot kuģi;
3.25. periodiski neapkalpojamas mašīntelpas - mašīntelpas, kurās atrodas galvenā dzeniekārta un galvenie elektroenerģijas avoti un kurās ne vienmēr (arī kuģim veicot manevrus) atrodas apkalpojošais personāls;
3.26. platums (B) - kuģa vislielākais platums, kas mērīts kuģa garuma vidusdaļā starp brangu ārējām malām - kuģiem ar metāla apšuvi - un starp korpusa ārējām virsmām - kuģiem ar apšuvi no citiem materiāliem;
3.27. rezerves stūres pievads - aprīkojums, kas paredzēts, lai efektīvi grozītu stūri un vadītu kuģi gadījumā, ja galvenais stūres pievads pārstāj darboties;
3.28. sānu augstums (D) - teorētiskais sānu augstums kuģa garuma viduspunktā;
3.29. šļakatu necaurlaidība - konstrukcijas spēja nodrošināt, lai neatkarīgi no jūras stāvokļa ūdens nevar iekļūt kuģī;
3.30. teorētiskais sānu augstums - vertikālais attālums no horizontālā ķīļa līdz darba klāja apakšējai virsmai pie kuģa sāna. Kuģiem ar noapaļotu klāja un sānu savienojumu teorētisko sānu augstumu mēra līdz klāja un sānu teorētisko līniju krustpunktam. Ja darba klājam ir pakāpiens un tā paaugstinātā daļa atrodas virs teorētiskā sānu augstuma mērīšanas punkta, teorētisko sānu augstumu mēra līdz darba klāja zemākās daļas turpinājuma nosacītai līnijai, kas ir paralēla paaugstinātajai klāja daļai;
3.31. ūdensnecaurlaidība - konstrukcijas spēja nelaist cauri ūdeni nevienā virzienā, ja ir tāds ūdens spiediens, kam šī konstrukcija paredzēta;
3.32. ugunsgrēka signalizācija - tehnisko līdzekļu kopums, kas ugunsgrēka izcelšanās gadījumā automātiski to atklāj, fiksē un signalizē par to.
4. Kuģa korpuss, galvenie mehānismi un palīgmehānismi, aprīkojums, elektroiekārtas un automātika ir projektēta, būvēta un tiek uzturēta atbilstoši klasifikācijas prasībām saskaņā ar 1974.gada Starptautiskās konvencijas par cilvēka dzīvības aizsardzību uz jūras ar turpmākajiem grozījumiem (turpmāk - SOLAS konvencija) II-1.nodaļas A-1.daļas 3-1.noteikumu.
5. Noteikumos paredzētās kuģu apskates veic un dokumentus izsniedz valsts akciju sabiedrības "Latvijas Jūras administrācija" (turpmāk - Jūras administrācija) Kuģošanas drošības inspekcija (turpmāk - inspekcija). Pēc kuģa īpašnieka pieprasījuma atzīta organizācija var veikt tās šajos noteikumos paredzētās funkcijas, kas tai noteiktas pilnvarojuma līgumā ar Jūras administrāciju.
6. Ja atsevišķu šo noteikumu prasību piemērošana būtiski apgrūtina (piemēram, traucē jaunu iekārtu uzstādīšanu un pieslēgšanu esošajām kuģa sistēmām) jauna veida konstrukciju un aprīkojuma ieviešanu uz kuģa, inspekcija atbrīvo kuģi no šo noteikumu 4., 5., 6., 7., 8., 9., 10. un 12.nodaļā noteiktajām prasībām ar nosacījumu, ka tiek ievērotas tās drošības prasības, kuras ir piemērojamas konkrētajiem kuģa ekspluatācijas apstākļiem un nodrošina kuģa vispārēju drošību.
7. Kuģi, ko ekspluatē vienīgi Latvijas teritoriālajos ūdeņos, inspekcija atbrīvo no atsevišķu šo noteikumu prasību izpildes tikai tad, ja to uzskata par vajadzīgu kuģa efektīvai ekspluatācijai, ņemot vērā noteikto kuģošanas rajonu, kuģa tipu, meteoroloģiskos apstākļus un navigācijas apstākļus, ar nosacījumu, ka kuģa drošība nemazinās.
8. Ja šie noteikumi nosaka, ka kuģis izmanto kāda noteikta tipa materiālus, iekārtas, aprīkojumu, aparātus vai tam ir noteiktas īpašas prasības attiecībā uz projektu un konstrukciju, inspekcija atļauj to vietā izmantot citus materiālus, iekārtas, aprīkojumu un aparātus, piemērot citus nosacījumus vai projekta un konstrukcijas prasības, ja tā ar attiecīgiem izmēģinājumiem vai kādā citā veidā ir pārliecinājusies, ka šo materiālu, iekārtu, aprīkojuma, aparātu izmantošana vai nosacījumu piemērošana un konstrukcija vai projekts ir tikpat efektīvs kā tie, kurus nosaka šie noteikumi, un tas nemazina kuģa drošību.
2. Prasības, kas jāievēro, veicot kuģa būves, pārbūves, remonta un modernizācijas darbus
9. Kuģim pēc pārbūves, remonta, modernizācijas un ar to saistītās kuģa apgādes un aprīkojuma maiņas jāatbilst vismaz tām pašām prasībām, kas uz to attiecās pirms minēto darbu veikšanas.
10. Liela apjoma pārbūves, remonta un modernizācijas darbi un ar to saistītās kuģa apgādes un aprīkojuma izmaiņas atbilst prasībām, kas attiecas uz jaunu kuģi.
11. Kuģim, kam nomainīts galvenais dzinējs vai kam veikta ievērojama pārbūve, modifikācija un tādas izmaiņas konstrukcijā, kas mainījušas kuģa tilpības apliecībā noteiktos kuģa izmērus vai ievērojami mainījušas tā smaguma centru vai kuģa aprīkojumu, pirms nodošanas ekspluatācijā veic sānsveres testu un kuģi apgādā ar jaunu noturības informāciju.
12. Kuģa būvi, projektēšanu, modernizāciju vai remontu var veikt tikai komersants, kurš saņēmis inspekcijas izsniegtu uzņēmuma atbilstības apliecību (1.pielikums).
13. Lai saņemtu atbilstības apliecību, komersants iesniedz inspekcijā šādus dokumentus:
13.1. darbu veikšanai un kvalitātes kontrolei norīkotā personāla sarakstu, norādot darbinieku kvalifikāciju un pievienojot kvalifikācijas dokumentu kopijas;
13.2. ražošanas tehnoloģijas un kvalitātes kontroles sistēmas aprakstu;
13.3. ražošanas gala produktam izsniedzamo pavaddokumentu paraugus.
14. Pēc dokumentu izskatīšanas inspekcija inspicē uzņēmumu, lai pārliecinātos par tā spēju veikt kuģu būvi, projektēšanu, modernizāciju vai remontu atbilstoši šo noteikumu prasībām. Inspicēšanas rezultātus atspoguļo aktā.
15. Ja atzinums ir pozitīvs, inspekcija izsniedz komersantam inspekcijas vadītāja parakstītu uzņēmuma atbilstības apliecību. Lai nodrošinātu komersanta uzraudzību arī pēc apliecības izsniegšanas, inspekcija veic ikgadējās uzņēmuma apskates. Pēc ikgadējās apskates veikšanas apliecībā izdara atzīmi un to paraksta inspekcijas inspektors. Bez ikgadējā apstiprinājuma apliecība nav derīga.
16. Inspekcija anulē atbilstības apliecību, ja komersanta darbībā un ražotajā produkcijā konstatē neatbilstību šo noteikumu prasībām.
17. Lēmumus, kas saistīti ar uzņēmuma atbilstības apliecības vai šo noteikumu 20.punktā paredzēto apliecību izdošanu vai anulēšanu, var apstrīdēt Jūras administrācijā Administratīvā procesa likumā noteiktajā kārtībā mēneša laikā pēc lēmuma pieņemšanas. Jūras administrācijas lēmumu var pārsūdzēt tiesā.
3. Kuģu apskates
3.1. Sākotnējā apskate
18. Sākotnējo apskati veic pirms kuģa reģistrācijas Latvijas Kuģu reģistrā. Tās laikā tiek veikta kuģa un tā daļu detalizēta apskate, pārbaude, izmēģinājumi un mērījumi, kā arī pārbaudīta kuģa dokumentācija, lai iepazītos ar kuģi un iegūtu nepieciešamo informāciju par tā konstrukcijas, komplektējuma un tehniskā stāvokļa atbilstību šo noteikumu prasībām. Kuģa īpašnieks un apkalpe sniedz visu informāciju, kas nepieciešama apskates veikšanai.
19. Ja iepriekšējās ekspluatācijas laikā kuģis atradies atzītas organizācijas uzraudzībā un to apliecina spēkā esoši kuģa dokumenti, var tikt ņemti vērā šīs atzītās organizācijas atzinumi un uz to pamata samazināts sākotnējās apskates apjoms, bet tas nedrīkst būt mazāks par noteikto ikgadējās apskates apjomu. Šādos gadījumos var tikt saglabāti atzītās organizācijas iepriekš noteiktie apskašu termiņi un citi nosacījumi. Atbilstoši sākotnējās apskates rezultātiem kuģim nosaka kuģošanas rajonu un nosacījumus, ar kādiem atļauta kuģošana.
20. Ja apskates rezultāti ir pozitīvi, kuģim izsniedz šādas inspekcijas vadītāja vai tā pilnvarotas personas apstiprinātas kuģa apliecības:
20.1. kuģošanas spējas apliecību (2.pielikums);
20.2. pielikumu kuģošanas spējas apliecībai (3.pielikums);
20.3. kravas zīmes apliecību (4.pielikums).
21. Apliecību izsniedz uz termiņu, ne ilgāku par pieciem gadiem. Apliecība ir derīga, ja to katru gadu pēc apskates veikšanas apstiprina ar inspektora parakstu.
3.2. Kārtējā apskate
22. Kārtējo apskati veic ne vēlāk kā piecus gadus pēc sākotnējās apskates un turpmāk ne retāk kā reizi piecos gados. Kuģi obligāti apseko dokā, dzenskrūves un stūres iekārtas pārbauda izjauktā veidā. Izņēmums ir dzenskrūves iekārtas ar "Simplex" tipa blīvslēgiem, kuru pārbaudi izjauktā veidā atļauts veikt reizi 10 gados. Izņēmums ir arī stāvkuģi, debarkaderi, peldošie doki un citi tamlīdzīgi peldošie līdzekļi, kuriem termiņi apskatei dokā tiek noteikti katrā konkrētā gadījumā atsevišķi atkarībā no to konstrukcijas, vecuma un ekspluatācijas īpatnībām.
23. Kārtējās apskates uzdevums ir pārliecināties, ka kuģa konstrukcija, komplektējums un tehniskais stāvoklis atbilst drošas kuģošanas nosacījumiem iepriekš noteiktajā kuģošanas rajonā. Veicot kārtējo apskati, ņem vērā kuģa vecumu, tehnisko stāvokli, korpusa materiālu, aprīkojumu un citus drošu kuģošanu ietekmējošus faktorus.
24. Kārtējās apskates laikā veic kuģa korpusa konstrukciju defektāciju, pieprasa korpusa ārējā apšuvuma, ūdensnecaurlaidīgo starpsienu, klāju un citu būtisku korpusa konstrukciju atlikušā biezuma mērījumus, un, ja defektācijas vai mērījumu rezultāti ir neapmierinoši, pieprasa deformēto vai izrūsējušo konstrukciju remontu.
25. Ja apskates rezultāti ir pozitīvi, kuģim izsniedz inspekcijas vadītāja vai tā pilnvarotas personas apstiprinātas šo noteikumu 20.punktā minētās apliecības.
26. Apliecību izsniedz uz termiņu, ne ilgāku par pieciem gadiem. Apliecība ir derīga, ja to katru gadu pēc apskates veikšanas apstiprina ar inspektora parakstu.
27. Ja apskatē konstatēts, ka kuģis pilnīgi vai daļēji neatbilst drošas kuģošanas nosacījumiem, kuģošanas spējas apliecību vai nu neizsniedz, vai arī kuģim nosaka ekspluatācijas ierobežojumus, ko ieraksta kuģošanas spējas apliecībā.
3.3. Ikgadējās apskates
28. Ikgadējās apskates veic reizi gadā, lai pārliecinātos, ka kuģa konstrukcija, komplektējums un tehniskais stāvoklis ir saglabājis atbilstību drošas kuģošanas nosacījumiem.
29. Kuģa īpašnieks uzrāda kuģi ikgadējai apskatei katru gadu sešu mēnešu periodā, kas sākas trīs mēnešus pirms kuģošanas spējas apliecības beigu termiņa datuma un beidzas trīs mēnešus pēc šī datuma. Apskates laikā pārliecinās par to, ka kopš iepriekšējās apskates nav veiktas ar inspekciju nesaskaņotas konstruktīvas izmaiņas, ka ir izpildītas inspekcijas iepriekš izvirzītās prasības, ka ir laikus veiktas glābšanas līdzekļu un ugunsdzēsības aprīkojuma obligātās pārbaudes.
30. Ja ikgadējās apskates rezultāti ir pozitīvi, kuģa apliecību derīguma termiņu pagarina uz vienu gadu.
3.4. Starpapskate dokā
31. Starpapskati dokā veic, lai laikposmā starp apskatēm dokā kārtējās apskates ietvaros pārliecinātos par kuģa zemūdens daļas atbilstību drošas kuģošanas nosacījumiem. Starpapskates termiņu nosaka starp kuģa otro un trešo ikgadējo apskati, lai starp kuģa apskatēm dokā būtu ne vairāk kā 36 mēneši.
32. Ja atstarpes deidvuda un stūres iekārtas buksēs ir pieļaujamo normu robežās, var atļaut starpapskates laikā neuzrādīt deidvuda un stūres iekārtas izjauktā veidā, pamatojoties uz kuģa īpašnieka pamatotu iesniegumu. Kuģiem, kas vecāki par 20 gadiem, arī starpapskates laikā obligāti jāveic korpusa ārējā apšuvuma biezuma mērījumi.
33. Kuģošanas spējas apliecībā izdara ierakstu par starpapskates veikšanu.
34. Kuģiem, kuri paredzēti kuģošanai tikai iekšējos ūdeņos, atkarībā no kuģa tehniskā stāvokļa starpapskati dokā var aizstāt ar kuģa zemūdens daļas apskati, ko veic ūdenslīdēji.
3.5. Ārpuskārtas apskates
35. Ārpuskārtas apskates veic:
35.1. ja notikusi avārija;
35.2. periodisko apskašu rezultātā noteikto prasību un piezīmju izpildes apliecināšanai, ja to izpildes termiņš nesakrīt ar ikgadējo apskates termiņu;
35.3. kuģa apliecību spēkā esības atjaunošanai;
35.4. lai izsniegtu atļauju kuģa vienreizējam pārgājienam;
35.5. pēc īpašnieka pieprasījuma;
35.6. ja tiek veikti kuģa pārbūves vai modernizācijas darbi.
36. Ja ārpuskārtas apskati veic, lai atjaunotu kuģa apliecības spēkā esību un apskates rezultāti ir pozitīvi, izdara attiecīgu ierakstu kuģa apliecībā.
37. Operatīvās apskates veic kuģu operatīvās inspicēšanas kārtībā pēc inspekcijas iniciatīvas, lai pārliecinātos, vai laikposmā starp plānveida apskatēm kuģis tiek uzturēts atbilstoši drošas kuģošanas nosacījumiem.
4. Korpusa konstrukcija, hermētiskums un aprīkojums
4.1. Konstrukcija
38. Korpusa, virsbūvju, klāja māju, mašīntelpas šahtu, noeju un citu konstrukciju, kā arī kuģa aprīkojuma stiprība un konstrukcija atbilst SOLAS konvencijas II-1.nodaļas A-1.daļas 3-1.noteikumam un ir pietiekama, lai izturētu visus paredzamos kuģa ekspluatācijas apstākļus.
39. Ledus apstākļiem paredzēto kuģu korpusus pastiprina atbilstoši paredzamajiem kuģošanas apstākļiem un darbības rajonam.
40. Kuģus aprīko ar triecienstarpsienu - ūdensnecaurlaidīgu starpsienu kuģa priekšgalā, kas atrodas:
40.1. ne tuvāk par 0,05 L un ne tālāk par 0,08 L no priekšgala perpendikula - kuģiem, kuru garums ir 65 metri un vairāk;
40.2. ne tuvāk par 0,05 L un ne tālāk par 0,05 L, plus 1,35 metri no priekšgala perpendikula - kuģiem, kuru garums ir mazāks par 65 metriem;
40.3. ne tuvāk par diviem metriem no priekšgala perpendikula, bet uz kuģiem, kuru garums ir mazāks par 24 metriem, - ne tuvāk par vienu metru no priekšgala perpendikula - jebkurā gadījumā.
41. Ja kāda kuģa korpusa zemūdens daļas punkts ir izvirzīts uz priekšu tālāk par priekšgala perpendikulu (piemēram, bulba priekšgals), šo noteikumu 40.punktā minēto attālumu mēra no šīs izvirzītās daļas garuma viduspunkta vai no punkta, kas atrodas 0,015 L uz priekšu no priekšgala perpendikula (mēra mazāko attālumu).
42. Starpsiena var veidot pakāpienu vai nišu, ievērojot šo noteikumu 40.punktā minētos attālumus.
43. Starpsienas, atveru noslēgšanas līdzekļi šajās starpsienās, noslēgšanas mehānismi un to pārbaudes metodes atbilst klasifikācijas prasībām saskaņā ar SOLAS konvencijas II-1.nodaļas A-1.daļas 3-1.noteikumu. Kuģus, kas nav būvēti no koka, aprīko ar triecienstarpsienu un ūdensnecaurlaidīgām starpsienām, kas norobežo vismaz mašīntelpu, kravas telpu un dzīvojamās telpas. Šīs starpsienas sniedzas līdz darba klājam. Arī koka kuģus iespēju robežās aprīko ar ūdensnecaurlaidīgām starpsienām.
44. Caurules, kas šķērso triecienstarpsienu, aprīko ar vārstiem, kuru pievadi ir izvadīti virs darba klāja. Vārstu kārbu nostiprina priekšpīķī pie triecienstarpsienas. Triecienstarpsienā zemāk par darba klāju nedrīkst ierīkot durvis, lūkas, ventilācijas kanālus vai citas atveres. Vietās, kur caurules, kanāli un elektriskie kabeļi šķērso ūdensnecaurlaidīgās starpsienas, veic pasākumus, lai nodrošinātu šo starpsienu ūdensnecaurlaidību.
45. Ja kuģa priekšgalā uzstādīta gara virsbūve, triecienstarpsienai jābūt ūdensnecaurlaidīgai līdz nākamajam klājam virs darba klāja. Starpsienu nepagarina tieši virs tās apakšējās daļas, kas atrodas šo noteikumu 40.punktā paredzētajās robežās. Šajā gadījumā klāja daļu, kas veido pakāpienu, būvē ūdensnecaurlaidīgu.
46. Triecienstarpsienā augstāk par darba klāju ierīko tikai minimālo atveru skaitu, kas nodrošina kuģa ekspluatāciju. Šīs atveres veido ūdensnecaurlaidīgi noslēdzamas un to eņģes ierīko tā, lai atveres noslēgšanas līdzeklis (piemēram, vāks, durvis) būtu atverams tikai virzienā uz kuģa priekšgalu.
47. Kuģiem, kuru garums ir 85 metri un vairāk, uzstāda dubultdibenu no triecienstarpsienas līdz ahterpīķa starpsienai, ja tas ir praktiski iespējams.
4.2. Ūdensnecaurlaidīgās durvis
48. Atveru skaitu šo noteikumu 43.punktā paredzētajās ūdensnecaurlaidīgajās starpsienās samazina līdz minimumam atbilstoši kuģa plānojumam un ekspluatācijas vajadzībām. Atveres aprīko ar SOLAS konvencijas II-1.nodaļas A-1.daļas 3-1.noteikuma prasībām atbilstošiem ūdensnecaurlaidīgiem noslēgšanas līdzekļiem. Ūdensnecaurlaidīgās durvis konstruē tikpat izturīgas kā apkārtējās konstrukcijas, kurās nav atveru.
49. Uz kuģiem, kuru garums ir mazāks par 45 metriem, durvis var būt verama tipa un atveramas no abām pusēm. Tās tur aizvērtas, kuģim atrodoties jūrā. Abās durvju pusēs izvieto norādi, ka durvīm jābūt aizvērtām, ja kuģis atrodas jūrā.
50. Uz jauniem kuģiem, kuru bruto tilpība ir 500 un lielāka, slīdoša tipa ūdensnecaurlaidīgās durvis ir šādās telpās:
50.1. telpās, kur ir paredzēts, ka durvis var būt atvērtas, kuģim atrodoties jūrā, un durvju apakšējā mala atrodas zemāk par dziļāko ekspluatācijas ūdenslīniju, ja izņēmumi nav saskaņoti ar inspekciju;
50.2. mašīntelpas lejasdaļā, ja durvis noslēdz ieeju dzenvārpstas tunelī. Pārējos gadījumos ūdensnecaurlaidīgās durvis var būt verama tipa. Slīdošajām ūdensnecaurlaidīgajām durvīm jādarbojas, ja kuģa sānsvere ir līdz 15o uz vienu vai otru bortu.
51. Slīdošās ūdensnecaurlaidīgās durvis (gan ar rokas pievadu, gan cita veida pievadu) konstruē tā, lai tās varētu darbināt no abām pusēm. Uz kuģiem, kuru garums ir 45 metri un lielāks, šīs durvis ir ar distances vadību no ērti pieejamas vietas augstāk par darba klāju, izņemot gadījumu, ja durvis ir izvietotas apkalpes dzīvojamās telpās.
52. Postenī, no kura veic distances vadību, paredz iespēju noteikt, vai slīdošās durvis ir atvērtas vai aizvērtas.
53. Korpusa ārējās atveres ierīko aizveramas tā, lai novērstu ūdens ieplūšanu kuģī. Klāja atveres, kurām ir jābūt atvērtām, izvieto iespējami tuvu kuģa diametrālajai plaknei.
4.3. Šļakatu necaurlaidīgās durvis
54. Visas ieejas atveres slēgto virsbūvju sienās un citās ārējās konstrukcijās, caur kurām var ieplūst ūdens un apdraudēt kuģi, aprīko ar stacionāri pie starpsienas piestiprinātām durvīm ar attiecīgu rāmi un pastiprinājumiem, lai konstrukcija izturības ziņā būtu ekvivalenta konstrukcijai bez atveres un aizvērtā veidā būtu šļakatu necaurlaidīga. Līdzekļi, kas nodrošina šo durvju necaurlaidību, sastāv no blīves un piespiešanas mehānisma vai cita ekvivalenta aprīkojuma, tie ir stacionāri piestiprināti pie sienas vai durvīm un darbināmi gan no ārpuses, gan no iekšpuses.
55. Apmales augstums durvīm, kas ved uz mašīntelpu, šahtām un kāpnēm lejup no klāja daļām, kas ir pakļautas tiešai atmosfēras un jūras iedarbībai, ir vismaz 600 mm uz darba klāja un vismaz 300 mm uz virsbūves klāja. Ja ir pozitīva ekspluatācijas pieredze un inspekcija to apstiprina, šos augstumus var samazināt attiecīgi līdz 380 mm un 150 mm, izņemot durvis, kas ved tieši uz mašīntelpu.
4.4. Lūkas ar koka vākiem
56. Lūku apmaļu augstums ir vismaz 600 mm virs darba klāja atklātajās vietās un vismaz 300 mm virs virsbūves klāja.
57. Nosakot koka lūku vāku biezumu, paredz rezervi to nodilumam, kas rodas ekspluatācijas laikā. Nodrošina galīgo vāka biezumu vismaz četri milimetri uz attāluma starp vāka atbalsta punktiem katriem 100 mm, bet ne mazāku par 40 mm. Vāka atbalsta virsmas platums ir vismaz 65 mm.
58. Metodes, kas nodrošina koka lūku vāku ūdensnecaurlaidību, saskaņo ar inspekciju. Uz jauniem kuģiem koka lūku vāku ūdensnecaurlaidību nodrošina saskaņā ar prasībām, kas noteiktas 1966.gada Starptautiskās konvencijas par kravas marku un tās 1988.gada protokola (turpmāk - LL 66 konvencija) I pielikuma 14. un 15.noteikumā.
4.5. Lūkas ar vākiem no cita materiāla
59. Lūku apmaļu augstumu nosaka atbilstoši 56.punkta noteikumiem. Ja ir pozitīva ekspluatācijas pieredze un inspekcija to apstiprina, apmaļu augstumu var samazināt vai arī apmales var nebūt, ja tas nepasliktina kuģa drošību. Šajā gadījumā lūku atveres ir iespējami mazas, un vāku stiprina stacionāri ar virām vai ar citu ekvivalentu līdzekli. Paredz iespēju lūku ātri aizvērt un aiznaglot ar dēļiem.
60. Stiprības aprēķinam pieņem, ka lūku vāki ir pakļauti uz tiem uzkraujamas kravas statiskai slodzei. Slodzes lielumu nosaka šādi:
60.1. 10,0 kN/m2 kuģiem, kuru garums ir 24 metri un mazāks;
60.2. 17,0 kN/m2 kuģiem, kuru garums ir 100 metru un vairāk.
61. Kuģiem, kuru garums ir starp šiem robežlielumiem, slodzi nosaka ar lineāras interpolācijas palīdzību. Inspekcija atļauj samazināt šīs slodzes, bet tās nedrīkst būt mazākas par 75 % no minētajiem lielumiem lūkām, kas atrodas uz virsbūves klāja tālāk kā 0,25 L uz aizmuguri no priekšgala perpendikula.
62. Ja lūku vāki izgatavoti no mazleģēta tērauda, saskaņā ar šo noteikumu 60.punktu aprēķinātais maksimālais spriegums, reizināts ar 4,25, nepārsniedz materiāla pretestību. Ar šādu slodzi vāka deformācija nepārsniedz 0,0028 no attāluma starp vāka atbalsta punktiem.
63. Ja lūku vāki nav izgatavoti no mazleģēta tērauda, nodrošina, lai to stiprība būtu ekvivalenta no mazleģēta tērauda izgatavoto vāku stiprībai, un nodrošina to konstrukciju šļakatu necaurlaidību šo noteikumu 60.punktā minētajām slodzēm.
64. Lūku vākus aprīko ar piespiešanas mehānismu un blīvējumu, kas nodrošina šļakatu necaurlaidību, vai ar citu sertificētu ekvivalentu aprīkojumu.
4.6. Mašīntelpu atveres
65. Mašīntelpu atveres aprīko ar apmalēm un vējtveriem, kas pēc stiprības atbilst apkārtējām virsbūvēm. Tiešas ieejas atveres aprīko ar šo noteikumu 4.3.apakšnodaļas prasībām atbilstošām durvīm.
66. Atveres, kas nav paredzētas ieejai, aprīko ar vākiem, kuru stiprība ir vienāda ar apkārtējo konstrukciju stiprību un kuri pie tās piestiprināti stacionāri un ir šļakatu necaurlaidīgi noslēdzami.
67. Visas atveres darba un virsbūves klājos (izņemot kravas lūkas, mašīntelpas atveres, līdlūkas un klāja iluminatorus) aizsargā ar slēgtu ierobežojošu konstrukciju, ko aprīko ar šļakatu necaurlaidīgām durvīm vai to ekvivalentu. Lejupceļus izvieto cik iespējams tuvu kuģa diametrālajai plaknei.
4.7. Ventilatori
68. Uz jauniem kuģiem, kuru garums ir 45 metri un lielāks, ventilatoru (ja tie nav mašīntelpas ventilatori) kanālu apmaļu augstumu nodrošina vismaz 900 mm uz darba klāja un vismaz 760 mm uz virsbūves klāja. Uz kuģiem, kuru garums ir mazāks par 45 metriem, šo apmaļu augstumu nodrošina attiecīgi vismaz 760 mm un 450 mm. Mašīntelpas ventilatoru (ja tie paredzēti nepārtrauktai mašīntelpas ventilācijai un, ja nepieciešams, tūlītējai ģeneratoru telpas ventilācijai) atveru augstums virs klāja atbilst šo noteikumu 70.punkta prasībām. Tur, kur kuģa izmēru un iekārtojuma dēļ tas nav izpildāms, pieļaujams mazāks augstums, taču tas visos gadījumos nedrīkst būt mazāks par 900 mm virs darba klāja vai virsbūvju klāja ar nosacījumu, ka ūdensnecaurlaidīgās aizvēršanas ierīces saskaņā ar šo noteikumu 69.punktu kombinācijā ar citiem veicamajiem pasākumiem nodrošina nepārtrauktu un adekvātu ventilāciju minētajās telpās.
69. Nodrošina, lai ventilācijas kanālu apmaļu stiprība būtu ekvivalenta apkārtējo konstrukciju stiprībai. Kanālus būvē šļakatu necaurlaidīgi noslēdzamus ar stacionāri pie kanāla vai apkārtējās konstrukcijas piestiprinātiem noslēgšanas līdzekļiem. Ja ventilācijas kanāla apmales augstums pārsniedz 900 mm, to īpaši nostiprina.
70. Uz kuģiem, kuru garums ir 45 metri un lielāks, ja ventilācijas kanāla apmale atrodas augstāk par 4,5 metriem virs darba klāja vai augstāk par 2,3 metriem virs virsbūves klāja, noslēgšanas līdzekļi nav nepieciešami, ja Jūras administrācija nav noteikusi īpašas prasības. Uz kuģiem, kuru garums ir mazāks par 45 metriem, noslēgšanas līdzekļi nav nepieciešami ventilācijas kanāliem, kuru apmales atrodas augstāk par 3,4 metriem virs darba klāja un augstāk par 1,7 metriem virs virsbūves klāja. Ja inspekcija ir pārliecināta, ka ir maz ticama ūdens ieplūšana kuģī caur mašīntelpas ventilatoriem, šo ventilatoru kanāli var būt bez noslēgšanas līdzekļiem.
4.8. Gaisa caurules
71. Ja kravas tilpņu un zemklāja tukšo tilpumu gaisa caurules ir izvadītas virs darba klāja vai virsbūves klāja, cauruļu atklātā daļa izturības ziņā ir ekvivalenta apkārtējai konstrukcijai un aprīkota ar atbilstošu aizsardzību. Atveres gaisa caurulēs aprīko ar noslēgšanas līdzekļiem, kas stacionāri piestiprināti pie caurules vai apkārtējās konstrukcijas.
72. Gaisa cauruļu augstumu virs klāja (vietās, kur ūdens varētu iekļūt kuģī) nodrošina vismaz 760 mm uz darba klāja un vismaz 450 mm uz virsbūves klāja.
4.9. Mērīšanas līdzekļi
73. SOLAS konvencijas II-1.nodaļas A-1.daļas 3-1.noteikuma prasībām atbilstošus mērīšanas līdzekļus uzstāda:
73.1. satecēs, kuru nodalījumi nav viegli pieejami apskatei reisa laikā;
73.2. visās kravas tilpnēs un koferdamos.
74. Ja uzstāda mērīšanas caurules, to augšējos galus, ja iespējams, izvada līdz ērti pieejamai vietai virs darba klāja. Cauruļu atveres aprīko ar stacionāri piestiprinātiem noslēgšanas līdzekļiem. Mērīšanas caurules, kas nav izvadītas virs darba klāja, aprīko ar automātisku pašaizvēršanās ierīci.
4.10. Iluminatori un logi
75. Iluminatorus telpās zem darba klāja un slēgtajās konstrukcijās uz šī klāja aprīko ar ūdensnecaurlaidīgiem vētras vākiem.
76. Priekšējiem logiem virsbūves citos līmeņos paredz vismaz divus pietiekami izturīgus vētras vākus katram logu tipam, kuru biezums ir vismaz 5,0 mm, ja tie ir no tērauda, vai 7,5 mm, ja tie ir no alumīnija. Paredz maksimāli vienu vētras vāku katram logam. Nodrošina iespēju viegli un droši noslēgt bojātos logus ar vētras vākiem no ārpuses.
77. Iluminatoru apakšējā mala ir vismaz 500 mm virs dziļākās ekspluatācijas ūdenslīnijas.
78. Zemāk nekā 1000 mm virs dziļākās ekspluatācijas ūdenslīnijas uzstāda tikai neatverama tipa iluminatorus.
79. Izmanto tikai sertificētas konstrukcijas iluminatorus, to stiklus un vētras vākus.
80. Stūres mājas logus izgatavo no rūdīta stikla. Tā biezumu nosaka atbilstoši SOLAS konvencijas II-1.nodaļas A-1.daļas 3-1.noteikumam.
81. Iluminatorus un logus bez vētras vākiem inspekcija atļauj izmantot klāja virsbūvju sānu un aizmugures sienās, ja šīs virsbūves atrodas uz darba klāja vai virs tā un šādi netiek samazināta kuģa drošība. Uz jauniem kuģiem ievēro SOLAS konvencijas II-1.nodaļas A-1.daļas 3-1.noteikumu.
4.11. Iesūknēšana un atsūknēšana
82. Notekas caur korpusa ārējo apšuvumu (gan no telpām, kas atrodas zem darba klāja, gan slēgtajās virsbūvēs un klāja mājās uz darba klāja, kas ir aprīkotas ar šo noteikumu 4.2.apakšnodaļas prasībām atbilstošām durvīm) aprīko ar līdzekļiem, kas nepieļauj ūdens iekļūšanu korpusā. Katru noteku aprīko ar automātisku neatgriezenisku vārstu ar piespiedu noslēgšanas pievadu no ērti pieejamas vietas. Vārsts nav nepieciešams, ja inspekcija uzskata, ka ūdens ieplūde caur noteku nevar būt bīstama un noteku cauruļu biezums ir pietiekams. Vārsta noslēgšanas pievadu aprīko ar indikatoru, kas norāda, vai vārsts ir atvērts vai aizvērts.
83. Visas ieplūdes vai izplūdes atveres kuģa korpusā zem ūdenslīnijas tiek aprīkotas ar noslēgšanas vārstiem, kas ir viegli pieejami avārijas situācijā. Uzstāda indikatorus, kas norāda, vai aizborta vārsti ir atvērti vai aizvērti.
84. Vārstus un pie ārējā apšuvuma stiprinātās detaļas izgatavo no tērauda, bronzas vai cita sertificēta, elastīga materiāla. Visas caurules starp ārējo apšuvumu un vārstu ir no tērauda.
4.12. Ūdens vārti
85. Margsienas minimālais ūdens vārtu laukums ir ne mazāks par 10 % no margsienas kopējā laukuma kvadrātmetros.
86. Noteiktajā kārtībā aprēķināto ūdens vārtu laukumu palielina, ja inspekcija uzskata, ka kuģa klāja sedlveida ieliekums ir nepietiekams, lai nodrošinātu, ka klājs tiek ātri un efektīvi atbrīvots no ūdens.
87. Ūdens vārtus izvieto gar margsienu tā, lai nodrošinātu, ka klājs ātri un efektīvi atbrīvojas no ūdens. Ūdens vārtu apakšējā mala ir cik iespējams tuvu klājam.
88. Nožogojumus un aprīkojumu izvieto tā, lai netiktu samazināta ūdens vārtu darbības efektivitāte. Nožogojumos paredz konstruktīvas atveres, lai darba stāvoklī tie netraucētu ūdens noplūdi.
89. Ūdens vārtus, kuru augstums ir lielāks par 300 mm, aprīko ar režģi vai citu aizsargaprīkojumu. Attālums starp režģa stieņiem ir ne mazāks par 150 mm un ne lielāks par 230 mm. Ja uzstāda ūdens vārtu aizveres, to konstrukcijai jābūt sertificētai.
90. Kuģiem, kas paredzēti kuģošanai rajonos, kur ir iespējams apledojums, ūdens vārtu aizveres un režģi ir viegli noņemami, lai ierobežotu to aizdambēšanos ar ledu. Atveru izmērus un aizsargaprīkojuma noņemšanas veidu saskaņo ar inspekciju.
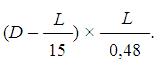
4.13. Enkura un pietauvošanās aprīkojums
91. Katru kuģi aprīko ar ātram un drošam darbam projektētu enkura iekārtu, kas sastāv no enkuriem, enkurķēdēm vai tērauda trosēm, aizturmehānismiem un enkurspilves vai cita aprīkojuma, kas nodrošina enkuru nolaišanu, pacelšanu un kuģa noturēšanu uz enkura visos paredzamajos ekspluatācijas apstākļos. Katru kuģi aprīko ar atbilstošu pietauvošanās aprīkojumu, kas nodrošina drošu kuģa pietauvošanu jebkuros ekspluatācijas apstākļos. Enkura un pietauvošanās aprīkojums atbilst SOLAS konvencijas II-1.nodaļas A-1.daļas 3-1.noteikumam.
4.14. Iegrimes skalas
92. Visus kuģus gan priekšgalā, gan pakaļgalā aprīko ar iegrimes skalām (iedaļa - viens decimetrs) uz abiem bortiem.
93. Iegrimes skalas uzstāda iespējami tuvu priekšgala un pakaļgala perpendikulam.
5. Noturība un jūrasspēja
5.1. Vispārīgie noturības kritēriji
94. Kuģus projektē un būvē tā, lai visi noturības kritēriji būtu ievēroti noteikumos noteiktajos slodzes gadījumos. Noturības plecu līkņu (statiskās noturības diagrammas) aplēsi apstiprina inspekcija.
95. Nodrošina atbilstību šādiem noturības kritērijiem (ja ekspluatācijas pieredze nepārliecina inspekciju, ka pieļaujamas atkāpes no tiem):
95.1. laukums zem noturības pleca līknes (GZ līkne) nav mazāks par 0,55 m × rad sānsveres diapazonā no 0° līdz 30° un nav mazāks par 0,09 m × rad sānsveres diapazonā no 0° līdz 40° vai piesmelšanās leņķim θf , ja tas ir mazāks par 40°. Attiecīgi laukums zem noturības pleca līknes (GZ līkne) nav mazāks par 0,03 m × rad sānsveres diapazonā no 30° līdz 40° vai no 30° līdz piesmelšanās leņķim θf, ja tas ir mazāks par 40°. Piesmelšanās leņķis θf ir tāds sānsveres leņķis, kad caur atverēm kuģa korpusā, virsbūvēs vai klāja mājās, kuras nevar ātri ūdens necaurlaidīgi aizvērt, sāk lielā daudzumā ieplūst ūdens un kuģis sāk grimt. Mazas atveres, caur kurām liels ūdens daudzums nevar ieplūst kuģa korpusā, nav uzskatāmas par atvērtām;
95.2. noturības plecs GZ ar sānsveres leņķi, vienādu ar 30° vai lielāku, nav mazāks par 200 mm;
95.3. noturības plecs maksimālo vērtību GZMAX sasniedz, ja sānsveres leņķis nav mazāks par 30°. Pamatotā gadījumā šis leņķis nav mazāks par 25°;
95.4. kuģim sākotnējais izlabotais metacentriskais augstums GM nav mazāks par 150 mm.
96. Ja kuģa zvalstīšanās amplitūdas samazināšanai izmantots citāds aprīkojums, nevis ķimeņu ķīļi, inspekcija pārliecinās, vai atbilstība šo noteikumu 95.punktā minētajiem noturības kritērijiem nodrošināta visos slogošanas variantos.
97. Dažādas ietekmes (piemēram, sānvējš kuģiem ar lielu kuģa silueta laukumu, kuģa virsūdens daļas apledojums, iesprostotais ūdens uz klāja, zvalstīšanās parametri, līdzskrejošie viļņi), kas būtiski iespaido kuģa noturību, ievēro aprēķinos.
98. Kuģa noturība ir pietiekama visos reisa posmos, kad rodas papildu slodze piemirkšanas un apledojuma dēļ, kā arī slodzes samazināšanās degvielas krājumu patēriņa dēļ.
99. Ja kuģis pārvadā naftas produktus beztaras veidā, inspekcija pārliecinās, vai šo noteikumu 95.punktā minētie noturības kritēriji ir saglabāti visu iekraušanas un balastēšanas operāciju laikā.
5.2. Laikapstākļu kritērijs (stipra sānvēja un zvalstību kopējā iedarbība)
100. Kuģa spēju izturēt stipru sānvēja brāzmu un zvalstību vienlaicīgu iedarbību pārbauda, slogojot kuģi ar dinamiski pielikto vēja sānsveres momentu, ņemot vērā zvalstību amplitūdu (viļņu radīto sānsveres leņķi). Apmierinošas noturības kritērijam šajā gadījumā jāparāda, ka vissliktākajā slodzes variantā vēja spiediena radītā dinamiskā sānsveres momenta MW darbs, ņemot vērā zvalstīšanās amplitūdu (1.zīmējuma laukums "a"), ir vienāds vai mazāks par noturības momenta darbu (laukums "b" zem noturības pleca līknes). Šo nosacījumu uzskata par izpildītu, ja:
| |
CWr = |
laukums "b" |
nedrīkst būt mazāks par 1(> 1). |
| |
laukums "a" |
101. Noturības pārbaudi pret vienlaicīgu vēja un zvalstību iedarbību veic šādā secībā:
101.1. kuģis pakļauts pastāvīgai vēja spiediena iedarbībai perpendikulāri kuģa diametrālajai plaknei, tā rezultāts ir pastāvīgās sānsveres moments MW1 ar plecu
101.2. no pastāvīgā sānsveres leņķa θO viļņu iedarbības rezultātā kuģis sāk svērties pret vēju (sānsveres leņķis θ1). Pastāvīga vēja radītais sānsveres leņķis θO ir tāds, lai rezultējošais sānsveres leņķis (θO + θ1) nebūtu pārmērīgs. Tādēļ leņķa θO vērtību ierobežo ar 16° vai 80 % no leņķa, kādā klāja mala ieiet ūdenī (atkarībā no tā, kurš ir mazāks);
101.3. atrodoties sasvērtā stāvoklī, kuģis tiek pakļauts vēja brāzmas spiedienam, kā rezultātā rodas vēja brāzmas sasveres moments MW2 ar plecu
101.4. šādos apstākļos Rīda diagrammas
laukums "b" ir vienāds ar laukumu "a" vai lielāks par to
(1.zīmējums);
101.5. zīmējot Rīda diagrammu, ir jāņem
vērā šķidro kravu brīvo virsmu labojums.

Zīmējumā redzamie leņķi definēti šādi:
θO - sānsveres leņķis no pastāvīgā vēja iedarbības;
θl - sasvēršanās leņķis pretēji viļņu iedarbības virzienam;
θ2 - piesmelšanās leņķis (θf) vai 50°, vai θC, skatoties, kurš mazāks;
θC - Rīda diagrammas un sasveres pleca lw2 otrā krustpunkta leņķis.
