
Sabiedrisko pakalpojumu regulēšanas komisijas padomes lēmums Nr.613
Rīgā 2007.gada 19.decembrī (prot. Nr.49, p.12.)
Par Noteikumiem par elektronisko sakaru pakalpojumu kvalitātes prasībām un kvalitātes pārskatu iesniegšanas kārtību
Saskaņā ar Administratīvā procesa likuma spēkā stāšanās likuma 17.panta pirmo daļu un pamatojoties uz likuma “Par sabiedrisko pakalpojumu regulatoriem” 9.panta otro daļu un Elektronisko sakaru likuma 8.panta otro daļu un 59.panta pirmo daļu,
padome nolemj:
1. Apstiprināt Noteikumus par elektronisko sakaru pakalpojumu kvalitātes prasībām un kvalitātes pārskatu iesniegšanas kārtību (pielikumā).
2. Noteikt, ka šī lēmuma 1.punktā apstiprinātie noteikumi stājas spēkā ar 2008.gada 1.janvāri.
3. Noteikt, ka ar šī lēmuma 1.punktā apstiprināto Noteikumu spēkā stāšanos spēku zaudē ar Sabiedrisko pakalpojumu regulēšanas komisijas 2006.gada 20.decembra lēmumu Nr.310 apstiprinātie Noteikumi par elektronisko sakaru pakalpojumu kvalitātes prasībām un kvalitātes pārskatu iesniegšanas kārtību (Latvijas Vēstnesis, 2007, Nr.3).
Lēmums stājas spēkā ar tā pieņemšanas brīdi.
Sabiedrisko pakalpojumu regulēšanas komisijas padomes priekšsēdētāja V.Andrējeva
Apstiprināts
ar Sabiedrisko pakalpojumu regulēšanas komisijas padomes
2007.gada 19.decembra lēmumu Nr.613
Noteikumi par elektronisko sakaru pakalpojumu kvalitātes prasībām un kvalitātes pārskatu iesniegšanas kārtību
Izdoti saskaņā ar Elektronisko sakaru likuma 59.panta pirmo daļu
1. Vispārīgie jautājumi
1. Šie noteikumi nosaka elektronisko sakaru komersanta (turpmāk tekstā – komersants) sniegto elektronisko sakaru pakalpojumu (turpmāk tekstā – pakalpojumi) kvalitātes prasības un kvalitātes pārskatu iesniegšanas kārtību.
2. Šajos noteikumos ir lietoti šādi termini:
2.1. 20 sekunžu laikā atbildēto izsaukumu skaits – parametrs, kas procentos nosaka izsaukumu skaitu, uz kuriem atbildēts 20 sekunžu laikā, un kas ietver savienošanas laiku un laiku no brīža, kad konstatē izsaukuma kontroles signālu vai paziņojumu par gaidīšanu rindā, līdz bojājumu pieteikumu pieņemšanas dienesta vai visaptveroša telefona uzziņu dienesta darbinieka atbildei;
2.2. atbildes laiks uz izsaukumu – parametrs, kas sekundēs nosaka laika posmu no izsaucamā numura nosūtīšanas brīža līdz bojājumu pieteikumu pieņemšanas dienesta vai visaptveroša telefona uzziņu dienesta darbinieka atbildei;
2.3. attēla nesējfrekvences precizitāte – parametrs, kas kilohercos nosaka attēla nesējfrekvences vērtības novirzi no televīzijas kanālam atbilstošās nominālās attēla nesējfrekvences vērtības;
2.4. bojājumu pieteikumu pieņemšanas dienests – publiskā fiksētā telefonu tīkla operatoru dienests, kas nodrošina abonenta bojājumu pieteikumu pieņemšanu;
2.5. iekšzemes izsaukums – savienojums vai savienojuma mēģinājums starp publisko fiksēto telefonu tīkla lietotājiem, kuru pieslēguma punktu numuri atrodas dažādos nacionālajos numerācijas rajonos;
2.6. īsziņu pakalpojums – datu un elektronisko ziņojumu pārraides pakalpojums, kas nodrošina teksta ziņojuma, kas ietver līdz 160 rakstu zīmēm (burti un cipari), nosūtīšanu publiskajā mobilajā telefonu tīklā;
2.7. īsziņas sūtīšanas laiks – parametrs, kas sekundēs nosaka laika posmu no īsziņas teksta un numura nosūtīšanas brīža līdz brīdim, kad īsziņa piegādāta adresātam;
2.8. klients – fiziska vai juridiska persona, kura publiskā fiksētā telefonu tīkla komersantam ir iesniegusi pieteikumu par abonentlīniju ierīkošanu;
2.9. latentums1 – parametrs, kas milisekundēs raksturo laika aizturi starp pakešu sūtīšanu un saņemšanu posmā no galalietotāja galiekārtas līdz Latvijas interneta apmaiņas punktam abos virzienos;
2.10. nesekmīgo savienojumu koeficients – parametrs, kas procentos nosaka nesekmīgo savienojumu skaita attiecību pret kopējo veikto savienojumu mēģinājumu skaitu;
2.11. nesekmīgi sūtīto īsziņu koeficients – parametrs, kas procentos nosaka nesekmīgi sūtīto īsziņu skaita attiecību pret kopējo sūtīto īsziņu skaitu;
2.12. pakešu zuduma koeficients2 – parametrs, kas procentos nosaka zaudēto pakešu attiecību pret kopējo nosūtīto pakešu skaitu;
2.13. pakete – nedalāms datu bloks, ko pārsūta pa datu pārraides tīklu;
2.14. pieslēguma ātrums – parametrs, kas kilobitos sekundē raksturo informācijas apmaiņas ātrumu (augšupielādes/lejupielādes) datu kanālā, posmā no galalietotāja galiekārtas līdz Latvijas interneta apmaiņas punktam;
2.15. publiskais fiksētais telefonu tīkls – publiskā telefonu tīkla veids, kas paredzēts balss telefonijas pakalpojumu sniegšanai starp fiksētiem elektronisko sakaru tīkla pieslēguma punktiem;
2.16. publiskais mobilais telefonu tīkls – publiskā telefonu tīkla veids, kas paredzēts balss telefonijas pakalpojumu sniegšanai starp mobiliem elektronisko sakaru tīkla pieslēguma punktiem;
2.17. savienošanas laiks – parametrs, kas sekundēs nosaka laika posmu no izsaucamā numura nosūtīšanas brīža līdz brīdim, kad konstatē izsaukuma kontroles signālu, aizņemtības signālu vai atbildi;
2.18. skaņas nesējfrekvences precizitāte – parametrs, kas kilohercos nosaka skaņas nesējfrekvences vērtības novirzi no televīzijas kanālam atbilstošās nominālās skaņas nesējfrekvences vērtības;
2.19. taksofons – publiskajam fiksētajam telefonu tīklam pieslēgta iekārta, kas lietotājam nodrošina iespēju veikt vietējos un iekšzemes izsaukumus publiskajā fiksētajā telefonu tīklā, pie kura tas ir pieslēgts, uz citiem publiskajiem fiksētajiem telefonu tīkliem un publiskajiem mobilajiem telefonu tīkliem, starptautiskajiem izsaukumiem, norēķinoties par sarunu, atkarībā no uzstādītās iekārtas tipa, ar taksofonu karti, monētām vai kredītkarti, bezmaksas savienojumiem ar operatīvajiem dienestiem un savienojumiem ar bezmaksas numuriem;
2.20. trīce3 – parametrs, kas milisekundēs nosaka laika aiztures nevienmērību starp pakešu sūtīšanu un saņemšanu, kas rodas tīkla ierobežotās caurlaides spējas dēļ, piemēram, pārslodze, maršruta maiņa, pakešu zudumi un citi;
2.21. vidējais atbildes laiks uz izsaukumu – parametrs, kas sekundēs nosaka kopējo atbildes laiku uz izsaukumu summas attiecību pret kopējo veikto izsaukumu skaitu;
2.22. vidējais darbojošos taksofonu skaits – parametrs, kas procentos nosaka darbojošos taksofonu skaita attiecību pret kopējo pārbaudīto taksofonu skaitu;
2.23. vidējais īsziņas sūtīšanas laiks – parametrs, kas sekundēs nosaka kopējo īsziņu sūtīšanas laiku summas attiecību pret kopējo sekmīgi nosūtīto īsziņu skaitu;
2.24. vidējais latentums – parametrs, kas milisekundēs nosaka latentuma vidējo aritmētisko vērtību, katram pakalpojuma veidam, atbilstoši interneta piekļuves pakalpojuma aprakstam, no kopējā mērījumu skaita;
2.25. vidējais pakešu zuduma koeficients – parametrs, kas procentos nosaka pakešu zuduma koeficienta vidējo aritmētisko vērtību, katram pakalpojuma veidam, atbilstoši interneta piekļuves pakalpojuma aprakstam, no kopējā mērījumu skaita;
2.26. vidējais pieslēguma ātrums – parametrs, kas kilobitos sekundē nosaka pieslēguma ātruma vidējo aritmētisko vērtību no kopējā mērījumu skaita;
2.27. vidējais savienošanas laiks – parametrs, kas sekundēs nosaka kopējo savienojumu laiku summas attiecību pret kopējo sekmīgo savienojumu skaitu;
2.28. vidējā trīce – parametrs, kas milisekundēs nosaka trīces vidējo aritmētisko vērtību, katram pakalpojuma veidam, atbilstoši interneta piekļuves pakalpojuma aprakstam, no kopējā mērījumu skaita;
2.29. vietējais izsaukums – savienojums vai savienojuma mēģinājums starp publisko fiksēto telefonu tīkla lietotājiem, kuru pieslēguma punktu numuri atrodas vienā nacionālajā numerācijas rajonā.
3. Šajos noteikumos noteiktas kvalitātes prasības šādiem pakalpojumiem:
3.1. publiskajā fiksētajā telefonu tīklā:
3.1.1. vietējais, iekšzemes un starptautiskais balss telefonijas pakalpojums;
3.1.2. taksofonu pakalpojums;
3.1.3. bojājumu pieteikumu pieņemšanas dienesta pakalpojums;
3.1.4. visaptveroša telefona uzziņu dienesta pakalpojums;
3.2. publiskajā mobilajā telefonu tīklā:
3.2.1. balss telefonijas pakalpojums;
3.2.2. īsziņu pakalpojums;
3.3. īsziņu pakalpojums, izmantojot publisko mobilo telefonu tīklu starpsavienojumu;
3.4. balss telefonijas pakalpojums, izmantojot publisko elektronisko sakaru tīklu starpsavienojumu (turpmāk tekstā – starpsavienojuma pakalpojums);
3.5. nomāto līniju pakalpojums;
3.6. televīzijas programmu izplatīšanas pakalpojums publiskajā kabeļtelevīzijas tīklā;
3.7. interneta piekļuves pakalpojums publiskajā fiksētajā elektronisko sakaru tīklā.
4. Komersanta pienākums ir iesniegt Sabiedrisko pakalpojumu regulēšanas komisijai (turpmāk – Regulators) pakalpojumu kvalitātes deklarāciju un kvalitātes pārskatu par šo noteikumu 3.punktā noteikto pakalpojumu kvalitāti šajos noteikumos noteiktajā kārtībā.
2. Pakalpojumu kvalitātes parametru un to vērtību noteikšanas kārtība
5. Komersantam, kuram noteiktas universālā pakalpojuma sniegšanas saistības pakalpojumiem publiskajā fiksētajā telefonu tīklā, Regulators nosaka pakalpojumu kvalitātes parametrus un parametru vērtības.
6. Komersants, kuram Regulators noteicis universālā pakalpojuma sniegšanas saistības pakalpojumiem publiskajā fiksētajā telefonu tīklā, nosaka un deklarē pakalpojumu kvalitātes parametru vērtības tiem pakalpojumu kvalitātes parametriem, kuriem Regulators lēmumā par pienākumu sniegt universālo pakalpojumu nav noteiktas pakalpojumu kvalitātes parametru vērtības.
7. Komersants, kuram nav noteiktas universālā pakalpojuma sniegšanas saistības pakalpojumiem publiskajā fiksētajā tīklā, pats nosaka un deklarē pakalpojumu kvalitātes parametru vērtības pakalpojumu kvalitātes deklarācijā Regulatora noteiktajiem pakalpojumu kvalitātes parametriem.
3. Pakalpojuma kvalitātes deklarāciju iesniegšanas kārtība
8. Komersants, kurš sniedz balss telefonijas pakalpojumu publiskajā fiksētajā telefonu tīklā, iesniedz Regulatorā pakalpojuma kvalitātes deklarāciju par esošo kalendāro gadu reizi gadā līdz 1.februārim. Ja komersants uzsāk pakalpojuma sniegšanu pēc esošā gada 1.februāra, tad pakalpojuma kvalitātes deklarāciju tas iesniedz Regulatorā ne vēlāk kā vienu kalendāro dienu pirms pakalpojuma sniegšanas uzsākšanas (1.pielikums).