Risinot šo uzdevumu, pieņem, ka vēja sānsveres momentu pleci lw1 un lw2 ir konstanti visiem sānsveres leņķiem un tos var aprēķināt šādi:
p = 504 [kN × m
-2] - vēja spiediens. Kuģiem, kas kuģo ierobežotajos kuģošanas rajonos, p vērtību var samazināt, saskaņojot to ar Jūras administrāciju;
A - kuģa daļas virs ūdenslīnijas projekcijas diametrālajā plaknē laukums un klāja kravas projekcijas laukums diametrālajā plaknē (silueta laukums) [m
2];
z - vertikālais attālums no laukuma A smagumcentra līdz zemūdens daļas projekcijas smagumcentram diametrālajā plaknē vai līdz punktam uz pusiegrimes [m];
h - vertikālais attālums no laukuma A smagumcentra līdz ūdenslīnijai [m];
Δ - kuģa ūdensizspaids [t];
g = 9,81 [m × s
-2].
Zvalstību leņķis θl tiek rēķināts šādi:
X
1 - koeficients, kas dots 1.tabulā;
X
2 - koeficients, kas dots 2.tabulā;
k - koeficients, kuram ir šādas vērtības:
k = 0,1 - kuģiem ar noapaļotiem ķimeņiem, kuriem nav ķimeņu un brusu ķīļu,
k = 0,7 - kuģiem ar lauztām ķimeņu brangām,
k - kuģiem ar ķimeņu ķīļiem vai brusas ķīļiem, vai abiem reizē koeficienta vērtības dotas 3.tabulā;
r = 0,73 ± 0,6 × OG / d , kur
OG - attālums starp smagumcentru un ūdenslīniju [m] ("+" zīme, ja smagumcentrs ir augstāk par ūdenslīniju, "-" zīme, ja tas ir zem ūdenslīnijas);
d - kuģa vidējā iegrime [m];
S - koeficients, kas dots 4.tabulā (kuģiem, kas aprīkoti ar zvalstību nomierinātājiem, leņķi rēķina, pieņemot, ka tie nedarbojas)
|
1.tabula
|
2.tabula
|
3.tabula
|
4.tabula
|
|
koeficients X1
|
koeficients X2
|
koeficients k
|
koeficients S
|
|
B
—
d
|
X1
|
CB
|
X2
|
AK × 100
————-
L × B
|
k
|
T
|
S
|
|
< 2,4
|
1,00
|
< 0,45
|
0,75
|
0,0
|
1,00
|
< 6
|
0,100
|
|
2,5
|
0,98
|
0,50
|
0,82
|
1,0
|
0,98
|
7
|
0,098
|
|
2,6
|
0,96
|
0,55
|
0,89
|
1,5
|
0,95
|
8
|
0,093
|
|
2,7
|
0,95
|
0,60
|
0,95
|
2,0
|
0,88
|
12
|
0,065
|
|
2,8
|
0,93
|
0,65
|
0,97
|
2,5
|
0,79
|
14
|
0,053
|
|
2,9
|
0,91
|
> 0,70
|
1,00
|
3,0
|
0,74
|
16
|
0,044
|
|
3,0
|
0,90
|
|
|
3,5
|
0,72
|
18
|
0,038
|
|
3,1
|
0,88
|
|
|
> 4,0
|
0,70
|
> 20
|
0,035
|
|
3,2
|
0,86
|
|
|
|
|
|
|
|
3,3
|
0,84
|
|
|
|
|
|
|
|
3,4
|
0,82
|
|
|
|
|
|
|
|
> 3,5
|
0,80
|
|
|
|
|
|
|
Starpvienības 1., 2., 3. un 4.tabulā nosaka ar
lineārās interpolācijas metodi.
Zvalstību periods
C - kuģa inerces koeficients [m- ½ × s];
C = 0,373 + 0,023 × (B/d) - 0,043 × (L/100) [m- ½ × s].
Formulās un tabulās lietoti šādi apzīmējumi:
L - kuģa garums ūdenslīnijas līmenī [m];
B - kuģa platums [m];
d - vidējā iegrime [m];
CB - ūdensizspaida pilnuma koeficients;
AK - kopējais zvalstķīļu laukums vai brusķīļa laukums, vai abu summa [m2];
GM - metacentriskais augstums (izlabots, ņemot vērā brīvo virsmu ietekmi) [m].
5.3. Šķidro kravu brīvo virsmu ietekme uz kuģa noturību
102. Visos slogojuma gadījumos sākotnējais metacentriskais augstums un noturības pleca līkne (statiskās noturības diagramma) ir koriģēta, ņemot vērā šķidro kravu brīvo virsmu efektu.
103. Brīvās virsmas efektu ņem vērā, kad kravas tilpnes uzpildīšanas līmenis ir mazāks par 98 % no pilna stāvokļa. Brīvās virsmas efektu neņem vērā nomināli pilnām kravas tilpnēm, kad uzpildīšanas līmenis ir 98 % vai vairāk. Brīvās virsmas efektu mazām kravas tilpnēm neņem vērā, ja ir spēkā šo noteikumu 111.punkta nosacījumi.
104. Kravas tilpnēm, kuras ņem vērā, aprēķinot brīvās virsmas korekciju, ir šādas kategorijas:
104.1. kravas tilpnes ar fiksētu uzpildīšanas līmeni (piemēram, šķidrā krava, ūdens balasts). Brīvās virsmas korekcija ir aprēķināta reālam uzpildīšanas līmenim katrā kravas tilpnē;
104.2. kravas tilpnes ar mainīgu uzpildīšanas līmeni (piemēram, lietojamie šķidrumi - degviela, dīzeļdegviela un saldūdens, kā arī šķidrā krava un ūdens balasts šķidruma pārvietošanas operāciju laikā). Brīvās virsmas korekcija ir maksimāli sasniedzamā vērtība starp paredzamajiem uzpildīšanas limitiem katrai kravas tilpnei atbilstoši jebkurai operāciju instrukcijai.
105. Aprēķinot brīvās virsmas efektu kravas tilpnēs, kas satur lietojamus šķidrumus, pieņem, ka katram šķidruma tipam vismaz vienam pārim šķērsu kravas tilpņu vai atsevišķai centra kravas tilpnei ir brīvā virsma un kravas tilpne vai kravas tilpņu kombinācija aprēķinā ir tādas, kurām brīvās virsmas efekts ir vislielākais.
106. Kad ūdens balasts (arī zvalstību nomierināšanas cisternas un sānsveri izlīdzinošās kravas tilpnes) tiek piepildīts vai iztukšots pārgājiena laikā, brīvās virsmas efekts ir aprēķināts, ņemot vērā visus nelabvēlīgos īslaicīgos gadījumus šajās operācijās.
107. Kuģim, kas pārvadā šķidro kravu, brīvo virsmu radītā korekcija jebkurā šķidro kravu pārvadāšanas stadijā ir aprēķināta atbilstoši uzpildīšanas līmenim katrā kravas tilpnē šajā pārvadāšanas stadijā.
108. Sākotnējā metacentriskā augstuma un noturības plecu līknes (statiskās noturības diagramma) korekcija ir atsevišķi izskatīta šādi:
108.1. aprēķinot sākotnējā metacentriskā augstuma korekciju, šķidrās kravas brīvās virsmas laukuma inerces moments pret centrālo asi, kas paralēla kuģa diametrālajai plaknei, ir noteikts 0o sānsveres leņķim atbilstoši šo noteikumu 104.punktā minētajām kategorijām;
108.2. noturības plecu līkne (statiskās noturības diagramma) ir koriģēta ar jebkuru no šādām metodēm, saskaņojot to ar inspekciju:
108.2.1. korekcija balstās uz reālu šķidruma pārvietošanas momentu katram aprēķinātajam sānsveres leņķim;
108.2.2. korekcija balstās uz inerces momentu, kas noteikts 0o sānsveres leņķim un modificēts katram aprēķinātajam sānsveres leņķim;
108.2.3. korekcija balstās uz Mfs momentu summu katrai kravas tilpnei, ņemot vērā šo noteikumu 111.punkta prasības.
109. Korekciju var aprēķināt atbilstoši šo noteikumu 104.punktā minētajām kategorijām (izņemot šo noteikumu 108.2.3. apakšpunktā minēto korekciju).
110. Kuģa noturības informācijā norāda metodi, kuru izvēlas noturības pleca līknes (statiskās noturības diagrammas) korekcijai. Tomēr, ja kāda alternatīvā metode ir aprakstīta lietošanai manuālajam iekraušanas gadījumu aprēķinam, iegūto rezultātu atšķirību paskaidrojums, kā arī korekcijas piemēri katrai alternatīvajai metodei ir iekļauti kuģa noturības informācijā.
111. Kravas tilpnes Mfs vērtības aprēķinam izmanto formulu:
Mfs = v × b ×ρ × k × √δ, kur
Mfs - brīvās virsmas moments jebkurai sānsverei [t × m];
v - kravas tilpnes kopējais tilpums [m3];
b - kravas tilpnes lielākais platums [m];
ρ - kravas tilpnes satura blīvums [t/m3];
δ = v/(l × b × h) - kravas tilpnes pilnuma koeficients;
h - kravas tilpnes lielākais augstums [m];
l - kravas tilpnes lielākais garums [m];
k - tabulā atkarībā no b/h attiecības noteiktais bezdimensiju koeficients. Koeficienta "k" vērtības brīvās virsmas korekcijas aprēķināšanai izmanto šādu tabulu:
 |
|
θ
b/h
|
5o
|
10o
|
15o
|
20o
|
30o
|
40o
|
45o
|
50o
|
60o
|
70o
|
75o
|
80o
|
85o
|
|
20
|
0,11
|
0,12
|
0,12
|
0,12
|
0,11
|
0,10
|
0,09
|
0,09
|
0,09
|
0,05
|
0,04
|
0,03
|
0,02
|
|
10
|
0,07
|
0,11
|
0,12
|
0,12
|
0,11
|
0,10
|
0,10
|
0,09
|
0,07
|
0,05
|
0,04
|
0,03
|
0,02
|
|
5
|
0,04
|
0,07
|
0,10
|
0,11
|
0,11
|
0,11
|
0,10
|
0,10
|
0,08
|
0,07
|
0,06
|
0,05
|
0,04
|
|
3
|
0,02
|
0,04
|
0,07
|
0,09
|
0,11
|
0,11
|
0,11
|
0,10
|
0,09
|
0,08
|
0,07
|
0,06
|
0,05
|
|
2
|
0,01
|
0,03
|
0,04
|
0,06
|
0,09
|
0,11
|
0,11
|
0,11
|
0,10
|
0,09
|
0,09
|
0,08
|
0,07
|
|
1,5
|
0,01
|
0,02
|
0,03
|
0,05
|
0,07
|
0,10
|
0,11
|
0,11
|
0,11
|
0,11
|
0,10
|
0,10
|
0,09
|
|
1
|
0,01
|
0,01
|
0,02
|
0,03
|
0,05
|
0,07
|
0,09
|
0,10
|
0,12
|
0,13
|
0,13
|
0,13
|
0,13
|
|
0,75
|
0,01
|
0,01
|
0,01
|
0,02
|
0,02
|
0,04
|
0,04
|
0,05
|
0,09
|
0,16
|
0,18
|
021
|
0,16
|
|
0,5
|
0,00
|
0,01
|
0,01
|
0,02
|
0,02
|
0,04
|
0,04
|
0,05
|
0,09
|
0,16
|
0,18
|
0,21
|
0,23
|
|
0,3
|
0,00
|
0,00
|
0,01
|
0,01
|
0,01
|
0,02
|
0,03
|
0,03
|
0,05
|
0,11
|
0,19
|
0,27
|
0,34
|
|
0,2
|
0,00
|
0,00
|
0,00
|
0,01
|
0,01
|
0,01
|
0,02
|
0,02
|
0,04
|
0,07
|
0,13
|
0,27
|
0,45
|
|
0,1
|
0,00
|
0,00
|
0,00
|
0,00
|
0,00
|
0,01
|
0,01
|
0,01
|
0,02
|
0,04
|
0,06
|
0,14
|
0,53
|
Starpvērtības nosaka ar lineārās interpolācijas metodi.
Mazām kravas tilpnēm koeficienta "k" vērtības, kas atbilst 30o sānsveres leņķim, nav iekļautas korekcijā, ja tie atbilst šādiem nosacījumiem:
Mfs/∆min <0,01 [m], kur
∆min - kuģa minimālais ūdensizspaids, kas noteikts attiecīgajai dmin (tonnas);
dmin - kuģa minimālā vidējā darba iegrime bez kravas ar 10 % krājumu un minimālo daudzumu ūdens balasta, ja tas ir nepieciešams (metri).
Šķidrās kravas atlikumi tukšajās kravas tilpnēs parasti netiek ņemti vērā, aprēķinot korekciju, jo visi atlikušie šķidrumi nevar radīt ievērojamu virsmas efektu.
5.4. Noturības atbilstības novērtēšana
112. Vispārīgas kuģa noturības izvērtēšanas mērķiem noturības diagrammas tiek aprēķinātas galvenajiem slodzes gadījumiem, kurus īpašnieks ievēro kuģa ekspluatācijas laikā.
113. Ja kuģa īpašnieks nav sniedzis pietiekami detalizētu informāciju par šiem slodzes gadījumiem, aprēķinu veic standarta slodzes gadījumiem.
5.5. Tipveida slodzes gadījumu pārbaude
5.5.1. Slodzes gadījumi
114. Noteikti šādi tipveida slodzes gadījumi:
114.1. pasažieru kuģiem:
114.1.1. kuģis pilnīgi piekrauts pirms iziešanas reisā ar pilnu krājumu (apgāde, degviela, ūdeņi) daudzumu un pilnu skaitu pasažieru ar bagāžu;
114.1.2. kuģis pilnīgi piekrauts pirms atgriešanās ostā ar pilnu skaitu pasažieru ar bagāžu, bet tikai ar 10 % krājumu atlikumu;
114.1.3. kuģis bez kravas, bet ar pilnu krājumu daudzumu un pilnu skaitu pasažieru ar bagāžu;
114.1.4. šo noteikumu 114.1.3.apakšpunktā minētais kuģis, bet ar 10 % krājumu atlikumu;
114.2. kravas kuģiem:
114.2.1. kuģis pilnīgi piekrauts pirms iziešanas reisā ar kravu, kas vienmērīgi sadalīta pa visām kravas tilpnēm, un ar pilnu krājumu (apgāde, degviela, ūdeņi) daudzumu;
114.2.2. kuģis pilnīgi piekrauts pirms atgriešanās ostā ar kravu, kas vienmērīgi sadalīta pa visām kravas tilpnēm, un ar 10 % krājumu atlikumu;
114.2.3. kuģis balastā pirms iziešanas jūrā bez kravas, bet ar pilnu krājumu daudzumu;
114.2.4. kuģis balastā pirms atgriešanās ostā bez kravas un ar 10 % krājumu atlikumu;
114.3. kravas kuģiem, kuriem paredzēta klāja kravas pārvadāšana:
114.3.1. kuģis pilnīgi piekrauts pirms iziešanas reisā ar kravu, kas vienmērīgi sadalīta pa visām kravas tilpnēm, un ar zināmu klāja kravas masu un izvietojumu, pilnu krājumu (apgāde, degviela, ūdeņi) daudzumu;
114.3.2. kuģis pilnīgi piekrauts pirms atgriešanās ostā ar kravu, kas vienmērīgi sadalīta pa visām kravas tilpnēm, un ar zināmu klāja kravas masu un izvietojumu, un 10 % krājumu (apgāde, degviela, ūdeņi) daudzumu.
5.5.2. Pieņēmumi slodzes gadījumu aprēķinam
115. Sauskravas kuģiem, kuriem ir šķidrās kravas tilpnes un šo noteikumu 114.2.1., 114.2.2., 114.3.1. un 114.3.2.apakšpunktā minētā slodze ar pilnu kravu, efektīvais dedveits šajos slodzes variantos rēķināms atbilstoši diviem pieņēmumiem:
115.1. kravas tilpnes ir pilnas;
115.2. kravas tilpnes ir tukšas.
116. Saskaņā ar šo noteikumu 114.1.1., 114.2.1. un 114.3.1.apakšpunktu pieņem, ka kuģa slodze atbilst tā dalīšanas nodalījumos ūdenslīnijai vai vasaras ūdenslīnijai, vai, ja kuģis uz klāja pārvadā kokmateriālu kravu, - vasaras kokmateriālu ūdenslīnijai ar nosacījumu, ka ūdens balasta tilpnes ir tukšas.
117. Ja kādā no slodzes variantiem ir nepieciešams ūdens balasts, attiecīgas noturības diagrammas aprēķina, ņemot vērā tā daudzumu un izvietojumu.
118. Visos gadījumos krava kravas tilpnēs ir pilnīgi homogēna, ja šāds pieņēmums nav pretrunā ar kuģa ekspluatācijas praksi.
119. Visos gadījumos, kad tiek pārvadāta klāja krava, reāla kravas masa ir aprēķināta, ieskaitot kravas augstumu.
120. Katra pasažiera masa ir 75 kg, izņemot gadījumus, kad tā pamatoti var tikt samazināta līdz 60 kg (ne mazāk). Bagāžas masu un izvietojumu nosaka, saskaņojot ar inspekciju. Pieņemts šāds pasažiera masas centra augstums un tā izvietojuma aprēķināšanas kritēriji:
120.1. 1,0 metrs virs klāja līmeņa - stāvošam pasažierim (ja nepieciešams, ievēro klāja izliekumu un ieliekumu);
120.2. 0,3 metri virs sēdvietas - sēdošam pasažierim;
120.3. izvērtējot atbilstību šo noteikumu 95.punktā minētajiem kritērijiem, pasažierus un bagāžu uzskata par izvietotiem tiem paredzētajās telpās;
120.4. aprēķinot sānsveres leņķi pasažieru kuģiem un sasveres momentu, ko izraisa pasažieru sapulcēšanās pie kuģa viena sāna, uzskata, ka pasažieri bez bagāžas ir izvietoti tā, lai tie radītu visnelabvēlīgāko sasveres momentu vai sākotnējo metacentrisko augstumu, vai visnelabvēlīgāko sasveres momentu un sākotnējo metacentrisko augstumu, kādu var sasniegt. Aprēķinot sasveres momentu, nav nepieciešams pieņemt, ka uz viena kvadrātmetra atrodas vairāk par četrām personām.
5.5.3. Noturības diagrammas aplēse
121. Hidrostatiskās līknes un statiskās noturības diagrammas parasti aprēķina kuģim ar projekta galsveri. Ja ekspluatācijas laikā galsvere vai kuģa forma un izvietojums ir tāds, ka galsveres izmaiņa būtiski ietekmē noturības plecu, šādas galsveres izmaiņas ņem vērā aplēsē.
122. Aplēsē ņem vērā tilpumu līdz klāja apšuvuma augšējai virsmai.
123. Nosakot koka kuģa izmērus, mērījumus izdara līdz korpusa apšuvuma ārējai virsmai.
5.5.4. Virsbūves, klāja mājas un citi objekti, kas jāņem vērā aprēķinos
124. Aprēķinos var ņemt vērā slēgtas virsbūves, kas atbilst LL 66 konvencijas 3(10)(b) noteikumam.
125. Aprēķinos var ņemt vērā līdzīgu slēgto virsbūvju otro stāvu.
126. Aprēķinos var ņemt vērā klāja mājas uz brīvsānu klāja, ja tās atbilst LL 66 konvencijas 3(10)(b) noteikumu prasībām par slēgtajām virsbūvēm.
127. Ja klāja māja atbilst visiem šajā apakšnodaļā minētajiem nosacījumiem (izņemot paredzēto papildu izeju uz augstāk esošo klāju), to neņem vērā aprēķinos, tomēr jebkurš atvērums šādas klāja mājas iekšpusē uzskatāms par aizvērtu, pat ja aizvēršanas līdzekļi nav paredzēti.
128. Aprēķinos nav jāņem vērā klāja mājas, kuru durvis neatbilst LL 66 konvencijas 12.noteikuma prasībām, tomēr jebkuru atveri šādas klāja mājas klājā uzskata par aizvērtu, ja aizvēršanas līdzekļi atbilst LL 66 konvencijas 15., 17. vai 18.punkta prasībām.
129. Aprēķinos nav jāņem vērā klāja mājas virs brīvsānu klāja, bet atveres to iekšpusē var uzskatīt par slēgtām.
130. Virsbūves un klāja mājas, kuras netiek uzskatītas par slēgtām, var tikt ņemtas vērā noturības aprēķinos, sasniedzot sānsveres leņķus, kad tiek appludinātas to atveres (sasniedzot šādu leņķi, statiskās noturības diagrammai ir viens vai vairāki pakāpieni, un turpmākajos aprēķinos appludinātie tilpumi uzskatāmi par neeksistējošiem).
131. Gadījumos, kad kuģis var nogrimt, ūdenim ieplūstot pa kādu no atverēm, statiskās noturības diagramma jāpārtrauc, sasniedzot atbilstošu piesmelšanās leņķi, un jāuzskata, ka kuģis ir pilnīgi zaudējis noturību.
132. Mazas atveres (piemēram, kabeļiem, ķēdēm, takelāžai domātās atveres, kā arī drenāžas, izkraušanas un sanitāro cauruļvadu atveres) neuzskata par atvērtām, ja to appludināšana notiek, sānsveres leņķim pārsniedzot 30o. Ja to appludināšana notiek, kad sānsveres leņķis ir 30o vai mazāks, šādas atveres uzskata par atvērtām, ja inspekcija uzskata tās par cēloni ievērojamai appludināšanai.
133. Aprēķinos var ņemt vērā šahtas. Kravas lūku atveres var ņemt vērā aprēķinos atkarībā no to aizveru efektivitātes.
5.5.5. Speciālie noteikumi atsevišķiem kuģu tipiem
5.5.5.1. Pasažieru kuģi
134. Sānsveres leņķis, ko saskaņā ar šo noteikumu 120.punktu izraisa pasažieru sapulcēšanās pie kuģa viena sāna, nedrīkst pārsniegt 10o. Sānsveres leņķis kuģim cirkulācijā nedrīkst pārsniegt 10o, kad sānsveres momenta noteikšanai izmanto formulu:
MR -sānsveres moments [kN×m];
V0 -kuģa ātrums [m/s];
L - kuģa garums ūdenslīnijas līmenī [m];
∆ - kuģa ūdensizspaids [t];
d - kuģa vidējā iegrime [m];
KG - smaguma centra augstums virs pamatplaknes [m].
5.5.5.2. Velkoņi
135. Velkoņu noturību pārbauda šādos slogošanas gadījumos:
135.1. kuģis ar pilnu krājumu daudzumu;
135.2. kuģis ar 10 % krājumu.
136. Papildus šo noteikumu 95., 96. un 97.punktā minētajām noturības prasībām velkoņi ir pietiekami dinamiski noturīgi, lai izturētu nosacītu vilkšanas tauvas rāvienu perpendikulāri diametrālajai plaknei, proti, dinamiskais sānsveres leņķis, ko rada θd1 nosacīts vilkšanas tauvas rāviens, nepārsniedz šo noteikumu 5.5.5.3. un 5.5.5.4.apakšnodaļā minētos lielumus.
5.5.5.3. Darbam ostās un reidā paredzētie velkoņi
137. Dinamiskais sānsveres leņķis nedrīkst pārsniegt piesmelšanās vai apgāšanās leņķi (mazāko no abiem), ko nosaka šāds nosacījums:
ldapg. - dinamiskās noturības plecs, kuru nosaka kā velkoņa dinamiskās noturības diagrammas ordinātu, ja sānsveres leņķis ir vienāds ar piesmelšanās leņķi vai apgāšanās leņķi θapg., kas noteikts, neņemot vērā kuģa zvalstīšanos (izvēlas mazāko) [m];
lds - dinamiskā sānsveres momenta plecs, kas nosaka tauvas rāvienu [m].
138. Dinamiskā sānsveres momenta plecu lds nosaka, izmantojot šādu formulu:
kur
lv - ātruma hidrauliskais spiediena
augstums [m];
lv nosaka atbilstoši galvenā
dzinēja jaudai Ne, izmantojot šādu tabulu:
|
Ne [kW]
|
lv [m]
|
Ne [kW]
|
lv [m]
|
|
0-150
|
0,0862
|
900
|
0,147
|
|
300
|
0,0903
|
1050
|
0,18
|
|
450
|
0,096
|
1200
|
0,22
|
|
600
|
0,104
|
1350
|
0,268
|
|
750
|
0,122
|
1500 un vairāk
|
0,319
|

Šajās formulās:
zG - velkoņa masas centra ordināta
(attālums līdz pamatplaknei) [m];
xH - horizontālais attālums
diametrālajā plaknē no vilkšanas āķa piestiprināšanas
punkta līdz kuģa masas centram [m];
zH - vilkšanas āķa
piestiprināšanas punkta augstums virs pamatplaknes [m].
139. Pārbaudot velkoņa noturību ar vilkšanas tauvas rāvienu, piesmelšanās leņķi nosaka, pieņemot, ka visas atveres un durvis, kas ved uz mašīntelpu un katlutelpu, uz virsbūvēm uz augšēja klāja, kā arī visu noeju telpās zem augšējā klāja (neatkarīgi no to konstrukcijas) ir atvērtas.
140. Pārbaudot velkoni ar vilkšanas tauvas rāvienu, netiek ņemts vērā apledojums un šķidro kravu brīvā virsma.
141. Ja velkonim ir speciālas ierīces, kuras, vilkšanas tauvai nostājoties perpendikulāri diametrālajai plaknei, nodrošina vilkšanas āķa pārvietošanos uz leju vai uz pakaļgalu, āķa piestiprināšanas vietu koordinātu xH un zH noteikšana jebkurā gadījumā jāsaskaņo ar inspekciju.
5.5.5.4. Darbam jūrā paredzētie velkoņi
142. Velkoņa sānsveres leņķis no vilkšanas tauvas rāviena, ņemot vērā tā zvalstīšanos, nedrīkst būt lielāks par statiskās noturības diagrammas maksimuma leņķi vai piesmelšanās leņķi (atkarībā no tā, kurš ir mazāks) (šo noteikumu 139.punkta prasības neattiecas uz darbam jūrā paredzētajiem velkoņiem). Šādu prasību izpildi nodrošina nosacījums:
ldmax - statiskās noturības diagrammas maksimuma leņķim vai piesmelšanās leņķim (atkarībā no tā, kurš ir mazāks) atbilstoša dinamiskās noturības diagrammas ordināta [m];
lds - atbilstoši šo noteikumu 138.punktam aprēķināmais dinamiskā sānsveres momenta plecs [m], kur pieņemts, ka lv līdzinās 0,20 [m];
∆K - K2 komponente, kura ievēro zvalstīšanās ietekmi uz rezultējošu sānsveres leņķi, to nosaka, izmantojot šādu formulu:
θl - zvalstību leņķis tiek noteikts atbilstoši šo noteikumu 101.5.apakšpunktam;
c, b, a, e - aprēķina atbilstoši šo noteikumu 138.punktam;
GM0 - nekoriģētais metacentriskais augstums.
143. Pārbaudot velkoņu noturību:
143.1. ir spēkā šo noteikumu 141.punktā minētā prasība;
143.2. ja kuģa noturības diagrammai ir divi maksimumi vai garš horizontālais posms, par šo noteikumu 142.punktā minēto maksimuma leņķi ņem pirmā maksimuma leņķi vai horizontālā posma vidum atbilstošo leņķi;
143.3. velkoņa noturības pārbaudi ar vilkšanas tauvas rāvienu veic, neņemot vērā šķidro kravu brīvo virsmu efektu.
5.5.5.5. Pontonu noturības aprēķini un kritēriji
144. Par pontoniem uzskata peldlīdzekļus, kas atbilst šādiem kritērijiem:
144.1. nav pašgājēji;
144.2. ir bez apkalpes;
144.3. pārvadā tikai klāja kravu;
144.4. ūdensizspaida pilnuma koeficients ir 0,9 vai lielāks;
144.5. pontona platuma attiecība pret sānu augstumu ir lielāka par 3,0;
144.6. nav lūku klājā, izņemot mazas atveres, kas aizvērtas ar vākiem (vākiem ir blīves).
145. Attiecībā uz pontoniem īpašnieks iesniedz inspekcijā apstiprināšanai šādus dokumentus:
145.1. teorētisko rasējumu;
145.2. hidrostatiskās līknes vai to tabulas;
145.3. formas noturības plecu interpolācijas līknes (pantokarenas);
145.4. ziņojumu par iegrimes noteikšanu un tukša pontona ūdensizspaida un smaguma centra gareniskās (xG) koordinātas aprēķinu;
145.5. smaguma centra vertikālās koordinātas (zG) pieņemšanas pamatojumu;
145.6. vienkāršotu noturības instrukciju, piemēram, slodzes diagrammu, lai pontonu varētu piekraut saskaņā ar noturības kritērijiem.
146. Veicot aprēķinus:
146.1. klāja kravas peldspēja netiek ņemta vērā (izņemot pienācīgi nostiprinātās koka kravas peldspēju);
146.2. ievēro tādus faktorus kā ūdens absorbcija (piemēram, koka kravai), kravā iesprostotais ūdens (piemēram, caurulēs) un apledojums;
146.3. veicot vēja radītā sānsveres leņķa aprēķinu, pieņem, ka:
146.3.1. vēja spiediens ir konstants un iedarbojas uz cietu masu, kura sniedzas garumā un augstumā virs kravas klāja;
146.3.2. klāja kravas smaguma centrs ir noteikts kravas augstuma viduspunktā;
146.3.3. vēja momenta plecu mēra no klāja kravas centra līdz punktam uz puses no vidējās iegrimes;
146.3.4. aprēķiniem jāaptver viss darba iegrimju diapazons;
146.3.5. piesmelšanās leņķis ir leņķis, kuru sasniedzot ūdenī ieiet atveres, caur kurām var notikt progresējoša iekštelpu appludināšana. Par atverēm neuzskata atveres, kuras aizvērtas ar ūdensdrošām aizverēm, vai gaisa caurules, kuras aprīkotas ar automātiskiem vārstiem.
147. Laukums zem noturības pleca līknes (GZ līkne) nav mazāks par 0,08 [m × rad] sānsveres diapazonā no 0° līdz noturības pleca maksimuma leņķim.
148. Statiskais sānsveres leņķis, ko rada vienmērīgi izkliedēta vēja spiediens, kas vienāds ar 540 [Pa] (vēja ātrums 30 [m/s]), nedrīkst pārsniegt sānsveres leņķi, kas atbilst pusei no brīvsānu augstuma attiecīgajos slodzes gadījumos. Vēja sānsveres momenta plecs ir mērīts no silueta laukuma centra līdz pusei no iegrimes.
149. Minimālais noturības diapazons ir šāds:
149.1. 20o - kuģim ar garumu L ≤ 100[m];
149.2. 15o - kuģim ar garumu L ≥ 150[m].
150. Starpgarumiem noturības diapazonu nosaka ar lineāro interpolāciju.
5.5.6. Kuģa apledojums
151. Analizējot slodzes gadījumus kuģiem, kas kuģo zonās, kurās ir iespējams apledojums un šis apledojums negatīvi ietekmē kuģu noturību, ņem vērā šādu slodzes palielinājumu:
151.1. atklātajiem klājiem un ejām - 15 kilogramu uz katru kvadrātmetru;
151.2. kuģa virsūdens daļas abu sānu projekcijas laukumam uz vertikālās plaknes - 7,5 kilogrami uz katru kvadrātmetru;
151.3. klāja mehānismi, iekārtas un lūku vāki ir iekļauti klāja projekcijas laukumā un speciāli nav jāņem vērā. Kuģiem, kuriem klāja karkass atklātajās vietās izvietots augšpusē, papildus ņem vērā ledus masu, kuras biezums vienāds ar karkasa augstumu;
151.4. margu, apmastojuma (izņemot mastus), takelējuma (kuģiem, kuriem nav buru) un citu mazu objektu nelielu pārtrauktu virsmu projekcijas uz vertikālo plakni tiek ievērotas, palielinot kopējo nepārtraukto virsmu laukumu par 5 % un šo laukumu statisko momentu par 10 %.
152. Kuģi, kas paredzēti operācijām zonās, kur iespējams apledojums, ir:
152.1. projektēti, minimizējot apledojuma daudzumu;
152.2. aprīkoti ar ledus likvidēšanas iekārtām.
5.5.7. Sānsveres tests
153. Katram kuģim pēc būves pabeigšanas veic sānsveres testu un nosaka faktisko ūdensizspaidu un smagumcentra koordinātas (kuģim bez dedveita - "tukšam" kuģim).
154. Kuģim, kuram ir veikta pārbūve, mainot tā "tukša" kuģa masu un smagumcentra pozīcijas, veic sānsveres testu un noturības informācijas revīziju, ja inspekcija uzskata par nepieciešamu.
155. Ja "tukša" kuģa ūdensizspaida izmaiņas pēc pārbūves pārsniedz 2 % vai masas centra horizontālās koordinātas XG izmaiņas ir lielākas par 1 % no L, vai masas centra aplikāta ZG mainījusies vairāk par četriem centimetriem, veic sānsveres testu un noturības informācijas korekciju. Ja izmaiņas ir mazākas par šajā punktā minētajām, inspekcija var atļaut sānsveres testu neveikt.
156. Inspekcija var atļaut kuģi atbrīvot no sānsveres testa, paredzot noturības pamatdatus iegūt no tā paša projekta cita kuģa sānsveres testa, un inspekcija pārliecinās, ka ticama noturības informācija attiecīgajam kuģim iegūta, izmantojot šos sākotnējos datus.
157. Sānsveres testu un šo noteikumu 153.punktā minēto parametru noteikšanu pasažieru kuģiem veic ne retāk kā reizi piecos gados.
5.5.8. Noturības informācija
158. Kuģa kapteini apgādā ar derīgu noturības informāciju, kas dod iespēju viegli un ticami novērtēt kuģa noturību dažādos slogošanas variantos. Šādā informācijā iekļauj speciālas instrukcijas kapteinim, brīdinot par tādiem slogošanas variantiem, kas nelabvēlīgi ietekmē vai nu kuģa noturību, vai galsveri. Noturības informāciju iesniedz inspekcijā apstiprināšanai.
159. Noturības informācijā ietver:
159.1. kuģa aprakstu;
159.2. noturības informācijas lietošanas instrukciju;
159.3. kuģa vispārējā izvietojuma rasējumus ar ūdens necaurlaidīgo starpsienu izvietojumu, aizverēm, atverēm, piesmelšanās leņķiem, pastāvīgo balastu, pieļaujamo slodzi uz klāju;
159.4. hidrostatiskās līknes vai to tabulas, formas plecu interpolācijas līknes (pantokarenas), kas aprēķinātas ekspluatācijas iegrimēm un galsverēm;
159.5. kravas plānus vai tabulas, kurās norāda kravas tilpņu tilpumu un to centru koordinātas;
159.6. kravas tilpņu mērīšanas tabulas, kurās norāda to tilpumu, tilpumu centru un brīvo virsmu datus katrai kravas tilpnei;
159.7. informāciju par iekraušanas ierobežojumiem (piemēram, maksimālo KG (ZG) vai minimālo GM vērtību līknēm vai tabulām), kas atbilst piemērojamiem noturības kritērijiem;
159.8. tipveida slogošanas variantus un noturības kritēriju aplēses piemērus nestandarta gadījumos, izmantojot noturības informācijas datus;
159.9. īsu aprakstu par noturības aprēķinu veikšanu, kas iekļauts kopsavilkumā;
159.10. vispārīgus norādījumus telpu appludināšanas novēršanai;
159.11. instrukciju par speciālā kompensējošā appludināšanas aprīkojuma lietošanu ar tādu avārijas gadījumu aprakstu, kad nepieciešama iztaisnojoša appludināšana;
159.12. informāciju, kurā ietvertas rekomendācijas par kuģa drošu ekspluatāciju (arī avārijas gadījumos);
159.13. sānsveres testa protokolu vai "tukša" kuģa parametru noteikšanas pamatojumu, ja lietota cita metode.
160. Kuģiem, kuru garums ir mazāks par 24 metriem, noturības informācijā ir norāde uz to, ka, kuģim kuģojot līdzskrejošās viļņošanās apstākļos, kad viļņu garums ir vienāds ar kuģa garumu vai lielāks par to, kuģa ātrums vS mezglos nedrīkst būt lielāks par to, kas noteikts, izmantojot šādu formulu:

L - kuģa garums metros.
161. Apstiprināta noturības informācija ir uz kuģa, tā ir viegli novērtējama jebkurā laikā, pārbaudāma kuģa periodiskajās pārbaudēs un atbilst reāliem slogošanas variantiem.
162. Ja veiktā kuģa pārbūve ietekmē tā noturību, koriģētos noturības aprēķinus iesniedz apstiprināšanai inspekcijā. Ja inspekcija nolemj, ka noturības informācija jākoriģē, kapteinim izsniedz jaunu noturības informāciju.
163. Noturības datorizētai aprēķināšanai lieto datorprogrammas, ko atzinusi inspekcija vai sabiedrības, kas pilnvarotas atbilstoši normatīvajos aktos par klasifikācijas sabiedrību (atzīto organizāciju) uzraudzības kārtību noteiktajām prasībām.
164. Ja noturības nodrošināšanai lieto pastāvīgo cieto balastu, tā izvietojuma rasējums ir saskaņots ar inspekciju, un ekspluatācijas laikā bez saskaņošanas ar inspekciju nedrīkst mainīt tā daudzumu vai izvietojumu. Informācija par pastāvīgo balastu ir iekļauta noturības informācijā.
5.5.9. Noturība un jūrasspēja kuģiem, kuru garums ir mazāks par 15 metriem
165. Kuģi, kuru garums ir mazāks par 15 metriem, atbilst šo noteikumu 95.punkta prasībām ar šādiem nosacījumiem:
165.1. noturība atbilstoši laikapstākļu
kritērijam netiek pārbaudīta. Kuģa ekspluatācija tiek atļauta
ar ierobežojumiem, ko nosaka kuģošanas rajons un viļņu
augstums. Noturības informācijā kuģiem ir noteikti un
norādīti kuģošanas rajona un kuģošanas apstākļu
ierobežojumi;
165.2. kuģošanas rajons nav lielāks par to,
kas noteikts piekrastes kuģošanai, attālinoties no patvēruma
vietas ne vairāk par 20 jūras jūdzēm;
165.3. iziet un atrasties jūrā ir atļauts, ja
viļņu augstums nav lielāks par h3% = 2,0 m un vēja
ātrums nepārsniedz 11 m/s;
165.4. piesmelšanās leņķis, kas ierobežo
noturības diagrammu, nedrīkst būt mazāks par
40o;
165.5. labotais metacentriskais augstums visos
slogojuma gadījumos (izņēmums - "tukšs" kuģis) nedrīkst būt
mazāks par 0,5 metriem;
165.6. kuģošana nav atļauta, ja iespējams
apledojums;
165.7. jauniem kuģiem noturības informācijā
ir iekļauti norādījumi par kuģa ātrumu un stūres
pārlikšanas leņķi cirkulācijā. Pieļaujamās vērtības ir
noteiktas eksperimentāli kuģa gaitas izmēģinājumu laikā.
Kuģa sānsveres leņķis, ja iestājusies cirkulācija, nedrīkst
būt lielāks par leņķi, kuru sasniedzot klājs ieiet ūdenī,
vai 12o (atkarībā no tā, kurš ir mazāks);
165.8. noturības informācijā ir norāde uz
to, ka kuģim, kuģojot līdzskrejošās viļņošanās
apstākļos, ja viļņu garums ir vienāds ar kuģa garumu vai
lielāks par to, kuģa ātrums vS mezglos nedrīkst būt
lielāks par ātrumu, kas noteikts, izmantojot šādu formulu:

L - kuģa garums metros.
6. Brīvsānu augstums
6.1. Piemērošana
166. Kuģiem, kuru garums ir mazāks par 24 metriem un kas kuģo šo noteikumu 3.20.punktā minētajos kuģošanas rajonos, brīvsānu augstumu nosaka atbilstoši šiem noteikumiem. Katra iespējamā atkāpe no šiem nosacījumiem jāsaskaņo ar inspekciju.
167. Kuģiem, kuru garums ir lielāks par 24 metriem, brīvsānu augstumu nosaka saskaņā ar LL 66 konvencijā noteikto metodiku.
6.2. Kravas markas iezīmēšana
168. Šīs apakšnodaļas izpratnē:
168.1. klāja līnija - 200 mm gara un 20 mm plata horizontāla līnija;
168.2. kravas markas zīme - aplis, kura diametrs ir 200 mm (līnijas platums - 20 mm). Apli šķērso 300 mm gara un 20 mm plata horizontāla līnija tādā veidā, ka šīs līnijas augšējā mala iet caur apļa centru.
169. Klāja līniju iezīmē uz kuģa borta atbilstoši LL 66 konvencijai.
170. Kravas markas apļa centrs izvietots kuģa garuma vidū attālumā, kas vienlīdzīgs noteiktajam brīvsānu augstumam, ko mēra pa vertikāli uz leju no klāja līnijas augšējās malas atbilstoši zīmējumam (5.pielikums).
171. Kuģiem nav speciālas markas, kas nosaka kravas ūdenslīnijas stāvokli, kuģojot dažādos rajonos un sezonas periodos (arī saldūdenī), un tos drīkst noslogot līdz kravas markas zīmes horizontālās līnijas augšējai malai.
6.3. Brīvsānu augstuma noteikšanas nosacījumi
172. Baltijas jūrā kuģojošajiem kuģiem slēgto virsbūvju gala sienu durvju sliekšņu augstumu nedrīkst noteikt mazāku par 230 mm un kravas lūku apmaļu augstumu - mazāku par 380 mm, kuģiem, ko izmanto piekrastes kuģošanai, lūku apmaļu augstums nedrīkst būt mazāks par 300 mm. Baltijas jūrā un piekrastē kuģojošo kuģu durvīm, kas ved uz mašīntelpu, sliekšņa augstumu nedrīkst noteikt mazāku par 300 mm, bet ventilatoru apmaļu augstumu var samazināt līdz 300 mm.
173. Baltijas jūrā un piekrastē kuģojošajiem kuģiem borta iluminatorus izvieto tā, lai to apakšējā mala neatrastos zemāk par līniju, kas iet paralēli brīvsānu klājam pie borta un kurai pats zemākais punkts ir 300 mm attālumā no ūdenslīnijas, kas iet caur kravas markas centru, - Baltijas jūrā kuģojošajiem kuģiem, un 150 mm - piekrastē kuģojošiem kuģiem.
6.4. Minimālā brīvsānu augstuma noteikšana
174. Kuģa bāzes brīvsānu augstumu nosaka ne mazāku, kā norādīts tabulā:
|
Kuģa garums (metros)
|
10 un mazāk
|
15
|
20
|
24
|
|
Brīvsānu augstums (mm)
|
306
|
340
|
375
|
400
|
Piezīme. Brīvsānu augstumu kuģiem ar
starpgarumiem nosaka ar lineāro interpolāciju.
175. Noteiktais virsbūves tipveida augstums ir viens metrs.
176. Tipveida augstuma slēgtās virsbūves garums ir vienāds ar tās faktisko garumu.
177. Ja slēgtas virsbūves augstums mazāks par tipveida augstumu, tās aprēķina garums ir vienāds ar garumu, kas samazināts proporcionāli faktiskā augstuma attiecībai pret tipveida augstumu. Ja virsbūves augstums ir lielāks par tipveida augstumu, tās garums netiek palielināts.
178. Ja virsbūvi veido baks, tad tādas virsbūves aprēķināto garumu var palielināt 1,5 reizes.
179. Kuģiem, kas atbilst šo noteikumu prasībām, bāzes brīvsānu augstumu nosaka saskaņā ar šo noteikumu 174.punktu un koriģē šādi:
179.1. ja aprēķinātais borta augstums D
pārsniedz L/15, brīvsānu augstumu palielina par lielumu (mm), ko
aprēķina, izmantojot šādu formulu:
L
Ja D mazāks par ——-, korekciju neveic;
15
179.2. ja kuģim ir slēgtās virsbūves, tā
brīvsānu augstums, kas noteikts atbilstoši šo noteikumu
179.1.apakšpunktam, var tikt samazināts šādi:
179.2.1. par 5 %, ja summārais virsbūvju
aprēķina garums ir 0,2 × L,
179.2.2. par 2 %, ja summārais virsbūvju
aprēķina garums ir 0,5 × L un vairāk.
Korekciju starplielumus nosaka ar lineāro
interpolāciju;
179.3. kuģim palielina brīvsānu augstumu, ja vismaz vienai no klāja atverēm, kura ved uz telpām, kas, veicot nenogremdējamības pārbaudi, tiek uzskatītas par patstāvīgiem nodalījumiem, apmaļu (sliekšņu) augstums ir mazāks, nekā prasīts šajos noteikumos. Brīvsānu palielinājums ir:
Δf = ht - hf, kur
ht - hf - lielākā noteikumos pieprasītā un faktiskā apmaļu starpība;
179.4. minimālais brīvsānu augstums kuģa priekšgalā:
179.4.1. priekšgala augstumam, ko nosaka kā attālumu pa vertikāli pa priekšgala perpendikulu starp ūdenslīniju, kas atbilst noteiktajam vasaras brīvsānu augstumam un lielākajai aprēķina galsverei uz kuģa priekšgalu, un atklāta klāja augšējo malu pie borta, jābūt ne mazākam par lielumiem (mm), ko aprēķina, izmantojot šādu formulu:
179.4.2. ja šo noteikumu 179.4.1.apakšpunktā minētais priekšgala augstums tiek sasniegts ar klāja izliekumu, tad klāja izliekumam jāizvietojas ne mazāk kā 0,15 L no priekšgala perpendikula. Šādā gadījumā faktiskā klāja izliekuma katram punktam jābūt ne zemākam par kvadrātiskās parabolas līniju ar pieskari 0,15 L no priekšgala perpendikula horizontālai līnijai, kas tiek vilkta caur klāja izliekuma līniju kuģa garuma vidū un iet caur punktu uz priekšgala perpendikula, kas atbilst minimālajam augstumam priekšgalā;
179.4.3. ja šo noteikumu 179.4.1.apakšpunktā minētais priekšgala augstums tiek nodrošināts uz virsbūves rēķina, tad virsbūvei ir jāatrodas no priekšvadņa līdz punktam, kas izvietots vismaz 0,07 L attālumā aizmugures virzienā no priekšējā perpendikula, un tai jābūt slēgtai;
179.4.4. neatkarīgi no šo noteikumu 179.4.1.apakšpunkta nosacījumiem minimālajam aizsargātajam brīvsānu augstumam priekšgalā (ko mēra analoģiski augstumam priekšgalā saskaņā ar šo noteikumu 179.4.1.apakšpunktu, bet līdz margsienas apmales augšējai malai vai margsienu priekšgala paaugstinājumam) jābūt ne mazākam par 0,1 L;
179.4.5. ja aizsargātu brīvsānu augstums priekšgalā panākts ar margsienu vai tās priekšgala paaugstinājumu, tad pēdējo garumam jābūt no priekšvadņa līdz punktam, kas izvietots vismaz 0,1 L attālumā uz aizmuguri no priekšgala perpendikula;
179.5. minimālais brīvsānu augstums kuģa pakaļgalā:
179.5.1. minimālo brīvsānu augstumu kuģa pakaļgalā nosaka analoģiski šo noteikumu 179.4.1.apakšpunktam, bet uz aizmugures perpendikula, ja ir lielākā aprēķina galsvere uz pakaļgalu, tam jābūt ne mazākam par pusi no brīvsānu augstuma priekšgalā, kas norādīts šo noteikumu 179.4.1. apakšpunktā;
179.5.2. ja brīvsānu augstums pakaļgalā saskaņā ar šo noteikumu 179.5.1.apakšpunktu tiek panākts uz klāja izliekuma vai virsbūves rēķina, tad izliekuma vai virsbūves garumam jābūt ne mazākam par pusi no tā, kas nepieciešams atbilstoši šo noteikumu 179.4.2. un 179.4.3.apakšpunktam;
179.6. kuģiem, kuru kuģošanas rajons ir ierobežots (atļauts kuģot ostās un reidos), ir pieļauta brīvsānu augstuma samazināšana kuģa priekšgalā un kuģa pakaļgalā, turklāt atlikušajam priekšgala brīvsānu augstumam jābūt ne mazākam par 0,5 metriem, bet pakaļgala brīvsānu augstumam - ne mazākam par minimālo augstumu kuģa vidusdaļā;
179.7. kuģiem, kam klāja izliekums vai virsbūve ir tādi, ka tiek pārsniegtas šo noteikumu 179.4. un 179.5.apakšpunkta prasības, inspekcija pieļauj noteikumos noteikto brīvsānu augstuma samazināšanu ar nosacījumu, ka ir atbilstošs klāja un virsbūvju atveru izvietojums un tās aprīkotas ar drošām aizverēm.
7. Mehānismi un elektroiekārtas
7.1. Vispārīgie nosacījumi
180. Ja nav noteikts citādi, šī nodaļa attiecas uz jauniem kuģiem.
181. Esošie kuģi atbilst to būves noteikumiem. Pārbūvējot vai rekonstruējot esošu kuģi, papildus piemēro šo noteikumu prasības.
182. Dzinēju, to sistēmu, reduktoru, stūres, atsūknēšanas iekārtu un katliekārtu, un sistēmu nomaiņu vai rekonstrukciju veic inspekcijas vai atzītas organizācijas uzraudzībā.
183. Ja dzinēju un ar to saistīto sistēmu un mehānismu, reduktoru, stūres, atsūknēšanas un katliekārtu uzstādīšana vai rekonstrukcija ir notikusi bez saskaņošanas ar inspekciju vai atzīto organizāciju, inspekcija vai atzītā organizācija pieprasa tos demontēt un aizliedz ekspluatēt kuģi līdz visu konstatēto trūkumu pilnīgai novēršanai.
184. Galvenās enerģētiskās iekārtas, elektriskās iekārtas, kontroles iekārtas, tvaika vadus, deidvuda iekārtas, degvielas, saspiestā gaisa, elektroapgādes un saldēšanas sistēmas, palīgmehānismus, katlus un citus spiedtraukus, sūkņus un cauruļvadus, stūres iekārtas, jaudas pārvadu vārpstas un sajūgus projektē, izgatavo, pārbauda, uzstādīta un apkalpo atbilstoši SOLAS konvencijas II-1.nodaļas A-1.daļas 3-1.noteikumam. Šos mehānismus un aprīkojumu, kā arī celšanas ierīces, vinčas un citu aprīkojumu apgādā ar drošības ierīcēm, lai līdz minimumam samazinātu jebkādus draudus cilvēkiem, kuri atrodas uz kuģa.
185. Papildus šo noteikumu 184.punkta prasībām elektriskās iekārtas projektē un izgatavo tā, lai tās nodrošinātu:
185.1. tādu sistēmu darbību, kas nepieciešamas, lai kuģi uzturētu normālā ekspluatācijas stāvoklī un nodrošinātu normālus sadzīves apstākļus kuģī, neizmantojot avārijas enerģijas avotus;
185.2. kuģa drošībai svarīgu sistēmu darbību gadījumos, ja pārstājis strādāt galvenais elektroenerģijas avots;
185.3. kuģa un tā apkalpes aizsardzību pret elektriskās strāvas iedarbību.
186. Mašīntelpas projektē tā, lai nodrošinātu drošu un brīvu pieeju visiem mehānismiem un to vadības pultīm, kā arī tām vietām, kur jāveic regulāri apkopes darbi. Mašīntelpas aprīko ar ventilācijas sistēmu, kas nodrošina nepieciešamo gaisa daudzumu visu mehānismu darbināšanai un mašīntelpas vispārējā mikroklimata uzturēšanai. Mašīntelpas aprīko ar vismaz vienu avārijas izeju. Mašīntelpas neizmanto kā noliktavas degošu materiālu glabāšanai.
187. Uz kuģiem izmanto dīzeļdzinējus. Dzirksteļaizdedzes dzinējus var izmantot uz darba laivām, saskaņojot to ar inspekciju vai atzītu organizāciju. Uz kuģiem, kuri nav paredzēti pasažieru pārvadāšanai un kuru lielākā garuma un platuma (metros) reizinājums ir mazāks par 20, var izmantot piekarināmos dzirksteļaizdedzes dzinējus.
188. Dzinējus un reduktorus ar sistēmām piemēro izmantošanai uz kuģiem, ņemot vērā īpašos ekspluatācijas apstākļus. Uz kuģa atrodas atzītas organizācijas izsniegti dzinēja un reduktora modeļa tipa sertifikāti. Uz iekšējo ūdeņu kuģiem var izmantot dzinējus ar jaudu līdz 110 kW un atbilstošiem reduktoriem bez atzītās organizācijas tipa sertifikātiem. Šādā gadījumā pietiek ar dzinēju un reduktoru izgatavotāja atzinumu par to savietojamību.
189. Dzinējiem ar jaudu 130 kW vai lielāku, kurus paredzēts uzstādīt uz kuģiem vai kuri pārbūvēti pēc 2000.gada 1.janvāra, ir atzītas organizācijas vai dzinēja ražotājvalsts administrācijas izsniegts dzinēja starptautiskais gaisa aizsardzības sertifikāts (izņemot dzinējus, kas paredzēti lietošanai avārijas situācijās vai glābšanai).
190. Galvenā enerģētiskā iekārta, palīgmehānismi un katliekārtas, kas nodrošina kuģa kustību un drošību, ir darbspējīgas, kuģa statiskajai sānsverei sasniedzot līdz 15º uz jebkuru sānu un dinamiskai sānsverei
līdz 22,5º uz jebkuru sānu, kā arī minētajai sānsverei vienlaikus ar dinamisku galsveri līdz 7,5º uz priekšgalu vai pakaļgalu.
191. Iekšējo ūdeņu kuģiem galvenā enerģētiskā iekārta, palīgmehānismi un katliekārtas, kas nodrošina kuģa kustību un drošību, ir darbspējīgas, statiskajai sānsverei sasniedzot līdz 15º uz jebkuru sānu un statiskajai galsverei - līdz 7,5º uz priekšgalu vai pakaļgalu.
192. Kuģim ir paredzēti rezerves līdzekļi galvenās enerģētiskās iekārtas darbības nodrošināšanai vai atjaunošanai gadījumos, ja pārstāj darboties kāds no palīgmehānismiem.
193. Šo noteikumu 192.punktā minētos rezerves līdzekļus paredz šādām sistēmām:
193.1. aprīkojumam, kas nodrošina degvielas padevi ar spiedienu galvenajiem dzinējiem, palīgdzinējiem un katliekārtām;
193.2. aprīkojumam, kas nodrošina normālu eļļas spiedienu galveno dzinēju un reduktoru eļļošanas sistēmās;
193.3. galvenās enerģētiskās iekārtas hidrauliskajiem, pneimatiskajiem un elektriskajiem (tai skaitā dzenskrūvju ar maināmo soli) vadības līdzekļiem;
193.4. aprīkojumam, kas nodrošina dzesēšanas ūdens spiedienu galvenās enerģētiskās iekārtas dzesēšanas sistēmās;
193.5. gaisa kompresoram un spiedtraukiem, kas paredzēti dzinēju iedarbināšanas un vadības vajadzībām.
194. Kuģiem, kuri tiek ekspluatēti piekrastes kuģošanas rajonā, rezerves līdzekļus neparedz šo noteikumu 193.4.apakšpunktā minētajam aprīkojumam.
195. Ja kuģi ekspluatē ar periodiski neapkalpojamu mašīntelpu, uz to attiecas SOLAS konvencijas II-I. nodaļas E daļa "Papildus prasības periodiski neapkalpojamām mašīntelpām".
7.2. Mehānismi
196. Kuģa galvenos mehānismus un palīgmehānismus, kam ir būtiska nozīme kuģa drošības un kustības nodrošināšanā, apgādā ar efektīviem vadības līdzekļiem.
197. Mehānismus, kam pastāv risks pārsniegt maksimāli pieļaujamos dzinēja apgriezienus, aprīko ar joņaizsardzības ierīci, kas ierobežo apgriezienus un novērš avārijas risku.
198. Ja iekšdedzes dzinēja cilindra diametrs ir lielāks par 200 mm vai kartera tilpums ir lielāks par 0,6 m3, iekšdedzes dzinēja karterus aprīko ar sertificētiem un pietiekama šķērsgriezuma laukuma drošības vārstiem.
199. Galvenos mehānismus un palīgmehānismus, kā arī šo mehānismu daļas (tai skaitā spiedtraukus, kas ir pakļauti iekšējam spiedienam) aprīko ar drošības vārstiem, kas nodrošina, lai ekspluatācijas gaitā netiktu pārsniegts pieļaujamais spiediens.
200. Visus pievadus, vārpstas un to savienojumus, ko izmanto kuģa kustības un kuģa apkalpes drošības nodrošināšanai, projektē un izgatavo tā, lai tie izturētu jebkuros kuģa ekspluatācijas apstākļos radušās maksimālās slodzes.
201. Galveno enerģētisko iekārtu, ja nepieciešams, arī palīgmehānismus aprīko ar ierīcēm, kas tos automātiski izslēdz bojājumu gadījumā (piemēram, eļļošanas sistēmas defekti, kas ātri var radīt nopietnus bojājumus, avāriju vai sprādzienu). Uzstāda avārijas signalizāciju, kas iedarbina trauksmes signālu pirms mehānismu automātiskas apturēšanas.
202. Katram iekšdedzes dzinējam ir atsevišķa izplūdes gāzu sistēma. Ja nepieciešams ievērot ugunsdrošību, uzstāda dzirksteļu slāpētāju. Izplūdes gāzu sistēmu un tās drenāžu neizvieto dzīvojamās telpās.
203. Kuģiem, kuru garums ir mazāks par 15 metriem, gāzu izplūdes sistēmas atvere atrodas vismaz 100 mm virs ūdenslīnijas. Ja izplūdes gāzes dzesē ar aizborta ūdeni, izplūdes gāzu sistēmu izgatavo no korozijas izturīga materiāla un sistēmas daļas neizraisa galvanisko koroziju. Konstruktīvi nodrošina, ka dzesēšanas ūdens nevar nokļūt dzinēja cilindros.
204. Aizborta ūdens dzesēšanas sistēmu izgatavo no degtnespējīga, korozijas izturīga materiāla, un to aprīko ar vārstiem, aizsargprotektoriem un ieejas filtru vai sietu. Aizborta ūdens dzesēšanas sistēmas daļas neizraisa galvanisko koroziju. Aizborta vārstus uzstāda atbilstoši SOLAS konvencijas II-1.nodaļas A-1.daļas 3-1.noteikumam. Filtra elementu vai sietu iespējams nomainīt vai iztīrīt, ja kuģis atrodas ūdenī un tam ir maksimāla iegrime. Dzesēšanas ūdens novadīšanai aiz borta izmanto izplūdes gāzu sistēmu vai speciāli šim mērķim paredzētu atveri kuģa korpusā, kas ir novietota virs maksimālās iegrimes ūdenslīnijas un aprīkota ar neatgriezenisko vārstu. Ja kuģim ir ārējās dzesēšanas sistēma, dzesēšanas šķidruma caurules vai citus izvirzījumus aprīko ar aizsargiem.
205. Piekarināmos dzinējus ar jaudu 15 kW un vairāk nostiprina pie kuģa pakaļgala atbilstoši dzinēja ražotāja prasībām. Dzinēja apvalku apgādā ar ūdens drenāžas atverēm. Vadības kabeļus un degvielas caurulītes hermētiski nostiprina dzinēja apvalkā, lai novērstu ūdens iekļūšanu tajā. Visus piekarināmos dzinējus aprīko ar drošības ierīci, kas atbrīvo vai izceļ dzenskrūvi no ūdens, ja notiek dzenskrūves vai tās reduktora saskare ar ūdenstilpes dibenu, kā arī, ja nepieciešams, ar iekārtu, kas automātiski aptur dzinēju, ja vadītājs pārkrīt pār bortu.
206. Uz kuģa atrodas mehānismu ekspluatācijas instrukcijas un rokasgrāmatas valsts valodā un citā apkalpei saprotamā valodā.
7.3. Atpakaļgaitas nodrošināšanas līdzekļi
207. Kuģi nodrošina ar pietiekamas jaudas atpakaļgaitas līdzekļiem, kas nodrošina pienācīgu kuģa vadību jebkuros normālos ekspluatācijas apstākļos.
208. Kuģa galvenā enerģētiskā iekārta spēj pietiekami īsā laikposmā mainīt dzenskrūves virzošā spēka virzienu un tādējādi pieņemami īsā ceļa posmā un laikposmā apturēt kuģi, kas pārvietojas ar maksimālo ekspluatācijas ātrumu. Lai novērstu galvenā dzinēja noslāpšanu dzenskrūves ar fiksēto soli reversēšanas laikā, dzenvārpstas līniju, ja nepieciešams, aprīko ar bremzi.
7.4. Tvaika katli, barošanas sistēmas un tvaika vadi
209. Šīs apakšnodaļas prasības attiecas uz visiem kuģiem.
210. Katru tvaika katlu un siltuma utilizācijas tvaika ģeneratoru aprīko ar vismaz diviem pietiekamas caurlaides spējas drošības vārstiem. Inspekcija atļauj uzstādīt tikai vienu drošības vārstu, ja nepārprotami ir nodrošināta pietiekama aizsardzība pret pārmērīgi lielu spiedienu katlā vai utilizācijas tvaika ģeneratorā, ar noteikumu, ka tiek ņemta vērā tvaika katla vai utilizācijas tvaika ģeneratora ražība vai citi raksturlielumi. Ja ekspluatācijas laikā tvaika vados iespējama darba spiediena pārsniegšana, tad tvaika vadus aprīko ar pietiekamas caurlaides drošības vārstiem.
211. Katru katlu, kas darbojas ar šķidro kurināmo un ir paredzēts ekspluatācijai bez pastāvīgas uzraudzības, aprīko ar automātiskām drošības ierīcēm, kas pārtrauc degvielas padevi un iedarbina trauksmes signalizāciju, ja ūdens līmenis kļūst zemāks par pieļaujamo, rodas traucējumi gaisa padevē vai nodziest liesma. Automātiskajai vadības sistēmai paredz līdzekļus, kas neļauj padot degvielu kurtuvē un to aizdedzināt, kamēr nav veikta kurtuves ventilācija.
212. Inspekcija īpaši izvērtē tvaika katlu un tvaika vadu uzstādīšanu, lai nodrošinātu, ka barošanas sistēmas, kontroles mēriekārtas un drošības aprīkojums ir atbilstošs un ekspluatācijas laikā nodrošina tvaika katlu un tvaika vadu drošību. Pirms tvaika katla un tvaika vadu nodošanas ekspluatācijā veic tvaika katla, tā sistēmu un tvaika vadu hidraulisko pārbaudi. Tvaika katlu mēriekārtas ir verificētas atbilstoši normatīvajā aktā par valsts metroloģiskajai kontrolei pakļauto mērīšanas līdzekļu sarakstu noteikto, un to pārbaudes veic katru gadu.
213. Pie tvaika katla vadības pults atrodas katla iedarbināšanas un apturēšanas instrukcija valsts valodā un citā apkalpei saprotamā valodā.
7.5. Dzeniekārtas mehānismu vadība no stūres mājas
214. Mašīntelpā starp stūres māju un vadības pulti uzstāda divus neatkarīgus sakaru līdzekļus, no kuriem viens ir mašīnas telegrāfs.
215. Ja dzeniekārtas mehānismu distances vadību veic no stūres mājas, tad visos ekspluatācijas apstākļos (tai skaitā manevrējot) ātrums, dzenskrūves virzošā spēka virziens un maināmā soļa dzenskrūves solis ir pilnībā vadāms no stūres mājas.
216. Šo noteikumu 215.punktā paredzēto distances vadību nodrošina ar tādu vadības līdzekļu palīdzību, kas atbilst SOLAS konvencijas II-1.nodaļas A-1.daļas 3-1.noteikumam, un, ja nepieciešams, paredz līdzekļus, kas nepieļauj galvenās enerģētiskās iekārtas pārslodzi.
217. Stūres māju aprīko ar galvenās enerģētiskās iekārtas avārijas apturēšanas ierīci.
218. Enerģētiskās iekārtas mehānismu distances vadība vienlaikus ir iespējama tikai no vienas vadības pults. Uz katras pults paredz indikāciju, kas norāda, no kādas pults attiecīgajā brīdī enerģētisko iekārtu vada. Vadības pārslēgšana starp stūres māju un mašīntelpu iespējama tikai no mašīntelpas centrālās vadības pults.
219. Stūres mājā uzstāda indikatorus, kas norāda:
219.1. dzenskrūves griešanās ātrumu un virzienu kuģiem ar fiksētā soļa dzenskrūvi;
219.2. dzenskrūves griešanās ātrumu un lāpstiņu stāvokli kuģiem ar maināmā soļa dzenskrūvi.
220. Nodrošina iespēju vadīt galveno enerģētisko iekārtu no vietējās vadības pults, ja bojāta distances vadības sistēma. Kamēr mehānismus vada no vietējās vadības pults, saglabājas iepriekšējais ātrums un dzenskrūves virzošā spēka virziens.
221. Galveno mehānismu automātiskas iedarbināšanas mēģinājumu skaitu ierobežo, lai saglabātu automātiskas iedarbināšanas iespējas. Paredz brīdinājuma signalizāciju, kas norāda uz zemu gaisa spiedienu iedarbināšanas sistēmā, bet ieslēdzas, kad gaisa spiediens vēl ļauj iedarbināt galveno dzinēju. Ja galveno dzinēju iedarbina no akumulatoru baterijām, paredz rezerves līdzekļus dzinēja iedarbināšanai.
222. Automātiskajās iedarbināšanas, vadības un kontroles sistēmās iekļauj automātisko sistēmu manuālos izslēgšanas līdzekļus.
7.6. Saspiestā gaisa sistēmas
223. Šīs apakšnodaļas prasības attiecas uz visiem kuģiem.
224. Saspiestā gaisa sistēmas aizsargā pret pārāk liela spiediena rašanos jebkurā saspiestā gaisa sistēmas daļā, kā arī tur, kur ir iespējama saspiestā gaisa iekļūšana gaisa kompresoru un dzesētāju apvalkos, radot bīstamu spiedienu. Visas sistēmas aprīko ar drošības vārstiem. Pirms saspiestā gaisa sistēmas ekspuatācijas uzsākšanas visiem spiedtraukiem ar sistēmām veic hidraulisko pārbaudi.
225. Iekšdedzes dzinēju saspiestā gaisa iedarbināšanas sistēmas aizsargā pret šo dzinēju karsto gāzu nokļūšanu sistēmā, novēršot sprādziena iespēju.
226. Līdz minimumam samazina iespēju eļļai iekļūt saspiestā gaisa cauruļvados un paredz līdzekļus cauruļvadu un spiedtrauku attīrīšanai no šķidrumiem.
227. Spiedtraukus un kompresorus aprīko ar manometriem (manometri ir verificēti atbilstoši normatīvajam aktam par valsts metroloģiskajai kontrolei pakļauto mērīšanas līdzekļu sarakstu) un liela spiediena signalizāciju.
228. Saspiestā gaisa uzpildes cauruļvadus no kompresoriem tieši savieno ar spiedtraukiem.
229. Iedarbināšanas saspiestā gaisa cauruļvadus galvenajiem dzinējiem un palīgdzinējiem tieši savieno ar iedarbināšanas spiedtraukiem un nodrošina kompresoru automātisku iedarbināšanu, ja spiediens tajos krītas par 20 %.
7.7. Degvielu, smērvielu un citu uzliesmot spējīgu šķidrumu lietošanas kārtība
230. Šīs apakšnodaļas prasības attiecas uz visiem kuģiem.
231. Par degvielu neizmanto naftas produktus, kuru uzliesmošanas temperatūra ir zemāka par 60 oC (slēgtā trauka tests). Izņēmums ir avārijas ģeneratoru un glābšanas laivu dzinēji, kam atļauts izmantot degvielu, kuras uzliesmošanas temperatūra nav zemāka par 43 oC.
232. Ja uz kuģa ir uzstādīts dzirksteļaizdedzes dzinējs, šo noteikumu 231.punkta prasības nepiemēro.
233. Degvielai paredzētās tilpnes izgatavo no tērauda vai cita ekvivalenta materiāla un aprīko ar drošiem un efektīviem līdzekļiem degvielas daudzuma noteikšanai katrā tilpnē. Ja tiek lietotas mērīšanas caurules, to augšējos galus izvieto drošās vietās un aprīko ar noslēgšanas līdzekļiem. Var izmantot mērstiklus no pietiekami bieza stikla, ja tie ir metāla apvalkos un ir uzstādīti automātiski noslēdzošie vārsti. Degvielas daudzuma noteikšanai katrā tilpnē var lietot cita tipa līdzekļus, nodrošinot, ka to kļūdas vai tilpnes pārpildīšanās dēļ nevar notikt degvielas noplūde. Glābšanas laivās un darba laivās uz kuģiem, kuru garums ir mazāks par 15 metriem, inspekcija atļauj izmantot cita materiāla rūpnieciski izgatavotas degvielas tvertnes, ja tās atbilst SOLAS konvencijas II-1.nodaļas A-1.daļas 3-1.noteikumam.
234. Lieto ierīces, kas nepieļauj pārāk liela spiediena rašanos jebkurā degvielas vai eļļas tilpnē, kā arī jebkurā degvielas vai eļļas sistēmas daļā, tai skaitā uzpildes caurulēs. Redukcijas vārsti, gaisa un pārplūdes caurules atslogo sistēmu drošā vietā un veidā. Degvielas un eļļas tilpņu ventilācijas atveres izvada uz atvērta klāja un aizsargā pret ūdens ieplūšanu.
235. Degvielas un eļļas tilpnes un tvertnes neuzstāda virs dzinējiem vai tvaika katliem. Degvielas un eļļas cauruļvadus neizvieto blakus izplūdes gāzu kolektoriem vai tvaika caurulēm. Minimālais attālums no degvielas tilpnes vai tvertnes līdz dzinējam vai tvaika katlam nav mazāks par vienu metru.
236. Degvielas un eļļas iepildīšanas cauruļvadus novieto tā, lai noplūdes gadījumā degviela un eļļa tūlīt neizplūstu aiz borta.
237. Degvielas un eļļas tilpnes aprīko ar ātrās aizvēršanās vārstiem, kurus var aizvērt no vietas ārpus mašīntelpas.
238. Degvielas un eļļas tilpnes iespēju robežās izvieto ārpus A kategorijas mašīntelpām. Ja degvielas vai eļļas tilpne atrodas mašīntelpā, tās virsmai mašīntelpā jābūt iespējami mazākai. Degvielas tilpnēs, kas ir izvietotas A kategorijas mašīntelpās, neatrodas degviela, kuras uzliesmošanas temperatūra ir zemāka par 60 oC.
239. Degvielas un eļļas tilpnes izvieto tā, lai sūces vai pārplūdes gadījumā degviela nenonāktu uz sakarsētām virsmām, kuru temperatūra ir augstāka par 60 oC.
240. Degvielas un eļļas sūkņus nodala no visām pārējām sistēmām. Degvielas un eļļas sūkņus aprīko ar redukcijas vārstiem. Veic pasākumus, lai novērstu zem spiediena esošas degvielas un eļļas izšļākšanos no sūkņiem, filtriem, sildītājiem un nonākšanu uz sakarsētām virsmām, kuru temperatūra ir augstāka par 60 oC.
241. Degvielas un eļļas caurules, vārstus un pārējo armatūru izgatavo no tērauda vai cita ekvivalenta materiāla (ar nosacījumu, ka minimāli tiek izmantotas elastīgas caurules). Šīs elastīgās caurules un to gala savienojumi ir ar adekvātu izturību un rūpnieciski izgatavoti no ugunsdrošiem materiāliem vai apšūti ar ugunsdrošu materiālu, kas atbilst SOLAS konvencijas II-1.nodaļas A-1.daļas 3-1.noteikumam. Elastīgo cauruļu montāžu veic saskaņā ar SOLAS konvencijas II-1.nodaļas A-1.daļas 3-1.noteikumu.
242. Vietās, kur tas ir nepieciešams, degvielas un eļļas cauruļvadus pārklāj ar apvalku vai izmanto citus līdzekļus, lai novērstu degvielas vai eļļas nokļūšanu uz sakarsētām virsmām vai mehānismu gaisa iesūkšanas kolektoros. Pieļaujams minimāls savienojumu skaits cauruļvados. Cauruļvadus aizsargā pret pārrīvēšanos ekspluatācijas laikā.
243. Izmanto dubultas augstspiediena degvielas caurulītes, un tās savieno ar degvielas noplūžu signalizāciju tā, lai signalizācija sāk darboties, noplūstot minimālam degvielas daudzumam. Esošajiem dzinējiem (ja to jauda ir mazāka par 375 kW un ar nosacījumu, ka augstspiediena sūknis nodrošina degvielas padevi trijiem un vairāk cilindriem) var uzstādīt aizsargus, kas novērš degvielas tvaiku nokļūšanu uz karstām virsmām un elektroiekārtām.
244. Mašīntelpas nodrošina ar pietiekamu ventilāciju, lai nekādos ekspluatācijas apstākļos mašīntelpā neuzkrātos degvielas tvaiki.
245. Degvielas, eļļas un citus uzliesmot spējīgus šķidrumus neuzglabā priekšējā pīķa kravas tilpnēs un dzīvojamās telpās. Uzliesmot spējīgus šķidrumus neuzglabā mašīntelpās.
7.8. Atsūknēšanas sistēmas
246. Kuģi aprīko ar efektīvu atsūknēšanas sistēmu, kas jebkuros ekspluatācijas apstākļos spēj atsūknēt ūdeni no jebkura kuģa nodalījuma, kuģim esot gan uz līdzena ķīļa, gan sānsverē un galsverē. Uz kuģa nodrošina visu nepieciešamo, lai ūdens brīvi nokļūtu pie iesūkšanas caurulēm. Visas iesūkšanas caurules aprīko ar aizsargsietiem vai filtriem. Visus atsūknēšanas cauruļvadus un vārstus izgatavo no ugunsizturīga materiāla.
247. Uz katra kuģa uzstāda vismaz divus pašuzsūcošus atsūknēšanas sūkņus ar neatkarīgu mehānisku piedziņu, viens no tiem var būt ar piedziņu no galvenā dzinēja. Katrs sūknis var atsūknēt visus kuģa nodalījumus. Par atsūknēšanas sūkņiem var izmantot arī balasta sūkņus vai citus sūkņus ar pietiekamu ražību.
248. Kuģiem, kuru garums ir mazāks par 15 metriem, kā alternatīvu risinājumu šo noteikumu 247.punkta prasībām var izmantot neatkarīga pašuzsūcoša elektriskas piedziņas sūkņa uzstādīšanu katrā nodalījumā vai kuģa aprīkošanu ar tādu pārnēsājamu elektrisko atsūknēšanas sūkni, kas atbilst kuģa elektroenerģijas avota spriegumam. Visus sūkņus darbina no kuģa vadības pults. Aizborta vārsti ir vienvirziena, lai novērstu ūdens ieplūšanu atpakaļ nodalījumā. Nodrošina šādu atsūknēšanas sūkņa ražību:
248.1. kuģim, kura garums nepārsniedz 7,99 metrus, - 60 l/min;
248.2. kuģim, kura garums ir no 8,0 līdz 11,99 metriem, - 80 l/min;
248.3. kuģim, kura garums ir no 12,00 līdz 15,00 metriem, - 120 l/min.
249. Nodrošina tādu atsūknēšanas sūkņa jaudu, lai tas galvenajā atsūknēšanas maģistrālē radītu ūdens plūsmu ar ātrumu vismaz divi metri sekundē. Galvenās atsūknēšanas maģistrāles cauruļu iekšējais diametrs ir vismaz šāds:
d = 25 + 1,68(L(B + D))0,5 , kur
d - iekšējais diametrs milimetros;
L, B un D - kuģa galvenie izmēri (lielākais garums, platums un borta augstums) metros.
250. Atsūknēšanas sistēmas cauruļu iekšējais diametrs nav mazāks par 50 mm. Nosaka tādus atsūknēšanas sistēmas cauruļu izmērus un izvietojumu, lai visu šajā apakšnodaļā minētā atsūknēšanas sūkņa jaudu varētu izmantot ūdens atsūknēšanai no jebkura kuģa nodalījuma (no triecienstarpsienas līdz pakaļējā pīķa starpsienai).
251. Visus nodalījumus aprīko ar augsta ūdens līmeņa signalizāciju.
252. Atsūknēšanas sistēmas cauruļvadus neliek caur degvielas, balasta vai dubultā dibena kravas tilpnēm, ja cauruļvadi nav ievietoti hermētiskos izturīgas tērauda konstrukcijas tuneļos.
253. Atsūknēšanas sistēmas caurules, kas šķērso triecienstarpsienu, aprīko ar piespiedu noslēgšanas līdzekļiem ar distances vadību no darba klāja un indikatoru, kas norāda vārsta stāvokli. Ja vārsts ir uzstādīts starpsienas pakaļgala pusē un ir pieejams jebkuros kuģa ekspluatācijas apstākļos, atļauts vārstu neaprīkot ar distances vadību.
254. Esošiem kuģiem piemēro šo noteikumu 246. un 247.punkta prasības, kā arī - iespēju robežās - pārējo šīs apakšnodaļas punktu prasības.
255. Uz kuģa veic pasākumus, kas samazina trokšņa kaitīgo ietekmi uz mašīntelpu personālu līdz SOLAS konvencijā noteiktajam līmenim.
7.9. Stūres iekārta
256. Kuģi aprīko ar galveno stūres pievadu un rezerves stūres pievadu, kas atbilst SOLAS konvencijas II-1.nodaļas A-1.daļas 3-1.noteikumam. Galveno un rezerves stūres pievadu iespēju robežās konstruē tā, lai viena pievada darbība neapstātos, ja pārstāj darboties otrs pievads.
257. Kuģus, uz kuriem ir uzstādīti piekarināmie dzinēji ar jaudu 15 kW un vairāk, aprīko ar stūres pievadu, kas sastāv no stūres rata, vadības trosēm vai hidrauliskās sistēmas. Vadības troses un hidrauliskās caurules ir aizsargātas pret bojājumiem un pastiprinātu nodilumu.
258. Ja galvenais stūres pievads sastāv no diviem vai vairākiem spēka agregātiem un, pārstājot darboties kādam no šiem spēka agregātiem, galvenais stūres pievads spēj nodrošināt stūres darbību atbilstoši šo noteikumu 260.punkta prasībām, nav nepieciešams uzstādīt rezerves stūres pievadu.
259. Galveno stūres pievadu un stūres vārpstu projektē pietiekami izturīgu un atbilstošu, lai nodrošinātu kuģa vadību, tam pārvietojoties ar maksimālo ekspluatācijas ātrumu, kā arī lai galvenais stūres pievads un stūres vārpsta netiktu bojāta, kuģim virzoties atpakaļgaitā ar maksimālo atpakaļgaitas ātrumu vai manevrējot.
260. Galvenais stūres pievads nodrošina stūres pārlikšanu no 35o vienā bortā līdz 35o otrā bortā, ja kuģim ir lielākā atļautā iegrime un lielākais ekspluatācijas ātrums. Galvenā stūres pievada jauda ir pietiekama, lai stūres pārlikšana no 35o vienā bortā līdz 30o otrā bortā, ja sasniegti šajā punktā minētie parametri, nenotiktu ilgāk par 28 sekundēm. Lai izpildītu šos nosacījumus, ja nepieciešams, uzstāda stūres pievada spēka agregātus.
261. Galvenā stūres pievada spēka agregātus konstruē tā, lai pēc jaudas padeves pārtraukumiem šos agregātus varētu manuāli iedarbināt no stūres mājas vai tie iedarbotos automātiski.
262. Rezerves stūres pievads ir pietiekami izturīgs un atbilstošs, lai nodrošinātu kuģa vadību atbilstoši ātrumam, ar kādu kuģis pārvietojas, kā arī lai būtu iespēja ātri pāriet uz šo pievadu avārijas situācijā. Rezerves stūres pievadu, ja nepieciešams, paredz katrai stūres plāksnei vai stūrēšanas ierīcei.
263. Rezerves stūres pievads nodrošina stūres pārlikšanu no 15o vienā bortā līdz 15o otrā bortā ne ilgāk kā 60 sekundēs, kuģim ejot ar pusi no maksimālā ekspluatācijas ātruma vai ar septiņu mezglu ātrumu (izvēlas lielāko). Lai izpildītu šo nosacījumu, ja nepieciešams, rezerves stūres pievadam uzstāda spēka agregātu.
264. Stūres mājā uzstāda stūres stāvokļa rādītāju. Stūres stāvokļa rādītājs darbojas neatkarīgi no stūres pievada vadības sistēmas.
265. Stūres mājā uzstāda elektrisko un elektrohidraulisko stūres pievadu dzinēju darba indikatorus. Elektrodzinējus un elektroķēdes aprīko ar aizsardzību pret īssavienojumu, kā arī ar brīdinājuma signalizāciju (signalizācija informē par pārslodzi un elektroapgādes traucējumiem). Aizsardzība pret pieļaujamās strāvas pārsniegšanu (ja ir) ir aprēķināta vismaz dubultam aizsargājamās ķēdes vai dzinēja pilnas slodzes strāvas stiprumam un iztur atbilstošās palaišanas strāvas.
266. Uz tankkuģiem vai kuģiem, kuru bruto tilpība ir 500 un lielāka, nodrošina vismaz divas neatkarīgas strāvas padeves ķēdes elektrisko un elektrohidraulisko stūres pievadu darbināšanai. Vienu no ķēdēm pieslēdz tieši galvenajam slēgdēlim, bet otru - avārijas slēgdēlim, ja avārijas elektroenerģijas avots ir dīzeļģenerators.
267. Tankkuģus un kuģus, kuru bruto tilpība ir 500 un lielāka, aprīko ar mehāniķu trauksmes signālu, kuru var ieslēgt no dzinēju vadības pults un kurš ir labi dzirdams mehāniķu kajītēs, kopkajītēs, ēdamtelpās, smēķēšanas vietās un uz slēgtajiem darba klājiem.
7.10. Saldēšanas sistēmas
268. Saldēšanas sistēmas projektē, izgatavo, pārbauda un uzstāda atbilstoši atzītas organizācijas prasībām.
269. Saldēšanas iekārtas atbilstoši aizsargā pret vibrāciju, izplešanos, saraušanos un sprādzieniem, kā arī aprīko ar automātisku aizsardzības sistēmu, kas nepieļauj bīstamas temperatūras un spiediena izmaiņas.
270. Saldēšanas sistēmās izmanto tikai sertificētus aukstuma aģentus.
271. Saldēšanas sistēmas aprīko ar drenāžas sistēmām, kas aukstuma aģenta noplūdes gadījumā nodrošina tā aizplūšanu prom no saldēšanas sistēmu telpām, neradot briesmas cilvēkiem.
272. Visus kuģa nodalījumus, kuros izvietoti saldēšanas sistēmas mehānismi (tai skaitā kondensatori un spiedtrauki, kuros tiek uzglabāti aukstuma aģenti), atdala no pārējiem nodalījumiem ar gāzes necaurlaidīgām starpsienām un aprīko ar gāzes noplūdes atklāšanas signalizāciju, kas izvietota pie ieejas šajos nodalījumos. Ja, ņemot vērā kuģa izmērus, tāds izvietojums nav iespējams, saldēšanas sistēmu var izvietot kuģa mašīntelpā ar noteikumu, ka var izmantot tikai tādu aukstuma aģenta daudzumu, kas, pat visai gāzei izplūstot, nevar būt bīstams mašīntelpā strādājošiem cilvēkiem, kā arī uzstāda signalizāciju, kas brīdina par nodalījumā izveidojušos bīstamu gāzu koncentrāciju, ko izraisījusi noplūde.
273. Saldēšanas mehānismu nodalījumus aprīko ar neatkarīgu ventilācijas sistēmu.
274. Lai novērstu iespēju ieslēgt cilvēkus saldēšanas mehānismu telpās, signalizāciju no šīm telpām pievieno stūres mājai vai centrālajai vadības pultij. Vismaz viena izeja no saldēšanas mehānismu telpām ir atverama no iekšpuses. Ja tas ir iespējams, izejas no saldēšanas iekārtu nodalījumiem neierīko tā, lai tās tieši vestu uz dzīvojamām telpām.
275. Ja saldēšanas iekārtā izmanto cilvēkam kaitīgu aukstuma aģentu, paredz vismaz divus elpošanas aparātus. Vienu no tiem izvieto vietā, kur ir minimāla varbūtība, ka aukstuma aģenta noplūdes gadījumā šī telpa kļūs nepieejama. Šīs prasības izpildei var izmantot elpošanas aparātus, kas paredzēti kuģa ugunsdzēšanas aprīkojumā, ja aparāti ir izvietoti tā, ka tos var izmantot abiem mērķiem. Katru elpošanas aparātu apgādā ar vienu rezerves cilindru komplektu.
276. Uz kuģa atrodas precīzas instrukcijas par saldēšanas iekārtu drošu ekspluatāciju un rīcību avārijas situācijās.
8. Elektriskās iekārtas
8.1. Galvenais elektroenerģijas avots un apgaismošanas sistēma
277. Ja elektroenerģija ir vienīgais līdzeklis, kas nodrošina kuģa kustībai un drošībai būtisku mehānismu darbību, kuģi aprīko ar galveno elektroenerģijas avotu, kas sastāv no vismaz diviem ģeneratoriem (vienu no tiem var darbināt no galvenā dzinēja).