9. Komersants, kurš sniedz balss telefonijas pakalpojumu publiskajā mobilajā telefonu tīklā, iesniedz Regulatorā pakalpojuma kvalitātes deklarāciju par esošo kalendāro gadu reizi gadā līdz 1.februārim. Ja komersants uzsāk pakalpojuma sniegšanu pēc esošā gada 1.februāra, tad pakalpojuma kvalitātes deklarāciju tas iesniedz Regulatorā ne vēlāk kā vienu kalendāro dienu pirms pakalpojuma sniegšanas uzsākšanas (2.pielikums).
10. Komersants, kurš sniedz īsziņu pakalpojumu publiskajā mobilajā telefonu tīklā, iesniedz Regulatorā pakalpojuma kvalitātes deklarāciju par esošo kalendāro gadu reizi gadā līdz 1.februārim. Ja komersants uzsāk pakalpojuma sniegšanu pēc esošā gada 1.februāra, tad pakalpojuma kvalitātes deklarāciju tas iesniedz Regulatorā ne vēlāk kā vienu kalendāro dienu pirms pakalpojuma sniegšanas uzsākšanas (3.pielikums).
11. Komersants, kurš sniedz īsziņu pakalpojumu, izmantojot publisko mobilo telefonu tīklu starpsavienojumu, iesniedz Regulatorā pakalpojuma kvalitātes deklarāciju par esošo kalendāro gadu reizi gadā līdz 1.februārim. Ja komersants uzsāk pakalpojuma sniegšanu pēc esošā gada 1.februāra, tad pakalpojuma kvalitātes deklarāciju tas iesniedz Regulatorā ne vēlāk kā vienu kalendāro dienu pirms pakalpojuma sniegšanas uzsākšanas (4.pielikums).
12. Komersants, kuram ir noslēgts starpsavienojumu līgums, un kas uz esošā kalendārā gada sākumu sniedz starpsavienojuma pakalpojumu vismaz sešus mēnešus no starpsavienojumu līguma noslēgšanas brīža, iesniedz Regulatorā pakalpojuma kvalitātes deklarāciju par esošo kalendāro gadu reizi gadā līdz 1.februārim (5.pielikums).
13. Komersants, kurš sniedz nomāto līniju pakalpojumu, iesniedz Regulatorā pakalpojuma kvalitātes deklarāciju par esošo kalendāro gadu reizi gadā līdz 1.februārim. Ja komersants uzsāk pakalpojuma sniegšanu pēc esošā gada 1.februāra, tad pakalpojuma kvalitātes deklarāciju tas iesniedz Regulatorā ne vēlāk kā vienu kalendāro dienu pirms pakalpojuma sniegšanas uzsākšanas (6.pielikums).
14. Komersants, kurš sniedz televīzijas programmu izplatīšanas pakalpojumu publiskajā kabeļtelevīzijas tīklā, iesniedz Regulatorā pakalpojuma kvalitātes deklarāciju par esošo kalendāro gadu reizi gadā līdz 1.februārim. Ja komersants uzsāk pakalpojuma sniegšanu pēc esošā gada 1.februāra, tad pakalpojuma kvalitātes deklarāciju tas iesniedz Regulatorā ne vēlāk kā vienu kalendāro dienu pirms pakalpojuma sniegšanas uzsākšanas (7.pielikums).
15. Komersants, kurš sniedz interneta piekļuves pakalpojumu publiskajā fiksētajā elektronisko sakaru tīklā, iesniedz Regulatorā pakalpojuma kvalitātes deklarāciju par esošo kalendāro gadu reizi gadā līdz 1.februārim. Ja komersants uzsāk pakalpojuma sniegšanu pēc esošā gada 1.februāra, tad pakalpojuma kvalitātes deklarāciju tas iesniedz Regulatorā ne vēlāk kā vienu kalendāro dienu pirms pakalpojuma sniegšanas uzsākšanas (8.pielikums).
16. Regulatorā iesniegtās Komersanta pakalpojumu kvalitātes deklarācijas ir publiski pieejamas Regulatora mājas lapā internetā www.sprk.gov.lv.
4. Pakalpojumu kvalitātes mērījumu veikšana
17. Pakalpojumu kvalitātes mērījumus (turpmāk tekstā – mērījumi) veic atsevišķi katram noteiktam parametram.
18. Mērāmie parametri publiskajā fiksētajā telefonu tīklā noteikti šo noteikumu 1.tabulā.
Mērāmie parametri publiskajā fiksētajā telefonu tīklā
1.tabula
|
Pakalpojums |
Parametrs |
|
|
Vietējais, iekšzemes un starptautiskais balss telefonijas pakalpojums publiskajā fiksētajā telefonu tīklā |
1. Abonentlīniju ierīkošanas laiks balss telefonijas pakalpojuma nodrošināšanai |
1.1. Minimālo kalendāro dienu skaits no pieteikuma saņemšanas dienas līdz ierīkošanas dienai, lai ierīkotu 95% pieprasīto abonentlīniju |
|
1.2. Minimālo kalendāro dienu skaits no pieteikuma saņemšanas dienas līdz ierīkošanas dienai, lai ierīkotu 99% pieprasīto abonentlīniju |
||
|
1.3.Abonentlīniju skaits procentos no visām ierīkotajām abonentlīnijām, kas ierīkotas X* dienu laikā |
||
|
1.4. Abonentlīniju skaits procentos no visām ierīkotajām abonentlīnijām, kas ierīkotas ar klientu norunātajā dienā |
||
|
1.5. Abonentlīniju skaits procentos no visām ierīkotajām abonentlīnijām, kas ierīkotas ar klientu norunātajā dienas pusē |
||
|
2. Bojājumu skaits |
2.1. Pieteikto bojājumu skaits uz vienu abonentlīniju |
|
|
2.2. Pieteikto bojājumu skaits elektronisko sakaru tīklā uz vienu abonentu |
||
|
3. Bojājumu novēršanas laiks |
3.1. Minimālais stundu skaits no bojājuma pieteikuma saņemšanas brīža līdz bojājuma novēršanas brīdim, lai novērstu 80% abonentlīniju bojājumu |
|
|
3.2. Minimālais stundu skaits no bojājuma pieteikuma saņemšanas brīža līdz bojājuma novēršanas brīdim, lai novērstu 80% visu citu bojājumu, izņemot abonentlīniju bojājumus |
||
|
3.3. Minimālais stundu skaits no bojājuma pieteikuma saņemšanas brīža līdz bojājuma novēršanas brīdim, lai novērstu 95% abonentlīniju bojājumu |
||
|
3.4. Minimālais stundu skaits no bojājuma pieteikuma saņemšanas brīža līdz bojājuma novēršanas brīdim, lai novērstu 95% visu citu bojājumu, izņemot abonentlīniju bojājumus |
||
|
3.5. Bojājumu skaits procentos
no pieteiktajiem |
||
|
3.6. Pieteikto bojājumu skaits procentos no abonentlīniju bojājumiem, kas novērsti ar abonentu norunātajā dienā |
||
|
3.7. Pieteikto bojājumu skaits procentos no visiem citiem bojājumiem, izņemot abonentlīniju bojājumus, kas novērsti ar abonentu norunātajā dienā |
||
|
3.8. Pieteikto bojājumu skaits procentos no abonentlīniju bojājumiem, kas novērsti ar abonentu norunātajā dienas pusē |
||
|
3.9. Pieteikto bojājumu skaits procentos no visiem citiem bojājumiem, izņemot abonentlīniju bojājumus, kas novērsti ar abonentu norunātajā dienas pusē |
||
|
4. Nesekmīgo savienojumu skaits |
4.1. Nesekmīgo savienojumu skaits vietējām un iekšzemes sarunām |
|
|
4.2. Nesekmīgo savienojumu skaits starptautiskajām sarunām |
||
|
5. Savienošanas laiks |
5.1. Savienošanas laiks sekundēs vietējām un iekšzemes sarunām |
|
|
5.2. Savienošanas laiks sekundēs 95% no sekmīgo savienojumu skaita vietējām un iekšzemes sarunām |
||
|
5.3. Savienošanas laiks sekundēs starptautiskajām sarunām |
||
|
5.4. Savienošanas laiks sekundēs 95% no sekmīgo savienojumu skaita starptautiskajām sarunām |
||
|
6. Rēķinu precizitāte procentos |
||
|
Taksofonu pakalpojums publiskajā fiksētajā telefonu tīklā |
7. Darbojošos taksofonu skaits procentos |
|
|
Bojājumu pieteikumu pieņemšanas dienesta pakalpojums publiskajā fiksētajā telefonu tīklā |
8. Atbildes laiks uz izsaukumu sekundēs |
|
|
Visaptveroša telefona uzziņu dienesta pakalpojums publiskajā fiksētajā telefonu tīklā |
9. Atbildes laiks uz izsaukumu sekundēs |
|
* X – kalendāro dienu skaits, ko nosaka elektronisko sakaru komersants.
19. Šo noteikumu 1.tabulas 1. – 6.punktā noteikto mērāmo parametru mērījumus veic komersants, kas sniedz pakalpojumus publiskajā fiksētajā telefonu tīklā.
20. Šo noteikumu 1.tabulas 1.punktā noteiktā mērāmā parametra mērījumus komersants neveic, ja balss telefonijas pakalpojuma nodrošināšanai izmanto:
20.1. operatora iepriekšējas izvēles pakalpojumu;
20.2. operatora izvēles pakalpojumu;
20.3. atsaistītu piekļuvi abonentlīnijai.
21. Šo noteikumu 1.tabulas 2.1.punktā noteiktā mērāmā parametra mērījumus komersants veic, ja balss telefonijas pakalpojumu sniedz, izmantojot abonentlīnijas (to skaitā atsaistītu piekļuvi abonentlīnijai).
22. Šo noteikumu 1.tabulas 2.2.punktā noteiktā mērāmā parametra mērījumus komersants veic, ja balss telefonijas pakalpojumu sniedz, izmantojot:
22.1. operatora iepriekšējas izvēles pakalpojumu;
22.2. operatora izvēles pakalpojumu.
23. Šo noteikumu 1.tabulas 3.1., 3.3., 3.6. un 3.8.punktā noteikto mērāmo parametru mērījumus komersants neveic, ja balss telefonijas pakalpojuma nodrošināšanai izmanto:
23.1. operatora iepriekšējas izvēles pakalpojumu;
23.2. operatora izvēles pakalpojumu;
23.3. atsaistītu piekļuvi abonentlīnijai.
24. Komersants, veicot starptautiskā balss telefonijas pakalpojuma mērījumus, izvēlas vismaz trīs valstis, uz kurām iepriekšējā kalendārā gada laikā bijusi vislielākā noslodze.
25. Šo noteikumu 1.tabulas 4.1., 5.1., 5.2. un 7. – 9.punktā noteikto mērāmo parametru mērījumus publiskajā fiksētajā telefonu tīklā neveic komersants, kuram noteiktas universālā pakalpojuma sniegšanas saistības pakalpojumiem publiskajā fiksētajā telefonu tīklā.
26. Regulators veic šo noteikumu 1.tabulas 4.1., 5.1., 5.2. un 7. – 9.punktā noteikto mērāmo parametru mērījumus publiskajā fiksētajā telefonu tīklā komersantam, kuram noteiktas universālā pakalpojuma sniegšanas saistības pakalpojumiem publiskajā fiksētajā telefonu tīklā.
27. Šo noteikumu 1.tabulas 4.1., 5.1. un 5.2.punktā noteikto mērāmo parametru mērījumus publiskajā fiksētajā telefonu tīklā neveic operators, kuram ir vairāk nekā 20000 galalietotāju uz iepriekšējā kalendārā gada 1.oktobri.
28. Regulators veic šo noteikumu 1.tabulas 4.1., 5.1. un 5.2.punktā noteikto mērāmo parametru mērījumus publiskajā fiksētajā telefonu tīklā, ja operatoram ir ne mazāk kā 20000 galalietotāju uz iepriekšējā kalendārā gada 1.oktobri.
29. Mērījumus publiskajā fiksētajā telefonu tīklā veic, nodrošinot mērījumu rezultātu ticamības pakāpi ne mazāku kā 95% un relatīvo mērījumu precizitāti ne mazāk 10%.