278. Galvenais elektroenerģijas avots nodrošina vismaz šādus minimālos sadzīves apstākļus uz kuģa:
278.1. telpu apsildi;
278.2. apgaismojumu;
278.3. pārtikas gatavošanas iespējas;
278.4. pārtikas uzglabāšanas iespējas;
278.5. telpu ventilāciju.
279. Katra ģeneratora jauda ir pietiekama, lai apgādātu ar kuģa drošību saistīto mehānismu un iekārtu darbu, kā arī nodrošinātu šo noteikumu 278.punktā minētās funkcijas.
280. Kuģa galveno elektroenerģijas avotu projektē tā, lai nodrošinātu šo noteikumu 277.punktā minēto funkciju izpildi neatkarīgi no galvenā dzinēja vai dzenvārpstas griešanās ātruma un virziena.
281. Ja šo noteikumu 280.punktā paredzētās elektroapgādes sistēmas būtiska sastāvdaļa ir transformatori, sistēmu konstruē tā, lai nodrošinātu elektroenerģijas piegādes nepārtrauktību.
282. Galvenā apgaismošanas sistēma nodrošina atbilstošu apgaismojumu visās kuģa dzīvojamās un tehniskajās telpās, kas nepieciešamas kuģa apkalpes darbam un atpūtai, kā arī pasažieru vajadzībām. Galvenā apgaismošanas sistēma tiek darbināta no galvenā elektroenerģijas avota.
283. Galveno apgaismošanas sistēmu konstruē tā, lai ugunsgrēka vai citas avārijas gadījumā telpā vai telpās, kur izvietots galvenais elektroenerģijas avots (tai skaitā transformatori, ja tie tiek izmantoti), nepārstātu darboties kuģa avārijas apgaismošanas sistēma.
284. Navigācijas uguņu darbību nodrošina no atsevišķa slēgdēļa, kuram enerģiju pievada no avārijas sadales dēļa. Skaņas signalizācija un vizuālā signalizācija informē par jebkuru navigācijas uguņu bojājumu.
285. Uz kuģa atrodas principiālā elektroshēma valsts valodā un citā apkalpei saprotamā valodā.
286. Kuģiem, kuru garums ir mazāks par 15 metriem, elektroenerģijas avotu veido akumulatoru baterijas un galvenajam dzinējam pieslēgti ģeneratori. Var uzstādīt atsevišķu palīgģeneratoru, ko darbina no neatkarīga dīzeļdzinēja. Elektroenerģijas avots nodrošina apgaismojuma, radiostacijas, navigācijas un citu iekārtu darbību no akumulatoru baterijām, kā arī šo akumulatoru uzlādēšanu. Normālas ekspluatācijas režīmā dzinēju iedarbināšanas, apgaismojuma un radiostacijas akumulatoru baterijas nav savstarpēji savienotas un ir apgādātas ar sistēmām uzlādēšanai no galvenā dzinēja, no krasta barošanas vai palīgģeneratora. Uz kuģa paredz līdzekļus elektrisko atsūknēšanas sūkņu darbināšanai avārijas gadījumā. Katram dzinējam ir neatkarīgas iedarbināšanas akumulatoru baterijas, kas ir aprīkotas ar uzlādēšanas ierīci. Lai nodrošinātu apgaismojuma un radiostacijas darbību avārijas gadījumā, iedarbināšanas akumulatoru baterijas var savienot ar apgaismojuma un radiostacijas akumulatoru baterijām. Apgaismojuma un radiostacijas akumulatoru baterijas nelieto dzinēju iedarbināšanai un atsūknēšanas sūkņa darbināšanai. Navigācijas uguņu darbināšanai izmanto apgaismojuma akumulatoru baterijas, un tās nodrošina vismaz trīs stundu nepārtrauktu visu navigācijas uguņu darbību bez akumulatoru bateriju uzlādēšanas, darbojoties minimālam kuģa apgaismojumam. Uzstādītās akumulatoru baterijas ir izvietotas labi ventilējamā telpā. Uz dzinēju vadības pults ir uzstādīts indikators, kas parāda, vai notiek elektroenerģijas avota - bateriju - uzlāde.
8.2. Avārijas elektroenerģijas avots
287. Uz kuģa uzstāda autonomu avārijas elektroenerģijas avotu, ko izvieto virs zemākās ekspluatācijas ūdenslīnijas ārpus mašīntelpām un kas spēj darboties, ja ugunsgrēka, applūšanas vai cita iemesla dēļ pārtrauc darboties galvenās elektroiekārtas.
288. Avārijas elektroenerģijas avots ir dīzeļģenerators vai akumulatoru baterijas.
289. Ņemot vērā palaišanas strāvu stiprumu un atsevišķu slodžu mainīgumu, avārijas elektroenerģijas avots nodrošina vienlaicīgu šādu iekārtu darbu (vismaz trīs stundas):
289.1. radio un navigācijas iekārtas;
289.2. kuģa iekšējās sakaru iekārtas, ugunsgrēka atklāšanas sistēmas un signalizācija, kas nepieciešama avārijā;
289.3. signālugunis;
289.4. avārijas apgaismojums koridoros, uz trapiem un pie izejām;
289.5. avārijas apgaismojums glābšanas līdzekļu nolaišanas vietās, tai skaitā arī jūras apgaismojums;
289.6. avārijas apgaismojums telpās, kur izvietoti mehānismi vai avārijas enerģijas avoti;
289.7. avārijas apgaismojums vadības pultīs;
289.8. ugunsdzēsības sūknis, ja avārijas elektroenerģijas avots ir dīzeļģenerators;
289.9. elektriskās vai elektrohidrauliskās stūres iekārtas viens spēka agregāts, ja avārijas elektroenerģijas avots ir dīzeļģenerators.
290. Ja avārijas elektroenerģijas avots ir dīzeļģenerators, to aprīko ar neatkarīgu degvielas padeves sistēmu un iedarbināšanas iekārtu, kas atbilst SOLAS konvencijas II-1.nodaļas A-1.daļas 3-1.noteikumam. Ja nav paredzēts otrs neatkarīgs avārijas ģeneratora iedarbināšanas līdzeklis, esošo iedarbināšanas enerģijas avotu aizsargā, lai to nevarētu izmantot, veicot atkārtotus iedarbināšanas mēģinājumus ar automātisko palaišanas sistēmu.
291. Avārijas ģeneratoru, dzinēju, kas to darbina, un akumulatoru baterijas konstruē tā, lai šīs iekārtas varētu strādāt ar pilnu slodzi, kuģim esot gan uz līdzena ķīļa, gan ar sānsveri līdz 22,5o uz jebkuru bortu, gan vienlaicīgu galsveri līdz 10o uz priekšgalu vai pakaļgalu, gan jebkurā šo leņķu kombinācijā (norādītajās robežās).
292. Ja avārijas elektroenerģijas avots ir akumulatoru baterija, tā bez uzlādēšanas ir spējīga izturēt avārijas slodzi, saglabājot izlādēšanās periodā spriegumu 12 % intervālā no nominālā sprieguma. Ja galvenā elektroenerģijas sistēma ir bojāta, šī akumulatoru baterija automātiski pieslēdzas avārijas slēgdēlim un nekavējoties apgādā ar enerģiju šo noteikumu 289.1., 289.2., 289.3., 289.4., 289.5., 289.6. un 289.7.apakšpunktā minētos patērētājus. Avārijas slēgdēli aprīko ar manuālo slēdzi, ar kuru akumulatoru bateriju var pieslēgt, ja ir bojāta automātiskā pieslēgšanas sistēma. Uz avārijas slēgdēļa vai dzinēju vadības pults uzstāda indikatoru, kas parāda, vai notiek avārijas elektroenerģijas avota - baterijas - uzlāde. Avārijas apgaismojuma akumulatoru baterijas un radiostacijas akumulatoru baterijas nav savienotas ar dzinēju iedarbināšanas akumulatoru baterijām. Uzstādīto akumulatoru bateriju izvieto labi ventilējamā telpā. Akumulatoru bateriju neuzstāda telpā, kur atrodas avārijas slēgdēlis, ja vien tā nav novietota hermētiskā tērauda nodalījumā un aprīkota ar ventilācijas izvadu uz atvērtu klāju.
293. Avārijas slēgdēli konstruē tā, lai, pārstājot darboties galvenajam elektroenerģijas avotam, automātiski pieslēgtos avārijas elektroenerģijas avots. Normālā darba stāvoklī avārijas slēgdēli baro no galvenā slēgdēļa caur fīderi, kam uz galvenā slēgdēļa ir aizsardzība pret pārslodzēm un īssavienojumiem. Avārijas slēgdēli nodrošina ar aizsardzību vismaz pret īssavienojumiem.
294. Avārijas slēgdēli uzstāda iespējami tuvu avārijas elektroenerģijas avotam.
295. Ja avārijas elektroenerģijas avots ir dīzeļģenerators, avārijas slēgdēli uzstāda šo noteikumu 294.punktā minētajā vietā, ja tas negatīvi neietekmē slēgdēļa darbu.
296. Avārijas elektroenerģijas avotus un to automātiskās iedarbināšanas aprīkojumu konstruē un uzstāda tā, lai kuģa apkalpe tos varētu pārbaudīt kuģa ekspluatācijas laikā.
8.3. Aizsardzība pret elektrisko šoku
297. Šīs apakšnodaļas prasības attiecas uz visiem kuģiem.
298. Iezemē elektrodzinēju un aprīkojuma atklātās metāla daļas, kam nevajadzētu būt spriegumaktīvām, bet kas var kļūt spriegumaktīvas, ja radušies bojājumi (izņemot gadījumus, kad elektrodzinēji un iekārtas ir izgatavoti saskaņā ar dubultās izolācijas principu).
299. Izmanto tikai tādu pārnēsājamo elektrisko aprīkojumu, kas darbojas ar 250 V spriegumu (vai 50 V spriegumu mitrās telpās). Iezemē aprīkojuma atklātās metāla daļas, kam nevajadzētu būt spriegumaktīvām, bet kas var kļūt spriegumaktīvas, ja radušies bojājumi. Ja pārnēsājamās elektriskās lampas, instrumentus un citu līdzīgu aprīkojumu izmanto šaurās vai mitrās telpās, kur īpašu bīstamību rada paaugstināta vadītspēja, inspekcija pieprasa papildu drošības pasākumus cilvēka veselības un dzīvības aizsardzības nodrošināšanai.
300. Visus elektriskos aparātus izgatavo un uzstāda tā, lai, tos pareizi apkalpojot un tiem pieskaroties, nerastos traumas.
301. Galvenos un avārijas slēgdēļus konstruē tā, lai apkalpojošajam personālam nodrošinātu vieglu un drošu pieeju aparātiem un ierīcēm. Slēgdēļu aizmugures un sānu paneļus, ja nepieciešams, arī priekšējos paneļus atbilstoši nožogo. Slēgdēļu priekšā un aizmugurē, kur tas nepieciešams, uzstāda dielektriskus paklājus vai režģus.
302. Uz tankkuģiem un kuģiem, kuru bruto tilpība ir 500 un lielāka, aizliegts izmantot kuģa korpusu par strāvas vadītāju spēka, apgaismes un apkures elektrotīkliem.
303. Ja kuģa korpusu izmanto par strāvas vadītāju, tad elektriskajās ķēdēs pēc pēdējās aizsargierīces kuģa korpusu par strāvas vadītāju neizmanto.
304. Izmanto un izvieto tādus elektrokabeļus un vadus, kas neizplata liesmu.
305. Ja izmanto kabeļus metāla aizsargapvalkos, tie ir elektriski nepārtraukti un iezemēti.
306. Elektrokabeļus un vadus, ko izmanto nozīmīgās spēka elektroķēdēs vai avārijas spēka elektroķēdēs, kā arī apgaismojuma nodrošināšanai, kuģa iekšējiem sakariem un signalizācijai, iespēju robežās uzstāda ārpus kambīzes, A kategorijas mašīntelpām un citām augsta ugunsbīstamības riska zonām, kā arī veļas mazgātavām un citām telpām ar paaugstinātu mitrumu. Ja kabeļi, kas savieno ugunsdzēsības sūkņus ar avārijas slēgdēli, šķērso augsta ugunsbīstamības riska zonas, tie ir ugunsizturīga tipa un attiecīgi aizsargāti no tiešas uguns iedarbības. Šie kabeļi iespēju robežās izvietoti tā, lai tie netiktu bojāti, starpsienām sakarstot, ja blakus telpā izcēlies ugunsgrēks.
307. Atbilstoši prasībām saskaņā ar SOLAS konvencijas II-1.nodaļas A-1.daļas 3-1.noteikumu veic īpašus drošības pasākumus, ja bojāti kabeļi bīstamajās zonās var radīt ugunsgrēka vai sprādziena draudus.
308. Vadus nostiprina tā, lai novērstu to pārrīvēšanos vai citus bojājumus.
309. Visus pieslēgumus un savienojumus veic tā, lai saglabātos kabeļu oriģinālās elektriskās, mehāniskās, liesmu neizplatīšanas īpašības un, ja nepieciešams, arī ugunsizturīgums.
310. Saldēšanas iekārtu telpās izvieto kabeļus, kas ir izturīgi pret zemu temperatūru un mitruma iedarbību.
311. Elektriskās ķēdes aizsargā no īssavienojuma un pārslodzes.
312. Vietās, kur uzstāda aizsardzības ierīces pret pārslodzi, ir norādīti šo ierīču nominālie vai uzstādītie raksturlielumi.
313. Apgaismošanas ierīces izvieto tā, lai nepieļautu to pārmērīgu sakaršanu un vadu un citu apkārtējo materiālu bojāšanu.
314. Ja apgaismošanas un spēka ķēdes beidzas telpās, kurās pastāv ugunsbīstamības vai sprādziena risks, attiecīgos slēdžus ierīko ārpus šīm telpām.
315. Ja telpās uzglabā akumulatoru baterijas, telpu konstrukcija un ventilācija atbilst SOLAS konvencijas II-1.nodaļas A-1.daļas 3-1.noteikumam.
316. Akumulatoru baterijas neuzglabā dzīvojamās telpās, izņemot akumulatoru baterijas, kas ievietotas hermētiskā konteinerā ar atbilstošu ventilācijas izvadu uz atvērtu klāju.
317. Telpās, kur iespējama uzliesmojošu gāzveida maisījumu uzkrāšanās un kas paredzētas akumulatoru bateriju uzglabāšanai, neuzstāda elektroiekārtas, ja inspekcija nepārliecinās, ka šīs elektroiekārtas ir:
317.1. nepieciešamas ekspluatācijas mērķiem;
317.2. tāda tipa, kas nepieļauj uzliesmojošo maisījumu aizdegšanās iespēju;
317.3. paredzētas tieši šai telpai;
317.4. derīgas izmantošanai putekļu, tvaiku un gāzu uzkrāšanās vietās.
318. Visus mastus un stengas aprīko ar zibens novadītājiem. Ja kuģis ir izgatavots no materiāliem, kas nevada elektrību, zibens novadītājus ar vadiem pievieno vara plāksnei, kas piestiprināta kuģa korpusam iespējami zemāk zem ūdenslīnijas.
9. Ugunsdrošība
9.1. Vispārīgie nosacījumi
319. Smēķēšanai atļauto telpu apdare ir no degtnespējīga materiāla. Uz tankkuģiem vietu smēķēšanai ierīko slēgtās telpās, un šo telpu durvis un iluminatori nedrīkst būt vērsti uz kravas tilpnēm.
320. Vietās, kur atļauts smēķēt, izvieto uzrakstu "Vieta smēķēšanai", novieto metāla vai cita degtnespējīga materiāla pelnutrauku un trauku ar ūdeni.
321. Uz tankkuģu klāja pie izejām no dzīvojamām un dienesta telpām un pie tankkuģa trapa pirms ieejas kuģī izvieto uzrakstu "Nesmēķēt" un "Aizliegts izmantot atklātu liesmu" latviešu un angļu valodā.
322. Kuģa elektrotīklu (instalāciju, apgaismes ķermeņus, rozetes, slēdžus, drošinātājus) pastāvīgi uztur atbilstoši tehniskajiem noteikumiem. Ne retāk kā reizi gadā mēra elektrotīkla izolācijas pretestību, rezultātus ierakstot mašīnas sardzes žurnālā.
323. Pastāvīgi nodrošina pieeju ikvienai kuģa telpai.
324. Trauksmes gadījumā visas kuģa apkalpes dzīvojamās telpas ir jāatslēdz.
325. Visas kuģa ugunsdzēsības sistēmas un tehnisko aprīkojumu pastāvīgi uztur darba kārtībā un ekspluatē saskaņā ar ražotāja tehniskās dokumentācijas prasībām.
326. Energoiekārtas, kas nodrošina ugunsdzēsības sistēmu un cita ugunsdzēsības tehniskā aprīkojuma darbību, pastāvīgi uztur darba kārtībā.
327. Pārbaudei vai uzpildīšanai krastā no kuģa vienlaikus nogādā tikai 50 % ugunsdzēsības aparātu, citu ugunsdzēsības iekārtu un ugunsdzēsības inventāra.
328. Pēc vispārējās trauksmes signāla nekavējoties iedarbina ugunsdzēsības sūkni.
329. Ja ārējā gaisa temperatūra ir zemāka par 0 ºC, tad uz atklātiem klājiem ūdens ugunsdzēsības sistēmas caurulēs nedrīkst būt ūdens.
330. Ugunsdzēsību sistēmu krāni ir ērti pieejami un viegli atverami. Pie katra ugunsdzēsības krāna ir tā apzīmējums (marķējums).
331. Katrs ugunsdzēsības tehniskā aprīkojuma līdzeklis ir apzīmēts ar savu atšķirības zīmi - nosaukumu, numuru un krāsu (6.pielikums).
332. Cauruļvadu pamatmarķējums ir gredzens krāsā, kas atbilst vielai, kurai paredzēts cauruļvads (7.pielikums).
333. Ja nepieciešams, pamatmarķējumu papildina ar citiem gredzeniem, kas norāda konkrēto mērķi, kuram attiecīgā viela (šķidrums) cauruļvadā ir paredzēta.
334. Sistēmās, kur cauruļvada marķēšanai pietiek ar pamatmarķējumu, kas norāda uz cauruļvada saturu, to marķē ar 150 mm platu 7.pielikuma tabulā noteikto attiecīgas krāsas gredzenu cauruļvada vidusdaļā.
335. Sistēmās, kur ir svarīga precīza norāde, kādam mērķim attiecīgā cauruļvada saturs ir paredzēts (piemēram, drošībai), to marķē ar šo noteikumu 334.punktā noteikto pamatmarķējumu, kā arī ar 100 mm platu attiecīgas krāsas gredzenu un 150 mm platu pamatmarķējuma krāsas gredzenu uz katru pusi no šo noteikumu 334.punktā noteiktā pamatmarķējuma cauruļvadu savienojumu vietās, abās pusēs no vārstiem, apkalpojamajām iekārtām, starpsienām, sienām, caur kurām cauruļvads iet, un citās vietās, kur marķējums ir nepieciešams.
336. Ja nepieciešams, cauruļvadu papildus marķē ar attiecīgiem drošības simboliem (melniem uz tīras krāsas pamatnes) un bultām, kas norāda plūsmas virzienu cauruļvadā.
337. Uz kuģa aizliegts:
337.1. aizkraut gaiteņus, durvis un trapus;
337.2. žāvēt apģērbu un citus priekšmetus vai materiālus uz ūdens tvaika cauruļvadiem un apkures sistēmas elementiem;
337.3. lietot apgaismes ķermeņus bez aizsargkupoliem vai aizsargsietiem;
337.4. aptīt apgaismes ķermeņus ar papīru, audumu vai citu degtspējīgu materiālu;
337.5. glabāt:
337.5.1. degvielu un eļļu vaļējos traukos;
337.5.2. mitrus beramus un iepakotus materiālus;
337.5.3. degtspējīgus priekšmetus vai materiālus zem iekšējiem trapiem;
337.5.4. ar eļļu, petroleju vai šķidinātājiem piesūcinātas lupatas un citus materiālus;
337.5.5. krāsas vai šķīdinātājus vienā telpā ar pakulām, kokvilnas audumu, tīrāmajām lupatām un citiem šķiedru materiāliem;
337.5.6. šķidrumus, kas aizdedzināti ir spējīgi patstāvīgi degt pēc aizdedzināšanas avota iedarbības izbeigšanās un kam uzliesmošanas temperatūra nav lielāka par 61 ºC slēgtā tīģelī (turpmāk - viegli uzliesmojošs šķidrums), un viegli degtspējīgus materiālus tiem neparedzētās vietās;
337.5.7. pirotehniskos līdzekļus tiem neparedzētās vietās;
337.5.8. pirotehniskos līdzekļus, kuriem beidzies derīguma termiņš;
337.6. izmantot:
337.6.1. viegli uzliesmojošos šķidrumus netīru vai eļļainu mehānismu detaļu mazgāšanai un attaukošanai;
337.6.2. ugunsnedrošus mazgāšanas līdzekļus un šķīdumus mēbeļu un paklāju tīrīšanai;
337.6.3. viegli uzliesmojošas krāsas telpu krāsošanai;
337.6.4. pārnēsājamās elektroierīces (piemēram, gludekļus, tējkannas, plītiņas, elektriskos sildītājus) telpās, kas nav attiecīgi iekārtotas šo ierīču lietošanai;
337.6.5. nestandarta elektrodrošinātājus;
337.7. izmantot atklātu liesmu:
337.7.1. tilpnēs, kravas un balasta tilpnēs, visu veidu viegli uzliesmojošo šķidrumu glabātavās, kā arī pie to vēdināšanas kanālu izvadu atverēm, izņemot gadījumus, ja ir veikti atbilstoši ugunsdrošības pasākumi;
337.7.2. tuvu atvērtām degvielas un eļļas kravas tilpņu un tvertņu lūkām;
337.7.3. noliktavās, kur glabā kravas šļūtenes, krāsas, pakulas, tīrāmās lupatas un citus materiālus, kas viegli aizdegas;
337.7.4. telpās, kur glabā sauso pārtiku;
337.7.5. galdnieku darbnīcā;
337.7.6. ventilācijas šahtu un ventilācijas kanālu izvadu tuvumā, kur var veidoties degtspējīgu gāzu, tvaiku vai putekļu maisījumi;
337.7.7. viegli uzliesmojošu materiālu tuvumā;
337.7.8. tuvāk par 10 metriem kartona tarai, kokvilnas un citām ugunsnedrošām šķiedrveida kravām;
337.7.9. kuģa akumulatoru telpās;
337.7.10. tuvāk par 10 metriem no acetilēna un citu degtspējīgu gāzu baloniem;
337.7.11. iekšdedzes dzinēja tuvumā tā remonta laikā.
338. Telpās, kur neatrodas cilvēki, apgaismojums ir izslēgts, izņemot telpas, kurās paredzēts dežūrapgaismojums.
339. Kuģa apkalpes un pasažieru bagāžā aizliegts pārvadāt sprāgstošas, viegli uzliesmojošas un citas ugunsbīstamas vielas un priekšmetus.
9.2. Konstruktīvā ugunsdrošība
340. Dzīvojamās un apkalpošanas telpās izmanto vienu no šādām aizsardzības metodēm:
340.1. I F metode - visu iekšējo degtnespējīgo B vai C klases nodalījumu starpsienu konstrukcija vispārējā gadījumā bez aizdegšanās atklāšanas ierīcēm un sprinkleru sistēmas dzīvojamās un apkalpošanas telpās;
340.2. II F metode - automātiskās sprinkleru un ugunsgrēka trauksmes sistēmas nodrošināšana ugunsgrēka atklāšanai un dzēšanai visos nodalījumos, kur tas varētu izcelties, vispārējā gadījumā bez ierobežojumiem attiecībā uz iekšējo starpsienu tipu;
340.3. III F metode - automātiskās sprinkleru un ugunsgrēka trauksmes sistēmas nodrošināšana ugunsgrēka atklāšanai un dzēšanai visos nodalījumos, kur tas varētu izcelties, vispārējā gadījumā bez ierobežojumiem attiecībā uz iekšējo starpsienu tipu. Dzīvojamās telpas platība vai tādas telpas platība, kas robežojas ar A vai B klases nodalījumu, nedrīkst pārsniegt 50 m2. Kolektīvām telpām inspekcija var šo platību palielināt līdz 75 m2.
341. Visām trijām metodēm noteiktas kopīgas prasības degtnespējīgu materiālu lietošanai konstrukcijās un izolācijā starp sienām, kas robežojas ar mašīntelpām, kontroles punktiem un aizsardzībai iekļautajās kāpņu telpās un koridoros.
342. Uz kuģiem, kuru garums ir mazāks par 24 metriem, ievēro šādas prasības:
342.1. ja tērauda klāji vai tērauda starpsienas dzīvojamās telpās vienlaikus ir arī degvielas kravas tilpnes sienas vai griesti, tos noklāj ar vismaz 40 mm biezu degtnespējīga materiāla izolācijas slāni. Degvielas kravas tilpņu lūkas vai citas atveres neizvieto dzīvojamās telpās;
342.2. ārējās starpsienas un kuģa sānus, kas robežojas ar dzīvojamajām vai kravas telpām, izgatavo no tērauda. Koka kuģos tās izgatavo no divām koka kārtām ar divām filca vai līdzvērtīga materiāla starpkārtām vai no 60 mm bieza koka ar izolācijas plātnes oderējumu;
342.3. ja starp dzīvojamām telpām un mašīntelpu ir paredzētas durvis, tās ir pašaizverošas un izgatavotas no tērauda. Ir atļauts ierīkot durvis starp kambīzi un ēdamtelpu ar nosacījumu, ka tās (tāpat kā apkalpošanas lūka) ir izgatavotas no uguns izplatīšanos neveicinoša materiāla.
343. Uz kuģiem, kuru garums ir mazāks par 15 metriem, ievēro šādas prasības:
343.1. mašīntelpu starpsienām un klājiem (ieskaitot durvis, lūkas un griestus) noteikta B-15 klases liesmu integritāte;
343.2. ja korpuss ir no alumīnija vai viegli uzliesmojoša materiāla, jebkurai starpsienai mašīntelpas perimetrā noteikta B-15 klases liesmu integritāte līdz 300 mm zem mazākās iegrimes ūdenslīnijas;
343.3. pretliesmu izolāciju izvieto mašīntelpas iekšpusē. Kuģiem ar tērauda korpusu izvietojums ir brīvs;
343.4. naftas produktu un naftas produktu atlieku tvertnes, kas izgatavotas no alumīnija un ir uzstādītas mašīntelpās, vai to sienas (plaknes), kas robežojas ar mašīntelpām, izolē atbilstoši B-15 klases liesmu integritātei vai lieto speciālu liesmu izturīgu izolējošu krāsu, kam ir ekvivalenta izolējošā vērtība. Sienas, kas robežojas ar kuģa korpusu, neizolē;
343.5. naftas produktu un naftas produktu atlieku tvertnes, ja tās ir daļa no kuģa konstrukcijas un izgatavotas no stiklšķiedras, var uzstādīt mašīntelpā, ar nosacījumu, ka to augšējā virsma ir zem vismazākās iegrimes ūdenslīnijas, un to brīvās virsmas, kas vērstas pret mašīntelpu vai mašīnnodalījumu, izolē atbilstoši B-15 klases liesmu integritātei;
343.6. naftas produktu un naftas produktu atlieku tvertnes, kas izgatavotas no stiklšķiedras un uzstādītas ārpus mašīntelpām katlu, radiatoru vai līdzīga ārēja siltuma avota tuvumā, atbilst šo noteikumu 343.5.apakšpunkta nosacījumiem;
343.7. mašīntelpās vai mašīnnodalījumos izmantotos izolācijas materiālus pārklāj ar degtnespējīgu apdari, kas nepieļauj naftas produktu vai to tvaiku caurplūšanu;
343.8. to cauruļvadu, kabeļu un šļūteņu liesmu integritāte, kuri ved uz mašīntelpām vai mašīnnodalījumiem un no tiem, ir tāda pati kā šķērsojamajām starpsienām, klājiem un sānu sienām;
343.9. savienojumos, kas izvietoti zemāk par kuģa ekspluatācijas lielākās iegrimes ūdenslīniju, nelieto materiālus, kas karstuma iespaidā viegli noārdās;
343.10. dzīvojamajās telpās (ieskaitot stūres māju) izmanto tikai degtnespējīgus izolācijas materiālus.
344. Tankkuģos un degvielas uzpildes kuģos, kuri pārvadā naftu saturošus produktus, kravas sūkņi un sistēmas ir izvietotas ar labu ventilāciju nodrošinātā speciālā telpā ārpus mašīntelpām.
9.3. Kuģa ugunsdzēsības shēma
345. Uz kuģu (ja to bruto tilpība ir lielāka par 500) augšējā klāja pie trapa vai pie stūres mājas priekšējās sienas speciālā ūdensdrošā skapī vai penālī, uz kura ir 400 x 300 mm liela norāde, atrodas kuģa ugunsdzēsības shēma ar norādījumiem varbūtējā ugunsgrēka dzēšanai. Ja šis skapis vai penālis atrodas citā vietā, uz kuģa augšējā klāja pie trapa vai pie stūres mājas priekšējās sienas ir 400 x 300 mm liela norāde par shēmas atrašanās vietu.
346. Kuģa ugunsdzēsības shēmā norāda:
346.1. ūdensnecaurlaidīgo starpsienu un ar ugunsizturīgām konstrukcijām norobežotu telpu izvietojumu;
346.2. iekļūšanai kuģa telpās paredzēto durvju izvietojumu uz kuģa klājiem, norādot šo durvju konstrukciju un aizvēršanas veidu;
346.3. iespējamos cilvēku evakuācijas ceļus no kuģa telpām uz drošu vietu;
346.4. vietas uz kuģa, kur notiek ugunsdzēsības kontrole un vadīšana, kā arī pretugunsgrēka aizsardzības sistēmu stāvokļa un darbības kontrole un vadīšana;
346.5. kuģa ugunsdzēsības sistēmas, kuģa zonas un telpas, ko tās aizsargā, šo sistēmu iedarbināšanas un vadības pulšu atrašanās vietas;
346.6. ugunsdzēsības tehnikas, ugunsdzēsības sistēmu krānu, ugunsdzēsības līdzekļu un inventāra atrašanās vietas;
346.7. piespiedu ventilācijas vadības pulšu, ventilācijas kanālu un aizbīdņu atrašanās vietas;
346.8. ugunsgrēka signalizācijas tipu, signāldevēju atrašanās vietas un signāla veidu;
346.9. ugunsdzēsības tehniskā aprīkojuma numerāciju (skaitot no kuģa priekšgala uz pakaļgalu, no labā uz kreiso bortu un no augšas uz leju).
347. Visi paskaidrojumi kuģa ugunsdzēsības shēmā ir latviešu un angļu valodā.
348. Attiecībā uz ugunsdrošības organizatoriskajiem pasākumiem un apkalpes pienākumiem ugunsdrošības jomā piemēro SOLAS konvencijas un nacionālo normatīvo aktu prasības.
9.4. Ugunsdrošības prasības kuģa telpās un tilpnēs
9.4.1. Dzīvojamās, dienesta un saimniecības telpas
349. Klāja paklājus gaiteņos, dzīvojamās un dienesta telpās izgatavo no ugunsdroša materiāla, kas neveicina uguns izplatīšanos. Aizkarus, mēbeļu pārvalkus, spilvenus un matraču apvalkus izgatavo no degtnespējīga materiāla vai piesūcina ar pretuguns aizsardzības vielu. Šo piesūcināšanu veic ne retāk kā reizi divos gados. Matraču un spilvenu piepildīšanai nelieto vati un vatei līdzīgus materiālus.
350. Lazaretes telpās ievēro šādas prasības:
350.1. elektriskās sildīšanas iekārtas nostiprina uz speciāla degtnespējīga materiāla paliktņa;
350.2. sistemātiski pārbauda elektrisko medicīnas aparātu tehnisko stāvokli;
350.3. rentgena uzņēmumu materiālus glabā slēgtā metāla skapī vai kastē;
350.4. degtspējīgus medikamentus un pārsienamos materiālus (piemēram, vati, saites) glabā atsevišķi no viegli uzliesmojošiem šķidrumiem (piemēram, spirta, ētera, joda) tā, lai tie nepieskartos sildierīcēm.
351. Sanitārās higiēnas telpās (piemēram, dušās, pirtīs, veļas mazgātavās) apgaismes ķermeņu armatūra ir ūdensdroša. Pirtīs un dušas telpās aizliegts uzstādīt pagaidu elektriskās sildierīces, elektroinstalāciju, kontaktrozetes.
352. Kambīzes iekārtas pastāvīgi uztur darba kārtībā, veic to tehnisko apkopi un ekspluatē saskaņā ar ražotāja dokumentācijas prasībām.
353. Sašķidrinātās gāzes plīšu uzstādīšana, vēdināšana, gāzes padeves automātiska pārtraukšana, ja nodzisusi degļa liesma, kā arī balonu uzstādīšana un cauruļvadu montāža kambīzē atbilst SOLAS konvencijas II-1.nodaļas A-1.daļas 3-1.noteikuma prasībām.
354. Gāzes cauruļvadu savienojumu hermētiskumu atbilstoši tehniskās ekspluatācijas noteikumu prasībām pārbauda ar ziepju emulsiju.
355. Kambīzē aizliegts:
355.1. žāvēt veļu un specapģērbu virs plītīm;
355.2. uzglabāt eļļainas lupatas;
355.3. nepiederošām personām izmantot kambīzes iekārtu;
355.4. tīrot kambīzes plītis, apliet tās ar ūdeni.
356. Žāvēšanas telpās ievēro noteikto temperatūras režīmu. Temperatūra žāvēšanas telpās nedrīkst pārsniegt 60 ºC. Aizliegts žāvēšanas telpās žāvēt eļļainus tērpus un audumus. Pirms apģērba ievietošanas žāvētavā pārliecinās, vai tajā nav palikuši sērkociņi, šķiltavas, cigaretes vai citi priekšmeti, kas viegli aizdegas.
9.4.2. Sabiedriskās telpas
357. Sabiedriskajās telpās (piemēram, skatītāju zāles, kopkajīte, ēdnīca, bibliotēka) ievēro šādas prasības:
357.1. mēbeles, mūzikas instrumentus un citus priekšmetus novieto tā, lai netiktu aizsprostotas ejas un izejas;
357.2. izejas aprīko ar avārijas apgaismojumu;
357.3. elektriskos galda ventilatorus novieto un nostiprina ne tuvāk par 0,5 metriem no iluminatoriem.
9.4.3. Darbnīcas, bocmaņa inventāra un krāsu noliktavas
358. Mehāniskajās un galdnieku darbnīcās ievēro šādas prasības:
358.1. uzglabā ne vairāk par vienas dienas patēriņam nepieciešamo koka, viegli uzliesmojoša šķidruma, krāsu, laku, tīrīšanas materiālu daudzumu, kā arī nepieciešamo daudzumu citu materiālu, kas viegli aizdegas;
358.2. viegli uzliesmojošus šķidrumus, krāsas un lakas uzglabā blīvi noslēdzamos traukos blīvi noslēgtā skapī;
358.3. tīrīšanai nepieciešamās lupatas un citus tīrīšanas materiālus uzglabā speciālās metāla kastēs atsevišķi no jau izmantotajām lupatām un citiem tīrīšanas materiāliem;
358.4. spectērpus glabā iekārtus metāla skapī;
358.5. galdnieku līmes sasildīšanai lieto speciālu ūdens vannu šim nolūkam paredzētā un sagatavotā vietā;
358.6. katru dienu pirms darba beigām ražošanas atkritumus no darba vietas pārvieto uz noteiktām drošām vietām;
358.7. ne retāk kā reizi mēnesī no telpu griestiem un sienām notīra putekļus;
358.8. tehnoloģiskās iekārtas atslēdz no elektrotīkla, pirms uzsākt to tīrīšanu.
359. Bocmaņa inventāra noliktavā ievēro šādas prasības:
359.1. visus priekšmetus un materiālus izvieto, ievērojot to savietojamības nosacījumus;
359.2. materiālus izvieto tā, lai tie nebūtu pakļauti ūdens, eļļas, petrolejas vai krāsu iedarbībai;
359.3. glabājamo materiālu stāvokli periodiski pārbauda un mitros materiālus izžāvē;
359.4. viegli degtspējīgu materiālu (piemēram, darvotu pakulu, tīrāmo lupatu) atrašanās vietu norobežo;
359.5. plauktos izvietotie priekšmeti un materiāli nedrīkst atrasties tuvāk par 0,5 metriem no elektriskās instalācijas, apgaismes un sildiekārtām (ja attiecīgo materiālu ražotāju tehniskajos noteikumos norādīts lielāks attālums, jāievēro attiecīgie noteikumi).
360. Krāsu noliktavās ievēro šādas prasības:
360.1. viegli uzliesmojošus šķidrumus, kuru uzliesmojuma temperatūra slēgtā tīģelī ir zemāka par 23 ºC, glabā blīvi noslēdzamos metāla traukos;
360.2. kopējais degtspējīga šķidruma daudzums nepārsniedz 250 litru;
360.3. visas mucas un tvertnes, kurās glabā viegli uzliesmojošu šķidrumu, ir aizvērtas, labi nostiprinātas un zem tām izvieto speciālas savācējvanniņas;
360.4. degtspējīgus šķidrumus iepilda tvertnēs ar mehānisko vai rokas sūkni;
360.5. izlietu degtspējīgu šķidrumu nekavējoties savāc, vietu, kur izlijis šķidrums, rūpīgi nosusina, pēc tam telpu labi izvēdina;
360.6. vietējai apgaismošanai izmanto sprādziendrošas konstrukcijas pārnēsājamos lukturus;
360.7. nedrīkst izmantot sastatņu plauktus no degtspējīga materiāla;
360.8. telpas katru dienu vēdina;
360.9. telpās nepārtraukti uztur tīrību un kārtību;
360.10. degtspējīgus šķidrumus izsniedz tikai diennakts gaišajā laikā;
360.11. mucu un citas taras atvēršanai lieto instrumentus, kas neizraisa dzirksteļošanu;
360.12. aizliegts valkāt apavus, kas saskarē ar kuģa konstrukcijām var izraisīt dzirksteļošanu;
360.13. aizliegts uzglabāt tīrāmās lupatas, pakulas, tukšu taru, mitru un eļļainu brezentu;
360.14. aizliegts veikt neparedzētus darbus.
361. Uz kuģa, kura bruto tilpība ir mazāka par 300, kopējais degtspējīgo šķidrumu daudzums nepārsniedz 50 litrus, un viegli uzliesmojošus šķidrumus glabā blīvi noslēdzamos metāla traukos, hermētiski noslēdzamos metāla skapjos vai kastēs. Uz skapja durvīm vai kastes vāka izvieto brīdinājuma zīmi vai uzrakstu latviešu un angļu valodā "Ugunsnedrošs! Nesmēķēt!". Šajos skapjos glabā arī piekaramos laivu motorus.
9.4.4. Mašīnu, katlu un saldējamo iekārtu telpas
362. Mašīnu, katlu un saldējamo iekārtu telpās ievēro šādas prasības:
362.1. neuzglabā degtspējīgus šķidrumus;
362.2. kontrolē, lai degtspējīgi šķidrumi neuzkrātos satecēs;
362.3. eļļainās lupatas un citus tīrīšanas materiālus uzglabā speciālā metāla kastē ar ietilpību, ne mazāku par 0,125 kubikmetriem, kas novietota ne tuvāk par vienu metru no karstām neizolētām caurulēm, mašīnu daļām un katliem, ar blīvu vāku, uz kura ir uzraksts "Kaste eļļainiem materiāliem";
362.4. eļļaino lupatu un citu tīrīšanas materiālu kastes iztukšo katras sardzes beigās;
362.5. nelietotas lupatas un citus tīrīšanas materiālus uzglabā speciālā aizvākotā metāla kastē ar uzrakstu "Tīras lupatas";
362.6. smērvielas glabā metāla tvertnēs ar krānu. Tvertnes novietotas speciāli noteiktās vietās;
362.7. smērvielu kanniņas un citus mazos traukus uzglabā speciālos metāla skapjos, ligzdās, lai tie nevarētu brīvi pārvietoties;
362.8. aizliegts aizsprostot ejas ar iekārtām, instrumentiem, priekšmetiem un materiāliem;
362.9. pastāvīgi uztur darba kārtībā aprīkojumu durvju ciešai aizvēršanai;
362.10. vēdināšanas sistēmas pastāvīgi uztur darba kārtībā, nodrošina to regulāru attīrīšanu no putekļiem un citiem netīrumiem;
362.11. ventilācijas cauruļu izvadus aprīko ar aizbīdņiem, kas nodrošina to pilnīgu noslēgšanu;
362.12. aizliegts uzglabāt kokmateriālu izstrādājumus, izņemot avārijas komplektus, kas ir speciāli apstrādāti pret aizdegšanos;
362.13. ugunsdrošības stāvokli telpās (tajā skaitā dzenskrūves tunelī un sūkņu telpās) pārbauda ne retāk kā reizi diennaktī, kontrolējot visu ugunsdzēsības sistēmu tehnisko stāvokli, un konstatētos trūkumus nekavējoties novērš;
362.14. gaisa vadu, pretuguns iekārtu, gaismas lūku, galveno un rezerves izeju stāvokli pārbauda ne retāk kā reizi nedēļā un konstatētos trūkumus nekavējoties novērš.
363. Mašīnu un katlutelpu durvju ailēs aizliegts izvietot komunikācijas (piemēram, elektriskos kabeļus, cauruļvadus, šļūtenes). Ārkārtējos gadījumos (mašīnu vai iekārtu avārijas remonts) šo durvju ailēs uz laiku var ierīkot pagaidu komunikācijas, nodrošinot nepieciešamos ugunsdrošības pasākumus un izdarot attiecīgu ierakstu mašīnas sardzes žurnālā.
364. Mašīntelpā ievēro šādas prasības:
364.1. uz katra iekšdedzes dzinēja redzamā vietā ir uzraksti ar aizliegumu atvērt kartera lūkas ātrāk kā 10 līdz 20 minūtes pēc dzinēja apstāšanās;
364.2. iekšdedzes dzinējus un degvielas cauruļvadus aprīko ar notekkanāliem, kas nodrošina noplūdušās degvielas savākšanu;
364.3. degvielas un eļļas tvertņu avārijas noslēgvārstus pastāvīgi uztur darba kārtībā;
364.4. uz atgāžu kolektoru izolācijas virsmas temperatūra nedrīkst pārsniegt 60 ºC;
364.5. visas virsmas, kuru temperatūra darba laikā pārsniedz 60 ºC, izolē ar degtnespējīgu siltumizolāciju, kas ir pārklāta ar metāla vai cita naftas produktus neuzsūcoša materiāla apvalku;
364.6. aizliegts ekspluatēt dzinējus, kam nav atgāzu kolektoru siltumizolācijas vai tā ir bojāta;
364.7. uz kuģiem, kas pārvadā kravas, kas viegli uzliesmo un viegli aizdegas, kā arī uz velkoņiem, kas apkalpo šos kuģus, atgāzu dūmeņus aprīko ar dzirksteļu un liesmu slāpētājiem;
364.8. zem visām tvertnēm, filtriem, sūkņiem un citām iekārtām, vietās, kur var notikt naftas produktu noplūde, novieto notekvanniņas ar notekcaurulēm un noliešanas krāniem;
364.9. zem lielgabarīta tvertņu armatūras izvieto notekvanniņas produkta notecējumu savākšanai;
364.10. degvielas un citu naftas produktu kravas tilpņu un tvertņu iekšējo apskati veic tikai pēc to iztīrīšanas, degazācijas un iekšējās vides analīzes, ja kravas tilpnēs un tvertnēs nav bīstamu tvaiku vai gāzu un gaisa maisījumu;
364.11. naftas produktus kravas tilpnēs un tvertnēs silda tikai līdz temperatūrai, kas ir par 10 ºC zemāka nekā attiecīgā naftas produkta uzliesmošanas temperatūra.