30. Mērāmie parametri publiskajā mobilajā telefonu tīklā noteikti šo noteikumu 2.tabulā.
Mērāmie parametri publiskajā mobilajā telefonu tīklā
2.tabula
|
Pakalpojums |
Parametrs |
|
Balss telefonijas pakalpojums publiskajā mobilajā telefonu tīklā |
1. Nesekmīgo savienojumu skaits |
|
2. Savienošanas laiks sekundēs |
|
|
3. Savienošanas laiks sekundēs 95% no sekmīgo savienojumu skaita |
|
|
4. Rēķinu precizitāte procentos |
|
|
Īsziņu pakalpojums publiskajā mobilajā telefonu tīklā |
5. Nesekmīgi sūtīto īsziņu skaits |
|
6. Īsziņas piegādes laiks sekundēs |
31. Šo noteikumu 2.tabulā noteikto mērāmo parametru mērījumus veic komersants, kas sniedz pakalpojumus publiskajā mobilajā telefonu tīklā.
32. Šo noteikumu 2.tabulas 1. – 3., 5. un 6.punktā noteikto mērāmo parametru mērījumus publiskajā mobilajā telefonu tīklā neveic operators, kuram ir vairāk 20000 galalietotāju uz iepriekšējā kalendārā gada 1.oktobri.
33. Regulators veic šo noteikumu 2.tabulas 1. – 3., 5. un 6.punktā noteikto mērāmo parametru mērījumus publiskajā mobilajā telefonu tīklā, ja operatoram ir ne mazāk kā 20000 galalietotāju uz iepriekšējā kalendārā gada 1.oktobri.
34. Balss telefonijas pakalpojuma mērījumus publiskajā mobilajā telefonu tīklā veic, nodrošinot mērījumu rezultātu ticamības pakāpi ne mazāk kā 95% un relatīvo mērījumu precizitāti ne mazāk kā 10%.
35. Īsziņu pakalpojuma mērījumus publiskajā mobilajā telefonu tīklā veic, nosūtot ne mazāk kā 1000 īsziņu.
36. Īsziņu pakalpojuma kvalitātes, izmantojot publisko mobilo telefonu tīklu starpsavienojumu, mērāmie parametri noteikti šo noteikumu 3.tabulā.
Īsziņu pakalpojuma, izmantojot publisko mobilo telefonu tīklu starpsavienojumu, mērāmie parametri
3.tabula
|
Pakalpojums |
Parametrs |
|
Īsziņu pakalpojums, izmantojot publisko mobilo telefonu tīklu starpsavienojumu |
1. Nesekmīgi sūtīto īsziņu skaits |
|
2. Īsziņas piegādes laiks sekundēs |
37. Šo noteikumu 3.tabulā noteikto mērāmo parametru mērījumus veic komersants, kas sniedz īsziņu pakalpojumu, izmantojot publisko mobilo telefonu tīklu starpsavienojumu, un kuram ir noslēgts starpsavienojumu līgums, un esošā kalendārā gada sākumu sniedz pakalpojumu vismaz sešus mēnešus no starpsavienojumu līguma noslēgšanas brīža.
38. Šo noteikumu 3.tabulā noteikto mērāmo parametru mērījumus neveic operatori, kuriem publiskajā mobilajā telefonu tīklā ir vairāk nekā 5000 galalietotāju uz iepriekšējā kalendārā gada 1.oktobri.
39. Regulators veic šo noteikumu 3.tabulā noteikto mērāmo parametru mērījumus, ja:
39.1. starp operatoriem ir noslēgts starpsavienojumu līgums un uz kalendārā gada sākumu sniedz īsziņu pakalpojumu, izmantojot publisko mobilo telefonu tīklu starpsavienojumu, vismaz sešus mēnešus no starpsavienojumu līguma noslēgšanas brīža;
39.2. katram operatoram publiskajā mobilajā tīklā ir ne mazāk kā 5000 galalietotāju uz iepriekšējā kalendārā gada 1.oktobri.
40. Īsziņu pakalpojuma, izmantojot publisko mobilo telefonu tīklu starpsavienojumu, mērījumus publiskajā mobilajā telefonu tīklā veic, nosūtot ne mazāk kā 1000 īsziņu.
41. Starpsavienojumu pakalpojuma kvalitātes mērāmie parametri noteikti šo noteikumu 4.tabulā.
Starpsavienojuma pakalpojuma kvalitātes mērāmie parametri
4.tabula
|
Pakalpojums |
Parametrs |
|
Starpsavienojuma pakalpojums |
1. Nesekmīgo savienojumu skaits |
|
2. Savienošanas laiks sekundēs |
42. Šo noteikumu 4.tabulā noteikto mērāmo parametru mērījumus veic komersants, kas sniedz starpsavienojuma pakalpojumu.
43. Šo noteikumu 4.tabulā noteikto mērāmo parametru mērījumus neveic operatori, kuriem publiskajā telefonu tīklā ir vairāk nekā 5000 galalietotāju uz iepriekšējā kalendārā gada 1.oktobri.
44. Regulators veic šo noteikumu 4.tabulā noteikto mērāmo parametru mērījumus, ja:
44.1.starp operatoriem ir noslēgts starpsavienojumu līgums, un uz kalendārā gada sākumu sniedz starpsavienojuma pakalpojumu vismaz sešus mēnešus no starpsavienojumu līguma noslēgšanas brīža;
44.2. katram operatoram publiskajā telefonu tīklā ir ne mazāk kā 5000 galalietotāju uz iepriekšējā kalendārā gada 1.oktobri.
45. Regulators var veikt šo noteikumu 4.tabulā noteikto mērāmo parametru mērījumus izvēles kārtā pēc savas iniciatīvas, par to rakstiski informējot komersantu ne vēlāk kā 30 dienas pirms mērījumu uzsākšanas.
46. Starpsavienojuma pakalpojuma mērījumus veic, nodrošinot mērījumu rezultātu ticamības pakāpi ne mazāk kā 60% un relatīvo mērījumu precizitāti ne mazāk kā 10%.
47. Nomāto līniju pakalpojuma mērāmie parametri noteikti šo noteikumu 5.tabulā.
Nomāto līniju pakalpojuma mērāmie parametri
5.tabula
|
Pakalpojums |
Parametrs |
|
|
Nomāto līniju pakalpojums |
1. Ierīkošanas laiks kalendārās dienās |
1.1. Visām nomātajām līnijām |
|
1.2. Iekšzemes nomātajām līnijām |
||
|
1.3. Starptautiskajām nomātajām līnijām Eiropas Savienības robežās |
||
|
2. Bojājumu novēršanas laiks stundās |
2.1. Visām nomātajām līnijām |
|
|
2.2. Iekšzemes nomātajām līnijām |
||
|
2.3. Starptautiskajām nomātajām līnijām Eiropas Savienības robežās |
||
|
3. Bojājumu skaits |
||
|
4. Pakalpojuma pieejamība procentos |
||
48. Šo noteikumu 5.tabulā noteikto mērāmo parametru mērījumus veic komersants, kas sniedz nomāto līniju pakalpojumu.
49. Televīzijas programmu izplatīšanas pakalpojuma mērāmie parametri publiskajā kabeļtelevīzijas tīklā noteikti šo noteikumu 6.tabulā.
Televīzijas programmu izplatīšanas pakalpojuma mērāmie parametri publiskajā kabeļtelevīzijas tīklā
6.tabula
|
Pakalpojums |
Parametri |
|
Televīzijas programmu izplatīšanas pakalpojums publiskajā kabeļtelevīzijas tīklā |
1. Publiskā kabeļtelevīzijas tīkla pieslēguma punkta ierīkošanas laiks, kalendārās dienas |
|
2. Bojājumu novēršanas laiks stundās |
|
|
3. Bojājumus skaits |
|
|
4. Attēla nesējfrekvence kilohercos |
|
|
5. Attēla un skaņas nesējfrekvenču starpība kilohercos |
|
|
6. Attēla nesēja līmenis decibelos |
|
|
7. Attēla un skaņas nesēju līmeņu attiecība decibelos |
|
|
8. Attiecība attēla nesējs/troksnis decibelos |
|
|
9. Vājinājums starp jebkurām divām publiskā kabeļtelevīzijas tīkla sazarotāja izejām radiofrekvenču joslā 48,5MHz – 862,0MHz decibelos |
|
|
10. Attēla kvalitātes subjektīvais vizuālais vērtējums |
50. Šo noteikumu 6.tabulā noteikto mērāmo parametru mērījumus veic komersants, kas sniedz televīzijas programmu izplatīšanas pakalpojumu publiskajā kabeļtelevīzijas tīklā.
51. Regulators veic šo noteikumu 6.tabulas 4. – 10.punktā noteikto mērāmo parametru mērījumus publiskajā kabeļtelevīzijas tīklā, ja pamatoto sūdzību skaits, kas saņemtas Regulatorā, iepriekšējā kalendārajā gadā par televīzijas programmu izplatīšanas pakalpojuma kvalitāti komersanta publiskajā kabeļtelevīzijas tīklā ir vairāk nekā viena sūdzība uz 1000 galalietotājiem.
52. Šo noteikumu 6.tabulas 1. – 3.punktā noteikto mērāmo parametru mērījumus veic visiem komersanta publiskajiem kabeļtelevīzijas tīkliem kopā.
53. Šo noteikumu 6.tabulas 4. un 5.punktā noteikto mērāmo parametru mērījumus veic vienu reizi katram televīzijas kanālam vienā brīvi izvēlētā pieslēguma punktā katram komersanta publiskajam kabeļtelevīzijas tīklam.
54. Šo noteikumu 6.tabulas 6. – 10.punktā noteikto mērāmo parametru mērījumus veic vienu reizi katram televīzijas kanālam ne mazāk kā trīs brīvi izvēlētos pieslēguma punktos katram komersanta publiskajam kabeļtelevīzijas tīklam.
55. Interneta piekļuves pakalpojuma mērāmie parametri publiskajā fiksētājā elektronisko sakaru tīklā noteikti šo noteikumu 7.tabulā.
Interneta piekļuves pakalpojuma mērāmie parametri publiskajā fiksētajā elektronisko sakaru tīklā
7.tabula
|
Pakalpojums |
Parametrs |
|
|
Interneta piekļuves pakalpojums publiskajā fiksētajā elektronisko sakaru tīklā |
1. Lejupielādes ātrums kilobiti sekundē |
|
|
2. Augšupielādes ātrums kilobiti sekundē |
||
|
3. Ierīkošanas laiks kalendārās dienās |
||
|
4. Bojājumu skaits |
||
|
5. Bojājumu novēršanas laiks |
5.1. Minimālais stundu skaits no bojājumu pieteikuma saņemšanas brīža līdz bojājuma novēršanas brīdim, lai novērstu 80% no bojājumu pieteikumu skaita |
|
|
5.2. Minimālais stundu skaits no bojājumu pieteikuma saņemšanas brīža līdz bojājuma novēršanas brīdim, lai novērstu 95% no bojājumu pieteikumu skaita |
||
|
6. Pakešu zuduma koeficients procentos |
||
|
7. Latentums milisekundēs |
||
|
8. Trīce milisekundēs |
||
|
9. Pakalpojuma pieejamība procentos |
||
56. Šo noteikumu 7.tabulā noteikto mērāmo parametru mērījumus veic komersants, kas sniedz interneta piekļuves pakalpojumu publiskajā fiksētājā elektronisko sakaru tīklā.
57. Regulators veic šo noteikumu 7.tabulas 1., 2. un 6. – 8.punktā noteikto mērāmo parametru mērījumus publiskajā fiksētajā elektronisko sakaru tīklā, ja pamatoto sūdzību skaits, kas saņemtas Regulatorā, iepriekšējā kalendārajā gadā par interneta piekļuves pakalpojuma kvalitāti komersanta publiskajā fiksētajā elektronisko sakaru tīklā ir vairāk nekā viena sūdzība uz 1000 galalietotājiem.
58. Šo noteikumu 7.tabulas 1., 2.,
6. –
8.punktā noteikto mērāmo parametru mērījumus veic posmā no
galalietotāja galiekārtas līdz Latvijas interneta apmaiņas
punktam.
5. Kvalitātes pārskatu iesniegšanas kārtība
59. Komersants, kurš sniedz balss telefonijas pakalpojumu publiskajā fiksētajā telefonu tīklā un kuram Regulators atbilstoši šo noteikumu 26. un 28.punktam neveic mērījumus, iesniedz Regulatorā kvalitātes pārskatu par pakalpojumu kvalitātes prasību izpildi reizi gadā līdz 1.februārim par iepriekšējo kalendāro gadu (9.pielikums).
60. Komersants, kurš sniedz balss telefonijas pakalpojumu publiskajā mobilajā telefonu tīklā un kuram Regulators atbilstoši šo noteikumu 33.punktam neveic mērījumus, iesniedz Regulatorā kvalitātes pārskatu par pakalpojumu kvalitātes prasību izpildi reizi gadā līdz 1.februārim par iepriekšējo kalendāro gadu (10.pielikums).
61. Komersants, kurš sniedz īsziņu pakalpojumu publiskajā mobilajā telefonu tīklā un kuram Regulators atbilstoši šo noteikumu 33.punktam neveic mērījumus, iesniedz Regulatorā kvalitātes pārskatu par pakalpojumu kvalitātes prasību izpildi reizi gadā līdz 1.februārim par iepriekšējo kalendāro gadu (11.pielikums).
62. Komersants, kurš sniedz īsziņu pakalpojumu, izmantojot publisko mobilo telefonu tīklu starpsavienojumu, un kuram Regulators atbilstoši šo noteikumu 39.punktam neveic mērījumus, iesniedz Regulatorā kvalitātes pārskatu par pakalpojumu kvalitātes prasību izpildi reizi gadā līdz 1.februārim par iepriekšējo kalendāro gadu (12.pielikums).
63. Komersants, kurš sniedz starpsavienojuma pakalpojumu un kuram Regulators atbilstoši šo noteikumu 44.punktam neveic mērījumus, iesniedz Regulatorā kvalitātes pārskatu par pakalpojumu kvalitātes prasību izpildi reizi gadā līdz 1.februārim par iepriekšējo kalendāro gadu (13.pielikums).
64. Komersants, kurš sniedz nomāto līniju pakalpojumu, iesniedz Regulatorā kvalitātes pārskatu par pakalpojumu kvalitātes prasību izpildi reizi gadā līdz 1.februārim par iepriekšējo kalendāro gadu (14.pielikums).
65. Komersants, kurš sniedz televīzijas programmu izplatīšanas pakalpojumu publiskajā kabeļtelevīzijas tīklā un kuram Regulators atbilstoši šo noteikumu 51.punktam neveic mērījumus, iesniedz Regulatorā kvalitātes pārskatu par pakalpojumu kvalitātes prasību izpildi reizi gadā līdz 1.februārim par iepriekšējo kalendāro gadu (15.pielikums).
66. Komersants, kurš sniedz interneta piekļuves pakalpojumu publiskajā fiksētajā tīklā un kuram Regulators atbilstoši šo noteikumu 57.punktam neveic mērījumus, iesniedz Regulatorā kvalitātes pārskatu par pakalpojumu kvalitātes prasību izpildi reizi gadā līdz 1.februārim par iepriekšējo kalendāro gadu (16.pielikums).
67. Regulatorā iesniegtie komersanta kvalitātes pārskati ir publiski pieejami Regulatora mājas lapā internetā www.sprk.gov.lv.
6. Noslēguma jautājumi
68. Komersants, kurš sniedz balss telefonijas pakalpojumu publiskajā fiksētajā telefonu tīklā un kuram Regulators, atbilstoši šo noteikumu 26. un 28.punktam neveic mērījumus, iesniedz Regulatorā kvalitātes pārskatu par pakalpojumu kvalitātes prasību izpildi 2007.gadā saskaņā ar šo Noteikumu 17.pielikumu. Sākot ar 2009.gadu, komersants iesniedz Regulatorā kvalitātes pārskatu saskaņā ar šo Noteikumu 12.pielikumu.
69. Komersants, kurš sniedz balss telefonijas pakalpojumu publiskajā mobilajā telefonu tīklā un kuram Regulators atbilstoši šo noteikumu 33.punktam neveic mērījumus, iesniedz Regulatorā kvalitātes pārskatu par pakalpojumu kvalitātes prasību izpildi 2007.gadā saskaņā ar šo Noteikumu 10.pielikumu, aizpildot tabulas 1., 2. un 4.punktu.
70. Par Noteikumos noteikto prasību pārkāpšanu Regulators komersantu sauc pie atbildības likumā noteiktajā kārtībā un apjomā.
Informatīvā atsauce uz Eiropas Savienības direktīvu
Šajos noteikumos ir iekļautas tiesību normas, kas izriet no Eiropas Parlamenta un Padomes 2002.gada 7. marta Direktīvas 2002/22/EK par universālo pakalpojumu un lietotāju tiesībām attiecībā uz elektronisko sakaru tīkliem un pakalpojumiem (universālā pakalpojuma direktīva) (publicēta Oficiālajā Vēstnesī, Īpašais izdevums, 2004., 13./19. sēj., 367.lpp).
1 angl. Latency
2 angl. Packet Loss Ratio
3 angl. Jitter
Sabiedrisko pakalpojumu regulēšanas komisijas padomes priekšsēdētāja V.Andrējeva
1.pielikums
Noteikumiem par kvalitātes prasībām un kvalitātes pārskatu
iesniegšanas kārtību, kas apstiprināti ar Sabiedrisko pakalpojumu
regulēšanas komisijas padomes
2007.gada 19.decembra lēmumu Nr.613
Balss telefonijas pakalpojuma publiskajā fiksētajā telefonu tīklā kvalitātes deklarācija ____.gadam
|
Elektronisko sakaru komersanta nosaukums |
______________________________ |
|
Elektronisko sakaru komersanta reģistrācijas numurs komercreģistrā |
______________________________ |
|
Pakalpojumu kvalitātes parametri |
Pakalpojumu kvalitātes parametru vērtība |
|
|
1. Vidējais abonentlīniju ierīkošanas laiks balss telefonijas pakalpojuma nodrošināšanai1 |
1.1. Minimālo kalendāro dienu skaits no pieteikuma saņemšanas dienas līdz ierīkošanas dienai, lai ierīkotu 95% pieprasīto abonentlīniju |
≤ |
|
1.2. Minimālo kalendāro dienu skaits no pieteikuma saņemšanas dienas līdz ierīkošanas dienai, lai ierīkotu 99% pieprasīto abonentlīniju |
≤ |
|
|
1.3.Abonentlīniju skaits procentos no visām ierīkotajām abonentlīnijām, kas ierīkotas X* kalendāro dienu laikā |
≥ |
|
|
1.4. Abonentlīniju skaits procentos no visām ierīkotajām abonentlīnijām, kas ierīkotas ar klientu norunātajā dienā |
≥ |
|
|
1.5. Abonentlīniju skaits procentos no visām ierīkotajām abonentlīnijām, kas ierīkotas ar klientu norunātajā dienas pusē |
≥ |
|
|
2. Bojājumu skaits2 |
2.1. Pieteikto bojājumu skaits uz vienu abonentlīniju3 |
≤ |
|
2.2. Pieteikto bojājumu skaits elektronisko sakaru tīklā uz vienu abonentu4 |
≤ |
|
|
3. Vidējais bojājumu novēršanas laiks 5 |
3.1. Minimālais stundu skaits no bojājuma pieteikuma saņemšanas brīža līdz bojājuma novēršanas brīdim, lai novērstu 80 % abonentlīniju bojājumu6 |
≤ |
|
3.2. Minimālais stundu skaits no bojājuma pieteikuma saņemšanas brīža līdz bojājuma novēršanas brīdim, lai novērstu 80% visu citu bojājumu, izņemot abonentlīniju bojājumus |
≤ |
|
|
3.3. Minimālais stundu skaits no bojājuma pieteikuma saņemšanas brīža līdz bojājuma novēršanas brīdim, lai novērstu 95% abonentlīniju bojājumu7 |
≤ |
|
|
3.4. Minimālais stundu skaits no bojājuma pieteikuma saņemšanas brīža līdz bojājuma novēršanas brīdim, lai novērstu 95% visu citu bojājumu, izņemot abonentlīniju bojājumus |
≤ |
|
|
3.5. Bojājumu skaits procentos no pieteiktajiem bojājumiem, ka novērsti X* kalendāro dienu laikā |
≥ |
|
|
3.6. Pieteikto bojājumu skaits procentos no abonentlīniju bojājumiem, kas novērsti ar abonentu norunātajā dienā |
≥ |
|
|
3.7. Pieteikto bojājumu skaits procentos no visiem citiem bojājumiem, izņemot abonentlīniju bojājumus, kas novērsti ar abonentu norunātajā dienā |
≥ |
|
|
3.8. Pieteikto bojājumu skaits procentos no abonentlīniju bojājumiem, kas novērsti ar abonentu norunātajā dienas pusē |
≥ |
|
|
3.9. Pieteikto bojājumu skaits procentos no visiem citiem bojājumiem, izņemot abonentlīniju bojājumus, kas novērsti ar abonentu norunātajā dienas pusē |
≥ |
|
|
4. Nesekmīgo savienojumu koeficients8 |
4.1. Nesekmīgo savienojumu koeficients procentos vietējām un iekšzemes sarunām |
≤ |
|
4.2. Nesekmīgo savienojumu koeficients procentos starptautiskajām sarunām |
≤ |
|
|
5. Savienošanas laiks9 |
5.1. Vidējais savienošanas laiks sekundēs vietējām un iekšzemes sarunām |
≤ |
|
5.2. Savienošanas laiks sekundēs 95% no sekmīgo savienojumu skaita vietējām un iekšzemes sarunām10 |
≤ |
|
|
5.3. Vidējais savienošanas laiks sekundēs starptautiskajām sarunām |
≤ |
|
|
5.4. Savienošanas laiks sekundēs 95% no sekmīgo savienojumu skaita starptautiskajām sarunām10 |
≤ |
|
|
6. Rēķinu precizitāte procentos11 |
≥ |
|
Komersants, nosakot starptautiskā balss telefonijas pakalpojuma kvalitātes parametru vērtības, izvēlas vismaz trīs valstis, uz kurām iepriekšējā kalendārā gada laikā bijusi vislielākā noslodze.
1 Abonentlīniju uzskaiti attiecina uz publiskā fiksētā telefonu tīkla pieslēguma punktu (turpmāk – pieslēguma punkts) skaitu (to skaitā sapārotās, blīvētās abonentlīnijas, integrēto pakalpojumu ciparu tīkla primārās plūsmas piekļuve (turpmāk– ISDN PRA1), privātās automātiskā atzara centrāles (turpmāk– PABX2) pieslēgumi ar signalizāciju R2-CAS un citi. Integrēto pakalpojumu ciparu tīkla galvenās plūsmas piekļuvi (turpmāk – ISDN BRA3) uzskaita kā vienu abonentlīniju.
Ierīkoto abonentlīniju uzskaitē iekļauj gadījumus, ja:
1) ierīko jaunu abonentlīniju neatkarīgi no izmantojamās tehnoloģijas,
2) veic abonentlīnijas pārvietošanu,
3) pārreģistrē abonentlīniju citam abonentam,
4) abonentam ierīko papildu abonentlīnijas pieslēguma punktu, ieskaitot arī abonentlīniju pārveidošanu uz ISDN.
Ierīkoto abonentlīniju uzskaitē neiekļauj gadījumus, ja balss telefonijas pakalpojuma nodrošināšanai izmanto:
1) operatora iepriekšējas izvēles pakalpojumu;
2) operatora izvēles pakalpojumu;
3) atsaistītu piekļuvi abonentlīnijai.
2 Bojājumu uzskaiti attiecina uz pieslēguma punktu skaitu (to skaitā sapārotās, blīvētās abonentlīnijas, ISDN PRA, PABX pieslēgumi ar signalizāciju R2-CAS un citi). ISDN BRA uzskaita kā vienu abonentlīniju.
3 Bojājumu skaita uzskaiti nodrošina, ja balss telefonijas pakalpojumu sniedz, izmantojot abonentlīnijas (to skaitā atsaistītu piekļuvi abonentlīnijai).
4 Bojājumu skaita uzskaiti nodrošina, ja balss telefonijas pakalpojumu sniedz, izmantojot:
1) operatora iepriekšējas izvēles pakalpojumu;
2) operatora izvēles pakalpojumu.
5 Bojājumu novēršanas laika uzskaiti attiecina uz pieslēguma punktu skaitu (to skaitā sapārotās, blīvētās abonentlīnijas, ISDN PRA, PABX pieslēgumi ar signalizāciju R2-CAS un citi). ISDN BRA uzskaita kā vienu abonentlīniju.
6 Abonentlīniju bojājumu novēršanas laiku neuzskaita, ja balss telefonijas pakalpojuma nodrošināšanai izmanto:
1) operatora iepriekšējas izvēles pakalpojumu;
2) operatora izvēles pakalpojumu;
3) atsaistītu piekļuvi abonentlīnijai.
7 Abonentlīniju bojājumu novēršanas laiku neuzskaita, ja balss telefonijas pakalpojuma nodrošināšanai izmanto:
1) operatora iepriekšējas izvēles pakalpojumu;
2) operatora izvēles pakalpojumu;
3) atsaistītu piekļuvi abonentlīnijai.
3.1. – 3.2. punktā noteikto parametru vērtības norāda šādā formātā: SS:mm (S–stundas, m–minūtes).
8 Nesekmīgo savienojumu koeficients – parametrs, kas procentos nosaka nesekmīgo savienojumu skaita attiecību pret kopējo veikto savienojumu mēģinājumu skaitu.