365. Katlutelpā ievēro šādas prasības:
365.1. pastāvīgi kontrolē degvielas un eļļas noplūdi no cauruļvadiem, telpā izvietotajām ierīcēm un pēc iespējas samazina šo noplūdi;
365.2. pastāvīgi uzrauga katla oderējuma (ugunsdrošo ķieģeļu klājuma) stāvokli un atjauno oderējumu, ja radušies bojājumi;
365.3. pastāvīgi uztur darba kārtībā katla siltumizolāciju;
365.4. katla kurtuvēs aizliegts sadedzināt tīrāmās lupatas, pakulas un citus degtspējīgus atkritumus;
365.5. degvielas aparatūru remontē un tīra speciāli šim nolūkam paredzētās vietās, izmantojot notekvanniņas;
365.6. pastāvīgi uzrauga, lai nenotiktu degvielas noplūde kurtuvē;
365.7. notekvanniņās satecējušo degvielu sardzes beigās izlej šim nolūkam paredzētās tvertnēs;
365.8. petroleju degvielas aparatūras mazgāšanai glabā speciālā blīvi noslēdzamā metāla traukā vienas sardzes patēriņam nepieciešamajā daudzumā, izmantoto petroleju un tīrāmās lupatas pēc darba beigšanas iznes no katlutelpas;
365.9. aizliegts ienest viegli uzliesmojošus šķidrumus un naftas produktus, kam uzliesmojuma temperatūra ir zemāka par 23 ºC (piemēram, benzīns, acetons);
365.10. neautomatizēto katlu darbības laikā un laikā, kad kurtuve vēl ir auksta, sprauslas aizdedzina tikai ar lāpu;
365.11. aizliegts iedarbināt un ekspluatēt katlu, kura tehniskais stāvoklis neatbilst ekspluatācijas instrukcijas prasībām;
365.12. pirms katras iziešanas jūrā, bet ne retāk kā reizi mēnesī pārbauda visu ugunsdrošības ierīču un sistēmu darbību.
366. Saldējamo iekārtu telpās ievēro šādas prasības:
366.1. atklājot amonjaka noplūdi (caur kompresora blīvslēgiem, armatūru vai cauruļu savienojumiem), nekavējoties to novērš;
366.2. aizliegts lietot atklātu liesmu atvērtu cilindru, kartera, starptrauku un kompresora detaļu apskatei;
366.3. aizliegta saldējamo iekārtu sistēmu pārbaude ar gaisa un amonjaka maisījumu;
366.4. vēdināšanas sistēmas uztur pastāvīgā darba kārtībā, tās ir autonomas un pietiekami efektīvas;
366.5. ierīko avārijas vēdināšanas sistēmu, kas telpās ar amonjaka iekārtām nodrošina četrdesmitkārtēju gaisa apmaiņu stundā, bet telpās ar citu vielu aukstuma iekārtām - divdesmitkārtēju gaisa apmaiņu stundā;
366.6. katras sardzes laikā pārbauda, vai avārijas vēdināšanas iekārtas ir darba kārtībā;
366.7. ja tiek izmantota amonjaka iekārta, ūdens izsmidzināšanas iekārtu uztur pastāvīgā darba kārtībā;
366.8. katras ieejas tuvumā novieto divus izolējošos elpošanas aparātus un divus gāzes necaurlaidīgo tērpu komplektus.
9.4.5. Sauskravas kuģu kravas tilpnes
367. Stacionāro ugunsdzēsības sistēmu izvirzītās detaļas un aprīkojumu aizsargā no iespējama nejauša mehāniska bojājuma kravas operāciju laikā.
368. Pirms iekraušanas operāciju uzsākšanas pārbauda tilpņu gatavību kravas iekraušanai, kā arī sateču ūdeņu un atsūknēšanas sistēmu stāvokli.
369. Uz tilpņu lūku apmalēm labi redzamā vietā izvieto uzrakstus latviešu un angļu valodā "Nesmēķēt".
370. Pēc izkraušanas tilpnes rūpīgi attīra no separācijas un taras atliekām un citiem degtspējīgiem atkritumiem.
371. Ja tilpnē atrodas ugunsbīstama krava, uz tās lūkas vāka un tā tuvumā aizliegts izvietot klāja kravu, lai būtu nodrošināta iespēja jebkurā brīdī atvērt lūku.
372. Starpklāja lūkas tur atvērtas tikai kravas operāciju laikā un tad, kad tilpnēs nav kravas.
373. Ja tilpnēs izmanto elektroiekrāvējus vai citus mazās mehanizācijas līdzekļus, to ugunsdrošību pārbauda speciāla komisija. Komisiju izveido stividorkompānija, kas nodrošina kravas operācijas. Elektroiekrāvēju vai citu mazās mehanizācijas līdzekļu riteņu gumijas apvalki nav bojāti, iekšdedzes dzinējus aprīko ar drošiem dzirksteļu slāpētājiem un nenotiek degvielas vai eļļas noplūde.
9.5. Elektrisko tīklu, elektroiekārtu un elektrisko sildāmierīču ekspluatācija
374. Kuģa elektroiekārtu tehniskais stāvoklis ļauj nodrošināt nepārtrauktu elektroenerģijas piegādi visiem mehānismiem, sistēmām un ugunsdzēsības iekārtām. Bojātu elektroiekārtu atslēdz no tīkla un veic drošības pasākumus, lai to nevarētu nejauši ieslēgt, šādi izraisot ugunsgrēku.
375. Elektrodzinēju nekavējoties atslēdz no tīkla šādos gadījumos:
375.1. no elektrodzinēja vai tā palaišanas un regulēšanas ierīcēm parādās dūmi vai liesma;
375.2. novērojama intensīva gultņu, elektromagnētisko bremžu vai dzinēja korpusa sasilšana.
376. Elektrodzinēja darbības laikā regulāri seko līdzi tā temperatūras režīmam.
377. Ikdienas apskates laikā kontrolē, lai elektrodzinējus neskar mitrums, uz tiem nav eļļas palieku un neatrodas nepiederoši priekšmeti (piemēram, instrumenti, tīrīšanas materiāli), kā arī kontaktgredzenu (kolektoru) un suku stāvokli un tīrību.
378. Periodiskās elektroiekārtu apskates veic saskaņā ar izgatavotāju instrukcijām, bet, ja tādu nav, - saskaņā ar kuģa elektroiekārtu ekspluatācijas noteikumiem.
379. Regulāri attīra kontaktgredzenus (kolektorus) no ogļu putekļiem un kvēpiem. Dzirksteļošana nedrīkst būt lielāka par 1,25 ballēm.
380. Pirms tīrīšanas elektrodzinēju vai ģeneratoru apstādina un atslēdz no tīkla, kondensatoru izlādē uz korpusu.
381. Elektrisko mašīnu mazgāšanai un tīrīšanai aizliegts lietot viegli uzliesmojošus šķidrumus. Lieto tikai speciālus ugunsdrošus mazgāšanas līdzekļus.
382. Akumulatora telpās ievēro šādas prasības:
382.1. ierīko pastāvīgas darbības pieplūdes un velkmes vēdināšanas iekārtu;
382.2. vēdināšanas sistēmu nodrošina pret dzinēju un katlu dūmeņu dzirksteļu nejaušu iekļūšanu tajā;
382.3. ja akumulatora telpas ir aprīkotas ar piespiedu vēdināšanu, tās vēdina pirms akumulatoru uzlādēšanas;
382.4. akumulatorus nedrīkst pārbaudīt ar īssavienojumu;
382.5. lieto tikai sprādziendrošus lukturus;
382.6. mērot akumulatora elementu spriegumu zem slodzes, mērītāja pogu ieslēgtā stāvoklī tur ne ilgāk par piecām sekundēm;
382.7. lietojot slodzes mērītājus, visā akumulatoru uzlādēšanas laikā nodrošina intensīvu velkmes vēdināšanu;
382.8. elektrolīta līmenis sārmu akumulatoros nedrīkst būt zemāks par 5-12 milimetriem virs platēm, skābes akumulatoros - par 12-15 milimetriem virs platēm;
382.9. ja akumulatoru uzlādēšanas laikā ļoti intensīvi izdalās gāzes, samazina strāvu un paildzina uzlādēšanas laiku;
382.10. kastes ar akumulatoriem un atsevišķi novietotos akumulatorus nostiprina tā, lai tie nevarētu pārvietoties, kuģim šūpojoties un vibrējot;
382.11. akumulatoru kastes ir tīras un sausas;
382.12. sārmu akumulatora korpusa rūsu (koroziju) noņem ar petrolejā samērcētu tīru lupatu, rūsas noņemšanai aizliegts izmantot metāla priekšmetus;
382.13. strādājot ar atslēgām vai citiem metāla instrumentiem, jāseko, lai nerastos īssavienojums, kas var izraisīt dzirksteļošanu;
382.14. sārmu un skābes akumulatorus aizliegts glabāt vienā vietā;
382.15. telpu krāso ar skābju un sārmu noturīgām krāsām;
382.16. akumulatoru spailes un savienojumu uzgaļus uztur tīrus un cieši pievilktus;
382.17. aizliegts izmantot elektriskās sildierīces;
382.18. vietās, kur glabā elektrolītu un kur to izgatavo, aizliegts uzglabāt viegli uzliesmojošus iepakojuma materiālus;
382.19. ir instrukcija par ugunsdrošību.
383. Akumulatora telpas ir aizslēgtas. Uz to durvīm ir uzraksts latviešu un angļu valodā "Akumulatori! Sprādzienbīstams! Ar atklātu uguni netuvoties!".
384. Prasības attiecībā uz drošinātājiem:
384.1. drošinātāji ir cieši ievietoti tiem paredzētajās ligzdās, skrūvējamie drošinātāji ir cieši ieskrūvēti ligzdās tā, lai tie neizskrūvētos kuģa vibrācijas ietekmē;
384.2. slēgdēlī pie katra drošinātāja ir plāksnīte ar šādiem datiem:
384.2.1. kam paredzēts attiecīgais drošinātājs;
384.2.2. drošinātāja nominālā strāvas vērtība;
384.3. drošinātāji ir rūpnieciski izgatavoti.
385. Īslaicīgi lietot nestandarta svina vai kapara vadu drošinātājus atļauts tikai izņēmuma gadījumos, ja kuģis atrodas jūrā un nav pieejami rūpnieciski izgatavoti drošinātāji, ņemot vērā lietojamā vada šķērsgriezuma laukumu atkarībā no pieļaujamās slodzes (par nestandarta drošinātāja uzstādīšanu izdara atzīmi mašīnas sardzes žurnālā un, kuģim atgriežoties ostā, nestandarta drošinātāju nekavējoties nomaina pret rūpnieciski izgatavotu drošinātāju).
386. Prasības attiecībā uz apgaismojumu:
386.1. visus apgaismojuma elektriskos tīklus uztur darba kārtībā;
386.2. aizliegts izmantot gaismas ķermeņus bez aizsargkupola un sietiem;
386.3. spuldzes visos gaismas ķermeņos ieskrūvē līdz galam, aizliegts lietot spuldzes ar uzlodētiem uzgaļiem un ar lielāku jaudu, nekā paredzēts attiecīgajam gaismas ķermenim;
386.4. pārbaudot ugunsdrošību telpās, lieto tikai pārnēsājamus sprādziendrošus zemsprieguma lukturus (šo lukturu ekspluatācijas drošību pārbauda ne retāk kā reizi 10 diennaktīs);
386.5. ne retāk kā reizi trijos mēnešos atver visus apgaismes slēgdēļus un spuldžu kārbas, pārbauda kontaktu stiprinājumus un tos notīra, bojātās ligzdas un slēdžus nomaina;
386.6. sprādziendrošos gaismas ķermeņus pārbauda ne retāk kā reizi diennaktī;
386.7. gaismas ķermeņos nedrīkst atrasties pārkaltušas, no vadiem un kabeļiem nobirušas izolācijas daļas;
386.8. pārnēsājamo lukturu strāvu vadošās daļas, kabelis un gaismekļa armatūra ir izolēta no korpusa, luktura aizsargrežģi un kupoli ir nebojāti;
386.9. pārnēsājamo lukturu izolāciju pārbauda ne retāk kā reizi mēnesī;
386.10. lukturu, vadu un lampu bojājumus, ko atklāj apskates laikā, nekavējoties novērš, bojātas pārnēsājamās elektroiekārtas atslēdz no tīkla un aizvāc no to izmantošanas vietas.
387. Prasības attiecībā uz elektriskajām sildierīcēm:
387.1. pirms elektriskās sildierīces pieslēgšanas tīklam pārliecinās, ka to tuvumā nav degtspējīgu priekšmetu (piemēram, papīrs, audums, koksne) un priekšmetu, kas apgrūtina gaisa cirkulāciju;
387.2. elektrisko sildierīču korpusu (aizsargrežģus) krāso ar karstumizturīgām krāsām;
387.3. ne retāk kā reizi trijos mēnešos veic elektrisko sildierīču profilaktisko apskati un apkopi;
387.4. pirms ūdens elektrosildītāju ieslēgšanas pārliecinās, vai elektriskais sildīšanas elements ir pārklāts ar ūdeni;
387.5. sadzīves elektriskās sildierīces lieto uz kuģa tikai speciāli šim nolūkam aprīkotās telpās un vietās, gaitenī virs šo telpu durvīm uzstāda lukturi ar sarkanu aizsargkupolu (signāllampa), ko ieslēdz ar to pašu slēdzi, ar kuru ieslēdz sildīšanas ierīci;
387.6. papildu stacionāro elektrisko sildierīču uzstādīšanai nepieciešams saņemt tehniskās uzraudzības dienesta rakstisku atļauju;
387.7. uzstādot papildu stacionāro elektrisko sildierīci, ievēro šādas prasības:
387.7.1. sienu, uz kuras uzstāda sildītāju, izolē no sildītāja ar degtnespējīgu siltumizolācijas materiālu;
387.7.2. sildītāja aizsargrežģa augšpuse ir slīpa, lai uz tā nebūtu iespējams novietot nepiederošus priekšmetus;
387.7.3. telpās, kas tiek reti apmeklētas, sildītāja elektriskajā shēmā iekļauj temperatūras regulatoru, kas atslēdz sildītāju, kad gaisa temperatūra telpā pārsniedz 30 ºC.
388. Izolācijas pretestību pārbauda šādos termiņos:
388.1. kuģu elektrotīkliem, kas pieslēgti galvenajiem sadales skapjiem, - ne retāk kā reizi divās stundās;
388.2. kuģa apgaismošanas elektrotīkliem, kas pieslēgti caur galvenā sadales skapja tiešā tuvumā uzstādītiem transformatoriem un sadales skapjiem, - ne retāk kā reizi sardzes laikā;
388.3. atsevišķām svarīgām elektropiedziņām, ko pieslēdz vajadzības gadījumā (atsevišķi ieslēdzamie mehānismi un rezerves mehānismi), - ne retāk kā reizi diennaktī;
388.4. klāja mehānismu elektropiedziņām -, sagatavojot darbam un pēc darba veikšanas (atslēdzot no tīkla);
388.5. saldējamo iekārtu elektropiedziņām - pirms katras palaišanas un apstādināšanas.
389. Ja konstatē, ka izolācijas pretestība ir mazāka par normām, kas noteiktas atbilstoši SOLAS konvencijas II-1.nodaļas A-1.daļas 3-1.noteikuma prasībām, bojāto tīkla posmu atslēdz līdz izolācijas pretestības atjaunošanai.
9.6. Kuģa ventilācijas sistēmas
390. Ventilatorus apstādina un galvenās ventilācijas atveres noslēdz no vietas, kas atrodas ārpus ventilējamās telpas (ja nav noteikts citādi).
391. Dzīvojamo telpu durvīs iebūvē avārijas izejas lūku, ko atļauts veidot kā ventilācijas atveri. Šādas atveres nav atļautas kāpņu telpu durvīs un zem tām. Atveres izvieto tikai durvju apakšējā daļā. Durvīs vai zem tām esošo atveru kopējais laukums nepārsniedz 0,05 m2. Ja durvīs iestrādā šādu atveri, to apgādā ar režģi, kas izgatavots no degtnespējīga materiāla.
392. Ventilācijas kanāli uz A kategorijas mašīntelpām un kambīzēm parasti nešķērso dzīvojamās telpas, apkalpošanas telpas un kontrolpunktus. Ja inspekcija to ir atļāvusi, kanālus veido no tērauda vai līdzvērtīga materiāla un iekārto tā, lai saglabātu šo telpu ugunsdrošību.
393. Ventilācijas kanāli uz dzīvojamajām telpām, apkalpošanas telpām un kontroles telpām parasti nešķērso A kategorijas mašīntelpas vai kambīzes. Inspekcija var atļaut šādu risinājumu ar nosacījumu, ka kanāli ir konstruēti no tērauda vai līdzvērtīga materiāla un iekārtoti tā, lai saglabātu šo telpu ugunsdrošību.
394. Noliktavas, kur glabā noteiktu produktu daudzumu ar augstu uzliesmotspēju, aprīko ar ventilēšanas sistēmām, kas ir nodalītas no citām gaisa apmaiņas sistēmām. Ventilēšanu nodrošina gan telpas augšējā, gan arī apakšējā daļā, un ventilatoru ieplūdes un izplūdes atveres izvieto drošās vietās un apgādā ar dzirksteļu uztvērējiem (stiepļu sietiem).
395. Sprādzienbīstamu un ugunsbīstamu kravu pārvadāšanai paredzēto tilpņu un citu telpu ventilācijas kanālu ārējās atveres aprīko ar dzirksteļu necaurlaidīgu konstrukciju.
396. Mašīntelpu ventilācijas sistēmas nav saistītas ar sistēmām, kas nodrošina gaisa apmaiņu citās telpās.
397. Ventilācijas kanāli, kas paredzēti sprādzienbīstamu un ugunsbīstamu tvaiku un gāzu izvadīšanai, ir gāzu necaurlaidīgi, un tie nedrīkst būt savienoti ar citām ventilācijas sistēmām.
398. Ventilācijas cauruļvadu noslēdzošo ierīču darbību pārbauda ne retāk kā reizi nedēļā. Pēc konstatēto trūkumu novēršanas vēdināšanas iekārtas pārbauda atkārtoti.
9.7. Apkures iekārtas
399. Elektriskos radiatorus piestiprina un konstruē tā, lai aizdegšanās risks būtu minimāls. Radiatorus aprīko ar elementiem tā, lai apģērbs, aizkari vai citi līdzīgi materiāli neaizdegtos no elementa izstarotā karstuma.
400. Krāsnis un citas līdzīgas iekārtas stingri nostiprina un nodrošina ar atbilstošu ugunsaizsardzību un izolāciju zem tām, apkārt tām un ap to dūmvadiem. Dūmvadus krāsnīm, kurās izmanto cieto kurināmo, konstruē un iekārto tā, lai risks, ka tos varētu bloķēt sadegšanas produkti, būtu minimāls, un apgādā ar gatavībā esošiem tīrīšanas līdzekļiem. Aizbīdņos, kas paredzēti vilkmes ierobežošanai dūmvados, kad tie ir aizvērti, paredz nenoslēgtu gaisa spraugu, lai nodrošinātu pietiekamu vilkmi. Telpas, kurās uzstādītas krāsnis, apgādā ar pietiekama laukuma ventilatoriem, lai nodrošinātu krāsns apgādi ar degšanai nepieciešamo gaisu.
401. Neizmanto iekārtas ar atklātu gāzes liesmu, izņemot plītis (krāsnis) pārtikas gatavošanai un ūdens sildītājus. Telpas, kurās ir šādas plītis vai ūdens sildītāji, nodrošina ar atbilstošu ventilāciju degšanas gala produktu un iespējamās gāzes noplūdes izvadīšanai no telpām. Visas caurules gāzes nogādāšanai no konteinera (balona) līdz plītij vai ūdens sildītājam izgatavo no tērauda vai cita līdzvērtīga sertificēta materiāla. Plītis vai ūdens sildītājus apgādā arī ar automātiskajām gāzes padeves pārtraukšanas ierīcēm, kas iedarbojas, samazinoties gāzes spiedienam galvenajā gāzes vadā vai apdziestot liesmai jebkurā ierīcē.
402. Kuģi aprīko ar sertificētām apkures iekārtām.
9.8. Ugunsgrēka signalizācija
403. Ugunsgrēka signalizācija darbojas visos kuģa ekspluatācijas apstākļos neatkarīgi no kuģa šūpošanās, vibrācijas un krasām temperatūras izmaiņām.
404. Telpas, kurās atrodas viegli uzliesmojoši šķidrumi vai sprādzienbīstami materiāli, aprīko ar sprādziendrošu ugunsgrēka signalizāciju.
405. Visās telpās, kurās ugunsgrēka dzēšanai izmanto gāzi vai tvaiku un kurās var atrasties cilvēki, ir gaismas vai skaņas brīdinājuma signalizācija, kas iedarbojas pirms dzēšanas uzsākšanas.
406. Ne retāk kā reizi mēnesī veic ugunsgrēka signalizācijas tehnisko apkopi izgatavotājrūpnīcas noteiktajā apjomā.
407. Ja ugunsgrēka signalizācijas remonta laikā noņem signāldevējus, noņemto vietā uzstāda rezerves signāldevējus.
408. Ugunsgrēka signalizācijas pārbaudi veic reizi mēnesī. Pārbaudes laikā konstatētos bojājumus un trūkumus novērš.
409. Reizi piecos gados veic ugunsgrēka signalizācijas pasē noteikto tehnisko parametru pārbaudi. Pārbaudes rezultātus ieraksta kuģa ugunsdrošības kontroles formulārā.
410. Atzīmi par ugunsgrēka signalizācijas tehnisko apkopi, pārbaudēm un dažādu mezglu nomaiņu ieraksta kuģa mašīnas sardzes žurnālā.
411. Pie ugunsgrēka signalizācijas vadības pults atrodas pults pārbaudes un apkopes instrukcijas.
412. Uz kuģiem, kuru garums ir 15-24 metri un kuru konstrukcija ir ugunsnedroša vai kuros citu apsvērumu dēļ, izbūvējot dzīvojamās, apkalpošanas telpas un kontrolpunktus, ir izmantots ievērojams degtspējīgu materiālu daudzums, rūpīgi izvērtē automātiskās ugunsgrēka signalizācijas sistēmas uzstādīšanas nepieciešamību attiecīgajās telpās.
413. Uz kuģiem, kuru garums mazāks par 15 metriem, ievēro šādas prasības:
413.1. mašīntelpas aizsargā ar stacionārām ugunsgrēka trauksmes un ugunsdzēšanas sistēmām. Ugunsgrēka noteikšanas detektorus savieno ar vizuālo un akustisko trauksmes signalizāciju un izvieto stūres mājā un dzīvojamo telpu centrā. Sistēmas energoapgādi izvieto ārpus aizsargājamās telpas;
413.2. esošo kuģu mašīntelpas (ja to dzinēju kopējā jauda pārsniedz 150 kW) ne vēlāk kā gadu pēc šo noteikumu spēkā stāšanās apgādā ar ugunsgrēka noteikšanas sistēmām atbilstoši šo noteikumu 413.1. apakšpunktam.
9.9. Krāsošanas un izolācijas darbi
414. Lietojot krāsošanas vai izolācijas darbiem kuģa telpās krāsas, līmes vai tepes, kuru sastāvā ir degtspējīgas vielas, nodrošina intensīvu vēdināšanu ar stacionārajām vai pārvietojamajām iekārtām.
415. Veco krāsu un izolāciju kuģa telpās noņem mehāniski vai ķīmiski, nodrošinot atbilstošas intensitātes telpu vēdināšanu. Aizliegts nodedzināt veco krāsu un izolāciju.
416. Vietās, kur veic krāsošanas vai izolācijas darbus, aizliegts tajā pašā laikā veikt metināšanas darbus vai darbus ar atklātu uguni, kā arī smēķēt.
417. Izlietoto krāsu, laku, emalju un šķīdinātāju taru notīra no ārpuses un iekšpuses.
418. Alumīnija pulveri uzglabā sausā telpā blīvi noslēgtā tarā. No taras iekšpuses un ārpuses sienām pulvera nosēdumus notīra ar lupatu.
419. Pagatavojot alumīnija pulvera krāsas un tīrot taru, aizliegts izmantot metāla priekšmetus, kas var radīt dzirksteļošanu.
420. Veicot krāsošanas darbus telpās, iluminatori un durvis ir atvērti.
421. Krāsojot telpas ar ugunsbīstamām krāsām, atvieno šo telpu elektrotīklus. Krāsošanas laikā apgaismojumam lieto sprādziendrošu akumulatora lukturi vai sprādziendrošus apgaismes ķermeņus.
422. Pēc krāsošanas darbu pabeigšanas aizliegts atstāt bez uzraudzības telpu vēdināšanai atvērtos iluminatorus.
423. Aizliegts sildīt krāsas un citus degtspējīgus materiālus uz kambīzes plītīm, kā arī lietot šim nolūkam atklātu liesmu.
424. Var tīrīt, attaukot un krāsot virsmas telpās, cisternās un citās vietās, kurām ir grūti piekļūt, ja ir nodrošināta pieplūdes un velkmes vēdināšana. Telpās, kuru tilpums ir 30 līdz 250 kubikmetru, nodrošina desmitkārtēju līdz piecpadsmitkārtēju gaisa apmaiņu stundā, telpās, kuru tilpums nepārsniedz 30 kubikmetru, - piecpadsmitkārtēju līdz divdesmitpieckārtēju gaisa apmaiņu stundā.
425. Aizliegts krāsot karstas virsmas un spriegumaktīvas elektroiekārtas.
426. Veicot krāsošanas darbus, periodiski pārbauda gaisa sastāvu. Aizliegts veikt krāsošanas darbus, ja ugunsbīstamo vielu, gāzu vai tvaiku koncentrācija telpā ir lielāka par pieļaujamo.
9.10. Drošības prasības, kas jāievēro uz kuģa degvielas uzpildes laikā
427. Pirms degvielas uzpildīšanas veic šādus pasākumus:
427.1. sagatavo ugunsdzēsības tehnisko aprīkojumu un ugunsdzēsības sistēmas tūlītējai lietošanai;
427.2. veic visus pasākumus, lai nepieļautu degvielas noplūdi aiz borta;
427.3. šļūtenes izvieto bez asiem lauzumiem un tik brīvi, lai, mainoties kuģa stāvoklim, tās netiktu nospriegotas un pārrautas;
427.4. norīko speciālus novērotājus, kas nepārtraukti seko degvielas pārsūknēšanas uzpildes šļūteņu stāvoklim.
428. Kravas operāciju laikā degvielu pieņem tikai tad, ja netiek krauta bīstama krava.
429. Degvielas uzpildīšanas laikā uz klāja nedrīkst veikt ugunsbīstamus darbus, kuģa dūmeņi ir aprīkoti ar dzirksteļu slāpētājiem.
430. Kuģa apkalpi brīdina par degvielas uzpildīšanas uzsākšanu.
431. Pārsūknēšana notiek tikai pa slēgtu cauruļvadu sistēmu, nodrošinot, lai degvielas uzpildīšanas laikā šļūtene neberztos gar kuģa konstrukcijas elementiem (piemēram, paliekot zem tās paklāju vai speciālu aizsargu).
432. Uz kuģa ir degvielas un eļļas pieņemšanas un pārsūknēšanas sistēmas tehniskās ekspluatācijas instrukcija un tehniskie dati par pieļaujamo spiedienu šļūtenēs un degvielas un eļļas cauruļvadu caurplūdes spējām. Degvielas pieņemšanas ātrums un spiediens šļūtenēs nedrīkst pārsniegt attiecīgajos dokumentos norādītos parametrus.
433. Vidējais degvielas plūsmas ātrums cauruļvados (atkarībā no degvielas blīvuma) nedrīkst pārsniegt šādus parametrus:
433.1. 2,5 metri sekundē šķidrumam ar viskozitāti 1-11,4 kvadrātmetri sekundē;
433.2. 2 metri sekundē šķidrumam ar viskozitāti 11,4-28,4 kvadrātmetri sekundē;
433.3. 1,5 metri sekundē šķidrumam ar viskozitāti 36,2-74 kvadrātmetri sekundē;
433.4. 1,2 metri sekundē šķidrumam ar viskozitāti 74-148 kvadrātmetri sekundē;
433.5. 1,1 metrs sekundē šķidrumam ar viskozitāti 148-444 kvadrātmetri sekundē;
433.6. 1 metrs sekundē šķidrumam ar viskozitāti 444-888 kvadrātmetri sekundē.
434. Degvielas uzpildīšanas laikā sistemātiski kontrolē naftas produktu līmeni pildāmajās tvertnēs. Piepildīšanas nobeigumā samazina pārsūknēšanas ātrumu.
435. Degvielas un eļļas cisternu gaisa un pārplūdes cauruļvadi ir darba kārtībā.
436. Šļūtenes no kuģa cauruļvadiem atvieno virs savācējtraukiem, kas novietoti zem savienojuma. Pirms šļūteņu novākšanas noslēdz posmu galus, lai novērstu palikušo naftas produktu izplūdi, pēc tam tās rūpīgi noslauka ar tīrāmo lupatu un novieto tām paredzētajās vietās.
437. Uzpildīšana ar degvielu aizliegta:
437.1. pāri cita kuģa korpusam;
437.2. ja nav veikti ugunsdrošības pasākumi uz kuģa;
437.3. ja kāda no stacionārajām ugunsdzēsības sistēmām nav darba kārtībā;
437.4. ja uz kuģa tiek veikti ugunsbīstami darbi.
438. Pieņemot vai nododot naftas produktus saturošus ūdeņus, veic tādus pašus ugunsdrošības pasākumus, kā uzpildot degvielu.
9.11. Gāzes balonu un bīstamu materiālu uzglabāšana
439. Saspiestās, šķidrās vai sašķidrinātās gāzes balonus ar skaidri salasāmu uzrakstu un nosaukumu droši nostiprina.
440. Balonus, kas satur viegli uzliesmojošas vai citas bīstamas gāzes, un izlietotos balonus izvieto uz atklāta klāja un droši nostiprina. Visus ventiļus, spiediena regulatorus un cauruļvadus, kas pievienoti šiem baloniem, nodrošina pret bojājumiem. Balonus aizsargā no pārmērīgām temperatūras izmaiņām, tiešiem saules stariem un sniega uzkrāšanās. Inspekcija var atļaut šādu balonu uzglabāšanu nodalījumos, kas atbilst šo noteikumu 441. un 442.punktā noteiktajām prasībām.
441. Ieeju telpās, kurās uzglabā sašķidrināto gāzi, iekārto tieši no atklāta klāja. Spiediena regulēšanas ierīces un drošības ventiļus aprīko tā, lai visu izplūdi nodrošinātu tikai nodalījuma robežās. Ja šādu nodalījumu ierobežojošās starpsienas atrodas blakus citām norobežotām telpām, starpsienas būvē gāzu necaurlaidīgas.
442. Nepieļauj elektroinstalācijas un elektroarmatūras uzstādīšanu nodalījumos, ko izmanto, lai uzglabātu sašķidrināto gāzi vai ļoti viegli uzliesmojošus šķidrumus, izņemot to elektroinstalāciju un elektroarmatūru, kas nepieciešama attiecīgo nodalījumu apkalpošanai. Ja šādu elektroarmatūru uzstāda, nepieciešams inspekcijas atzinums par tās piemērotību lietošanai ļoti ugunsnedrošā vidē. Šādās telpās neatrodas karstuma avoti. Labi redzamā vietā izvieto uzrakstus "Nesmēķēt" un "Nelietot atklātu liesmu".
443. Dažādu veidu saspiestās gāzes uzglabā atsevišķi. Nodalījumos, ko izmanto šādu gāzu uzglabāšanai, neuzglabā citus degtspējīgus produktus, kā arī instrumentus vai citus priekšmetus, kas nav gāzes sadales sistēmas sastāvdaļa. Inspekcija, ņemot vērā saspiesto gāzu raksturojumu, daudzumu un paredzēto lietojumu, var atvieglot šīs prasības.
9.12. Ugunsdrošības prasības uz kuģiem, kas atrodas Latvijas Republikas ostās
444. Pirms kuģa novietošanas ziemošanai to izkrauj, uz kuģa nav degtspējīgu materiālu, nevajadzīga inventāra un atkritumu.
445. Uz ziemojošiem kuģiem aizliegts lietot pagaidu elektriskās apsildes iekārtas. Visas dienesta un dzīvojamās telpas, mašīntelpas un citas telpas, kur netiek veikta darbība un neuzturas kuģa apkalpe (sardze), noslēdz un tajās atvieno elektrību.
446. Naftas termināļu piestātņu tuvumā un tankkuģu stāvēšanas rajonos aizliegts stāvēt kuģiem, kas nav aprīkoti ar dzirksteļu slāpētāju iekārtām.
447. Kuģim stāvot ostā, degtspējīgos atkritumus un izlietotās tīrāmās lupatas nogādā krastā speciāli šim nolūkam norādītajās vietās.
9.13. Ugunsdzēsības tehniskais aprīkojums un tā darbspēju nodrošināšana
9.13.1. Vispārīgās prasības
448. Uz kuģiem lieto tikai tādu ugunsdzēsības tehnisko aprīkojumu, ko atzinusi inspekcija vai sabiedrības, kas pilnvarotas atbilstoši normatīvajos aktos par klasifikācijas sabiedrību (atzīto organizāciju) uzraudzības kārtību noteiktajām prasībām.
449. Pirms katra reisa, bet ne retāk kā reizi mēnesī pārbauda visa kuģa ugunsdzēsības tehniskā aprīkojuma un sistēmu stāvokli un inventāra komplektāciju.
450. Kuģa ugunsdzēsības aprīkojumu un sistēmas uztur pastāvīgā darba kārtībā, lai ugunsgrēka gadījumā tos būtu iespējams izmantot nekavējoties. Mācībās vai treniņos lietotās iekārtas, kā arī izlietotos ugunsdzēsības līdzekļus atjauno tūlīt pēc to izmantošanas.
451. Izvietojot ugunsdzēsības inventāru uz kuģa, ievēro šādus noteikumus:
451.1. ugunsdzēsības inventāru nostiprina tā, lai, kuģim šūpojoties, tas nevarētu pārvietoties un, ja nepieciešams, būtu viegli noņemams;
451.2. ugunsdzēsības inventāru novieto tā, lai tam varētu brīvi piekļūt.
452. Katru kuģi, kura bruto tilpība ir 500 un lielāka, nodrošina ar vismaz diviem ugunsdzēsēja darba apģērba un aprīkojuma komplektiem.
453. Kuģi nodrošina ar šo noteikumu 8.pielikumā noteikto kuģa ugunsdzēsības tehniskā aprīkojuma, inventāra un to rezerves daļu daudzumu.
9.13.2. Izolējošie elpošanas aparāti
454. Izolējošo elpošanas aparātu skaits uz kuģa atbilst ugunsdzēsēju aprīkojuma komplektu skaitam. Izolējošie elpošanas aparāti vienmēr ir darba kārtībā un sagatavoti tūlītējai lietošanai. Sistemātiski (ne retāk kā reizi mēnesī) apseko to tehnisko stāvokli, veicot regulāras tehniskās apkopes (pārbaudes). Atklātos defektus laikus novērš.
455. Izolējošos elpošanas aparātus uz kuģa glabā vertikāli šim nolūkam paredzētos skapjos. To izvietošanas ligzdas izklāj ar amortizējošu materiālu. Virs katras ligzdas ir aparāta un maskas numuri un tās personas uzvārds, kura ir šī aparāta lietotāja un atbild par tā tehnisko stāvokli. Izolējošos elpošanas aparātus glabā ne tuvāk par vienu metru no apsildes elementiem.
456. Izolējošos elpošanas aparātus, kā arī to komplektējošās daļas un glabāšanas skapjus izvieto sausās telpās, kurās tiek uzturēta temperatūra no +5 līdz +25 ºC.
457. Izolējošos elpošanas aparātus izvieto ugunsdzēsības aprīkojuma tuvumā pie kuģa pretējiem bortiem atbilstoši kuģu ugunsdzēsības tehniskā aprīkojuma, inventāra un to rezerves daļu apgādes normām. Izolējošo elpošanas aparātu skābekļa balonus un to reģeneratīvās patronas glabā atsevišķi. Katram aparātam rezervē ir viens skābekļa balons un viena reģeneratīvā patrona, vai arī viens vai divi (atkarībā no aparāta tipa) gaisa baloni, ja tiek izmantoti saspiesta gaisa izolējošie aparāti.
458. Izolējošo elpošanas aparātu darbību pārbauda katru reizi pirms lietošanas.
459. Izolējošajiem elpošanas aparātiem, kas darbojas ar saspiesto gaisu, tehnisko apkopi veic reizi sešos mēnešos, kā arī pēc ilgstošas darbības un nekontrolētas glabāšanas, lai pārbaudītu atsevišķu detaļu un mezglu darbību un pareizu regulējumu. Apkopi veic sertificētās apkopes stacijās un pārbaudes laiku un rezultātus ieraksta aparātu formulāros.
460. Izolējošo elpošanas aparātu uzturēšanai darba kārtībā izpilda visas izgatavotājrūpnīcas instrukcijās ietvertās prasības.
9.13.3. Ugunsdzēsēja aizsargtērps
461. Ugunsdzēsēja aizsargtērpa komplektu glabā speciālā maisā, kas izgatavots no ūdensnecaurlaidīga materiāla. Pie katra maisa piestiprināta plāksnīte, uz kuras norādīts tērpa izmērs, lietotāja uzvārds, kā arī izgatavošanas vai pēdējās pārbaudes datums. Maisus ar tērpiem glabā sausā, noslēgtā telpā. Tērpu komplektus var glabāt arī speciālos slēdzamos skapjos - karstumizturīgos kombinezonus novieto uz pakaramajiem, bet pārējās ugunsdzēsēja aizsargtērpa sastāvdaļas - skapja nodalījumā. Aizliegts netīrus, kā arī bojātus vai nenokomplektētus tērpus uzglabāt skapjos ievietotos maisos.
462. Uz kuģa esošos siltumizturīgos un siltumatstarojošos tērpus ne retāk kā reizi mēnesī pārbauda un izvēdina. Reizi gadā tos nodod izturības pārbaudei. Bojātos tērpus nomaina.
463. Ugunsdzēsēja tērpus aizliegts mērkt ūdenī, mazgāt vai skalot. Ja lietošanas laikā tērps samircis, to žāvē uzkarinātā veidā. Šos tērpus tīra tikai ar saru sukām.
464. Tērpa tīrīšanas laikā apskata visas tā detaļas. Ja bojāta siltumizturīgā tērpa ārējā kārta, tērpu nomaina.
9.13.4. Drošības, glābšanas un evakuācijas līdzekļi
465. Kāpņu telpas un kāpnes, kas ved uz visām dzīvojamajām telpām un citām telpām, kur parasti ir apkalpe, iekārto tā, lai nodrošinātu parocīgus evakuēšanās ceļus uz evakuācijas klāju.
466. Dzīvojamās telpas un mašīntelpas nodrošina ar vismaz diviem evakuācijas ceļiem, ko izvieto iespējami tālu vienu no otra.
467. Uz kuģiem, kuru garums ir mazāks par 24 metriem, izņēmuma kārtā (ņemot vērā kuģa konstrukciju, izvērtējot telpu raksturu un izvietojumu, un cilvēku skaitu, kuri dzīvo vai strādā šajās telpās) inspekcija atļauj nodrošināt tikai vienu evakuācijas ceļu, ja tas nemazina kuģa drošību. Liftus aizliegts lietot evakuācijai.
468. Drošības jostu un glābšanas jostu ar karabīnēm un to drošības trošu izturības pārbaudes veic ne retāk kā reizi gadā. Pārbaudes rezultātus atspoguļo aktā. Drošības jostu komplektu pārbauda arī pēc katras mācību trauksmes vai ugunsgrēka. Pārbaudes rezultātus ieraksta kuģa ugunsdrošības kontroles formulārā. Aizliegts lietot drošības jostas, kam ir bojāta kaut viena jostas detaļa. Karabīnes un citus metāla elementus pēc lietošanas noslauka sausus un viegli ieziež ar konservantu.
469. Drošības trose nav īsāka par 30 metriem, abos tās galos ir iešpleisētas kaušas, un trose piecas minūtes iztur svaru, kas nav mazāks par 350 kilogramiem. Drošības trosi apskata ne retāk kā reizi mēnesī un - tāpat kā drošības jostas - pārbauda reizi gadā. Pēc troses izmantošanas ugunsgrēkā vai mācībās to rūpīgi apskata (sevišķi troses špleisējumus). Ja atklātas pārtrūkušas stieples, trosi nomaina.
470. Ugunsdzēsēja aprīkojuma komplekta pārbaudi katru gadu veic atbilstoši normatīvo aktu prasībām par jūras kuģu aprīkojumu. Par pārbaudes rezultātiem izdod attiecīgu sertifikātu.
471. Sprādziendroši individuālie apgaismošanas lukturi nodrošina apgaismojumu vismaz trīs stundas bez papildu uzlādēšanas. Lukturus un to akumulatorus pārbauda ne retāk kā reizi nedēļā, akumulatorus, ja nepieciešams, uzlādē. Lukturus glabā kopā ar ugunsdzēsēja inventāru. Lukturi ir tīri, bez naftas produktu traipiem un gatavi tūlītējai lietošanai.
9.13.5. Ūdens ugunsdzēsības sistēmas
472. Ūdens ugunsdzēsības sistēmas darbību pārbauda ar darba spiedienu ne retāk kā reizi nedēļā, kā arī pārbauda, vai ūdens pienāk katram ugunsdzēsības krānam.
473. Sistēmas ugunsdzēsības krāni ir aizvērti.
474. Pēc katras sūkņa darbināšanas no sistēmas izlaiž ūdeni, uz īsu laiku atverot krānu tajās zonās, kur temperatūra var būt zemāka par 0 ºC.