Nesekmīgs savienojums:
1) savienojuma mēģinājums ar pareizi sastādītu, abonentam lietošanā piešķirtu numuru, 30 sekunžu laikā vietējam vai iekšzemes izsaukumam, nekonstatējot izsaukuma kontroles signālu, aizņemtības signālu vai atbildi;
2) savienojuma mēģinājums ar pareizi sastādītu, abonentam lietošanā piešķirtu numuru, konstatējot izsaukuma kontroles signālu nepareiza savienojuma gadījumā, par ko pārliecinās, veicot atkārtotus savienojuma mēģinājumus;
3) savienojuma mēģinājums ar pareizi sastādītu, abonentam lietošanā piešķirtu numuru, konstatējot aizņemtības signālu, ja izsaukto numuru neizmanto citai sarunai, par ko pārliecinās, veicot atkārtotus savienojuma mēģinājumus;
4) savienojuma mēģinājums ar pareizi sastādītu, abonentam lietošanā piešķirtu numuru, konstatējot atbildi nepareiza savienojuma gadījumā;
5) savienojuma mēģinājums ar pareizi sastādītu, abonentam lietošanā piešķirtu numuru, konstatējot nepārtrauktu signālu;
6) savienojuma mēģinājums ar pareizi sastādītu, abonentam lietošanā piešķirtu numuru, savienojumam zūdot savienojuma laikā.
9 Vidējais savienošanas laiks – parametrs, kas sekundēs nosaka kopējo savienošanas laiku summas attiecību pret kopējo sekmīgo savienojumu skaitu.
Savienošanas laiks – parametrs, kas sekundēs nosaka laika posmu no izsaucamā numura nosūtīšanas brīža līdz brīdim, kad konstatē izsaukuma kontroles signālu, aizņemtības signālu vai atbildi.
10 Laika posms, kurā visātrāk notikuši 95% no visiem sekmīgajiem savienojumiem.
11 Rēķinu precizitāti nosaka saskaņā ar formulu:
nS
R = (1 – ——) · 100%,
nR
R – rēķinu precizitāte gadā, procentos;
nS – pamatotu sūdzību (pretenziju) skaits, ko komersants ir saņēmis par nepareiziem rēķiniem gadā;
Piezīme: Sūdzība (pretenzija) uzskatāma par pamatotu, ja to saņēmis komersants par nepareiziem rēķiniem un tā novērtēta kā pamatota.
nR – kopējais komersanta izsūtīto rēķinu skaits gadā.
* X – kalendāro dienu skaits, ko nosaka elektronisko sakaru komersants.
1 angl. Integrated Services Digital Network Primary Rate Access
2 angl. Private Automatic Branch Exchange
3 angl. Integrated Services Digital Network Basic Rate Access
Sabiedrisko pakalpojumu regulēšanas komisijas padomes priekšsēdētāja V.Andrējeva
2.pielikums
Noteikumiem
par kvalitātes prasībām un kvalitātes pārskatu
iesniegšanas kārtību, kas apstiprināti ar Sabiedrisko pakalpojumu
regulēšanas komisijas padomes
2007.gada 19.decembra lēmumu Nr.613
Balss telefonijas pakalpojuma publiskajā mobilajā telefonu tīklā kvalitātes deklarācija ____.gadam
|
Elektronisko sakaru komersanta nosaukums |
_____________________________ |
|
Elektronisko sakaru komersanta reģistrācijas numurs komercreģistrā |
_____________________________ |
|
Pakalpojumu kvalitātes parametrs |
Pakalpojumu kvalitātes parametru vērtība |
|
1. Nesekmīgo savienojumu koeficients procentos1 |
≤ |
|
2. Vidējais savienošanas laiks sekundēs2 |
≤ |
|
3. Savienošanas laiks sekundēs 95% no sekmīgo savienojumu skaita3 |
≤ |
|
4. Rēķinu precizitāte procentos4 |
≥ |
1 Nesekmīgo savienojumu koeficients – parametrs, kas procentos nosaka nesekmīgo savienojumu skaita attiecību pret kopējo veikto savienojumu mēģinājumu skaitu.
Nesekmīgs savienojums:
1) savienojuma mēģinājums ar pareizi sastādītu, abonentam lietošanā piešķirtu numuru, 30 sekunžu laikā nekonstatējot izsaukuma kontroles signālu, aizņemtības signālu vai atbildi;
2) savienojuma mēģinājums ar pareizi sastādītu, abonentam lietošanā piešķirtu numuru, konstatējot izsaukuma kontroles signālu nepareiza savienojuma gadījumā, par ko pārliecinās, veicot atkārtotus savienojuma mēģinājumus;
3) savienojuma mēģinājums ar pareizi sastādītu, abonentam lietošanā piešķirtu numuru, konstatējot aizņemtības signālu, ja izsaukto līniju neizmanto citai sarunai, par ko pārliecinās, veicot atkārtotus savienojuma mēģinājumus;
4) savienojuma mēģinājums ar pareizi sastādītu, abonentam lietošanā piešķirtu numuru, konstatējot atbildi nepareiza savienojuma gadījumā;
5) savienojuma mēģinājums ar pareizi sastādītu, abonentam lietošanā piešķirtu numuru, konstatējot paziņojumu par to, ka izsauktais mobilais tālruņa aparāts izslēgts vai atrodas ārpus uztveršanas zonas, ja izsauktais mobilais tālruņa aparāts ir ieslēgts un atrodas uztveršanas zonā, par ko pārliecinās, veicot atkārtotus savienojuma mēģinājumus;
6) savienojuma mēģinājums ar pareizi sastādītu, abonentam lietošanā piešķirtu numuru, savienojumam nenotiekot;
7) savienojuma mēģinājums ar pareizi sastādītu, abonentam lietošanā piešķirtu numuru, savienojumam zūdot savienojuma laikā.
2 Vidējais savienošanas laiks – parametrs, kas sekundēs nosaka kopējo savienošanas laiku summas attiecību pret kopējo sekmīgo savienojumu skaitu.
Savienošanas laiks – parametrs, kas sekundēs nosaka laika posmu no izsaucamā numura nosūtīšanas brīža līdz brīdim, kad konstatē izsaukuma kontroles signālu, aizņemtības signālu vai atbildi.
3 Laika posms, kurā visātrāk notikuši 95% no visiem sekmīgajiem savienojumiem.
4 Rēķinu precizitāti nosaka saskaņā ar formulu:
nS
R = (1 – ——) · 100%,
nR
R – rēķinu precizitāte gadā, procentos;
nS – pamatotu sūdzību (pretenziju) skaits, ko komersants ir saņēmis par nepareiziem rēķiniem gadā;
Piezīme: Sūdzība (pretenzija) uzskatāma par pamatotu, ja to saņēmis komersants par nepareiziem rēķiniem un tā novērtēta kā pamatota.
nR – kopējais komersanta izsūtīto rēķinu skaits gadā.
Sabiedrisko pakalpojumu regulēšanas komisijas padomes priekšsēdētāja V.Andrējeva
3.pielikums
Noteikumiem par kvalitātes prasībām un kvalitātes pārskatu
iesniegšanas kārtību, kas apstiprināti ar Sabiedrisko pakalpojumu
regulēšanas komisijas padomes
2007.gada 19.decembra lēmumu Nr.613
Īsziņu pakalpojuma publiskajā mobilajā telefonu tīklā kvalitātes deklarācija ____.gadam
|
Elektronisko sakaru komersanta nosaukums |
_____________________________ |
|
Elektronisko sakaru komersanta reģistrācijas numurs komercreģistrā |
_____________________________ |
|
Pakalpojumu kvalitātes parametrs |
Pakalpojumu kvalitātes parametru vērtība |
|
1. Nesekmīgi sūtīto īsziņu koeficients procentos1 |
≤ |
|
2. Vidējais īsziņas piegādes laiks sekundēs2 |
≤ |
Īsziņu pakalpojums – datu un elektronisko ziņojumu pārraides pakalpojums, kas nodrošina teksta ziņojuma, kas ietver līdz 160 rakstu zīmēm (burti un cipari), nosūtīšanu publiskajā mobilajā telefonu tīklā.
1 Nesekmīgi sūtīto īsziņu koeficients – parametrs, kas procentos nosaka nesekmīgi sūtīto īsziņu skaita attiecību pret kopējo sūtīto īsziņu skaitu.
Nesekmīgi sūtīta īsziņa:
1) īsziņas teksta sūtīšanas mēģinājums uz pareizi sastādītu, abonentam lietošanā piešķirtu numuru, konstatējot paziņojumu, ka īsziņu nosūtīt neizdevās;
2) īsziņas teksta sūtīšanas mēģinājums uz pareizi sastādītu, abonentam lietošanā piešķirtu numuru, adresātam 300 sekunžu laikā nesaņemot īsziņu.
2 Vidējais īsziņas sūtīšanas laiks – parametrs, kas sekundēs nosaka kopējo īsziņu sūtīšanas laiku summas attiecību pret kopējo sekmīgi nosūtīto īsziņu skaitu.
Īsziņas sūtīšanas laiks – parametrs, kas sekundēs nosaka laika posmu no īsziņas teksta un numura nosūtīšanas brīža līdz brīdim, kad īsziņa piegādāta adresātam.
Sabiedrisko pakalpojumu regulēšanas komisijas padomes priekšsēdētāja V.Andrējeva
4.pielikums
Noteikumiem par kvalitātes prasībām un kvalitātes pārskatu
iesniegšanas kārtību, kas apstiprināti ar Sabiedrisko pakalpojumu
regulēšanas komisijas padomes
2007.gada 19.decembra lēmumu Nr.613
Īsziņu pakalpojuma, izmantojot publisko mobilo telefonu tīklu starpsavienojumu, kvalitātes deklarācija ____.gadam
|
Elektronisko sakaru komersanta nosaukums |
_____________________________ |
|
Elektronisko sakaru komersanta reģistrācijas numurs komercreģistrā |
_____________________________ |
|
Pakalpojumu kvalitātes parametrs |
Pakalpojumu kvalitātes parametru vērtība |
|
1. Nesekmīgi sūtīto īsziņu koeficients procentos1 |
≤ |
|
2. Vidējais īsziņas piegādes laiks sekundēs2 |
≤ |
Pakalpojumu kvalitātes parametrus nosaka īsziņu sūtīšanas mēģinājumiem no jebkura publiskā mobilā telefonu tīkla pieslēguma punkta uz jebkuru cita publiskā mobilā telefonu tīkla pieslēguma punktu.
Īsziņu pakalpojums – datu un elektronisko ziņojumu pārraides pakalpojums, kas nodrošina teksta ziņojuma, kas ietver līdz 160 rakstu zīmēm (burti un cipari), nosūtīšanu publiskajā mobilajā telefonu tīklā.
1 Nesekmīgi sūtīto īsziņu koeficients – parametrs, kas procentos nosaka nesekmīgi sūtīto īsziņu skaita attiecību pret kopējo sūtīto īsziņu skaitu.
Nesekmīgi sūtīta īsziņa:
1) īsziņas teksta sūtīšanas mēģinājums uz pareizi sastādītu, abonentam lietošanā piešķirtu numuru, konstatējot paziņojumu, ka īsziņu nosūtīt neizdevās;
2) īsziņas teksta sūtīšanas mēģinājums uz pareizi sastādītu, abonentam lietošanā piešķirtu numuru, adresātam 300 sekunžu laikā nesaņemot īsziņu.
2 Vidējais īsziņas sūtīšanas laiks – parametrs, kas sekundēs nosaka kopējo īsziņu sūtīšanas laiku summas attiecību pret kopējo sekmīgi nosūtīto īsziņu skaitu.
Īsziņas sūtīšanas laiks – parametrs, kas sekundēs nosaka laika posmu no īsziņas teksta un numura nosūtīšanas brīža līdz brīdim, kad īsziņa piegādāta adresātam.
Sabiedrisko pakalpojumu regulēšanas komisijas padomes priekšsēdētāja V.Andrējeva
5.pielikums
Noteikumiem par kvalitātes prasībām un kvalitātes pārskatu
iesniegšanas kārtību, kas apstiprināti ar Sabiedrisko pakalpojumu
regulēšanas komisijas padomes
2007.gada 19.decembra lēmumu Nr.613
Balss telefonijas pakalpojuma, izmantojot publisko elektronisko sakaru tīklu starpsavienojumu, kvalitātes deklarācija ____.gadam
|
Elektronisko sakaru komersanta nosaukums |
_____________________________ |
|
Elektronisko sakaru komersanta reģistrācijas numurs komercreģistrā |
_____________________________ |
|
Pakalpojumu kvalitātes parametrs |
Pakalpojumu kvalitātes parametru vērtība |
|
1. Nesekmīgo savienojumu koeficients procentos1 |
≤ |
|
2. Vidējais savienošanas laiks sekundēs2 |
≤ |
1. Starpsavienojuma kombinācijā no vai uz publisko fiksēto telefonu tīklu pakalpojumu kvalitātes parametru vērtības nosaka savienojumu mēģinājumiem no jebkura publiskā fiksētā telefonu tīkla pieslēguma punkta uz jebkuru cita publiskā fiksētā telefonu tīkla pieslēguma punktu.
2. Starpsavienojuma kombinācijā no vai uz publisko mobilo telefonu tīklu pakalpojumu kvalitātes vērtības nosaka savienojuma mēģinājumiem no jebkura publiskā mobilā telefonu tīkla pieslēguma punkta uz jebkuru cita publiskā mobilā telefonu tīkla pieslēguma punktu.
3. Starpsavienojuma kombinācijā no vai uz publisko radiokomunikāciju tīklu pakalpojumu kvalitātes vērtības nosaka savienojuma mēģinājumiem no jebkura publiskā radiokomunikāciju tīkla pieslēguma punkta uz jebkuru cita publiskā radiokomunikāciju tīkla pieslēguma punktu.
1 Nesekmīgo savienojumu koeficients – parametrs, kas procentos nosaka nesekmīgo savienojumu skaita attiecību pret kopējo veikto savienojumu mēģinājumu skaitu.
Nesekmīgs savienojums:
1) savienojuma mēģinājums ar pareizi sastādītu, abonentam lietošanā piešķirtu numuru, 30 sekunžu laikā nekonstatējot izsaukuma kontroles signālu, aizņemtības signālu vai atbildi;
2) savienojuma mēģinājums ar pareizi sastādītu, abonentam lietošanā piešķirtu numuru, konstatējot izsaukuma kontroles signālu nepareiza savienojuma gadījumā, par ko pārliecinās, veicot atkārtotus savienojuma mēģinājumus;
3) savienojuma mēģinājums ar pareizi sastādītu, abonentam lietošanā piešķirtu numuru, konstatējot aizņemtības signālu, ja izsaukto līniju neizmanto citai sarunai, par ko pārliecinās, veicot atkārtotus savienojuma mēģinājumus;
4) savienojuma mēģinājums ar pareizi sastādītu, abonentam lietošanā piešķirtu numuru, konstatējot atbildi nepareiza savienojuma gadījumā;
5) savienojuma mēģinājums no publiskā fiksētā telefonu tīkla ar pareizi sastādītu, abonentam lietošanā piešķirtu numuru, konstatējot nepārtrauktu signālu;
6) savienojuma mēģinājums uz publisko mobilo telefonu tīklu ar pareizi sastādītu, abonentam lietošanā piešķirtu numuru, konstatējot paziņojumu par to, ka izsauktais mobilais tālruņa aparāts izslēgts vai atrodas ārpus uztveršanas zonas, ja izsauktais mobilais tālruņa aparāts ir ieslēgts un atrodas uztveršanas zonā, par ko pārliecinās, veicot atkārtotus savienojuma mēģinājumus;
7) savienojuma mēģinājums no publiskā mobilā telefonu tīkla vai radiokomunikāciju tīkla ar pareizi sastādītu, abonentam lietošanā piešķirtu numuru savienojumam nenotiekot;
8) savienojuma mēģinājums ar pareizi sastādītu, abonentam lietošanā piešķirtu numuru, savienojumam zūdot savienojuma laikā.
2 Vidējais savienošanas laiks – parametrs, kas sekundēs nosaka kopējo savienošanas laiku summas attiecību pret kopējo sekmīgo savienojumu skaitu.
Savienošanas laiks – parametrs, kas sekundēs nosaka laika posmu no izsaucamā numura nosūtīšanas brīža līdz brīdim, kad konstatē izsaukuma kontroles signālu, aizņemtības signālu vai atbildi.
Sabiedrisko pakalpojumu regulēšanas komisijas padomes priekšsēdētāja V.Andrējeva
6.pielikums
Noteikumiem par kvalitātes prasībām un kvalitātes pārskatu
iesniegšanas kārtību, kas apstiprināti ar Sabiedrisko pakalpojumu
regulēšanas komisijas padomes
2007.gada 19.decembra lēmumu Nr.613
Nomāto līniju pakalpojuma kvalitātes deklarācija ____.gadam
|
Elektronisko sakaru komersanta nosaukums |
_____________________________ |
|
Elektronisko sakaru komersanta reģistrācijas numurs komercreģistrā |
_____________________________ |
|
Nomātās līnijas veids |
Vidējais ierīkošanas laiks, kalendārās dienas1 |
Vidējais bojājumu novēršanas laiks, stundas2 |
Bojājumu skaits3 |
Pakalpojuma pieejamība procentos4 |
||||
|
Visām nomātajām līnijām |
Iekšzemes nomātajām līnijām |
Starptautiskajām nomātajām līnijām Eiropas Savienības robežās |
Visām nomātajām līnijām |
Iekšzemes nomātajām līnijām |
Starptautiskajām nomātajām līnijām Eiropas Savienības robežās |
|||
|
Parastās kvalitātes balss frekvenču joslas analogā |
≤ |
≤ |
≤ |
≤ |
≤ |
≤ |
≤ |
≥ |
|
Speciālās kvalitātes balss frekvenču joslas analogā |
≤ |
≤ |
≤ |
≤ |
≤ |
≤ |
≤ |
≥ |
|
64 kilobiti sekundē ciparu |
≤ |
≤ |
≤ |
≤ |
≤ |
≤ |
≤ |
≥ |
|
2048 kilobiti sekundē nestrukturēta ciparu |
≤ |
≤ |
≤ |
≤ |
≤ |
≤ |
≤ |
≥ |
|
2048 kilobiti sekundē strukturēta ciparu |
≤ |
≤ |
≤ |
≤ |
≤ |
≤ |
≤ |
≥ |
|
34 megabiti sekundē nestrukturēta ciparu |
≤ |
≤ |
≤ |
≤ |
≤ |
≤ |
≤ |
≥ |
|
34 megabiti sekundē strukturēta ciparu |
≤ |
≤ |
≤ |
≤ |
≤ |
≤ |
≤ |
≥ |
|
140 megabiti sekundē nestrukturēta ciparu |
≤ |
≤ |
≤ |
≤ |
≤ |
≤ |
≤ |
≥ |
|
140 megabiti sekundē strukturēta ciparu |
≤ |
≤ |
≤ |
≤ |
≤ |
≤ |
≤ |
≥ |
|
155 megabiti sekundē ciparu |
≤ |
≤ |
≤ |
≤ |
≤ |
≤ |
≤ |
≥ |
|
Cits5 |
≤ |
≤ |
≤ |
≤ |
≤ |
≤ |
≤ |
≥ |
1 Minimālo kalendāro dienu skaits no pieteikuma saņemšanas dienas līdz ierīkošanas dienai, lai ierīkotu 95% no pieprasīto katra veida nomāto līniju skaita.
2 Minimālais stundu skaits no bojājuma pieteikuma saņemšanas brīža līdz bojājuma novēršanas brīdim, lai novērstu 80% no pieteikto katra veida nomāto līniju bojājumu skaita.
3 Katra veida nomāto līniju bojājumu skaits uz vienu nomāto līniju.
4 Pakalpojuma pieejamību (iespēju saņemt pakalpojumu) nomātajām līnijām nosaka saskaņā ar formulu:
TNI
pNI = ———— ·100%,
tK · nNI
pNl – pakalpojumu pieejamība procentos katra veida nomātajām līnijām;
TNl – kopējais pakalpojuma pieejamības laiks stundās visām viena veida nomātajām līnijām;
tK – mērījumu laiks stundās;
nNl – viena veida nomāto līniju skaits.
5 Jānorāda jebkura cita veida nomātās līnijas.
Sabiedrisko pakalpojumu regulēšanas komisijas padomes priekšsēdētāja V.Andrējeva
7.pielikums
Noteikumiem par kvalitātes prasībām un kvalitātes pārskatu
iesniegšanas kārtību, kas apstiprināti ar Sabiedrisko pakalpojumu
regulēšanas komisijas padomes
2007.gada 19.decembra lēmumu Nr.613
Televīzijas programmu izplatīšanas pakalpojuma publiskajā kabeļtelevīzijas tīklā kvalitātes deklarācija ____.gadam
|
Elektronisko sakaru komersanta nosaukums |
_____________________________ |
|
Elektronisko sakaru komersanta reģistrācijas numurs komercreģistrā |
_____________________________ |
|
Pakalpojumu kvalitātes parametrs |
Pakalpojumu kvalitātes parametru vērtība |
|
1. Vidējais publiskā kabeļtelevīzijas tīkla pieslēguma punkta ierīkošanas laiks, kalendārās dienas1 |
≤ |
|
2. Vidējais bojājumu novēršanas laiks, stundas2 |
≤ |
|
3. Bojājumu skaits3 |
≤ |
|
Publiskā kabeļtelevīzijas tīkla adrese |
________________________ |
|
Publiskā kabeļtelevīzijas tīkla identifikācijas numurs |
_______________________ |
|
Pakalpojumu kvalitātes parametrs |
Pakalpojumu kvalitātes parametru vērtība |
|
4. Attēla nesējfrekvences precizitāte, kHz* |
≤ |
|
5. Skaņas nesējfrekvences precizitāte, kHz* |
≤ |
|
6. Vidējais attēla nesēja līmenis, dBμV4* |
|
|
7. Vidējā attēla un skaņas nesēju līmeņu attiecība, dBμV5* |
|
|
8. Vidējā attiecība attēla nesējs/troksnis, dB* |
≥ |
|
9. Vidējais vājinājums starp jebkurām divām publiskā kabeļtelevīzijas tīkla sazarotāja izejām radiofrekvenču joslā 48,5MHz – 862,0MHz, dB* |
≥ |
|
10. Vidējais attēla kvalitātes subjektīvais vizuālais vērtējums6* |
≥ |
Televīzijas programmu izplatīšanas pakalpojuma kvalitātes parametrus nosaka arī komersanti, kuri sniedz televīzijas programmu izplatīšanas pakalpojumu, izmantojot daudzpunktu daudzkanālu sadales sistēmas (MMDS1).
1. – 3.punktā noteikto pakalpojumu kvalitātes parametru vērtības nosaka visiem komersanta publiskajiem kabeļtelevīzijas tīkliem kopā.
4. un 5.punktā noteikto pakalpojumu kvalitātes parametru vērtības nosaka vienu reizi katram televīzijas kanālam vienā brīvi izvēlētā pieslēguma punktā katram komersanta publiskajam kabeļtelevīzijas tīklam.
6.– 10. punktā noteikto pakalpojumu kvalitātes parametru vērtības nosaka vienu reizi katram televīzijas kanālam ne mazāk kā trīs brīvi izvēlētos pieslēguma punktos katram komersanta publiskajam kabeļtelevīzijas tīklam.
1 Minimālo kalendāro dienu skaits no pieteikuma saņemšanas dienas līdz ierīkošanas dienai, lai ierīkotu 95% no pieprasīto pieslēguma punktu skaita.
2 Minimālais stundu skaits no bojājuma pieteikuma saņemšanas brīža līdz bojājuma novēršanas brīdim, lai novērstu 80% no publiskā kabeļtelevīzijas tīkla bojājumu skaita.
Parametra vērtību norāda šādā formātā: SS:mm (S–stundas, m–minūtes).
3 Bojājumu skaits uz 100 pieslēguma punktiem.
4 Attēla nesēja līmenim norāda vērtību robežas.
5 Attēla un skaņas nesēju līmeņu attiecībai norāda vērtību robežas.
6 Vidējais attēla kvalitātes subjektīvais vizuālais vērtējums – parametrs, kas nosaka vidējo svērto attēla kvalitātes novērtējumu no kopējā novērtējumu skaita.
Attēla kvalitāti nosaka kā kvantitatīvu vērtību, ko iegūst subjektīvi vizuāli novērtējot attēlu saskaņā ar šādu tabulu:
|
Vērtība balles |
Novērtējums |
Novērtējuma paskaidrojums |
|
5 |
Teicama kvalitāte |
Traucējumi un kropļojumi nav redzami |
|
4 |
Laba kvalitāte |
Traucējumi un kropļojumi ir redzami, bet netraucē |
|
3 |
Apmierinoša kvalitāte |
Traucējumi un kropļojumi mazliet traucē |
|
2 |
Vāja kvalitāte |
Traucējumi un kropļojumi traucē |
|
1 |
Slikta kvalitāte |
Traucējumi un kropļojumi ļoti traucē |
*Parametru vērtību attiecina uz jebkuru komersanta publiskā kabeļtelevīzijas tīklā raidīto televīzijas kanālu.