475. Ūdens ugunsdzēsības sistēmas sūkņus un cauruļvadus aizliegts izmantot naftas produktu, eļļu un citu degtspējīgu šķidrumu pārsūknēšanai, kā arī atsevišķu kuģa nodalījumu vai tilpņu atsūknēšanai.
9.13.6. Ugunsdzēsības šļūtenes un stobri
476. Ugunsdzēsības šļūteņu un stobru skaits atbilst uz kuģa ierīkoto ugunsdzēsības krānu skaitam saskaņā ar kuģa ugunsdrošības kontroles plānu. Tie ir pilnīgi nokomplektēti un sagatavoti tūlītējai lietošanai.
477. Kuģa mašīntelpās, iekšējās telpās, kā arī uz tankkuģa atklātajiem klājiem lieto kombinētos ugunsdzēsības stobrus.
478. Ugunsdzēsības šļūtenes komplektā ar stobriem izvieto pie ugunsdzēsības krāniem, uztin uz spolēm vai saritina speciālos grozos. Uz kuģa atklātiem klājiem tās izvieto speciālos vēdināmos skapjos vai arī no ūdens aizsargātās vietās. Šļūteņu izvietojuma vietas nokrāso sarkanā krāsā ar uzkrāsotu uzrakstu "UK" un attiecīgā ugunsdzēsības posteņa numuru. Mašīntelpās un saldētājiekārtu telpās šļūtenes komplektā ar stobru glabā pievienotas ugunsdzēsības krānam.
479. Ugunsdzēsības šļūtenes, kas paredzētas ūdenim vai putām, vizuāli pārbauda pēc katras izmantošanas. Veicot šļūteņu apskati, pārbauda, vai nav plīsumu vai citu mehānisku bojājumu, vai savienojumos ir gumijas blīvgredzeni, vai šļūteņu galu savienojumu uzgaļiem un to stiprinājumiem nav bojājumu, vai uz šļūteņu virsmas nav krāsas izmaiņu, eļļas vai pelējuma pēdu. Reizi sešos mēnešos veic šļūteņu hidraulisko pārbaudi ar darba spiedienu, kāds ir kuģa ugunsdzēsības sistēmā, kā arī šļūteņu pārtīšanu tādā veidā, lai jaunā locījuma vieta neatrastos blakus iepriekšējam locījumam. Pārbaužu rezultātus noformē ar aktu un reģistrē kuģa ugunsdrošības kontroles formulārā.
480. Ugunsdzēsības šļūtenes, kas neiztur pārbaudes spiedienu, var izmantot saimnieciskām vajadzībām vai mācībām.
481. Izmantojot ugunsdzēsības šļūtenes, seko, lai uz tām nenokļūtu naftas produkti, skābes, sārmi un citas ķīmiskās vielas. Pēc katras izmantošanas tām notīra netīrumus un izžāvē.
482. Ugunsdzēsības šļūtenes, kas paredzētas ugunsgrēka dzēšanai, aizliegts izmantot citām vajadzībām.
483. Uz kuģiem, kuru bruto tilpība ir virs 500, ugunsdzēsības krānus uz atklātā klāja nodrošina ar šļūtenēm, kuru garums ir vismaz 20 metru. Uz kuģiem, kuru bruto tilpība ir mazāka par 500, šļūteņu garums var būt mazāks, bet ne mazāks par 10 metriem. Krānus telpās nodrošina ar šļūtenēm, kuru garums ir proporcionāls telpas lielumam un ugunsdzēsības krānu izvietojumam.
484. Izmantojot ugunsdzēsības šļūtenes, seko, lai tajās nerastos asi lauzumi un lai tās netiktu izvietotas uz asiem un karstiem priekšmetiem. Vietās, kur iespējami asi līkumi, zem šļūtenes paliek speciālus paliktņus.
485. Pārnēsājamie putu stobri ir izvietoti komplektos kuģa ugunsdzēsības krānu tuvumā. Putu veidotāja rezerves uzglabā šim nolūkam paredzētajās tvertnēs.
9.13.7. Pārejas savienojumi
486. Kuģi, kura bruto tilpība ir lielāka par 500, apgādā ar starptautiskā parauga pārejas savienojumu atbilstoši SOLAS konvencijas prasībām.
487. Uz ugunsdzēsības inventāra skapja durvīm, kur glabājas starptautiskā parauga savienojums, ir uzraksts "Ugunsdzēsības krāns" un uzraksts "Starptautiskais savienojums" latviešu un angļu valodā.
9.13.8. Kastes ar absorbentiem un ugunsdzēsības pārklāji
488. Ugunsdzēšanai paredzēto absorbentu (piemēram, smiltis, skaidas) kastes piepilda ar sausām smiltīm vai koka skaidām, kas piesūcinātas ar sodu, un aprīko ar ūdensnecaurlaidīgiem vākiem, kas ir fiksējami atvērtā stāvoklī.
489. Ugunsdzēsības pārklājus liesmu slāpēšanai glabā speciālos metāla cilindros. Pārklājiem ir speciālas cilpas, aiz kurām tie viegli izvelkami un pēc izritināšanas viegli uzklājami uz degošām konstrukcijām. Pārklāji vienmēr ir sausi.
9.13.9. Ugunsdzēsības instrumenti un inventārs
490. Ugunsdzēsības rokas instrumentus (piemēram, cirvjus, laužņus, spaiņus, lāpstas) izvieto tiem paredzētajās vietās un nokrāso sarkanā krāsā.
491. Ugunsdzēsības instrumentu derīgumu pārbauda, veicot apskati ne retāk kā reizi trijos mēnešos, kā arī pēc katras lietošanas ugunsgrēka vai mācību trauksmes laikā.
492. Novērotos defektus (piemēram, saliekums, plaisa, ielūzums, vaļīgi stiprinājumi) novērš.
493. Metāla izstrādājumu darba virsmas, kas netiek krāsotas, pārklāj ar plānu neitrālas smērvielas kārtu. Koka detaļas nokrāso sarkanā krāsā.
494. Ugunsdzēsības mehanizēto instrumentu tehnisko apkopi veic atbilstoši katra instrumenta tehniskajā pasē noteiktajām prasībām, bet ne retāk kā reizi nedēļā.
9.13.10. Ugunsdzēsības aparāti
495. Uz kuģa izmanto tikai sertificētus ugunsdzēsības aparātus.
496. Pārnēsājamos ugunsdzēsības aparātus uzstāda speciālos kronšteinos - turētājos, no kuriem tos iespējams ātri un viegli noņemt. Tos izvieto zem nojumes un ne tuvāk par 1,5 metriem no siltumu izstarojošiem avotiem. Mašīntelpās tie atrodas ieejas tiešā tuvumā. Ugunsdzēsības aparātus uzstāda tādā stāvoklī, kā noteikts izgatavotāja instrukcijā. Uz kuģa atļauts izmantot pārnēsājamos ugunsdzēsības aparātus ar šādu kapacitāti:
496.1. putu aparāta tilpība - ne mazāka par 9 dm3;
496.2. ogļskābās gāzes aparāta lādiņa svars - ne mazāks par 3 kg;
496.3. pulvera aparāta lādiņa svars - ne mazāks par 4 kg.
497. Cita tipa ugunsdzēsības aparāti var nepārsniegt pārnēsājamā šķidruma ugunsdzēsības aparāta ekvivalentu - 13,5 litrus, bet tas nedrīkst būt mazāks par deviņu litru pārnēsājamā šķidruma ugunsdzēsības aparāta ekvivalentu.
498. Ugunsdzēsības aparātus mašīntelpās, ražošanas un citās dienesta telpās izvieto atbilstoši šo noteikumu 8.pielikumā noteiktajām apgādes normām.
499. Ogļskābās gāzes ugunsdzēsības aparātus atļauts izvietot telpās, kurās temperatūra nepārsniedz +55 ºC, pulvera ugunsdzēsības aparātus - telpās, kurās temperatūra nav zemāka par -5 ºC, gaisa mehāniskos putu ugunsdzēsības aparātus - telpās, kurās temperatūra nav zemāka par 0 ºC. Ogļskābās gāzes un putu ugunsdzēsības aparātus var aizvietot ar pulvera ugunsdzēsības aparātiem, ja to pieļauj temperatūras režīms attiecīgajā telpā.
500. Aizliegts noraut ugunsdzēsības aparātiem plombas un piestiprināt tiem virves, stieples vai citus priekšmetus, kas varētu traucēt brīvi lietot aparātus.
501. Ne retāk kā reizi mēnesī vizuāli pārbauda pārnēsājamo ugunsdzēsības aparātu stāvokli. Putu ugunsdzēsības aparātiem pārbauda izsmidzināšanas sprauslas, drošības membrānu stāvokli, vai izsmidzinātāju uzgriežņi ir veseli un tīri, vai pie aparāta ir izsmidzinātāja sprauslas tīrītājs, vai ir plombas, kā arī vai ir norādīts aparāta uzpildīšanas laiks.
502. Ugunsdzēsības aparātu tehnisko apkopi, pildījuma nomaiņu, to korpusu iekšpuses tīrīšanu un korpusu hidrauliskās pārbaudes veic specializētās kuģu ugunsdrošības līdzekļu apkopes stacijās.
503. Putu ugunsdzēsības aparātu korpusa hidraulisko pārbaudi veic ne retāk kā reizi gadā, kad tiek nomainīts to pildījums, vienlaikus pārbauda aparāta iekšpuses antikorozijas pārklājumu.
504. Ugunsdzēsības aparātu hidrauliskās pārbaudes laiku norāda marķējumā uz balonu korpusiem.
505. Ogļskābās gāzes un pulvera ugunsdzēsības aparātu korpusu pārbauda ne retāk kā reizi piecos gados. Vienlaikus pārbauda to iekšpuses antikorozijas pārklājumu.
506. Ogļskābās gāzes ugunsdzēsības aparātus sver ne retāk kā reizi gadā. Svēršanai izmanto svarus, kas atbilst būtiskajām metroloģiskajām prasībām un kuri verificēti saskaņā ar normatīvo aktu par valsts metroloģiskajai kontrolei pakļauto mērīšanas līdzekļu sarakstu. Svēršanas rezultātus ieraksta aparātu formulāros. Ja to pildījuma svara zudums pārsniedz 30 procentus vai ja aparātiem ir norautas plombas, tos nosūta uz pārbaudi un uzpildīšanu apkopes stacijā.
507. Pulvera ugunsdzēsības aparātus pārbauda apkopes stacijā ne retāk kā reizi gadā.
508. Izmantotos ugunsdzēsības aparātus nogādā stacijā pildījuma atjaunošanai, kur tos nomaina ar pārbaudītiem rezerves aparātiem.
509. Uz kuģa nodrošina ugunsdzēsības aparātu pastāvīgu gatavību darbam un regulāri veic to kontroli, to lietošanas instrukcijas nedrīkst būt bojātas un tām jābūt skaidri salasāmām.
510. Uz kuģiem, kuru garums ir mazāks par 15 metriem, izpilda šādas prasības:
510.1. stūres mājā izvieto sertificētu pulvera (ABC) ugunsdzēsības aparātu ar vismaz piecu kilogramu pildījumu;
510.2. kuģos ar dzīvojamajām telpām uzstāda sertificētu pulvera (ABC) ugunsdzēsības aparātu ar vismaz piecu kilogramu pildījumu šo telpu ieejas tiešā tuvumā;
510.3. kambīzes rajonu nodrošina ar ugunsdzēsības pārklāju.
9.13.11. Pārvietojamās ugunsdzēsības ierīces
511. Kuģi apgādā ar ugunsgrēka atklāšanas un dzēšanas iekārtām.
512. Pārvietojamās ugunsdzēsības putu ierīces, kuru komplektā ietilpst baloni, šļūtenes un citas detaļas, izvieto telpu iekšpusē pie ieejas vai izejas tādā veidā, lai nodrošinātu brīvu pieeju šīm ierīcēm.
513. Pārvietojamo ugunsdzēsības putu ierīču pārbaudes veic, ievērojot šādus nosacījumus:
513.1. reizi nedēļā pārbauda ierīču komplektāciju, visu ventiļu darbību, plombējumu, darba spiedienu balonos un pārliecinās, vai rezervuāros ir putu veidotājs;
513.2. reizi sešos mēnešos pārbauda šļūteņu komplektus;
513.3. reizi gadā pārbauda vārstu un manometru hermētiskumu, kā arī drošības vārstus un reduktorus;
513.4. reizi piecos gados ierīces pārbauda darbībā, ja nepieciešams, demontējot, izjaucot un regulējot drošības vārstus, reduktorus un armatūru;
513.5. reizi piecos gados ugunsdrošības līdzekļu apkopes stacijās veic gaisa balonu hidraulisko pārbaudi, marķējot to korpusus;
513.6. visu veikto pārbaužu rezultātus ieraksta kuģa ugunsdrošības kontroles formulārā.
514. Telpas, kurās izvietoti galvenie dzinēji un palīgdzinēji ar kopējo jaudu virs 375 kW, ar degvielu kurināmi katli (ieskaitot apkures katlus, kurtuves un degvielas agregātus), nodrošina ar stacionāru CO2 ugunsdzēsības sistēmu.
515. Ja mašīntelpa un katlutelpa nav pilnīgi atdalīta vai pastāv iespēja degvielai noplūst no katlutelpas mašīntelpā, mašīntelpu un katlutelpu uzskata par vienu nodalījumu un CO2 vielas daudzumu aprēķina visam nodalījumam.
516. Kuģim ar dzinēju kopējo jaudu no 220 līdz 375 kW mašīntelpas aizsardzību nodrošina ar pārvietojamo pulvera vai CO2 aparātu (vismaz 40 kg), tā izvietojumu saskaņojot ar inspekciju.
517. Tankkuģi, kas pārvadā naftas produktus, aprīko ar stacionāro putu ugunsdzēsības staciju, atbilstošām šļūtenēm un putu ģeneratoriem.
518. Tvaika katlu aizsardzībai tankkuģī (neatkarīgi no stacionārās sistēmas) atrodas 136 litru putu ugunsdzēsības aparāts, kas izvietots tieši pretī katlam.
519. Ugunsgrēka atklāšanas un dzēšanas iekārtu vadības un kontroles aprīkojuma pultis izvieto viegli pieejamās vietās ārpus telpas, uz kuru varētu tikt aizšķērsots ceļš, izceļoties ugunsgrēkam aizsargājamās telpās. Veic pasākumus, lai, izceļoties ugunsgrēkam aizsargājamās telpās, netiktu pārtraukta ugunsgrēka atklāšanas un dzēšanas iekārtu darbam nepieciešamās enerģijas un ūdens padeve.
520. Ugunsdzēsības iekārtu rezervuāriem reizi piecos gados veic hidraulisko pārbaudi, ikgadējo svēršanu, pārbaudi un putu veidotāja analīzi.
521. Ja kuģa kopējā dzinēju jauda ir lielāka par 375 kW un mašīntelpā nav pastāvīgas sardzes, mašīntelpu aprīko ar ugunsgrēka atklāšanas brīdinājuma signalizāciju.
522. Kuģa ekspluatācijas laikā ugunsgrēka atklāšanas un dzēšanas iekārtas pastāvīgi uztur labā darba kārtībā (gatavas tūlītējai izmantošanai).
523. Visu kuģu (neatkarīgi no to dzinēju jaudas) mašīntelpās ir ugunsdzēsības pārklājs.
9.13.12. Putu ugunsdzēsības stacijas
524. Putu veidotāju uzglabā stacijas telpā, kur temperatūra nedrīkst būt zemāka par +3 ºC un augstāka par +50 ºC, speciālā kalibrētā tarā. Tam jābūt nosvērtam, ievērojot nepieciešamo precizitāti. Šajā telpā ir viens pārnēsājamais putu ugunsdzēsības aparāts un redzamā vietā ir izlikta putu ugunsdzēsības sistēmas shēma, kur norādītas ar šo sistēmu aizsargājamās telpas, kā arī šīs sistēmas iekārtu vadības mezgli. Šajā telpā ir arī īsa instrukcija par sistēmas ieslēgšanu, darbības kontroli un izslēgšanu.
525. Pirms putu veidotāja iepildīšanas tvertni iztīra ar tvaiku un karstu ūdeni (ūdenim ieteicams pievienot 1-2 % kalcinēto sodu vai nedzēstus kaļķus). Nedrīkst pieļaut naftas produktu nokļūšanu putu veidotājā. Pirms iepildīšanas putu veidotāju lej caur smalku metāla sietiņu vai marles filtru, lai atdalītu nogulsnes.
526. Saņemot putu veidotāju uz kuģa, ievēro šādus noteikumus:
526.1. pārbauda putu veidotāja taras atbilstību ražotāja izsniegtajai dokumentācijai (vai ir norādīta marka, izgatavotājrūpnīca, izlaiduma numurs un masa, izgatavošanas datums, derīguma termiņš, fiziskie un ķīmiskie rādītāji) atbilstoši normatīvo aktu prasībām par ugunsdrošības preču, ugunsdzēsības iekārtu un ierīču atbilstības novērtēšanu;
526.2. pārbauda taras stāvokli (tai jābūt izturīgai pret mehāniskiem triecieniem, ar blīvi noslēdzamu uzpildīšanas atveri).
527. Ne retāk kā reizi četros mēnešos pārbauda stacionārās putu ugunsdzēsības sistēmas un stacionārās pulvera ugunsdzēsības sistēmas stāvokli.
528. Reizi gadā kuģa īpašnieks veic putu veidotāja kvalitātes pārbaudi kuģa drošības aprīkojuma pārbaudes vietās, kas atbilst normatīvo aktu prasībām par jūras kuģu aprīkojumu. Pārbaudes rezultātus ieraksta aktā.
529. Ņemot paraugus, putu veidotāju iepilda tīros stikla traukos tā, lai kopējais iepildītais daudzums nebūtu mazāks par 0,5 litriem. Traukus ar paraugiem blīvi noslēdz. Pie traukiem ar paraugiem piestiprina informāciju par katru putu veidotāju, norādot kuģa vārdu.
530. Reizi piecos gados (vēlams, reizē ar kuģa kārtējo apskati) veic pilnu stacijas iekārtas apskati, stacijas iekārtas cauruļvadu hidraulisko pārbaudi un tvertnes iekšējo apskati. Apskates un pārbaudes rezultātus ieraksta aktā. Ja tvertnes tehniskais stāvoklis izraisa šaubas, veic tvertnes sienu atlikušā biezuma mērījumus. Ja to nodilums pārsniedz 20 procentus, tvertni nomaina.
9.13.13. Stacionārās ogļskābās gāzes ugunsdzēsības sistēmas
531. Stacionārās ogļskābās gāzes ugunsdzēsības sistēmas telpā temperatūra nav zemāka par +3 ºC un augstāka par +50 ºC. Telpa ir apgādāta ar distances temperatūras kontroles aparatūru vai arī termometrs šajā telpā ir uzstādīts tā, lai to varētu redzēt no ārpuses pa iluminatoru.
532. Visiem vārstiem un armatūrai ir uzraksti, kur norādīts, kādas telpas tie aizsargā. Stacijas iekšpusē redzamā vietā ir izvietota sistēmas shēma, kur uzrādītas aizsargājamo telpu vārstu iedarbināšanas ierīces. Telpā ir arī īsa instrukcija par to, kā sistēma ieslēdzama, apkalpojama un izslēdzama.
533. Uz ogļskābās gāzes ugunsdzēsības stacijas kolektoriem ir uzstādīti manometri, kuru skala vismaz par 1,0 megapaskālu pārsniedz darba spiedienu. Skalas iedaļas vērtība nedrīkst būt lielāka par 0,5 megapaskāliem.
534. Ogļskābās gāzes balonus ugunsdzēsības stacijā izvieto tā, lai nodrošinātu tiem brīvu pieeju apskates veikšanai. Balonus nostiprina. Zem katra balona ir paliktnis, kas balonu izolē no saskares ar klāju. Balonus nokrāso un apzīmē ar kārtas numuriem.
535. Ogļskābās gāzes ugunsdzēsības stacijā glabā balonu vārstu aizsargus, ko lieto, balonus transportējot.
536. Pieplūdes un atsūknēšanas vēdināšanas sistēmas ogļskābās gāzes ugunsdzēsības stacijā vienmēr ir darba kārtībā.
537. Ogļskābās gāzes ugunsdzēsības sistēmu pārbaudes veic, ievērojot šādus nosacījumus:
537.1. katru dienu pārbauda balonus un to stiprinājumu;
537.2. reizi nedēļā pārbauda balonu un armatūru tīrību;
537.3. reizi mēnesī pārbauda cauruļvadu un sprauslu tīrību, kā arī to, vai sistēmas iedarbināšanas vārsti ir izkustināmi un vai to blīvējums ir kārtībā;
537.4. reizi gadā ogļskābes balonus nosver vai mēra specializētā ugunsdzēsības tehnikas apkopes iecirknī (katrā balonā jābūt ne mazāk par 90 procentiem no aprēķinātā nepieciešamā ogļskābes daudzuma). Svēršanas rezultātus ieraksta aktā un kuģa ugunsdrošības kontroles formulārā;
537.5. reizi gadā pārbauda visu palīgierīču (trošu, pievadu, slēdžu, elektromagnētisko palaišanas ierīču, drošības vārstu un citu ierīču) darbību;
537.6. reizi piecos gados specializētā laboratorijā veic balonu hidraulisko pārbaudi.
538. Pēc balonu pārbaudes, novietošanas paredzētajā vietā un vārstu atvēršanas noplombē iekārtas un to pievadus, izdarot attiecīgu ierakstu ugunsdrošības kontroles formulārā.
539. Ja kuģu garums ir mazāks par 15 metriem un to mašīntelpās uzstāda ugunsgrēka dzēšanas sistēmas ar oglekļa dioksīdu ( turpmāk - CO2 sistēma), tās atbilst šādām prasībām:
539.1. CO2 sistēmas iedarbināmas tikai manuāli;
539.2. iedarbināšanas ierīci (divas sviras) izvieto ērtā un aizsargātā vietā ārpus mašīntelpas un telpām ar degvielas tvertnēm;
539.3. CO2 sistēmas iedarbināšanas instrukcijas un sarakstu ar drošības pasākumiem, kas jāievēro pēc tās izmantošanas, piestiprina iedarbināšanas vietā;
539.4. CO2 balonus uzstāda ārpus mašīntelpas, un tie ir aizsargāti pret mehāniskiem bojājumiem un temperatūru virs 40 ºC;
539.5. manifoldi ar sprauslām nodrošina ugunsdzēsībā izmantojamās vielas vienmērīgu izplatīšanos visā telpā;
539.6. CO2 daudzums un izplūdes periods ir pielāgots tā, lai nodrošinātu efektīvu ugunsdzēsības procesu attiecīgajā telpā;
539.7. CO2 daudzums ir 1,5 kg/m3, ņemot vērā kopējo mašīntelpas tilpumu, lai gan 3,5 kg ir mazākais atļautais daudzums. Pusi no piepildāmā līmeņa sasniedz ne ilgāk kā 10 sekundēs;
539.8. ventilācijas atveres kopā ar to noslēgšanas līdzekļiem izvieto mašīntelpas augšpusē, un tās ir konstruētas tā, lai nenotiktu nepieļaujama spiediena paaugstināšanās mašīntelpā, kad ir iedarbināta CO2 sistēma;
539.9. mašīntelpas un telpas vai skapjus, kur izvietoti CO2 baloni, iekārto tā, lai pēc CO2 sistēmas iedarbināšanas vai noplūdes no baloniem ogļskābā gāze neieplūstu dzīvojamās telpās;
539.10. ja CO2 baloni izvietoti telpās vai skapjos, ventilācija ir nodalīta no pārējās kuģa ventilācijas sistēmas, un tās izplūde ir vērsta uz atklātu klāju;
539.11. CO2 sistēmas nedrīkst uzstādīt koka kuģos;
539.12. stacionārās ugunsdzēsības un ugunsgrēka noteikšanas sistēmas pārbauda ne retāk kā reizi gadā atbilstoši normatīvo aktu par ugunsdrošību prasībām. Pārbaudes rezultātus ieraksta kuģa ugunsdrošības formulārā, norādot pārbaudes vietu un laiku;
539.13. balonus, kuros uzglabā saspiestu gāzi, pārbauda ar spiedienu ne retāk kā reizi piecos gados.
540. Ir atļautas arī citas sertificētas ugunsdzēsības sistēmas ar līdzvērtīgu ugunsdzēsības efektu, kuras izmanto ūdeni vai atmosfēras gāzu maisījumu.
9.13.14. Izsmidzinātā ūdens ugunsdzēsības sistēmas
541. Izmantojot drenčeru izsmidzinātā ūdens ugunsdzēsības sistēmu, ievēro šādus nosacījumus:
541.1. drenčeru ūdens aizsega ugunsdzēsības sistēmas maģistrālie cauruļvadi pastāvīgi ir piepildīti ar ūdeni līdz sadales vārstiem;
541.2. drenčera ūdens aizsega ugunsdzēsības sistēmas ekspluatācijas laikā:
541.2.1. reizi nedēļā apskata sistēmu un pārbauda vārstu blīvslēgus;
541.2.2. reizi mēnesī pārbauda, vai drenčeri nav piesārņoti, un izpūš tos ar saspiestu gaisu;
541.2.3. reizi ceturksnī, kā arī pirms un pēc remonta pārbauda visas sistēmas darbību;
541.3. reizi gadā apkalpe pārbauda katra drenčera izsmidzinātāja darbību, nosakot ūdens spiedienu tajā, iegūtos datus salīdzina ar projekta vai pases datiem un pārbaudes rezultātus ieraksta kuģa ugunsdrošības kontroles formulārā.
542. Izmantojot sprinkleru izsmidzināta ūdens ugunsdzēsības sistēmu, ievēro šādus nosacījumus:
542.1. sprinkleru ugunsdzēsības sistēma automātiski ieslēdzas, kad temperatūra aizsargājamā telpā sasniedz 68-79 ºC, kambīzes un žāvēšanas telpās ieslēgšanās temperatūra var būt palielināta par 30 ºC;
542.2. ne retāk kā reizi nedēļā pārbauda vārstu blīvslēgu un izsmidzinātāju stāvokli;
542.3. reizi mēnesī sprinkleru sistēmas cauruļvadu tīklu pārbauda ar saspiestu gaisu un bojātos sprinklerus nekavējoties nomaina;
542.4. periodiski pārbauda sprinkleru aizsargaprīkojuma stāvokli;
542.5. aizliegts izmantot sprinkleru sistēmas caurules sistēmai nepiederīgu priekšmetu piekāršanai vai piestiprināšanai;
542.6. ūdens padeves sūknis sprinkleru sistēmā pastāvīgi ir darba kārtībā;
542.7. reizi piecos gados veic sprinkleru sistēmas hidraulisko pārbaudi un pārbaudes rezultātus ieraksta kuģa ugunsdrošības kontroles formulārā.
9.13.15. Tvaika ugunsdzēsības sistēmas
543. Izmantojot tvaika ugunsdzēsības sistēmu, ievēro šādus nosacījumus:
543.1. reizi mēnesī veic tvaika ugunsdzēsības sistēmas apskati un pārbauda visus tās elementus, pārbaudes rezultātus ieraksta kuģa ugunsdrošības kontroles formulārā. Atklātos cauruļvadu, armatūras un izolācijas bojājumus novērš;
543.2. visi tvaika ugunsdzēsības sistēmas savienojumi ir blīvi noslēgti un cauruļvadi nokrāsoti sarkanā krāsā;
543.3. nodrošināta brīva pieeja visiem tvaika ugunsdzēsības sistēmas elementiem;
543.4. aizliegts tvaika vadu tvaika izplūdes uzgaļus aizkraut ar kravu vai citiem materiāliem;
543.5. visi tvaika ugunsdzēsības sistēmas manometri un vārsti ir darba kārtībā;
543.6. manometri atbilst būtiskajām metroloģiskajām prasībām un ir verificēti atbilstoši normatīvajam aktam par valsts metroloģiskajai kontrolei pakļauto mērīšanas līdzekļu sarakstu;
543.7. vārstus un citas armatūras kustīgās daļas var brīvi izkustināt.
10. Glābšanas līdzekļi
544. Ja nav noteikts citādi vai ja inspekcija attiecībā uz noteiktiem reisiem, kuros kuģis pastāvīgi iesaistīts, nepiemēro citas prasības, visi glābšanas līdzekļi atbilst prasībām, ko nosaka SOLAS konvencija un normatīvie akti par jūras kuģu aprīkojumu.
545. Katru kuģi apgādā ar kolektīvajiem un individuālajiem glābšanas līdzekļiem.
546. Par kolektīvajiem glābšanas līdzekļiem izmanto glābšanas laivas, glābšanas plostus un cietos glābšanas plostus - solus.
547. Glābšanas plosta stiprinājumam jānodrošina tā automātiska atbrīvošana, piepūšana, brīva uzpeldēšana un atdalīšanās no kuģa, ja tas grimst. Brīvas uzpeldēšanas iekārtai jābūt aprīkotai ar automātisku (hidrostatisku) sertificētu atbrīvošanas sistēmu.
10.1. Iekāpšana glābšanas līdzeklī
548. Iekāpšanai glābšanas līdzeklī paredz aprīkojumu:
548.1. ne mazāk kā vienu trapu vai citu sertificētu līdzekli uz kuģa katra borta, kas dod iespēju iekļūt uz ūdens esošā glābšanas līdzeklī, izņemot gadījumus, ja inspekcija ir pārliecināta, ka attālums starp iekāpšanas punktu un uz ūdens esošo glābšanas līdzekļi ir tāds, ka traps nav nepieciešams;
548.2. glābšanas līdzekļa izvietošanas vietas un tā nolaišanas iekārtas (arī nolaišanas vietas akvatorijas) pietiekamu apgaismojumu no avārijas enerģijas avota nolaišanas sagatavošanas un nolaišanas laikā;
548.3. iekārtas visu uz kuģa esošo cilvēku brīdināšanai par kuģa atstāšanu (vispārējā trauksmes un izziņošanas sistēma);
548.4. līdzekļus, lai novērstu ūdens ieplūšanu glābšanas līdzeklī.
10.2. Kolektīvo un individuālo glābšanas līdzekļu skaits un tips
549. Katru kuģi aprīko ar kolektīvajiem un individuālajiem glābšanas līdzekļiem un signāllīdzekļiem atkarībā no noteiktā kuģošanas rajona atbilstoši 9.pielikumam.
550. Katru kuģi, kuram atļauta kuģošana Baltijas jūrā un piekrastes kuģošana, apgādā ar vismaz diviem kolektīvajiem glābšanas plostiem, lai nodrošinātu, ka viena glābšanas plosta pazaudēšanas vai bojājuma gadījumā otrs plosts var uzņemt visu to cilvēku kopskaitu, ko kuģis drīkst pārvadāt.
551. Ja kuģis atbilst SOLAS konvencijas prasībām par sadalījumu nodalījumos, avārijas noturības kritērijiem un paaugstinātu konstruktīvo aizsardzību pret uguni un ja glābšanas līdzekļu skaita un ietilpības samazināšana nevar negatīvi ietekmēt drošību, inspekcija pieļauj, ka uz kuģa katra borta izvietoto kolektīvo glābšanas līdzekļu kopējā ietilpība ir pietiekama, lai izvietotu ne mazāk par 50 % no cilvēku kopskaita uz kuģa. Papildus paredz glābšanas plostus, kuru ietilpība nav mazāka par 50 % no cilvēku kopskaita uz kuģa.
552. Kuģi, kura garums ir 12 metru un lielāks, bet mazāks par 24 metriem un kura kuģošanas rajons ir līdz piecām jūras jūdzēm no patvēruma vietas, aprīko ar tādas ietilpības kolektīvajiem glābšanas līdzekļiem, kuros var izvietot visus uz kuģa esošos cilvēkus. Šie glābšanas līdzekļi ir piemēroti nolaišanai no kuģa jebkura borta. Ja uz kuģa ir mazāk par 12 cilvēkiem, kuģi var aprīkot tikai ar vienu pietiekamas ietilpības kolektīvo glābšanas līdzekli, neievērojot šo noteikumu 550.punkta prasību. Glābšanas līdzekli iespēju robežās izvieto tā, lai tas pastāvīgi būtu gatavs nolaišanai no kuģa jebkura borta.
553. Kuģus, kuru garums ir mazāks par septiņiem metriem un kuru kuģošanas rajons ir iekšējie ūdeņi vai kuģošana jūras piekrastē ar attālināšanos no krasta ne tālāk par piecām jūras jūdzēm, glābšanas plosta vietā var apgādāt ar sertificētu siltumaizsardzības līdzekli katram cilvēkam.
554. Ja inspekcija ir pārliecināta, ka kuģa konstrukcijas un ekspluatācijas metožu dēļ atsevišķu šo noteikumu prasību izpilde ir nelietderīga un praksē grūti īstenojama, tā var akceptēt atkāpes no šo prasību izpildes, paredzot, ka kuģis tiek aprīkots ar alternatīvu glābšanas līdzekli un tādu nolaišanas un pacelšanas aprīkojumu, kas atbilst kuģa izmantošanai.
555. Atbilstoši SOLAS konvencijas III nodaļas nosacījumiem glābšanas plosti nodrošināmi ar "B PACK" apgādi.
556. Kuģus, kuru kuģošanas rajons ir ostu iekšējie ūdeņi, glābšanas plostu vietā var apgādāt ar viegli nolaižamu nenogremdējamu laivu.
557. Pasažieru kuģus, kuru kuģošanas rajons ir iekšējie ūdeņi, var aprīkot ar cietajiem glābšanas plostiem, uz kuriem var izvietot ne mazāk par 50 % no paredzētā cilvēku kopskaita uz kuģa.
558. Esošos pasažieru kuģus, kuru garums ir mazāks par 24 metriem un kuri neveic starptautiskus reisus, aprīko ar glābšanas līdzekļiem atbilstoši normatīvo aktu prasībām par pasažieru kuģu drošību.
10.3. Glābšanas riņķi
559. Ne mazāk kā pusi no šo noteikumu 549.punktā minētajiem glābšanas riņķiem aprīko ar sertificēta tipa signālugunīm.
560. Tankkuģa divus glābšanas riņķus aprīko ar signālugunīm un ar pašaktivizējošu dūmu signālu, kuru, ja konstrukcija atļauj, ir iespējams ātri iedarbināt no navigācijas tiltiņa.
561. Uz katra kuģa borta vismaz vienu glābšanas riņķi aprīko ar peldošu glābšanas līni, kas garumā ir vienāda (bet nav mazāka) par dubultattālumu no glābšanas riņķa izvietošanas vietas līdz balastā esoša kuģa ūdenslīnijai vai ir 28 metrus gara (izvēlas lielāko garumu). Šādam glābšanas riņķim nav jābūt aprīkotam ar signāluguni.
562. Kuģim, kura garums nepārsniedz 15 metru, vismaz vienu glābšanas riņķi apgādā ar atbilstošu peldošu 10 metru garu glābšanas līni.
563. Visi glābšanas riņķi ir izvietoti tā, lai būtu viegli pieejami uz kuģa esošajiem cilvēkiem, viegli noņemami un tos varētu ātri mest cietušajam.
564. Pasažieru kuģus, kuru garums nepārsniedz 60 metru un kuru kuģošanas rajons ir iekšējie ūdeņi, apgādā ar vismaz sešiem glābšanas riņķiem, no kuriem viens ir ar signāluguni un divi ar peldošu līni.
565. Peldlīdzekļiem, kuru kuģošanas rajons ir līdz divām jūras jūdzēm, kuģojot tikai diennakts gaišajā laikā, signālugunis glābšanas riņķiem un glābšanas vestēm nav obligātas.
566. Uz stāvkuģa katra klāja ir vismaz viens glābšanas riņķis.
567. Katru glābšanas riņķi marķē ar kuģa vārdu un pieraksta ostu.
10.4. Glābšanas vestes
568. Katram uz kuģa esošajam cilvēkam ir paredzēta glābšanas veste, kas atbilst SOLAS konvencijas prasībām. Papildu glābšanas vestes ir dežūrpersonālam kuģa stūres mājā un mašīntelpā. Kuģiem, kuri pārvadā pasažierus, papildus ir paredzētas bērnu glābšanas vestes (ne mazāk kā 10 % no pasažieru kopskaita).
569. Glābšanas vestes izvieto viegli pieejamās vietās ar attiecīgām norādēm.
570. Ja kuģis ir apgādāts tikai ar piepūšamajām glābšanas vestēm, papildus vēl nodrošina 10 % no kopējā vestu skaita vai divas vestes (izvēlas lielāko skaitu).
10.5. Hidrotērpi un siltumu aizturošie līdzekļi (rekomendācija)
571. Hidrotērpi un siltumu aizturošie līdzekļi nav nepieciešami, ja kuģis ir aprīkots ar pilnīgi slēgtām glābšanas laivām ar tādu ietilpību uz katra borta, ka tajās var izvietot visus uz kuģa esošos cilvēkus, vai ar pietiekamas ietilpības brīvi krītošām glābšanas laivām visu uz borta esošo cilvēku izvietošanai.
10.6. Briesmu signāli
572. Katru kuģi aprīko ar efektīvu ierīci briesmu signālu raidīšanai gan dienā, gan naktī.
573. Visi briesmu signāli ir sertificēti. Tos izvieto marķētās, viegli pieejamās vietās.
574. Briesmu signālus atjauno saskaņā ar izgatavotāja instrukcijām ne vēlāk kā četrus gadus pēc to izgatavošanas datuma.
575. Katru kuģi apgādā ar:
575.1. trijām sarkanās krāsas signāllāpām, ja kuģošanas rajons ir līdz piecām jūras jūdzēm;
575.2. sešām sarkanās krāsas signāllāpām, ja kuģošanas rajons ir no piecām līdz 20 jūras jūdzēm;
575.3. 12 sarkanās krāsas signālraķetēm, ja kuģošanas rajons ir Baltijas jūra.
10.7. Gaismu atstarojošie materiāli uz glābšanas ierīcēm
576. Visas glābšanas laivas, plostus, glābšanas vestes un glābšanas riņķus aplīmē ar gaismu atstarojošiem materiāliem atbilstoši SOLAS konvencijas prasībām.
10.8. Glābšanas līdzekļu gatavība darbam, tehniskā apkope un pārbaudes
577. Pirms kuģa iziešanas no ostas un visā reisa laikā visus dzīvības glābšanas līdzekļus uztur darba kārtībā (gatavus tūlītējai izmantošanai).
10.9. Ikmēneša pārbaudes
578. Glābšanas līdzekļu apgādi pārbauda reizi mēnesī. Pārbaudes rezultātus ieraksta kuģa žurnālā.
10.10. Ikgadējās pārbaudes
579. Katra piepūšamā glābšanas plosta, piepūšamās glābšanas vestes pārbaudi veic ne retāk kā reizi 12 mēnešos glābšanas līdzekļu pārbaudes stacijā, kas sertificēta atbilstoši normatīvo aktu prasībām par jūras kuģu aprīkojumu.
580. Glābšanas riņķiem un glābšanas vestēm ikgadējās pārbaudes sertificētā pārbaudes stacijā var neveikt, ja šo glābšanas līdzekļu vizuālā pārbaude neļauj apšaubīt to derīgumu un derīgas ir arī šo glābšanas līdzekļu svilpes, baterijas un signālugunis.
10.11. Hidrostatisko atbrīvošanas ierīču periodiskās pārbaudes
581. Vienreizējai lietošanai paredzētu hidrostatisko atbrīvošanas ierīci nomaina, beidzoties tās lietošanas termiņam.
582. Ja hidrostatiskā atbrīvošanas ierīce nav paredzēta vienreizējai lietošanai, to pārbauda ne retāk kā reizi 12 mēnešos glābšanas līdzekļu pārbaudes stacijā, kas sertificēta atbilstoši normatīvo aktu prasībām par jūras kuģu aprīkojumu.
11. Trauksmes, trauksmju saraksti, apkalpes apmācība
11.1. Vispārējā avārijas trauksmes sistēma, trauksmju saraksti un mācību trauksmes
583. Šīs nodaļas prasības attiecas uz visiem ar komercdarbību saistītajiem kuģiem.
584. Vispārējās avārijas trauksmes signalizācijas sistēma uz kuģiem nodrošina trauksmes signāla (kas sastāv no septiņiem vai vairāk īsiem skaņas signāliem un tiem sekojoša gara skaņas signāla) raidīšanu ar kuģa svilpi vai sirēnu un papildus ar elektrisko zvanu vai citu līdzvērtīgu skaņas signāla ierīci, kas darbojas no kuģa galvenā vai avārijas elektroenerģijas avota.
585. Katram kuģa apkalpes loceklim nodrošina precīzu instrukciju, un avārijas gadījumā apkalpe darbojas saskaņā ar to.
586. Trauksmju sarakstu un avārijas instrukcijas izvieto vairākās vietās uz kuģa, tajā skaitā stūres mājā, mašīntelpā un kopkajītē.
587. Trauksmju sarakstā norāda vispārējās trauksmes signāla detaļas, kā arī darbības, kuras pēc trauksmes signāla veic apkalpe un pasažieri. Trauksmju sarakstā norāda arī, kā tiek dota pavēle atstāt kuģi.
588. Trauksmju sarakstā norāda katram apkalpes loceklim noteiktos pienākumus, tajā skaitā:
588.1. ūdensnecaurlaidīgo durvju, ugunsdrošo durvju, vārstu, ūdens noteku, iluminatoru, gaismas lūku, borta iluminatoru un citu līdzīgu kuģa atveru aizvēršana;
588.2. kolektīvo glābšanas līdzekļu un citu glābšanas līdzekļu sagatavošana un nolaišana;
588.3. citu glābšanas ierīču vispārējā sagatavošana;
588.4. sakaru līdzekļu lietošana;
588.5. ugunsdzēsēju komandas komplektēšana ugunsgrēka dzēšanai.
589. Kuģiem, kuru garums ir mazāks par 15 metriem un kas neveic pasažieru pārvadājumus, trauksmju saraksts nav nepieciešams.
590. Trauksmju sarakstā norāda, kurš virsnieks nodrošina glābšanas un ugunsdzēsības ierīču uzturēšanu labā stāvoklī un gatavību tūlītējai izmantošanai.
591. Trauksmju sarakstā norāda galveno atbildīgo personu aizvietotājus gadījumā, ja tiešais izpildītājs nespēj veikt paredzētos pienākumus.
592. Trauksmju sarakstu sagatavo pirms kuģa iziešanas jūrā. Ja mainās kuģa apkalpes sastāvs, kuģa kapteinis nodrošina nepieciešamos labojumus trauksmju sarakstā vai arī sagatavo jaunu sarakstu.