1 angl. Multipoint Multichanel Distribution System
Sabiedrisko pakalpojumu regulēšanas komisijas padomes priekšsēdētāja V.Andrējeva
8.pielikums
Noteikumiem par kvalitātes prasībām un kvalitātes
pārskatu iesniegšanas kārtību, kas apstiprināti ar
Sabiedrisko pakalpojumu regulēšanas komisijas
padomes 2007.gada 19.decembra lēmumu Nr.613
Interneta piekļuves pakalpojuma publiskajā fiksētajā tīklā kvalitātes deklarācija ____.gadam
|
Elektronisko sakaru komersanta nosaukums |
_____________________________ |
|
Elektronisko sakaru komersanta reģistrācijas numurs komercreģistrā |
_____________________________ |
|
Pieslēguma ātrums atbilstoši pakalpojuma aprakstam |
Vidējais pieslēguma ātrums1 |
Vidējais ierīkošanas laiks kalendārās dienās2 |
Bojājumu skaits3 |
Vidējais bojājumu novēršanas laiks4 |
Vidējais pakešu zuduma koeficients procentos5 |
Vidējais latentums milisekundēs6 |
Vidējā trīce milisekundēs7 |
Pakalpojuma pieejamība procentos8 |
||
|
Lejupielādes ātrums kilobiti sekundē |
Augšupielādes ātrums kilobiti sekundē |
Minimālais stundu skaits no bojājuma pieteikuma saņemšanas brīža līdz bojājuma novēršanas brīdim, lai novērstu 80 % no bojājumu pieteikumu skaita |
Minimālais stundu skaits no bojājuma pieteikuma saņemšanas brīža līdz bojājuma novēršanas brīdim, lai novērstu 95 % no bojājumu pieteikumu skaita |
|||||||
|
≥ |
≥ |
≤ |
≤ |
≤ |
≤ |
≤ |
≤ |
≤ |
≥ |
|
|
≥ |
≥ |
≤ |
≤ |
≤ |
≤ |
≤ |
≤ |
≤ |
≥ |
|
|
≥ |
≥ |
≤ |
≤ |
≤ |
≤ |
≤ |
≤ |
≤ |
≥ |
|
|
≥ |
≥ |
≤ |
≤ |
≤ |
≤ |
≤ |
≤ |
≤ |
≥ |
|
|
≥ |
≥ |
≤ |
≤ |
≤ |
≤ |
≤ |
≤ |
≤ |
≥ |
|
|
≥ |
≥ |
≤ |
≤ |
≤ |
≤ |
≤ |
≤ |
≤ |
≥ |
|
1 Vidējais pieslēguma ātrums – parametrs, kas kilobitos sekundē nosaka pieslēguma ātruma vidējo aritmētisko vērtību no kopējā mērījumu skaita.
Pieslēguma ātrums – parametrs, kas kilobitos sekundē raksturo informācijas apmaiņas ātrumu (augšupielādes/lejupielādes) datu kanālā, posmā no galalietotāja galiekārtas līdz Latvijas interneta apmaiņas punktam.
Pieslēguma ātrumu nosaka saskaņā ar formulu:
d · 8
S = ———,
t
S – pieslēguma ātrums kilobiti sekundē;
d – pakešu apjoms baitos, kas nosūtīts mērījumu veikšanas laikā;
t – pakešu sūtīšanas laiks milisekundēs.
2 Minimālo kalendāro dienu skaits no pieteikuma saņemšanas dienas līdz ierīkošanas dienai, lai ierīkotu 95% no pieprasīto pieslēguma punktu skaita.
3 Bojājumu skaits uz 100 pieslēguma punktiem.
4 Vidējo bojājumu novēršanas laiku norāda šādā formātā: SS:mm (S–stundas, m–minūtes).
5 Vidējais pakešu zuduma koeficients – parametrs, kas procentos nosaka pakešu zuduma koeficienta vidējo aritmētisko vērtību, katram pakalpojuma veidam, atbilstoši interneta piekļuves pakalpojuma aprakstam, no kopējā mērījumu skaita.
Pakešu zuduma koeficients1 – parametrs, kas procentos nosaka zaudēto pakešu attiecību pret kopējo nosūtīto pakešu skaitu.
Pakešu zuduma koeficientu nosaka saskaņā ar formulu:
D
Z = —— · 100,
M
Z – pakešu zuduma koeficients procentos;
M– kopējais nosūtīto pakešu skaits mērījumu laikā;
D – zaudēto pakešu skaits mērījumu laikā.
6 Vidējais latentums – parametrs, kas milisekundēs nosaka latentuma vidējo aritmētisko vērtību, katram pakalpojuma veidam, atbilstoši interneta piekļuves pakalpojuma aprakstam, no kopējā mērījumu skaita;
Latentums2 – parametrs, kas milisekundēs raksturo laika aizturi starp pakešu sūtīšanu un saņemšanu posmā no galalietotāja galiekārtas līdz Latvijas interneta apmaiņas punktam abos virzienos.
Latentumu nosaka saskaņā ar formulu:
Σ (t1 –
t2)
L = —————
N
L – latentums milisekundēs;
t1 – paketes saņemšanas laiks milisekundēs;
t2 – paketes nosūtīšanas laiks milisekundēs;
N – kopējais pakešu skaits.
7 Vidējā trīce – parametrs, kas milisekundēs nosaka trīces vidējo aritmētisko vērtību, katram pakalpojuma veidam, atbilstoši interneta piekļuves pakalpojuma aprakstam, no kopējā mērījumu skaita.
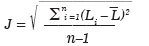
Trīce3 – parametrs, kas milisekundēs nosaka laika aiztures nevienmērību starp pakešu sūtīšanu un saņemšanu, kas rodas tīkla ierobežotās caurlaides spējas dēļ, piemēram, pārslodze, maršruta maiņa, pakešu zudumi un citi.
Trīci aprēķina saskaņa ar formulu:
J– trīce milisekundēs;
__
L – aritmētiskais vidējais latentums milisekundēs;
n – latentuma mērījumu ciklu skaits;
Li – i-tā mērījumu cikla latentums milisekundēs.
8 Pakalpojuma pieejamību (iespēju saņemt pakalpojumu) nosaka saskaņā ar formulu:
T
p = ——— · 100%,
tk · n
p – pakalpojumu pieejamība procentos,
T – kopējais pakalpojuma pieejamības laiks stundās visiem viena pakalpojuma veida pieslēguma punktiem;
tk – mērījumu laiks stundās;
n – kopējais viena pakalpojuma veida pieslēgumu punktu skaits.
1 angl. Packet Loss Ratio
2 angl. Latency
3 angl. Jitter
Sabiedrisko pakalpojumu regulēšanas komisijas padomes priekšsēdētāja V.Andrējeva
9.pielikums
Noteikumiem par kvalitātes prasībām un kvalitātes pārskatu
iesniegšanas kārtību, kas apstiprināti ar Sabiedrisko pakalpojumu
regulēšanas komisijas padomes
2007.gada 19.decembra lēmumu Nr.613
Kvalitātes pārskats par balss telefonijas pakalpojuma publiskajā fiksētajā telefonu tīklā kvalitātes prasību izpildi ____.gadā
|
Elektronisko sakaru komersanta nosaukums |
_______________________________ |
|
Elektronisko sakaru komersanta reģistrācijas numurs komercreģistrā |
_______________________________ |
|
Pakalpojumu kvalitātes parametri |
Pakalpojumu kvalitātes parametru vērtība |
|
|
Pakalpojumu kvalitātes parametri |
Pakalpojumu kvalitātes parametru vērtība |
|
|
1. Vidējais abonentlīniju ierīkošanas laiks balss telefonijas pakalpojuma nodrošināšanai1 |
1.1. Minimālo kalendāro dienu skaits no pieteikuma saņemšanas dienas līdz ierīkošanas dienai, lai ierīkotu 95% pieprasīto abonentlīniju |
≤ |
|
1.2. Minimālo kalendāro dienu skaits no pieteikuma saņemšanas dienas līdz ierīkošanas dienai, lai ierīkotu 99% pieprasīto abonentlīniju |
≤ |
|
|
1.3.Abonentlīniju skaits procentos no visām ierīkotajām abonentlīnijām, kas ierīkotas X* kalendāro dienu laikā |
≥ |
|
|
1.4. Abonentlīniju skaits procentos no visām ierīkotajām abonentlīnijām, kas ierīkotas ar klientu norunātajā dienā |
≥ |
|
|
1.5. Abonentlīniju skaits procentos no visām ierīkotajām abonentlīnijām, kas ierīkotas ar klientu norunātajā dienas pusē |
≥ |
|
|
2. Bojājumu skaits2 |
2.1. Pieteikto bojājumu skaits uz vienu abonentlīniju3 |
≤ |
|
2.2. Pieteikto bojājumu skaits elektronisko sakaru tīklā uz vienu abonentu4 |
≤ |
|
|
3. Vidējais bojājumu novēršanas laiks 5 |
3.1. Minimālais stundu skaits no bojājuma pieteikuma saņemšanas brīža līdz bojājuma novēršanas brīdim, lai novērstu 80 % abonentlīniju bojājumu6 |
≤ |
|
3.2. Minimālais stundu skaits no bojājuma pieteikuma saņemšanas brīža līdz bojājuma novēršanas brīdim, lai novērstu 80% visu citu bojājumu, izņemot abonentlīniju bojājumus |
≤ |
|
|
3.3. Minimālais stundu skaits no bojājuma pieteikuma saņemšanas brīža līdz bojājuma novēršanas brīdim, lai novērstu 95% abonentlīniju bojājumu7 |
≤ |
|
|
3.4. Minimālais stundu skaits no bojājuma pieteikuma saņemšanas brīža līdz bojājuma novēršanas brīdim, lai novērstu 95% visu citu bojājumu, izņemot abonentlīniju bojājumus |
≤ |
|
|
3.5. Bojājumu skaits procentos no pieteiktajiem bojājumiem, ka novērsti X* kalendāro dienu laikā |
≥ |
|
|
3.6. Pieteikto bojājumu skaits procentos no abonentlīniju bojājumiem, kas novērsti ar abonentu norunātajā dienā |
≥ |
|
|
3.7. Pieteikto bojājumu skaits procentos no visiem citiem bojājumiem, izņemot abonentlīniju bojājumus, kas novērsti ar abonentu norunātajā dienā |
≥ |
|
|
3.8. Pieteikto bojājumu skaits procentos no abonentlīniju bojājumiem, kas novērsti ar abonentu norunātajā dienas pusē |
≥ |
|
|
3.9. Pieteikto bojājumu skaits procentos no visiem citiem bojājumiem, izņemot abonentlīniju bojājumus, kas novērsti ar abonentu norunātajā dienas pusē |
≥ |
|
|
4. Nesekmīgo savienojumu koeficients8 |
4.1. Nesekmīgo savienojumu koeficients procentos vietējām un iekšzemes sarunām |
≤ |
|
4.2. Nesekmīgo savienojumu koeficients procentos starptautiskajām sarunām |
≤ |
|
|
5. Savienošanas laiks9 |
5.1. Vidējais savienošanas laiks sekundēs vietējām un iekšzemes sarunām |
≤ |
|
5.2. Savienošanas laiks sekundēs 95% no sekmīgo savienojumu skaita vietējām un iekšzemes sarunām10 |
≤ |
|
|
5.3. Vidējais savienošanas laiks sekundēs starptautiskajām sarunām |
≤ |
|
|
5.4. Savienošanas laiks sekundēs 95% no sekmīgo savienojumu skaita starptautiskajām sarunām10 |
≤ |
|
|
6. Rēķinu precizitāte procentos11 |
≥ |
|
1. Komersants nodrošina uzskaiti tikai katra pakalpojuma kvalitātes parametra standarta līmenim. Neieskaita gadījumus, kad abonents izvēlas maksāt vairāk par paaugstinātu pakalpojumu kvalitātes līmeni vai mazāk par pazeminātu pakalpojumu kvalitātes līmeni.
2. Komersants nosakot starptautiskā balss telefonijas pakalpojuma kvalitātes parametru vērtības, izvēlas vismaz trīs valstis, uz kurām iepriekšējā kalendārā gada laikā bijusi vislielākā noslodze.
1 Abonentlīniju uzskaiti attiecina uz publiskā fiksētā telefonu tīkla pieslēguma punktu (turpmāk – pieslēguma punkts) skaitu (to skaitā sapārotās, blīvētās abonentlīnijas, ISDN PRA, PABX pieslēgumi ar signalizāciju R2-CAS un citi). ISDN BRA uzskaita kā vienu abonentlīniju.
Ierīkoto abonentlīniju uzskaitē iekļauj gadījumus, ja:
1) ierīko jaunu abonentlīniju neatkarīgi no izmantojamās tehnoloģijas;
2) veic abonentlīnijas pārvietošanu;
3) pārreģistrē abonentlīniju citam abonentam;
4) abonentam ierīko papildu abonentlīnijas pieslēguma punktu, ieskaitot arī abonentlīniju pārveidošanu uz ISDN.