11.2. Kuģa atstāšanas mācības un trauksmes
593. Katrs kuģa apkalpes loceklis vismaz reizi mēnesī piedalās vienā kuģa atstāšanas apmācībā un vienā ugunsdzēsības apmācībā. Kuģiem, kuru garums ir mazāks par 24 metriem, inspekcija atvieglo šīs prasības, paredzot, ka kuģa atstāšanas un ugunsdzēsības mācību trauksmi rīko reizi trijos mēnešos. Kuģa apkalpes mācību trauksmes rīko 24 stundu laikā pēc kuģa iziešanas no ostas, ja iepriekšējā mēnesī vairāk par 25 % no kuģa apkalpes locekļiem nav piedalījušies uz kuģa rīkotajās kuģa atstāšanas un ugunsdzēsības mācību trauksmēs. Ja kuģis iziet jūrā pirmo reizi pēc būtiskām pārmaiņām vai ar jaunu apkalpi, šādas trauksmes rīko pirms kuģa iziešanas no ostas. Kuģiem, uz kuriem praktiski nav iespējams organizēt mācību trauksmi, inspekcija atļauj ievērot citus mācību trauksmju rīkošanas nosacījumus, ja šie nosacījumi ir vismaz līdzvērtīgi šajā punktā minētajiem.
594. Kuģa atstāšanas apmācībā iekļauj:
594.1. kuģa apkalpes izsaukšanu uz pulcēšanas vietām ar kuģa vispārējo avārijas trauksmes signālu, kas atbilst šo noteikumu 584.punktam, un kuģa apkalpes iepazīstināšanu ar:
594.1.2. kuģa atstāšanas kārtību atbilstoši trauksmju sarakstam;
594.1.3. apkalpes ierašanos pulcēšanās vietās un sagatavošanu trauksmju sarakstā norādīto pienākumu izpildei;
594.1.4. pārbaudi, vai apkalpes locekļi ir piemēroti apģērbušies;
594.1.5. pārbaudi, vai ir pareizi uzvilkta glābšanas veste;
594.2. katrā ugunsdzēsības apmācībā iekļauj:
594.2.1. apkalpes ierašanos pulcēšanās vietās un sagatavošanos trauksmju sarakstā norādīto pienākumu izpildei;
594.2.2. ugunsdzēšanas sūkņa ieslēgšanu, izmantojot vismaz divas ugunsdzēsības šļūtenes, lai pārliecinātos, ka sistēma ir darba kārtībā;
594.2.3. ugunsdzēsēja aprīkojuma un personāla glābšanas aprīkojuma pārbaudi;
594.2.4. attiecīgo sazināšanās līdzekļu pārbaudi;
594.2.5. ūdensnecaurlaidīgo durvju, ugunsdrošo durvju, ugunsslāpētāju un avārijas izeju pārbaudi;
594.2.6. kuģa atstāšanai nepieciešamā aprīkojuma pārbaudi.
595. Mācību trauksmes iespēju robežās organizē atbilstoši reālai avārijas situācijai.
596. Katras kuģa atstāšanas mācību trauksmes laikā pārbauda rezerves apgaismojumu avārijas pulcēšanās vietā.
11.3. Mācības un instruktāžas
597. Dzīvības glābšanas līdzekļu, tajā skaitā kolektīvo dzīvības glābšanas līdzekļu, un kuģa ugunsdzēšanas aprīkojuma lietošanas apmācības uz kuģa rīko ne vēlāk kā vienu dienu pēc apkalpes locekļa ierašanās uz kuģa. Ja apkalpes locekli regulāri norīko uz viena un tā paša kuģa saskaņā ar apkalpes rotācijas maiņas grafiku, tādas mācības rīko ne vēlāk kā divas nedēļas pēc šī apkalpes locekļa pirmās ierašanās uz kuģa.
598. Instruktāžas par dzīvības glābšanas ierīču izmantošanu un izdzīvošanu jūrā veic, ievērojot tādus intervālus, kādi noteikti mācību trauksmēm. Par atsevišķām dzīvības glābšanas sistēmām uz kuģa var tikt organizēta individuālā apmācība, bet par visu kuģa dzīvības glābšanas aprīkojumu un ierīcēm instruktāžas organizē ne retāk kā reizi trijos mēnešos.
599. Katru apkalpes locekli iepazīstina ar:
599.1. kuģa piepūšamo glābšanas plostu sagatavošanu un izmantošanu;
599.2. informāciju par ķermeņa atdzišanu un pirmo palīdzību, ja ķermenis atdzisis, kā arī citām pirmās palīdzības procedūrām;
599.3. kuģa glābšanas līdzekļu izmantošanu sliktos laikapstākļos un jūras viļņošanās apstākļos.
11.4. Dokumentācija un mācību rokasgrāmata
600. Inspekcijas noteiktajā kuģa žurnālā ieraksta mācību organizēšanas datumu, kā arī kuģa atstāšanas, ugunsdzēsības un citu glābšanas ierīču lietošanas un vispārējo apkalpes mācību norisi. Ja noteiktajā laikā nav notikušas visas paredzētās mācību trauksmes un mācības, kuģa žurnālā ieraksta informāciju par apstākļiem, kas traucējuši mācībām, kā arī organizēto mācību vai trauksmju skaitu un to ilgumu.
601. Katrā kuģa kopkajītē un atpūtas telpā vai katra apkalpes locekļa kajītē nodrošina mācību rokasgrāmatu. Instrukcijām un informācijai mācību rokasgrāmatā (tai var būt vairāki sējumi) ir jābūt skaidrā un viegli saprotamā valodā un, ja iespējams, ar ilustrācijām (uz kuģa esošajiem glābšanas līdzekļiem un labākajām izdzīvošanas metodēm). Jebkuru rokasgrāmatas instrukciju un informāciju var dublēt ar skaņas un video attēlu, atspoguļojot šādu informāciju:
601.1. glābšanas vestes un hidrokostīma uzvilkšana;
601.2. pulcēšanās kārtība tam paredzētajās vietās;
601.3. iekāpšana glābšanas ierīcē un tās nolaišana;
601.4. apgaismojums vietās, kur tiek nolaisti glābšanas līdzekļi;
601.5. visa izdzīvošanas aprīkojuma izmantošana;
601.6. radiolokācijas atstarotāja izmantošana;
601.7. glābšanas līdzekļu radioaprīkojuma izmantošana (ar ilustratīviem materiāliem);
601.8. peldošo enkuru izmantošana;
601.9. ķermeņa atdzišanas riski un silta apģērba nepieciešamība;
601.10. kā vislabāk izmantot glābšanas līdzekļus, lai izglābtos un izdzīvotu;
601.11. glābšanas metodes, tajā skaitā izmantojot helihoptera glābšanas aprīkojumu (stropes, grozus, nestuves), pacelšanas grozu, krasta glābšanas iekārtas un kuģu līnmetējus;
601.12. visi citi pasākumi, kas ir noteikti trauksmju sarakstā un avārijas instrukcijās;
601.13. glābšanas līdzekļu avārijas remonta instrukcijas.
602. Kuģiem, kuru garums ir mazāks par 24 metriem, inspekcija samazina šajā apakšnodaļā noteiktās prasības, taču uz kuģa atrodas atbilstoša drošības informācija.
11.5. Pasākumi gatavībai avārijas situācijām
603. Kuģa īpašnieks nosaka tādas apmācības, kas nodrošina, ka kuģa apkalpe ir atbilstoši apmācīta, lai izpildītu savus pienākumus avārijas gadījumā. Apmācībās apgūst:
603.1. iespējamos avāriju veidus (piemēram, sadursmes, ugunsgrēki un kuģa nogrimšana);
603.2. glābšanas līdzekļu veidus, kādi parasti ir uz kuģa;
603.3. izpratni par nepieciešamību stingri ievērot izdzīvošanas principus;
603.4. mācību trauksmju novērtēšanu;
603.5. gatavību jebkurām briesmām un pastāvīgas zināšanas par trauksmju sarakstos norādīto informāciju, tai skaitā:
603.5.1. katra apkalpes locekļa īpašos pienākumus avāriju gadījumā;
603.5.2. kolektīvos glābšanas līdzekļus;
603.5.3. trauksmju signālus;
603.5.4. vietas, kur novietotas glābšanas vestes un rezerves glābšanas vestes;
603.5.5. ugunsgrēka trauksmes signāla aktivizēšanas slēdžu un evakuācijas ceļus;
603.5.6. informāciju par panikas sekām;
603.5.7. darbības, kas saistītas ar personu pacelšanu no kuģiem un glābšanas līdzekļiem ar helikopteru;
603.6. darbības, kad ir izziņota iekāpšana kolektīvajā glābšanas līdzeklī, tai skaitā:
603.6.1. apģērbšanos piemērotā apģērbā;
603.6.2. glābšanas vestes uzvilkšanu;
603.6.3. papildu aizsarglīdzekļu (piemēram, segu) savākšanu;
603.7. darbības situācijā, kad dots rīkojums atstāt kuģi, tajā skaitā:
603.7.1. iekāpšana glābšanas līdzeklī no kuģa un no ūdens;
603.7.2. ielēkšana jūrā no augstuma un ievainojuma riska samazināšana, ielecot ūdenī;
603.8. darbības, kādas veic, lai izdzīvotu, nokļūstot:
603.8.1. uz ūdens esošā ugunī vai naftā;
603.8.2. zemas temperatūras apstākļos;
603.8.3. ūdeņos, kur dzīvo haizivis;
603.9. prasmi apgriezt pareizā stāvoklī apgāzušos glābšanas līdzekli;
603.10. darbības, kas veicamas, atrodoties glābšanas līdzeklī, lai:
603.10.1. iespējami ātrāk aizpeldētu drošā attālumā no kuģa;
603.10.2. aizsargātos pret aukstumu vai karstumu;
603.10.3. izmantotu peldošo enkuru vai jūras enkuru;
603.10.4. nodrošinātu apkārtnes novērošanu;
603.10.5. palīdzētu atgūties izdzīvojušajiem un, ja nepieciešams, tos aprūpētu;
603.10.6. veicinātu glābšanas līdzekļa atklāšanu, atrašanu;
603.10.7. pārbaudītu glābšanas līdzekļa aprīkojuma lietošanas derīgumu un izmantotu to pareizi;
603.10.8. pēc iespējas atrastos redzamības robežās;
603.11. galvenās briesmas izdzīvojušajiem un galvenos izdzīvošanas principus, tajā skaitā:
603.11.1. piesardzības pasākumus, kas veicami zemas temperatūras apstākļos;
603.11.2. piesardzības pasākumus, kas veicami tropu klimatiskajos apstākļos;
603.11.3. saules, vēja, lietus un jūras iedarbību;
603.11.4. piemērota apģērba nepieciešamību;
603.11.5. aizsardzības pasākumus glābšanas līdzeklī;
603.11.6. ūdenī iegremdēšanās un atdzišanas efektu;
603.11.7. nepieciešamību saglabāt ķermeņa šķidrumu;
603.11.8. aizsardzību pret jūras slimību;
603.11.9. svaiga ūdens un pārtikas pareizu lietošanu;
603.11.10. jūras ūdens dzeršanas ietekmi uz cilvēka organismu;
603.11.11. pieejamos līdzekļus, lai plosts būtu vieglāk pamanāms;
603.11.12. nepieciešamību saglabāt morāles principus;
603.12. darbības, kādas veic, dzēšot ugunsgrēku:
603.12.1. ugunsdzēšanas šļūteņu (ar dažādām sprauslām (stobriem)) lietošanu;
603.12.2. ugunsdzēšamo aparātu lietošanu;
603.12.3. informāciju par ugunsdrošo durvju izvietojumu;
603.12.4. elpošanas aparātu lietošanu.
12. Dzīvojamās telpas
12.1. Vispārīgie nosacījumi
604. Šī nodaļa attiecas uz jauniem kuģiem. Uz esošiem kuģiem šīs nodaļas prasības attiecas tik daudz, cik tās ir iespējams praktiski īstenot, ņemot vērā kuģa izmērus, konstrukciju un ekonomiskos apsvērumus.
605. Ja kuģa izmēri, uzbūve un citas īpatnības neļauj izpildīt visas šīs nodaļas prasības, inspekcija pieļauj atvieglojumus ar nosacījumu, ka kuģa īpašnieks pierāda pieprasīto atvieglojumu kompensēšanu ar citiem ekvivalentiem pasākumiem, šādi nodrošinot, ka kopējais stāvoklis nav sliktāks par to, kāds būtu, ievērojot visus šīs nodaļas noteikumus.
606. Kuģiem, kuru garums ir mazāks par 24 metriem, inspekcija, ņemot vērā apstākļus uz konkrētā kuģa, var piemērot vieglākus nosacījumus par šīs nodaļas noteikumiem.
607. Uz kuģiem, kas atrodas jūrā mazāk par 36 stundām un kuru apkalpe nedzīvo uz kuģa, tam atrodoties ostā, inspekcija piemēro atvieglotas prasības attiecībā uz ventilāciju, guļamtelpām un ēdamtelpām, kambīzēm, produktu noliktavām ar nosacījumu, ka uz šādiem kuģiem tiek nodrošinātas sanitārās iekārtas un iespēja uzglabāt apgādi un produktus, kā arī iespēja sagatavot un ieturēt maltītes, un nodrošinātas atpūtas telpas ar guļvietām.
608. Uz kuģiem, kuru garums ir 24 metri un lielāks, inspekcija, ņemot vērā katra kuģa īpašos apstākļus, attiecībā uz materiālu izvietojumu un konstrukciju, apgaismojumu un apkuri, ventilāciju, ēdamtelpām, kambīzi, produktu noliktavām un sanitārajām telpām var piemērot vieglākas prasības par šajos noteikumos noteiktajām.
12.2. Atzīšana un inspekcijas (apskates)
609. Jauno kuģu rasējumus, informāciju par apkalpošanas telpām un aprīkojumu, paredzamo bruto tilpību, apkalpes locekļu skaitu un to sadalījumu pēc amatiem iesniedz inspekcijai vai atzītai organizācijai apstiprināšanai. Rasējumos ir redzams dzīvojamo telpu izvietojums, izmēri un iekārtojums, telpu izmantošana, apkures, ventilācijas iekārtojums un izejas.
610. Atbilstošus rasējumus un informāciju iesniedz inspekcijai vai atzītai organizācijai pirms dzīvojamo telpu pārbūves un izmaiņu veikšanas tajās uz esošajiem kuģiem.
611. Inspekcija vai atzīta organizācija veic dzīvojamo telpu apskati pirms kuģa nodošanas ekspluatācijā, kā arī pēc dzīvojamo un apkalpošanas telpu pārbūves.
612. Inspekcija vai atzīta organizācija ir tiesīga jebkurā laikā veikt inspekciju dzīvojamās un apkalpošanas telpās bez iepriekšēja brīdinājuma.
12.3. Materiālu izvietošana
613. Dzīvojamās telpās neizvieto indīgas, viegli uzliesmojošas vai smakojošas vielas.
614. Dzīvojamās telpās nenovieto mantas vai apgādi, kas nav kuģa komandas īpašums. Uz kuģiem, kuru garums ir mazāks par 24 metriem, ir atļauts ierīkot ar dzīvojamām telpām saistītu nodalījumu kuģa aprīkojuma uzglabāšanai (izņemot šo noteikumu 613.punktā noteiktās vielas), ja tas nerada briesmas vai neērtības kuģa komandai.
615. Dzīvojamo telpu, koridoru un kambīzes sienas un griestus krāso gaišos toņos. Nedrīkst izmantot nenoturīgas krāsas, kuras var noberzt no krāsotās virsmas, tām pieskaroties.
12.4. Izvietojums un konstrukcija
616. Dzīvojamās telpas izvieto zem klāja vai konstruktīvi pietiekami izturīgās virsbūvēs. Nodrošina pietiekamu aizsardzību pret jūras un sliktu laikapstākļu ietekmi, izolāciju pret karstumu, aukstumu un troksni.
617. Dzīvojamās telpas neizvieto priekšgalā pirms triecienstarpsienas. Tas attiecas uz telpām gan virs, gan zem darba klāja.
618. Uz kuģiem, kuru garums ir 24 metri un lielāks, dzīvojamās telpas neizvieto zemāk par klāju, kas atrodas zem darba klāja. Guļamtelpas iespēju robežās izvieto kuģa vidusdaļā vai pakaļgalā.
619. Nav atļauts no guļamtelpām vai ēdamtelpām ierīkot tiešas ieejas koplietošanas tualetēs, dušās, mašīntelpās, kravas telpās, krāsu noliktavās, žāvētavās un citās tamlīdzīgās telpās.
620. Ja no viena un tā paša koridora ir ieeja guļamtelpā un mašīntelpā, mašīntelpas durvis izgatavo no tērauda un aprīko ar mehānismu, kas tās pastāvīgi tur aizvērtas.
621. Ja iespējams, paredz līdzekļus, lai pasargātu nesmēķētājus no tabakas dūmu iedarbības.
622. Koridori, ko izmanto nokļūšanai dzīvojamajās telpās, ir vismaz 90 cm plati.
623. Uz koridoru sienām atļauts izvietot ugunsdzēsības signalizācijas kārbas, ventilācijas kanālus, kabeļus un tamlīdzīgu aprīkojumu, ja tas netraucē cilvēku pārvietošanos. Jebkurā koridora punktā brīvais platums ir vismaz 60 cm.
624. Ja koridoru izmanto tikai viens vai divi cilvēki, atļauts samazināt tā platumu līdz 60 cm.
625. Uz kuģiem, kuru garums ir 60 metru un lielāks, koridori, kas beidzas ar strupceļu, nav garāki par septiņiem metriem, bet uz kuģiem, kuru garums ir mazāks par 60 m, koridori nav garāki par 2,5 m un to laukums nepārsniedz 5,0 m2.
626. Durvis uz kuģiem atbilst šādiem nosacījumiem:
626.1. visām durvīm no atklāta klāja uz lazaretēm brīvais platums nav mazāks par 750 mm;
626.2. durvīm, kas nodrošina pieeju kāpņu telpām vai evakuācijas ceļiem, brīvais platums nav mazāks par 700 mm;
626.3. durvīm, kas nodrošina pieeju sabiedriskajām telpām un kajītēm, brīvais platums nav mazāks par 650 mm;
626.4. durvīm uz tualetēm un dušām brīvais platums nav mazāks par 600 mm;
626.5. durvju aiļu augstums no klāja pārseguma līdz augšējā rāmja apakšējai malai ir 1,88 m.
627. Uz kuģiem, kuru garums ir mazāks par 24 metriem, inspekcija atļauj atkāpes no noteiktajiem durvju platumiem, ņemot vērā kuģa izmērus un ekspluatācijas apstākļus.
628. Visus koridorus un kāpnes, kas ved uz dzīvojamām telpām, aprīko ar atbilstošiem rokturiem (ja iespējams, abās pusēs).
629. Nodrošina vismaz divas izejas no dzīvojamām telpām. Izejas ierīko iespējami tālu vienu no otras.
630. Viena no izejām var būt avārijas izeja caur lūku (durvīm) vai iluminatoru (logu). Nodrošina, lai avārijas izeja atbilstu šādām prasībām:
630.1. brīvā atvere lūkai vai durvīm ir vismaz 600 x 600 mm;
630.2. lūka vai durvis ir atveramas no iekšpuses bez atslēgu vai instrumentu palīdzības;
630.3. ja par avārijas izeju izmanto iluminatoru vai logu, iluminatora brīvo atveri paredz vismaz 450 mm diametrā, loga atveres īsāko malu paredz vismaz 450 mm;
630.4. ja ceļš uz avārijas izeju ved caur atsevišķām telpām, šo telpu durvis nav noslēdzamas, ja tās nav aprīkotas ar speciāliem izsitamiem pildiņiem;
630.5. lai atvieglotu izkļūšanu caur avārijas izeju, uzstāda atbilstošas kāpnes, pakāpienus un rokturus;
630.6. uz visiem izejas elementiem ir uzraksts "Avārijas izeja".
631. Dzīvojamo telpu ārsienas un starpsienas, kas atdala dzīvojamās telpas no koplietošanas tualetēm, mazgāšanās telpām, mašīntelpām, kravas telpām, noliktavām, krāsu glabātavām, žāvētavām vai citām līdzīgām telpām, izgatavo no tērauda vai cita materiāla un paredz, ka tās ir ūdens un gāzu necaurlaidīgas.
632. Ja tērauda klāji vai starpsienas norobežo dzīvojamās telpas no degvielas cisternām, klājus un starpsienas projektē ar vismaz 40 mm biezu pārklājumu no degtnespējīga materiāla. Dzīvojamās telpās neierīko līdlūkas vai citas atveres, kas ved uz degvielas kravas tilpnēm.
633. Ja caur dzīvojamām telpām velk enkurķēdes, tās ievieto atbilstoša izmēra ūdensnecaurlaidīgās caurulēs vai kastēs, kas ir pienācīgi izolētas.
634. Apkalpes dzīvojamajās telpās grīdas izgatavo no piemērota materiāla (materiālam jābūt izturīgam pret deformēšanos, pūšanu un koroziju paaugstināta mitruma apstākļos un viegli kopjamam), konstrukcijas izgatavo izturīgas pret mitrumu un viegli uzkopjamas.
635. Uzstāda atbilstoša izmēra notekas.
636. Izmanto visus iespējamos līdzekļus, lai nepieļautu kukaiņu iekļūšanu dzīvojamās telpās.
637. Ārsienas, klājus un citas konstrukcijas, kas norobežo dzīvojamās telpas, izolē ar vismaz 50 mm biezu sertificētu degtnespējīgu izolācijas materiālu. Starpsienas starp dzīvojamām telpām un mašīntelpām vai kravas telpām uz kuģiem ar tērauda korpusu izgatavo no tērauda. Uz koka kuģiem šīs starpsienas izgatavo no 60 mm bieza koka un pārklāj ar izolācijas plāksnēm.
638. Dzīvojamās telpās karstā ūdens un tvaika caurules rūpīgi nosedz, lai, tām nejauši pieskaroties, nevarētu gūt apdegumus. Ja dzīvojamās telpas vai koridori, kas ved uz dzīvojamām telpām, atrodas līdzās kambīzei, mašīntelpai vai citai telpai, kurā temperatūra ir daudz augstāka, starpsienas izolē ar sertificētu degtnespējīgu izolācijas materiālu.
639. Neizmanto azbestu saturošus izolācijas materiālus.
12.5. Apgaismojums un apkure
640. Visas dzīvojamās telpas nodrošina ar pietiekamu apgaismojumu. Paredz tādu dabīgā apgaismojuma intensitāti, lai skaidrā dienā cilvēks ar normālu redzi jebkurā dzīvojamās telpas vietā varētu lasīt avīzi. Ja nav iespējams nodrošināt pietiekamu dabīgo apgaismojumu, iekārto ekvivalentas intensitātes mākslīgo apgaismojumu.
641. Apkalpes dzīvojamajās telpās ierīko elektrisko apgaismojumu. Ja uz kuģa nav divu neatkarīgu elektroenerģijas avotu apgaismojuma nodrošināšanai, avārijas apgaismojumam izmanto piemērotus bateriju lukturus.
642. Neatkarīgie elektriskās enerģijas avoti ir vai nu kuģa elektroenerģijas piegādes sistēma, vai rezerves un avārijas enerģijas avots. Tā kā avārijas elektroapgādes avots ir atdalīts no elektroapgādes sistēmas, nav noteikts palīgdzinēju skaits, kas iekļauts kopējā kuģa elektroapgādes sistēmā. Atdalīts kontūrs netiek prasīts avārijas apgaismojumam dzīvojamajās telpās.
643. Guļamtelpās pie katras kojas lasīšanai iekārto lampu ar slēdzi.
644. Dzīvojamās telpās par pietiekamu uzskatāma šāda mākslīgā apgaismojuma intensitāte:
644.1. guļamtelpās:
644.1.1. vispārējais apgaismojums - 50 luksi;
644.1.2. apgaismojums uz galdiem lasīšanai un rakstīšanai - 200 luksi;
644.2. ēdamtelpās un atpūtas telpās:
644.2.1. vispārējais apgaismojums - 50 luksi;
644.2.2. apgaismojums uz galdiem - 150 luksi;
644.2.3. apgaismojums uz galdiem lasīšanai, rakstīšanai, spēlēm - 200 luksi;
644.3. sanitārajās telpās:
644.3.1. vispārējais apgaismojums - 50 luksi;
644.3.2. apgaismojums pie spoguļiem - 200 luksi;
644.4. vispārējais apgaismojums koridoros un kāpņu telpās - 50 luksi;
644.5. izolatorā darba gaisma virs kojas - 200 luksi.
645. Uz visiem kuģiem dzīvojamās telpas aprīko ar atbilstošu apkures sistēmu.
646. Ja kuģis strādā apstākļos, kad nepieciešama apkure, nodrošina apkures sistēmas darbību. Paredz pietiekamu apkures jaudu, lai uzturētu telpās vismaz +20 oC temperatūru jebkuros kuģa ekspluatācijas apstākļos.
647. Uz kuģiem apkurei neizmanto atklātu uguni.
648. Izmanto elektriskos sildītājus, kas piemēroti nepārtrauktam darbam.
649. Radiatorus un citas sildāmierīces apgādā ar attiecīgiem vairogiem un izvieto tā, lai tās neradītu briesmas vai neērtības.
12.6. Ventilācija
650. Dzīvojamās telpās nodrošina gan pieplūdes, gan izplūdes ventilāciju visos ekspluatācijas apstākļos, arī tad, ja durvis, iluminatori, lūkas vai citas atveres ir slēgtas.
651. Ventilācijas atveres pieplūdes un izplūdes ventilācijai izvieto tā, lai telpa tiktu labi izvēdināta. Pieplūdes atveres izvieto tā, lai telpās nevarētu ieplūst kaitīgas gāzes.
652. Ventilācijas atveres neizvieto virs kojām vai to tiešā tuvumā.
653. Telpas, kas ir paredzētas uzliesmojošu, kodīgu vai smakojošu vielu uzglabāšanai, vēdina atsevišķi no kopējās ventilācijas sistēmas.
654. Uz kuģiem ar dabīgo ventilāciju gaisa izplūdi no telpām nodrošina caur vārstiem durvīs vai starpsienās uz koridoriem, no kuriem nodrošina izplūdi atmosfērā.
655. Uz kuģiem ar dabīgo ventilāciju guļamtelpās gan pieplūdes gan izplūdes kanālu šķērsgriezuma laukums ir vismaz 7,5 cm2 uz katru personu, kam šī telpa ir domāta, taču ne mazāka par 30 cm2.
656. Uz kuģiem ar dabīgo ventilāciju ēdamtelpās gan pieplūdes gan izplūdes kanālu šķērsgriezuma laukums ir vismaz 7,5 cm2 uz katru personu, kam šī telpa ir domāta.
657. Uz kuģiem ar dabīgo ventilāciju gaisa kanālus iekārto iespējami īsus, ar minimāli iespējamo līkumu skaitu.
658. Uz kuģiem, kuru garums ir 45 metri un lielāks, ventilācija ir mehāniska.
659. Mehāniskās ventilācijas ražībai jābūt tādai, lai katrā telpā nodrošinātu seškārtēju gaisa apmaiņu stundā.
660. Paredz regulējamu ventilācijas sistēmu.
661. Pieplūdes un izplūdes gaisa kanālus veido pietiekami lielus, lai gaisa ātrums tajos nepārsniegtu sešus metrus sekundē.
662. Gaisa izplūdi var novirzīt uz koridoriem vai tieši atmosfērā.
663. Ja tualetēm un dušas telpām ir paredzēta atsevišķa mehāniskā ventilācijas sistēma, dzīvojamo telpu ventilācijas sistēmā ir pieļaujama līdz 50 % gaisa recirkulācija.
664. Kuģa ekspluatācijas laikā nodrošina nepārtrauktu ventilācijas sistēmas darbību.
665. Kuģi nodrošina ar nepieciešamajām rezerves daļām, lai varētu ventilācijas sistēmu uzturēt darba kārtībā.
666. Ventilācijas un gaisa kondicionēšanas sistēmas aprīko ar attiecīgiem filtriem gaisa iesūkšanas vietās, tās speciāli projektē darbam jūras apstākļos. Minētās sistēmas nedrīkst radīt troksni vai vibrāciju, kas rada neērtības.
667. Tualetēs un dušas telpās ierīko atsevišķu ventilāciju ar izvadu atmosfērā.
668. Uz kuģiem, kuru garums ir 45 metri un lielāks, tualetēs un dušās ierīko speciālu vilkmes ventilāciju ar tiešu izvadu atmosfērā. Vilkmes ventilācijas jaudai jābūt tādai, lai nodrošinātu desmitkārtēju gaisa apmaiņu stundā. Gaisa padevi uz tualetēm un dušām nodrošina ar atvērumiem zem durvīm no blakus esošajām guļamtelpām vai koridoriem.
669. Ventilāciju (izņemot mehānisko ventilāciju) kanālu ārpusē aprīko ar vāku.
670. Ja kambīzē ir uzstādīta plīts ēdiena gatavošanai, virs tās uzstāda tvaiku nosūcēju ar izvadu atmosfērā.
671. Lazaretes ventilāciju iekārto tā, lai gaiss no tās nenonāktu citās dzīvojamās telpās. Durvīs no lazaretes uz koridoru, pa kuru var nokļūt pārējās dzīvojamās telpās, neierīko ventilācijas atveres.
12.7. Guļamtelpas
672. Guļamtelpas būvē un aprīko tā, lai tās būtu viegli uzturēt tīras un lai tās sniegtu atbilstošu komforta līmeni.
673. Cilvēku skaits vienā guļamtelpā nepārsniedz:
673.1. virsniekiem - vienu cilvēku;
673.2. ierindas jūrniekiem uz kuģiem, kuru garums ir mazāks par 45 metriem, - četrus cilvēkus;
673.3. ierindas jūrniekiem uz kuģiem, kuru garums ir 45 metri un lielāks, - 2 cilvēkus.
674. Uz guļamtelpu durvīm ir norāde, kādam cilvēku skaitam un kam telpa ir paredzēta.
675. Katram cilvēkam, kuram ir domāta guļamtelpa, paredz vismaz šādu brīvās telpas platību, neskaitot laukumus zem un virs kojām, skapjiem un citām stacionāri uzstādītām mēbelēm:
675.1. uz kuģiem, kuru garums ir 24 metri un mazāks, - 0,75 m2;
675.2. uz kuģiem, kuru garums ir 24 metri un lielāks, - 1,0 m2.
676. Brīvo griestu augstums dzīvojamās telpās un koridoros ir vismaz 1,98 m.
677. Katram apkalpes loceklim paredz atsevišķu koju.
678. Kojas izvieto tā, lai tās nebūtu izvietotas cieši blakus.
679. Vienu virs otras neizvieto vairāk kā divas kojas.
680. Ja kojas izvieto vienu virs otras, apakšējā koja nav zemāk kā 30 cm virs grīdas, bet augšējo izvieto apmēram vidū starp apakšējo koju un griestiem.
681. Kojas iekšējie izmēri nav mazāki par 1,98 m x 0,68 m. Uz kuģiem, kuru garums ir mazāks par 24 metriem, pieļaujams izmērs 1,98 m x 0,58 m. Īpašos gadījumos ir pieļaujams, ka kojas platums vienā tās galā ir nedaudz mazāks.
682. Kojas karkasu un malas izgatavo no piemērota materiāla - cieta, gluda, noturīga pret rūsēšanu, kaitēkļiem un parazītiem. Katru koju apgādā ar matraci. Matrača pildījumam izmanto materiālu, kas ir drošs pret parazītiem. Ja kojas izvieto vienu virs otras, zem augšējās kojas ierīko putekļu necaurlaidīgu pamatni no koka, audekla, brezenta vai cita piemērota materiāla.
683. Guļamtelpās iekārto aizveramus drēbju skapjus, kuros ir piederumi drēbju pakāršanai. Iekārto arī skapi ar atvilktnēm (atvilktnes tilpums - vismaz 0,056 m3 katram cilvēkam, kuram paredzēta telpa).
684. Katrā guļamtelpā novieto galdu un paredz cilvēku skaitam atbilstošu krēslu daudzumu.
685. Mēbeles izgatavo no piemērota materiāla (materiālam jābūt izturīgam pret deformēšanos, pūšanu un koroziju paaugstināta mitruma apstākļos un viegli kopjamam).
686. Guļamtelpu iluminatoriem nodrošina aizkarus.
687. Guļamtelpā vai tualetē nodrošina spoguli, grāmatplauktu un pietiekamu daudzumu drēbju pakaramo. Katram cilvēkam paredz nelielu plauktiņu tualetes piederumiem.
12.8. Ēdamtelpas, kambīze, produktu noliktavas
688. Uz kuģa, kura apkalpē ir četri cilvēki vai vairāk, ēdamtelpu atdala no guļamtelpas.
689. Ēdamtelpas ierīko pietiekami lielas un aprīko ar pietiekamu galdu un krēslu daudzumu tam cilvēku skaitam, kas vienlaikus varētu tur atrasties.
690. Ja ēdamtelpa un kambīze ir atdalītas, tās ierīko iespējami tuvu vienu otrai.
691. Mēbeles ēdamtelpās izgatavo no piemērota materiāla (materiālam jābūt izturīgam pret deformēšanos, pūšanu un koroziju paaugstināta mitruma apstākļos un viegli kopjamam). Galdu virsmas un sēdekļus izgatavo no materiāla, kas ir izturīgs pret mitrumu un ko viegli uzturēt tīru.
692. Kambīzi atdala no guļamtelpām.
693. Kambīzi ierīko pietiekami lielu un tajā nodrošina labu apgaismojumu, ventilāciju un notekas atbilstoši šo noteikumu 635.punkta prasībām.
694. Kambīzi aprīko ar iekārtām ēdiena pagatavošanai, ar trauku skapjiem un plauktiem pietiekamā daudzumā, un ar nerūsējoša materiāla izlietnēm. Ierīko dzeramā ūdens padevi pa cauruļvadiem no attiecīgajām cisternām. Ja nav paredzēta karstā ūdens padeve, uzstāda ierīces ūdens sildīšanai.
695. Ierīko pietiekami lielas, sausas, vēsas un labi ventilējamas produktu noliktavas. Uz kuģiem, kuru garums ir 24 metri un lielāks, uzstāda ledusskapjus vai citas saldēšanas ierīces produktu glabāšanai zemā temperatūrā.
696. Stacionārās dzeramā ūdens cisternas norobežo no cisternām, kas paredzētas citiem šķidrumiem (izmanto koferdamus). Atļauts neierīkot koferdamu starp dzeramā ūdens cisternām un cisternām, kurās ir jūras ūdens. Lai varētu veikt dzeramā ūdens cisternu pārbaudi gan no ārpuses, gan iekšpuses, ierīko līdlūkas. Ja cisterna ir pārāk maza, lai varētu tajā iekļūt, nodrošina pietiekamu skaitu lūku cisternas tīrīšanai. Līdlūku un tīrīšanas lūku vākus nostiprina uz vismaz 50 mm augstām apmalēm. Uz vāka jābūt uzrakstam "Dzeramais ūdens".
697. Visas cisternu tērauda daļas savieno tikai ar metināšanas palīdzību. Visas cisternu iekšējās virsmas pārklāj ar sertificētu pārklājumu.
698. Citu kuģa sistēmu cauruļvadi šķērso dzeramā ūdens cisternas tikai tad, ja tie ir izvietoti speciālā šahtā, kuras sienu biezums ir vienāds ar cisternas sienu biezumu.
699. Cisternu iztukšo vai nu ar sūkņa palīdzību, ūdeni izsūcot no cisternas zemākā punkta, vai arī caur noteku. Dzeramā ūdens cisternu noteku aizgriežņus izgatavo citāda izmēra nekā citām cisternām, lai tos nevarētu sajaukt ar citu sistēmu noteku aizgriežņiem.
700. Dzeramā ūdens cisternu iepildīšanas caurules, kas paredzētas cisternu piepildīšanai no krasta, ierīko, izvirzot tās 400 mm virs klāja. Šo cauruļu vākus ierīko noslēdzamus ar atslēgu un uz tiem jābūt uzrakstam "Dzeramais ūdens". Uz kuģiem, kuru garums ir mazāks par 24 metriem, ja to prasa īpaši apstākļi, ir pieļaujams, ka iepildes cauruļu galus iekārto zemāk. Dzeramā ūdens cisternas aprīko ar mērīšanas caurulēm.
701. Paredz tādu mērīšanas cauruļu konstrukciju, kas nepieļauj netīrumu iekļūšanu cisternā, tās iekārto noslēdzamas ar atslēgu. Uz caurulēm jābūt uzrakstam "Dzeramais ūdens".
702. Dzeramā ūdens cisternas aprīko ar vismaz divām gaisa caurulēm, kurās uzstāda filtrējošus tīklus.
703. Dzeramā ūdens sistēma nedrīkst būt savienota ar citām kuģa sistēmām. To izgatavo no sertificētiem materiāliem, ievērojot šādus nosacījumus:
703.1. caurules, kuras var sasalt, attiecīgi izolē;
703.2. izmanto centrbēdzes, membrānas vai cita sertificēta tipa sūkņus. Nedrīkst izmantot sūkņus, kuru darbībai nepieciešama tādu sūkņa daļu eļļošana, kas nonāk saskarē ar dzeramo ūdeni;
703.3. cauruļvadi nedrīkst šķērsot cisternas, kas paredzētas citiem šķidrumiem, izņemot jūras ūdeni;
703.4. var ierīkot tikai sertificēta tipa dezinfekcijas aprīkojumu (ja tāds ir paredzēts).
704. Uzstāda tikai sertificētu dzeramā ūdens ģeneratoru (ja tāds ir paredzēts). Atveres jūras ūdens ņemšanai dzeramā ūdens ģeneratoram izvieto tā, lai to tuvumā nebūtu citu kuģa sistēmu izplūdes atveres.
705. Kuģošanas dokumentus izsniedz tikai tādā gadījumā, ja inspekcijā iesniegtie ūdens analīžu rezultāti norāda, ka dzeramais ūdens ir derīgs lietošanai.
12.9. Sanitārās telpas
706. Uz kuģa ierīko dušas ar karstu un aukstu ūdeni, izlietnes roku mazgāšanai un tualetes. Šajās telpās nodrošina labu ventilāciju.
707. Uz kuģiem, kuru garums ir mazāks par 24 metriem, iekārto vismaz vienu tualeti uz astoņiem cilvēkiem.
708. Uz kuģiem, kuru garums ir 24 metri un lielāks, paredz šādas sanitārā aprīkojuma normas (neskaitot apkalpes locekļus, kuri ir izvietoti atsevišķās kajītēs ar tur iekārtotu dušu un tualeti):
708.1. viena vanna un/vai duša uz astoņiem cilvēkiem;
708.2. viena tualete uz sešiem cilvēkiem;
708.2. viena izlietne uz četriem cilvēkiem.
709. Uz kuģiem, kuru garums ir 45 metri un lielāks, ierīko atsevišķu papildu tualeti stūres mājas tiešā tuvumā. Uz kuģiem, kuru garums ir 85 metri un lielāks, ierīko atsevišķu papildu tualeti mašīntelpas tiešā tuvumā.
710. Tualetes un dušas telpas ierīko atbilstoši šādām prasībām:
710.1. ierīko tikai skalojamas tualetes;
710.2. katrā atsevišķā tualetes telpā ierīko izlietni roku mazgāšanai;
710.3. nodrošina karstā un aukstā ūdens padevi katrai atsevišķai dušai vai roku mazgāšanas izlietnei;
710.4. iekārto izlietnes, dušas telpas vai kabīnes;
710.5. grīdu aprīko ar atbilstošām notekām;
710.6. nodrošina starpsienu ūdensnecaurlaidību vismaz 300 mm augstumā virs grīdas;
710.7. tualetes izvieto tā, lai tās būtu ērti sasniedzamas no guļamtelpām un dušām, bet būtu atdalītas no tām. Ieeja tualetē nedrīkst būt tieši no guļamtelpas, kas paredzēta vairāk kā vienam cilvēkam, vai no citām telpām, izņemot koridorus;
710.8. durvis uz tualetēm un dušas telpām ierīko noslēdzamas.
711. Ierīko pietiekami lielas grīdas notekas. Noteku konstrukcijai jābūt tādai, lai nerastos aizdambējumi un lai būtu viegli tās uzturēt tīras. Notekas neizvada caur dzeramā ūdens kravas tilpnēm. Ja notekas ierīko caur kambīzi, ēdamtelpām vai guļamtelpām, tās pienācīgi izolē un nosedz.
712. Uz kuģiem, kuru garums ir 24 metri un lielāks, paredz iekārtas drēbju mazgāšanai un žāvēšanai. To jaudas nosaka, ņemot vērā kuģa apkalpes locekļu skaitu un reisu ilgumu.
713. Ja nav praktiski iespējams ierīkot atsevišķu telpu drēbju mazgāšanai, mazgāšanas iekārtu var izvietot dušas telpās.
714. Uzstāda aprīkojumu drēbju žāvēšanai. To izvieto labi apsildāmā un ventilējamā telpā atsevišķi no guļamtelpām un ēdamtelpām.
715. Ja nav iespējams ierīkot atsevišķu telpu drēbju žāvēšanai, var izmantot jebkuru citu atbilstošu telpu.
12.10. Lazaretes un izolatori
716. Uz kuģiem, kuru garums ir 45 metri un lielāks, iekārto atsevišķu izolatoru ar divām gultām, bet, ja kuģa apkalpē ir 18 cilvēku vai mazāk, pietiek ar vienu gultu.
717. Ja uz kuģa katram apkalpes loceklim ir paredzēta atsevišķa kajīte ar atsevišķu tualeti, izolatora vietā tiek ierīkota atsevišķa procedūru telpa neatkarīgi no apkalpes locekļu skaita. Šo telpu aprīko ar vannu un izlietni roku mazgāšanai, un no tās iekārto tiešu ieeju tualetē.
718. Izolatoru vai procedūru telpu iekārto vietā, kur trokšņa un vibrāciju ietekme ir minimāla, lai slimā persona varētu justies iespējami komfortabli jebkuros laikapstākļos.
719. Ierīko vismaz 750 mm platas durvis no ārējā klāja uz izolatoru, lai būtu iespējams ienest cilvēku uz nestuvēm.
720. Gultu vai gultas novieto tā, lai pie tām būtu brīva pieeja no abiem sāniem un gala.
721. Pie katras gultas ierīko zvana pogu.
722. Tieši blakus izolatoram paredz mazgājamo telpu ar tualeti un izlietni roku mazgāšanai. No izolatora ierīko tiešu ieeju mazgājamajā telpā. Papildus mazgājamajā telpā vai izolatorā ierīko vismaz 1500 mm garu vannu ar nepieciešamo aprīkojumu.
723. Izolatora vai procedūru telpas platībai jābūt vismaz 6,5 m2.
724. Izolatoru vai procedūru telpu attiecīgi apzīmē un izmanto tikai paredzētajiem mērķiem.
725. Kuģus, kuru garums ir 24 metri un lielāks, nodrošina ar tāda izmēra nestuvēm, kuras var iznest pa kuģa durvīm.
12.11. Prasības kuģiem, kuru garums ir mazāks par 15 metriem
726. Kuģi, kuru garums ir mazāks par 15 metriem, atbilst šo noteikumu prasībām tādā apjomā, cik tas ir iespējams, ņemot vērā kuģa izmērus.
13. Piesārņojuma novēršana
13.1. Vispārīgie nosacījumi
727. Šīs nodaļas prasības attiecas uz komercdarbībai paredzētajiem kuģiem, kuri nepārvadā naftu kā kravu un kuru bruto tilpība ir mazāka nekā 400 (turpmāk - kuģi), un naftas tankkuģiem, kuru bruto tilpība ir mazāka par 150, neatkarīgi no kuģošanas rajona, ja šajā nodaļā nav norādīts citādi.
728. Šajā nodaļā minētās prasības neierobežo papildu prasību piemērošanu saskaņā ar attiecīgās ostas noteikumiem.
13.2. Piesārņojuma ar atkritumiem novēršana
729. Kuģiem, kuriem ir saistošas šajā apakšnodaļā noteiktās prasības, piemēro arī 1973.gada Starptautiskās konvencijas par piesārņojuma novēršanu no kuģiem un tās 1978.gada protokola (turpmāk - MARPOL konvencija) V pielikuma "Noteikumi piesārņojuma novēršanai no kuģiem ar atkritumiem" noteiktās prasības attiecībā uz lietojumu, izņēmumiem, kā arī atkritumu izmešanas nosacījumiem īpašajos rajonos un ārpus tiem.
730. Jebkuru atkritumu izmešana teritoriālajos ūdeņos, iekšējos ūdeņos un ostās ir aizliegta.
731. Uz visiem kuģiem, kuru bruto tilpība ir mazāka par 400, uz kuģiem, kam izdota apliecība mazāk nekā 15 personu pārvadāšanai (neatkarīgi no to kuģošanas rajona, to skaitā kuģiem, kuru darbības rajons ir osta), kā arī uz kuģiem, kam izdota apliecība vairāk nekā 15 personu pārvadāšanai, un tie nav iesaistīti starptautiskos reisos, ierakstus par darbībām ar atkritumiem veic kuģa žurnālā.
732. Uz kuģa paredz atkritumu uzglabāšanas aprīkojumu un nodrošina pietiekamas uzglabāšanas tilpnes cietajiem atkritumiem un pārtikas atliekām, ņemot vērā kuģošanas rajonu un kuģa ieiešanu ostās, kur var nodot atkritumus. Uz kuģa paredz vismaz trīs atkritumu konteinerus vai cita veida tilpnes šādām atkritumu kategorijām:
732.1. plastmasai, tajā skaitā atkritumiem, kas sajaukti ar to;
732.2. pārtikas atliekām;
732.3. citiem atkritumiem, ko, ievērojot MARPOL konvencijas V pielikuma nosacījumus, drīkst izmest jūrā.
733. Katru atkritumu konteineru attiecīgi apzīmē. Konteineri atšķiras pēc krāsas, uzraksta rakstura, formas, izmēriem vai atrašanās vietas. Uzraksti uz atkritumu konteineriem ir latviešu valodā, bet, ja kuģis veic starptautiskos reisus, arī angļu valodā. Rekomendējamie minimālie atkritumu konteineru tilpumi norādīti tabulā:
|
Kuģa bruto tilpība un personu skaits
uz kuģa
|
Minimālie atkritumu konteineru tilpumi
(m3)
|
|
<400; līdz 10 personām
|
0,1
|
|
<400; līdz 50 personām
|
0,5
|
|
Kuģiem ar vairāk nekā 50 personām
|
1,0 m3 uz 100 personām vienā
dienā
|
734. Peldošos separācijas, apšuvuma un iepakojuma materiālus iespēju robežās uzglabā uz kuģa atsevišķi no citiem atkritumiem un, ja iespējams, nodod ostu pieņemšanas iekārtās.
735. Uz kuģa veic visus iespējamos pasākumus, lai nodrošinātu plastmasas un tās izstrādājumu nodošanu ostu pieņemšanas iekārtās. Šo metodi atzīst par prioritāru salīdzinājumā ar citām metodēm, ko lieto, lai atbrīvotos no šiem atkritumiem.
736. Ja plastmasas atkritumi ir sajaukti ar citiem atkritumiem un nav atdalāmi no tiem, ar šādiem atkritumiem rīkojas kā ar plastmasu. Pelnus, kas radušies, sadedzinot šādus atkritumus, un kuri var saturēt toksiskas paliekas vai kaitīgas smago metālu paliekas, uzglabā atsevišķi līdz iespējai tos nodot ostu pieņemšanas iekārtās.
737. Uz kuģa veic visus iespējamos piesardzības pasākumus, lai nodrošinātu, ka jūrā netiek izmestas pārtikas atliekas kopā ar plastmasu.
738. Atrodoties citu 1992.gada Baltijas jūras reģiona jūras vides aizsardzības konvencijas (turpmāk - Helsinku konvencija) dalībvalstu teritoriālajos ūdeņos, aizliegts sadedzināt atkritumus uz kuģa.
739. Atrodoties Latvijas Republikas teritoriālajos ūdeņos un ostās, aizliegts kuģu radītos atkritumus sadedzināt uz kuģa.
740. Pirms atstāt ostu, visus atkritumus, ko nedrīkst izmest jūrā, nodod ostu pieņemšanas iekārtās.
13.3. Piesārņojuma ar notekūdeņiem novēršana
741. Neatkarīgi no kuģošanas rajona (tai skaitā ostās) šīs apakšnodaļas prasības piemēro kuģiem, kuru bruto tilpība ir mazāka par 400 un kuri ir sertificēti pārvadāt mazāk par 15 personām.
742. Apakšnodaļā lietoti šādi termini:
742.1. notekūdeņi:
742.1.1. kanalizācijas ūdeņi un citi atkritumi no jebkura veida tualetēm un urīnpodiem;
742.1.2. kanalizācijas ūdeņi no medicīnas telpām (piemēram, ambulance, lazarete) - no mazgāšanas tvertnēm, mazgāšanās vannām un notekām, kas atrodas šajās telpās;
742.1.3. kanalizācijas ūdeņi no telpām, kurās atrodas dzīvnieki;
742.1.4. citi notekūdeņi, kas tiek sajaukti kopā ar šajā punktā minētajiem kanalizācijas ūdeņiem;
742.2. uzglabāšanas tvertne - tvertne, ko izmanto notekūdeņu savākšanai un uzglabāšanai;
742.3. pelēkie ūdeņi - ūdeņi no veļas mazgātavām, vannām, dušas telpām, kambīzes un trauku mazgājamie ūdeņi;
742.4. persona - apkalpes loceklis vai pasažieris;
742.5. savienojums ar krastu - atloku standartsavienojums, caur kuru ir iespējama tilpņu iztukšošana, izmantojot ārējo sūknēšanas aprīkojumu;
742.6. tualešu satura savākšanas sistēma - savstarpēji savienota sanitārā aprīkojuma (ieskaitot tualeti, cauruļvadus, notekūdeņu uzkrāšanas tilpni) savienojumi ar pieņemšanas iekārtām;
742.7. stacionārā tualešu sistēma - sistēma, kuras aprīkojumā ir klozetpods, notekūdeņu uzkrāšanas tilpne un ar to saistītie vārsti, cauruļvadi un/vai cauruļvadu savienojumi, kā arī savienojums ar pieņemšanas iekārtām, kas piemērots maziem kuģiem, lai savāktu, uzglabātu un novadītu notekūdeņus;
742.8. pārvietojamā tualešu sistēma - sistēma, kuras aprīkojumā ir klozetpods un ar to saistītā pārvietojamā notekūdeņu uzkrāšanas tilpne. Šīs sistēmas konstrukcija neparedz tilpnes satura izvadu jūrā.
743. Visiem kuģiem, kuriem ir saistošas šīs apakšnodaļas prasības, piemēro arī MARPOL konvencijas IV pielikuma "Noteikumi piesārņojuma novēršanai no kuģiem ar notekūdeņiem" noteiktās prasības attiecībā uz izņēmumiem, notekūdeņu nopludināšanas nosacījumiem, kā arī nopludināšanai paredzēto cauruļvadu standartsavienojumu.
744. Notekūdeņu uzglabāšanas tvertnes tilpumu nosaka, ņemot vērā:
744.1. reisa ilgumu;
744.2. personu skaitu uz kuģa;
744.3. kāda skalošanas sistēma tiek izmantota uz kuģa - vakuumsistēma, parastā vai recirkulācijas sistēma;
744.4. vai pelēko ūdeņu un notekūdeņu sistēmas ir savienotas;
744.5. pelēko ūdeņu un notekūdeņu rašanās daudzumu dienā (uz vienu personu).
745. Pelēko ūdeņu un notekūdeņu iespējamais daudzums litros dienā vienai personai, ņemot vērā šādu sistēmu:
|
Litri dienā uz vienu personu
|
|
parastā sistēma
|
vakuumsistēma
|
recirkulācijas sistēma
|
|
Notekūdeņi
|
50
|
25
|
10
|
|
Notekūdeņi un pelēkie ūdeņi
|
200
|
125
|
-
|
746. Notekūdeņu uzglabāšanas tvertnes tilpums ir tāds, kas nodrošina notekūdeņu uzglabāšanu, ekspluatējot kuģi vismaz 24 stundas.
747. Kuģi, kuri iesaistīti reisos, kas nav ilgāki par vienu diennakti, var būt aprīkoti ar notekūdeņu uzglabāšanas tvertni, kuras tilpums ir tāds, kas nodrošina notekūdeņu uzglabāšanu, ekspluatējot kuģi vismaz 12 stundas.
748. Kuģi, kuru bruto tilpība ir mazāka par 400 un kuri ir sertificēti pārvadāt mazāk nekā 15 personas, ja to darbības zona ir Baltijas jūra, teritoriālie ūdeņi, osta, un tie aprīkoti ar stacionārām tualešu sistēmām vai pārvietojamām tualešu sistēmām, ir aprīkoti atbilstoši šī punkta prasībām, kā arī atbilstoši Helsinku konvencijas IV pielikumam un 1992.gada Baltijas jūras reģiona jūras vides aizsardzības konvencijas ieviešanas mērķiem nodibinātās komisijas noteiktajām prasībām:
748.1. ar tādu tualešu satura savākšanas sistēmu ar tvertni, kuras saturu var iztukšot pieņemšanas iekārtās;
748.2. tualešu satura savākšanas sistēma un cauruļvadu savienojumi atbilst standarta LVS EN ISO 8099:2002 "Mazizmēra kuģi - Notekūdeņu savākšanas sistēmas" prasībām.
749. Jebkurā tualešu sistēmā dezinfekcijai izmanto tikai tādas vielas, kas nav kaitīgas videi.
13.4. Piesārņojuma ar naftu novēršana
750. Šīs apakšnodaļas prasības piemēro naftas tankkuģiem, kuru bruto tilpība ir mazāka par 150, kā arī visiem citiem kuģiem, kuru bruto tilpība ir mazāka par 400, ja šajā nodaļā nav noteikts citādi.
751. Kuģiem, kuriem ir saistošas šīs apakšnodaļas prasības, piemēro arī MARPOL konvencijas I pielikumā "Noteikumi piesārņojuma novēršanai ar naftu" noteiktās prasības attiecībā uz izņēmumiem, naftu saturošu maisījumu nopludināšanas nosacījumiem no mašīntelpām, naftas tankkuģu kravas nodalījuma īpašajos rajonos, ārpus tiem, kā arī nopludināšanai paredzēto cauruļvadu standartsavienojumu.
752. Jebkādu naftu saturošu maisījumu nopludināšana ostā ir aizliegta, un, kuģim atrodoties ostā, šādu maisījumu atsūknēšanas sistēmu vārsti ir aizvērti un aizzīmogoti.
753. Kuģus (izņemot tos, kuru bruto tilpība ir mazāka par 400) iespēju robežās aprīko ar tādu filtrēšanas iekārtu, kuras konstrukcija ir inspekcijas apstiprināta un kura nodrošina, ka naftu saturošo maisījumu nopludināšana notiek saskaņā ar šo noteikumu 751.punktu, vai šajos kuģos ir nodrošināta naftu saturošu maisījumu uzglabāšana, lai tos nodotu pieņemšanas iekārtās ostās.
754. Stacionāriem kuģiem, kuri veic pārgājienus tikai bez kravas, lai mainītu dislokācijas vietu, un kurus izmanto kā kuģi viesnīcu, kravas glabātavu vai citām vajadzībām, nav jābūt aprīkotiem ar filtrēšanas iekārtu. Uz šādiem kuģiem ir tilpuma sateču ūdeņu uzglabāšanas tilpnes, kas atbilst inspekcijas prasībām, nodrošinot visu naftu saturošu sateču ūdeņu uzglabāšanu uz kuģa. Minētos sateču ūdeņus nodod pieņemšanas iekārtās ostā.
755. Lai nodrošinātu šo noteikumu 753. un 754.punktā noteiktās prasības attiecībā uz naftu saturošu maisījumu uzglabāšanu, uz kuģa, kura tilpība ir mazāka par 400, minēto ūdeņu uzglabāšanas tilpnes ir ar vismaz 1 m3 lielu tilpumu. Tās aprīkotas ar sūkni un standartsavienojumu.
13.5. Naftas operāciju žurnāli
756. Uz katra kuģa, kurš nepārvadā naftu kā kravu un kura bruto tilpība ir mazāka par 400, un uz katra naftas tankkuģa (neatkarīgi no tā kuģošanas rajona), kura bruto tilpība ir mazāka par 150, ierakstus par operācijām ar naftu mašīntelpā veic kuģa mašīnžurnālā. Ierakstus veic latviešu valodā.
757. Uz katra naftas tankkuģa, kura bruto tilpība ir mazāka par 150, ir naftas operāciju žurnāla II daļa (ierakstiem par kravas un balasta operācijām ar naftu). Ierakstus tajā veic atbilstoši MARPOL konvencijas I pielikuma 36.noteikumam. Ierakstus veic latviešu valodā.
13.6. Gaisa piesārņojuma novēršana no kuģiem
758. Kuģiem, kuru bruto tilpība ir mazāka par 400, piemēro MARPOL konvencijas VI pielikuma "Noteikumi gaisa piesārņojuma novēršanai no kuģiem" noteiktās prasības attiecībā uz lietojumu, izņēmumiem, sēra oksīda emisijas ierobežojumiem, gaistošiem organiskiem savienojumiem, kuģa insineratoriem un degvielas kvalitāti.
759. Uz kuģiem esošās ozonu noārdošās vielas un iekārtas (ja tās satur minētās vielas un tiek demontētas) ir jānogādā atbilstošās pieņemšanas iekārtās ostā.
13.7. Piesārņojuma novēršana ar alvu saturošiem organiskiem savienojumiem kuģu pretapaugšanas sistēmās
760. Šīs apakšnodaļas prasības piemēro visiem kuģiem, ja nav noteikts citādi, un nosaka prasību aizliegt izmantot uz kuģiem tādas pretapaugšanas sistēmas (pārklājums, krāsas, virsmas apstrāde, virsma, ko izmanto uz kuģa, lai kontrolētu un novērstu apaugšanu ar nevēlamiem ūdens organismiem) kā alvu saturošie organiskie savienojumi, kas darbojas kā biocīdi.
761. Uz kuģiem, mainot vai aizstājot pretapaugšanas sistēmu, ir aizliegts izmantot tādas sistēmas kā alvu saturošie organiskie savienojumi, kas darbojas kā biocīdi.
762. No 2008.gada 1.janvāra uz kuģiem, to korpusa, virsmām vai ārējām daļām esošajās pretapaugšanas sistēmās nedrīkst būt alvu saturošie savienojumi, kas darbojas kā biocīdi, ja tiem nav pārklājuma, kas veido barjeru šādiem savienojumiem.
763. Kuģiem, kuru bruto tilpība ir 400 un lielāka, veic sākotnējo apskati, pirms kuģi nodod ekspluatācijā vai kad tiek mainīta vai aizstāta pretapaugšanas sistēma. Apskati veic, lai pārliecinātos par pretapaugšanas sistēmu atbilstību Eiropas Parlamenta un Padomes 2003.gada 14.aprīļa Regulai (EK) Nr.782/2003 par alvu saturošo organisko savienojumu izmantošanas aizliegumu uz kuģiem (turpmāk - Regula).
764. Apskati veic saskaņā ar Regulā un 2001.gada Starptautiskajā konvencijā par kaitīgo pretapaugšanas krāsu sistēmu kontroli uz kuģiem (turpmāk - AFS konvencija) noteiktajām prasībām.
765. Pēc apskates veikšanas kuģiem, kuru bruto tilpība ir 400 un lielāka (neatkarīgi no to kuģošanas rajona), izsniedz apliecību par kuģu pretapaugšanas sistēmu, kuras forma un izsniegšanas kārtība atbilst Regulā un AFS konvencijā noteiktajām prasībām.
766. Uz visiem kuģiem, kuru tilpība ir mazāka par 400, bet kuri ir garāki par 24 metriem, ir deklarācija par kuģa pretapaugšanas sistēmu. Deklarāciju apstiprina kuģa īpašnieks vai viņa deleģēts pārstāvis, un tai pievienota krāsu ražotāja dokumentācija. Deklarācijas forma un izsniegšanas kārtība atbilst Regulā un AFS konvencijā noteiktajām prasībām.
767. Uz visiem kuģiem, kuri ir īsāki par 24 metriem, neatkarīgi no to kuģošanas rajona (tai skaitā upēs, ezeros, piekrastē), mainot vai aizstājot kuģa pretapaugšanas sistēmu vai kuģa zemūdens daļas pārklājumu, aizliegts izmantot tādas sistēmas vai pārklājumus, kas satur alvas organiskos savienojumus, kas darbojas kā biocīdi. Uz šajā punktā minētajiem kuģiem ir ražotāja izsniegts dokuments, kas apliecina minēto sistēmu vai pārklājumu atbilstību Regulai.
14. Noslēguma jautājumi
768. Noteikumu 729.punkts, 732.3.apakšpunkts, 743., 751. un 757.punkts stājas spēkā ar 2008.gada 1.maiju.
769. Noteikumu 748.2.apakšpunkts stājas spēkā ar 2009.gada 1.janvāri.
Ministru prezidents I.Godmanis
Satiksmes ministrs A.Šlesers
1. pielikums
Ministru kabineta
2008.gada 29.janvāra noteikumiem Nr.49
Satiksmes ministrs A.Šlesers
2. pielikums
Ministru kabineta
2008.gada 29.janvāra noteikumiem Nr.49
Satiksmes ministrs A.Šlesers
3. pielikums
Ministru kabineta
2008.gada 29.janvāra noteikumiem Nr.49
Satiksmes ministrs A.Šlesers
4. pielikums
Ministru kabineta
2008.gada 29.janvāra noteikumiem Nr.49
Satiksmes ministrs A.Šlesers
5. pielikums
Ministru kabineta
2008.gada 29.janvāra noteikumiem Nr.49
Satiksmes ministrs A.Šlesers
6. pielikums
Ministru kabineta
2008.gada 29.janvāra noteikumiem Nr.49
Satiksmes ministrs A.Šlesers
7. pielikums
Ministru kabineta
2008.gada 29.janvāra noteikumiem Nr.49
Satiksmes ministrs A.Šlesers
8.pielikums
Ministru kabineta
2008.gada 29.janvāra noteikumiem Nr.49
Kuģu ugunsdzēsības tehniskā aprīkojuma, inventāra un to rezerves daļu apgādes normas
I. Kuģu ugunsdzēsības tehniskā aprīkojuma
un inventāra normas atbilstoši kuģa tipam, tilpībai un
darbības veidam
|
Nr.
p.k.
|
Priekšmeta nosaukums
|
Nepieciešamais daudzums
|
|
1.
|
Ugunsdzēsības šļūtenes ar savienojumu
armatūru:
|
|
|
1.1.
|
ūdenim
|
pēc ugunsdzēsības krānu skaita
|
|
1.2.
|
putām
|
pēc ugunsdzēsības krānu skaita, kas paredzēti
putu sastāva padošanai no stacionārās putu ugunsdzēsības
sistēmas. Uz tankkuģiem putu padošanai atļauts izmantot
ugunsdzēsības krānus, kas izvietoti uz kuģa klāja
|
|
2.
|
Ugunsdzēsības šļūteņu stobri:
|
|
|
2.1.
|
ūdenim
|
pēc ugunsdzēsības krānu skaita
|
|
2.2.
|
gaisa mehāniskajām putām
|
pēc ugunsdzēsības krānu skaita, kas paredzēts
putu padošanai
|
|
2.A.
|
Putu novadcaurules
|
pēc gaisa mehānisko putu stobru skaita
|
|
2.B.
|
Pārnēsājamie putu ģeneratori
|
uz katriem diviem putu stobriem viens putu
ģenerators
|
|
2.C.
|
Putu ģeneratoru cauruļu pagarinātāji
|
50 % no putu ģeneratoru skaita
|
|
3.
|
Pārnēsājamie gaisa mehānisko putu stobri putu
padošanai no ūdens ugunsdzēsības sistēmas
|
pēc šāda aprēķina - pārnēsājamie gaisa
mehāniskie putu stobri ugunsgrēka dzēšanai kuģa kravas
tilpnēs, kur nav paredzēta stacionāra putu dzēšanas sistēma,
nodrošina 4 m3 putu padošanu minūtē
|
|
4.
|
Pārnēsājamie putu vai pulvera, vai ogļskābes
ugunsdzēšamie aparāti
|
dzīvojamās un dienesta telpās un vadības
posteņos ne mazāk kā divi ugunsdzēšamie aparāti uz 30 metriem
(piemēram, gaiteņa vai klāja garuma), un ne mazāk kā:
|
|
4.1.
|
|
viens ugunsdzēšamais aparāts katrā telpā
(atļauts izvietot vienu ugunsdzēšamo aparātu gaitenī, paredzot
to vairākām nelielām telpām, kuru kopējā platība nav
lielāka par 50 m2, ja ieejas šajās telpās izvietotas
līdzās attiecīgajā gaitenī)
|
|
4.2.
|
|
viens pulvera vai ogļskābās gāzes
ugunsdzēšamais aparāts uz katru telpu vai šī pielikuma
4.1.apakšpunktā minēto telpu grupu, kurā atrodas
elektroiekārtas vai radioiekārtas, kā arī stūres mājas telpā
un karšu glabātavā
|
|
4.3.
|
|
telpās, kur atrodas avārijas dīzeļģenerators
vai ugunsdzēsības dīzeļsūknis, viens ugunsdzēšamais aparāts
uz katriem jaudas 75 kW
|
|
4.4.
|
|
dzīvojamās un dienesta telpās:
|
|
4.4.1.
|
|
gaitenī vismaz viens ugunsdzēšamais aparāts (ja
gaiteņa garums pārsniedz 30 metrus, nepieciešams vēl viens
ugunsdzēšamais aparāts)
|
|
4.4.2.
|
|
kambīzē un maizes ceptuvē - viens
ugunsdzēšamais aparāts katrā atsevišķā telpā; ja kambīze
vai maizes ceptuve darbojas ar elektrību - ogļskābās gāzes
ugunsdzēšamais aparāts
|
|
4.4.3.
|
|
citās saimniecības telpās - viens
ugunsdzēšamais aparāts (ja gaitenī pie ieejas telpā atrodas
ugunsdzēšamais aparāts, tad telpā tas nav vajadzīgs)
|
|
4.4.4.
|
|
kāpņu telpās, liftos, vestibilos - viens
ugunsdzēšamais aparāts katrā telpā
|
|
4.4.5.
|
|
noliktavās, kur glabājas viegli uzliesmojoši
šķidrumi un naftas produkti, - viens ugunsdzēšamais aparāts
katrā telpā (ja noliktavas telpu platība nepārsniedz 50
m2 vai sastāv no vairākām telpām, kas mazākas par
50 m2, ugunsdzēšamo aparātu var novietot gaitenī
tuvu ieejām šajās telpās)
|
|
4.5.
|
|
mašīntelpās:
|
|
4.5.1.
|
|
telpā ar galveno un palīgdzinēju - uz katriem
750 kW kopējās jaudas viens ugunsdzēšamais aparāts, bet ne
mazāk kā divi ugunsdzēšamie aparāti katrā telpā
|
|
4.5.2.
|
|
uz kuģiem ar galvenā dzinēja jaudu līdz 110 kW,
ja mašīntelpā nav palīgdzinēju un ģeneratoru, kuru jauda ir
lielāka par 5 kW, bet ir elektrosadales dēlis, vismaz divi
ugunsdzēšamie aparāti: viens putu un viens ogļskābās gāzes
aparāts
|
|
4.5.3.
|
|
uz kuģiem, kur galvenā un palīgdzinēju kopējā
jaudu ir mazāka par 750 kW, bet lielāka par 110 kW, un kuri
izvietoti vienā telpā ar elektriskajiem ģeneratoriem,
elektrosadales dēļiem un ūdens apsildes vai tvaika katliem,
mašīntelpā - viens putu ugunsdzēšamais aparāts telpā, viens
ogļskābās gāzes ugunsdzēšamais aparāts uz katru ģeneratoru
vai ģeneratoru grupu ar jaudu līdz 500 kW, viens ogļskābās
gāzes ugunsdzēšamais aparāts uz elektrosadales dēli un viens
putu ugunsdzēšamais aparāts uz ūdens apsildes vai tvaika katlu
ar jaudu līdz 68 000 kcal
|
|
4.5.4.
|
|
atsevišķā katlu telpā ar galveno un/vai
palīgkatlu - ne mazāk kā divi putu ugunsdzēšamie aparāti
katla frontālajā pusē
|
|
4.5.5.
|
|
ja palīgkatls atrodas mašīntelpā, nepieciešams
viens papildu ugunsdzēšamais aparāts
|
|
4.6.
|
|
telpās, kur izvietoti elektriskie ģeneratori, -
viens ogļskābās gāzes ugunsdzēšamais aparāts katrā telpā
un pa vienam pie katra elektroģeneratora vai ģeneratoru grupas ar
jaudu virs 500 kW neatkarīgi no tā, vai telpās ir putu
ugunsdzēsības sistēma vai tās nav
|
|
4.7.
|
|
akumulatoru telpās, ja tie neatrodas
mašīntelpā, - vismaz viens ogļskābās gāzes ugunsdzēšamais
aparāts katrā telpā
|
|
4.8.
|
|
telpās, kur izvietoti elektrosadales dēļi, -
divi ogļskābās gāzes ugunsdzēšamie aparāti katrā
atsevišķā telpā, bet, ja telpa mazāka par 15 m2, -
viens ogļskābās gāzes ugunsdzēšamais aparāts
|
|
4.9.
|
|
telpās, kuru sienas saskaras ar šķidrā
kurināmā vai degvielas cisternām, - ne mazāk kā divi
ugunsdzēšamie aparāti
|
|
4.10.
|
|
kravas sūkņu telpās, degvielas sūkņu telpās,
cauruļvadu šahtās un šļūteņu noliktavās - viens
ugunsdzēšamais aparāts uz katriem 30 m2 telpas
platības
|
|
4.11.
|
|
ražošanas telpās - viens ugunsdzēšamais
aparāts uz katriem pilniem vai nepilniem 100 m2 telpas
platības
|
|
4.12.
|
|
metināšanas telpā un metināšanas iekārtu
glabātavā - viens putu un viens ogļskābās gāzes vai pulvera
ugunsdzēšamais aparāts katrā telpā
|
|
5.
|
Pārvietojamās pulvera (putu) vai ogļskābās
gāzes ugunsdzēsības iekārtas
|
|
|
5.1.
|
|
visu pasažieru kuģu (neatkarīgi no kuģa bruto
tilpības, ja galvenā dzinēja jauda pārsniedz 109 kW,)
mašīntelpas, ja tās nav aprīkotas ar stacionāro tilpuma
ugunsdzēsības sistēmu, nodrošina ar vismaz vienu pārvietojamo
ugunsdzēsības iekārtu
|
|
5.2.
|
|
katru telpu ar galvenajiem elektroģeneratoriem vai
galvenajiem elektrodzinējiem, ja to jauda pārsniedz 200 kW,
nodrošina ar vismaz vienu ugunsdzēsības iekārtu
|
|
5.3.
|
|
telpās ar elektrosadales skapjiem, ja skapis ir
garāks par pieciem metriem un telpa nav aizsargāta ar stacionāru
tilpuma ugunsdzēsības sistēmu, - viena pārvietojamā
ugunsdzēsības iekārta katrā telpā
|
|
5.4.
|
|
uz kuģiem, kuru dzinēju kopējā jauda ir mazāka
par 250 kW, ja to mašīnu nodaļās bijušas uzstādītas
stacionārās ugunsdzēsības iekārtas, kuras nepieciešams
demontēt (tās ir morāli novecojušas vai tajās tikusi izmantota
videi nedraudzīga (kaitīga) ugunsdzēsīgā viela), minētās
ugunsdzēsības iekārtas var aizvietot ar pārvietojamo
ogļskābās gāzes ugunsdzēsības iekārtu (ar lādiņa masu ne
mazāku par 40 kg)
|
|
6.
|
Stacionārās pulvera (putu) vai ogļskābās
gāzes ugunsdzēsības iekārtas
|
|
|
6.1.
|
|
katru kuģa mašīntelpu ar dzinēju kopējo jaudu
virs 250 kW aprīko ar stacionāro ugunsdzēsības iekārtu
|
|
6.2.
|
|
katlu telpās uz pasažieru kuģiem - viena
stacionārā ugunsdzēsības iekārta katrā telpā
|
|
7.
|
Metāla kastes ar smiltīm vai koka skaidām, kas
piesātinātas ar sodas šķīdumu
|
|
|
7.1.
|
|
atkarībā no kuģa bruto tilpības kuģi
nodrošina ar šādu daudzumu smilšu vai koka skaidu:
|
|
7.1.1.
|
|
līdz 50 - 50 kilogramu
|
|
7.1.2.
|
|
51-500 - 125 kilogrami
|
|
7.1.3.
|
|
virs 500 - 250 kilogramu
|
|
7.2.
|
|
smilšu vai koka skaidu kastes izvieto šādi:
|
|
7.2.1.
|
|
pa vienai kastei katrā katlu telpā, katlu
frontālajā pusē
|
|
7.2.2.
|
|
pa vienai kastei telpās, kur glabājas lakas,
krāsas un citi ugunsnedroši materiāli
|
|
8.
|
Ugunsdzēsības pārklājs 1,2 x 2,0 metri
|
|
|
8.1.
|
|
viens pārklājs uz katriem 40 metriem kuģa
garuma
|
|
8.2.
|
|
viens pārklājs uz katru mašīntelpu
|
|
8.3.
|
|
uz mazākiem kuģiem - viens pārklājs uz kuģa ar
bruto tilpību līdz 1000, divi pārklāji uz kuģa ar bruto
tilpību 1000 un lielāku
|
|
9.
|
Ugunsdzēsības inventāra komplekts -
ugunsdzēsēja cirvis, vieglais ugunsdzēsēja lauznis, spainis un
ķeksis
|
atkarībā no bruto tilpības kuģi nodrošina ar
šādu daudzumu ugunsdzēsības inventāra komplektu:
|
|
9.1.
|
|
līdz 2000 - viens komplekts
|
|
9.2.
|
|
2001-4000 - divi komplekti
|
|
9.3.
|
|
4001-10000 - trīs komplekti
|
|
9.4.
|
|
virs 10000 - četri komplekti
|
|
10.
|
Ugunsdzēsēja individuālais aprīkojuma
komplekts:
|
vismaz trīs komplekti kuģiem, kuru bruto
tilpība ir lielāka par 500
|
|
10.1.
|
aizsargtērps no ūdensnecaurlaidīga materiāla,
kas spēj aizsargāt pret siltumu, apdegumiem, applaucējumiem
|
|
10.2.
|
zābaki un cimdi no gumijas vai cita dielektriska
materiāla
|
|
10.3.
|
aizsargķivere ar brillēm, kas pasargā
ugunsdzēsēja galvu no sitieniem, krītošu priekšmetu
triecieniem, augstas temperatūras iedarbības un citiem
apdraudējumiem
|
|
10.4.
|
pārnēsājams sprādziendrošs akumulatoru
lukturis (darbības ilgums - ne mazāks par trijām stundām)
|
|
10.5.
|
ugunsdzēsēja cirvis ar cieta koka kātu. Ja kāts
ir no cita materiāla, tam jābūt dielektriskam
|
|
10.6.
|
izolējošais elpošanas aparāts
|
|
11.
|
Pārnēsājamie elektriskie dūmsūkņi komplektā
ar dūmu šļūtenēm
|
uz visiem kuģiem, kuru bruto tilpība ir 500 un
lielāka par 500, - viens komplekts
|
|
12.
|
Starptautiska parauga pārejas savienojums
|
uz visiem kuģiem, kuru bruto tilpība ir 500 un
lielāka par 500, - vismaz viens komplekts
|
II. Stacionāro kuģu ugunsdzēsības sistēmu
rezerves daļu un instrumentu normas
|
Nr.
p.k.
|
Priekšmeta nosaukums
|
Nepieciešamais daudzums
|
|
1.
|
Ūdens ugunsdzēsības sistēma:
|
|
|
1.1.
|
ugunsdzēsības šļūtenes
|
viena katra garuma un diametra šļūtene
|
|
1.2.
|
šļūteņu savienojumu uzgaļi
|
|
|
1.2.1.
|
|
kuģiem, kuru bruto tilpība nepārsniedz 4000, -
divi katra diametra savienojuma uzgaļi
|
|
1.2.2.
|
|
kuģiem, kuru bruto tilpība ir 4000 un lielāka, -
četri katra diametra savienojuma uzgaļi
|
|
1.3.
|
gumijas blīvgredzeni savienojumu uzgaļiem
|
5 % no kopējā skaita
|
|
1.4.
|
šļūteņu žņaugi
|
|
|
1.4.1.
|
|
vismaz 10 katra diametra šļūteņu žņaugi
|
|
1.4.2.
|
|
kuģiem, kuru bruto tilpība ir lielāka par 300, -
pēc šļūteņu skaita, bet ne mazāk kā četri šļūteņu
žņaugi
|
|
1.5.
|
atslēgas šļūteņu uzgaļu savienošanai un
atvienošanai
|
divas atslēgas
|
|
1.6.
|
ugunsdzēsības krāns
|
viens katra diametra ugunsdzēsības krāns
|
|
2.
|
Sprinkleru ugunsdzēsības sistēma:
|
|
|
2.1.
|
sprinkleri
|
10 % no uzstādīto sprinkleru skaita, bet ne
mazāk kā pieci sprinkleri uz sekciju
|
|
2.2.
|
atslēgas sprinkleru uzstādīšanai (ja tie
uzstādīti ar atslēgu palīdzību)
|
viena atslēga uz sekciju
|
|
2.3.
|
kontrolsignālvārsta remonta komplekts
|
viens komplekts uz sekciju
|
|
3.
|
Izsmidzināta ūdens ugunsdzēsības sistēma:
|
|
|
3.1.
|
smidzinātāji
|
5 % no uzstādīto smidzinātāju skaita
|
|
3.2.
|
atslēga smidzinātāju ieskrūvēšanai un
izskrūvēšanai (ja tie ieskrūvējami un izskrūvējami ar
speciālas atslēgas palīdzību)
|
viena atslēga
|
|
3.3.
|
katra izmantojamā tipa un diametra blīves
|
20 katra diametra blīves
|
|
4.
|
Putu ugunsdzēsības sistēma:
|
|
|
4.1.
|
stacionārais gaisa mehānisko putu stobrs un
ģenerators
|
viens putu stobrs un ģenerators no katra
uzstādītā tipa
|
|
4.2.
|
atdalošā membrāna
|
200 % no ierīkotā skaita
|
|
4.3.
|
membrānu diski
|
10 % no ierīkotā skaita, bet ne mazāk kā
divi diski
|
|
4.4.
|
putu veidotāja rezervuāru kontroles stikli
|
viens stikls
|
|
4.5.
|
katra izmantojamā tipa un diametra blīves
|
10 blīves
|
|
5.
|
Tvaika ugunsdzēsības sistēma:
|
|
|
5.1.
|
vārsti
|
viens katra lietojamā izmēra vārsts
|
|
5.2.
|
redukcijas vārsta remonta komplekts
|
viens komplekts
|
|
6.
|
Ogļskābās gāzes ugunsdzēsības sistēma:
|
|
|
6.1.
|
balonu vārsti
|
|
|
6.1.1.
|
|
līdz 50 balonu komplektam - viens komplekts
|
|
6.1.2.
|
|
51-100 balonu komplektam - divi komplekti
|
|
6.1.3.
|
|
vairāk nekā 100 balonu komplektam - trīs
komplekti
|
|
6.2.
|
atslēgas balonu vārstu montāžai vai
demontāžai
|
viens komplekts uz staciju
|
|
6.3.
|
blīvripas pievadu aizvēršanai pēc balonu
atvienošanas
|
25 % no balonu skaita
|
|
6.4.
|
drošības membrānas
|
pēc balonu skaita
|
|
6.5.
|
drošības ierīču uzmavas ar paplāksnēm
|
10 % no balonu skaita
|
|
6.6.
|
balonu vārstu drošības uzgaļi
|
pēc balonu skaita
|
|
6.7.
|
neatgriezeniskie vārsti
|
5 % no kopējā skaita, bet ne mazāk kā viens
vārsts
|
|
6.8.
|
distances vadības sistēmas detaļas
|
pēc piegādātāja tehniskajiem noteikumiem
|
|
6.9.
|
sekcijas iedarbināšanas vārsti
|
viens vārsts
|
|
6.10.
|
sprauslas
|
divas katra tipa un izmēra sprauslas
|
|
7.
|
Inerto gāzu ugunsdzēsības sistēma:
|
|
|
7.1.
|
palaišanas vārsts inerto gāzu ievadīšanai
|
viens vārsts
|
|
7.2.
|
automātiskās vadības sistēmas detaļas
|
pēc piegādātāja tehniskajiem noteikumiem
|
|
8.
|
Viegli iztvaikojošu šķidrumu aerosolu
ugunsdzēsības sistēma:
|
|
|
8.1.
|
smidzinātāji
|
1-2 katra lietotā tipa un izmēra
smidzinātāji
|
|
8.2.
|
speciālas atslēgas smidzinātāju nomaiņai
|
viena atslēga
|
|
8.3.
|
drošības un redukcijas vārstu detaļas
(atsperes, blīves, šķīvji)
|
viens komplekts
|
|
8.4.
|
kontroles krāns vai stikla līmeņrādis
šķidruma līmeņa noteikšanai rezervuārā
|
viens komplekts
|
|
9.
|
Visām sistēmām:
|
|
|
9.1.
|
mērīšanas līdzekļi (vakuummetrs, manometrs,
visu tipu termometri)
|
viens komplekts atbilstoši lietojamai
sistēmai
|
|
9.2.
|
sistēmu remontam nepieciešamais
blīvmateriāls
|
viens komplekts
|
|
9.3.
|
rezerves daļas sūkņiem, kompresoriem,
dzinējiem, kas apkalpo ugunsdzēsības sistēmas
|
viens komplekts katram tipam
|
|
9.4.
|
rezerves daļas un instrumenti ugunsdzēsību
sistēmu distances vadības iekārtām
|
viens komplekts katram tipam
|
|
9.5.
|
rezerves daļas un instrumenti ugunsdzēsības
signalizācijas sistēmām
|
viens komplekts katram tipam
|
Satiksmes ministrs A.Šlesers
9. pielikums
Ministru kabineta
2008.gada 29.janvāra noteikumiem Nr.49
Kolektīvo un individuālo glābšanas līdzekļu skaits un tips
|
Nr.
p.k.
|
Kuģošanas rajons Glābšanas
līdzeklis
|
Baltijas jūra
|
Piekrastes kuģošana
(līdz 20 jūras jūdzēm)
|
Ierobežotā piekrastes kuģošana
|
Iekšējie ūdeņi
|
|
1.
|
Glābšanas plosti
|
uz kuģa katra borta izvieto tādas ietilpības
glābšanas plostus, kuros var izvietot visus uz kuģa esošos
cilvēkus
|
uz kuģa katra borta izvieto tādas ietilpības
glābšanas plostus, kuros var izvietot visus uz kuģa esošos
cilvēkus
|
uz kuģa katra borta izvieto tādas ietilpības
glābšanas plostus, kuros var izvietot visus uz kuģa esošos
cilvēkus
|
uz kuģa izvieto tādas ietilpības kolektīvos
glābšanas līdzekļus (glābšanas plostus vai laivas), kuros var
izvietot visus uz kuģa esošos cilvēkus
|
|
2.
|
Glābšanas riņķi
|
L virs 30 - 6 gab.
L līdz 30 m - 4 gab.
L līdz 15 m - 2 gab.
|
L virs 30 - 6 gab.
L līdz 30 m - 4 gab.
L līdz 15 m - 2 gab.
|
L virs 30 - 6 gab.
L līdz 30 m - 4 gab.
L līdz 15 m - 2 gab.
|
L virs 30 - 4 gab.
L līdz 30 m - 2 gab.
L līdz 15 m - 1 gab.
|
|
3.
|
Glābšanas vestes
|
glābšanas veste katram uz kuģa esošam
cilvēkam un papildus glābšanas vestes cilvēkiem, kuri ir
sardzē stūres mājā un mašīntelpā
|
glābšanas veste katram uz kuģa esošam
cilvēkam un papildus glābšanas vestes cilvēkiem, kuri ir
sardzē stūres mājā un mašīntelpā
|
glābšanas veste katram uz kuģa esošam
cilvēkam un papildus glābšanas vestes cilvēkiem, kuri ir
sardzē stūres mājā un mašīntelpā
|
glābšanas veste katram uz kuģa esošam
cilvēkam
|
|
4.
|
Hidrotērpi vai siltumaizsardzības līdzekļi
|
100 %
|
100 %
(rekomendācija)
|
nē
|
nē
|
|
5.
|
Līnmetēji
|
L virs 24 m -
2 līnes +
2 raķetes
|
L virs 24 m -
2 līnes +
2 raķetes
|
nē
|
nē
|
|
6.
|
Kuģa translācijas sistēma
|
jā
|
jā
|
jā
|
jā
|
|
7.
|
Trauksmes signalizācija (alarm)
|
jā
|
jā
|
jā
|
jā
|
|
8.
|
Ilustrēta glābšanas signālu tabula
|
jā
|
jā
|
jā
|
nē
|
|
9.
|
Trauksmju saraksti
|
jā
|
jā
|
jā
|
jā
|
|
10.
|
Izpletņraķetes
|
12
|
nē
|
nē
|
nē
|
|
11.
|
Signāllāpas
|
nē
|
6 gab.
|
6 vai 3
|
nē
|
|
12.
|
Dūmu signāli
|
tankkuģiem
2 gab.
|
tankkuģiem
2 gab.
|
nē
|
nē
|
|
13.
|
Avārijas apgaismojums
|
jā
|
jā
|
jā
|
jā
|
Satiksmes ministrs A.Šlesers