Ierīkoto abonentlīniju uzskaitē neiekļauj gadījumus, ja balss telefonijas pakalpojuma nodrošināšanai izmanto:
1) operatora iepriekšējas izvēles pakalpojumu;
2) operatora izvēles pakalpojumu;
3) atsaistītu piekļuvi abonentlīnijai.
2 Bojājumu uzskaiti attiecina uz pieslēguma punktu skaitu (to skaitā sapārotās, blīvētās abonentlīnijas, ISDN PRA, PABX pieslēgumi ar signalizāciju R2-CAS un citi). ISDN BRA uzskaita kā vienu abonentlīniju.
3 Bojājumu skaita uzskaiti nodrošina, ja balss telefonijas pakalpojumu sniedz, izmantojot abonentlīnijas (to skaitā atsaistītu piekļuvi abonentlīnijai).
4 Bojājumu skaita uzskaiti nodrošina, ja balss telefonijas pakalpojumu sniedz, izmantojot:
1) operatora iepriekšējas izvēles pakalpojumu;
2) operatora izvēles pakalpojumu.
5 Bojājumu novēršanas laika uzskaiti attiecina uz pieslēguma punktu skaitu (to skaitā sapārotās, blīvētās abonentlīnijas, ISDN PRA, PABX pieslēgumi ar signalizāciju R2-CAS un citi). ISDN BRA uzskaita kā vienu abonentlīniju.
6 Abonentlīniju bojājumu novēršanas laiku neuzskaita, ja balss telefonijas pakalpojuma nodrošināšanai izmanto:
1) operatora iepriekšējas izvēles pakalpojumu;
2) operatora izvēles pakalpojumu;
3) atsaistītu piekļuvi abonentlīnijai.
7 Abonentlīniju bojājumu novēršanas laiku neuzskaita, ja balss telefonijas pakalpojuma nodrošināšanai izmanto:
1) operatora iepriekšējas izvēles pakalpojumu;
2) operatora izvēles pakalpojumu;
3) atsaistītu piekļuvi abonentlīnijai.
3.1. – 3.2. punktā noteikto parametru vērtības norāda šādā formātā: SS:mm (S–stundas, m–minūtes).
8 Nesekmīgo savienojumu koeficients – parametrs, kas procentos nosaka nesekmīgo savienojuma skaita attiecību pret kopējo veikto savienojuma mēģinājumu skaitu.
Nesekmīgs savienojums:
1) savienojuma mēģinājums ar pareizi sastādītu, abonentam lietošanā piešķirtu numuru, 30 sekunžu laikā vietējam vai iekšzemes izsaukumam nekonstatējot izsaukuma kontroles signālu, aizņemtības signālu vai atbildi;
2) savienojuma mēģinājums ar pareizi sastādītu, abonentam lietošanā piešķirtu numuru, konstatējot izsaukuma kontroles signālu nepareiza savienojuma gadījumā, par ko pārliecinās, veicot atkārtotus savienojuma mēģinājumus;
3) savienojuma mēģinājums ar pareizi sastādītu, abonentam lietošanā piešķirtu numuru, konstatējot aizņemtības signālu, ja izsaukto numuru neizmanto citai sarunai, par ko pārliecinās, veicot atkārtotus savienojuma mēģinājumus;
4) savienojuma mēģinājums ar pareizi sastādītu, abonentam lietošanā piešķirtu numuru, konstatējot atbildi nepareiza savienojuma gadījumā;
5) savienojuma mēģinājums ar pareizi sastādītu, abonentam lietošanā piešķirtu numuru, konstatējot nepārtrauktu signālu;
6) savienojuma mēģinājums ar pareizi sastādītu, abonentam lietošanā piešķirtu numuru, savienojumam zūdot savienojuma laikā.
9 Vidējais savienošanas laiks – parametrs, kas sekundēs nosaka kopējo savienošanas laiku summas attiecību pret kopējo sekmīgo savienojumu skaitu.
Savienošanas laiks – parametrs, kas sekundēs nosaka laika posmu no izsaucamā numura nosūtīšanas brīža līdz brīdim, kad konstatē izsaukuma kontroles signālu, aizņemtības signālu vai atbildi.
10 Laika posms, kurā visātrāk notikuši 95% no visiem sekmīgajiem savienojumiem.
11 Rēķinu precizitāti nosaka saskaņā ar formulu:
nS
R = (1 – ——) · 100%,
nR
R – rēķinu precizitāte gadā, procentos;
nS – pamatotu sūdzību (pretenziju) skaits, ko komersants ir saņēmis par nepareiziem rēķiniem gadā;
Piezīme: Sūdzība (pretenzija) uzskatāma par pamatotu, ja to saņēmis komersants par nepareiziem rēķiniem un tā novērtēta kā pamatota.
nR – kopējais komersanta izsūtīto rēķinu skaits gadā.
* X – kalendāro dienu skaits, ko nosaka elektronisko sakaru komersants.
Sabiedrisko pakalpojumu regulēšanas komisijas padomes priekšsēdētāja V.Andrējeva
10.pielikums
Noteikumiem par kvalitātes prasībām un kvalitātes pārskatu
iesniegšanas kārtību, kas apstiprināti ar Sabiedrisko pakalpojumu
regulēšanas komisijas padomes
2007.gada 19.decembra lēmumu Nr.613
Kvalitātes pārskats par balss telefonijas pakalpojuma publiskajā mobilajā telefonu tīklā kvalitātes prasību izpildi ____.gadā
|
Elektronisko sakaru komersanta nosaukums |
___________________________ |
|
Elektronisko sakaru komersanta reģistrācijas numurs komercreģistrā |
___________________________ |
|
Pakalpojumu kvalitātes parametrs |
Pakalpojumu kvalitātes parametru vērtība |
|
1. Nesekmīgo savienojumu koeficients procentos1 |
|
|
2. Vidējais savienošanas laiks sekundēs2 |
|
|
3. Savienošanas laiks sekundēs 95% no sekmīgo savienojumu skaita3 |
|
|
4. Rēķinu precizitāte procentos4 |
1 Nesekmīgo savienojumu koeficients – parametrs, kas procentos nosaka nesekmīgo savienojumu skaita attiecību pret kopējo veikto savienojumu mēģinājumu skaitu.
Nesekmīgs savienojums:
1) savienojuma mēģinājums ar pareizi sastādītu, abonentam lietošanā piešķirtu numuru, 30 sekunžu laikā nekonstatējot izsaukuma kontroles signālu, aizņemtības signālu vai atbildi;
2) savienojuma mēģinājums ar pareizi sastādītu, abonentam lietošanā piešķirtu numuru, konstatējot izsaukuma kontroles signālu nepareiza savienojuma gadījumā, par ko pārliecinās, veicot atkārtotus savienojuma mēģinājumus;
3) savienojuma mēģinājums ar pareizi sastādītu, abonentam lietošanā piešķirtu numuru, konstatējot aizņemtības signālu, ja izsaukto līniju neizmanto citai sarunai, par ko pārliecinās, veicot atkārtotus savienojuma mēģinājumus;
4) savienojuma mēģinājums ar pareizi sastādītu, abonentam lietošanā piešķirtu numuru, konstatējot atbildi nepareiza savienojuma gadījumā;
5) savienojuma mēģinājums ar pareizi sastādītu, abonentam lietošanā piešķirtu numuru, konstatējot paziņojumu par to, ka izsauktais mobilais tālruņa aparāts izslēgts vai atrodas ārpus uztveršanas zonas, ja izsauktais mobilais tālruņa aparāts ir ieslēgts un atrodas uztveršanas zonā, par ko pārliecinās, veicot atkārtotus savienojuma mēģinājumus;
6) savienojuma mēģinājums ar pareizi sastādītu, abonentam lietošanā piešķirtu numuru, savienojumam nenotiekot;
7) savienojuma mēģinājums ar pareizi sastādītu, abonentam lietošanā piešķirtu numuru, savienojumam zūdot savienojuma laikā.
2 Vidējais savienošanas laiks – parametrs, kas sekundēs nosaka kopējo savienošanas laiku summas attiecību pret kopējo sekmīgo savienojumu skaitu.
Savienošanas laiks – parametrs, kas sekundēs nosaka laika posmu no izsaucamā numura nosūtīšanas brīža līdz brīdim, kad konstatē izsaukuma kontroles signālu, aizņemtības signālu vai atbildi.
3 Laika posms, kurā visātrāk notikuši 95% no visiem sekmīgajiem savienojumiem.
4 Rēķinu precizitāti nosaka saskaņā ar formulu:
nS
R = (1 – ——) · 100%,
nR
R – rēķinu precizitāte gadā, procentos;
nS – pamatotu sūdzību (pretenziju) skaits, ko komersants ir saņēmis par nepareiziem rēķiniem gadā;
Piezīme: Sūdzība (pretenzija) uzskatāma par pamatotu, ja to saņēmis komersants par nepareiziem rēķiniem un tā novērtēta kā pamatota.
nR – kopējais komersanta izsūtīto rēķinu skaits gadā.
Sabiedrisko pakalpojumu regulēšanas komisijas padomes priekšsēdētāja V.Andrējeva
11.pielikums
Noteikumiem par kvalitātes prasībām un kvalitātes pārskatu
iesniegšanas kārtību, kas apstiprināti ar Sabiedrisko pakalpojumu
regulēšanas komisijas padomes
2007.gada 19.decembra lēmumu Nr.613
Kvalitātes pārskats par īsziņu pakalpojuma publiskajā mobilajā telefonu tīklā kvalitātes prasību izpildi ____.gadā
|
Elektronisko sakaru komersanta nosaukums |
_______________________ |
|
Elektronisko sakaru komersanta reģistrācijas numurs komercreģistrā |
_______________________ |
|
Pakalpojumu kvalitātes parametrs |
Pakalpojumu kvalitātes parametru vērtība |
|
1. Nesekmīgi sūtīto īsziņu koeficients procentos1 |
|
|
2. Vidējais īsziņas piegādes laiks sekundēs2 |
Īsziņu pakalpojums – datu un elektronisko ziņojumu pārraides pakalpojums, kas nodrošina teksta ziņojuma, kas ietver līdz 160 rakstu zīmēm (burti un cipari), nosūtīšanu publiskajā mobilajā telefonu tīklā.
1Nesekmīgi sūtīto īsziņu koeficients – parametrs, kas procentos nosaka nesekmīgi sūtīto īsziņu skaita attiecību pret kopējo sekmīgi nosūtīto īsziņu skaitu.
Nesekmīgi sūtīta īsziņa:
1) īsziņas teksta sūtīšanas mēģinājums uz pareizi sastādītu, abonentam lietošanā piešķirtu numuru, konstatējot paziņojumu, ka īsziņu nosūtīt neizdevās;
2) īsziņas teksta sūtīšanas mēģinājums uz pareizi sastādītu, abonentam lietošanā piešķirtu numuru, adresātam 300 sekunžu laikā nesaņemot īsziņu.
2Vidējais īsziņas sūtīšanas laiks – parametrs, kas sekundēs nosaka kopējo īsziņu sūtīšanas laiku summas attiecību pret kopējo sekmīgi nosūtīto īsziņu skaitu.
Īsziņas sūtīšanas laiks – parametrs, kas sekundēs nosaka laika posmu no īsziņas teksta un numura nosūtīšanas brīža līdz brīdim, kad īsziņa piegādāta adresātam.
Sabiedrisko pakalpojumu regulēšanas komisijas padomes priekšsēdētāja V.Andrējeva
12.pielikums
Noteikumiem par kvalitātes prasībām un kvalitātes pārskatu
iesniegšanas kārtību, kas apstiprināti ar Sabiedrisko pakalpojumu
regulēšanas komisijas padomes
2007.gada 19.decembra lēmumu Nr.613
Kvalitātes pārskats par īsziņu pakalpojuma, izmantojot publisko mobilo telefonu tīklu starpsavienojumu, kvalitātes prasību izpildi ____.gadā
|
Elektronisko sakaru komersanta nosaukums |
_______________________________ |
|
Elektronisko sakaru komersanta reģistrācijas numurs komercreģistrā |
_______________________________ |
|
Pakalpojumu kvalitātes parametrs |
Pakalpojumu kvalitātes parametru vērtība |
|
1. Nesekmīgi sūtīto īsziņu koeficients procentos1 |
|
|
2. Vidējais īsziņas piegādes laiks sekundēs2 |
Pakalpojumu kvalitātes parametrus nosaka īsziņu sūtīšanas mēģinājumiem no jebkura publiskā mobilā telefonu tīkla pieslēguma punkta uz jebkuru cita publiskā mobilā telefonu tīkla pieslēguma punktu.
Īsziņu pakalpojums – datu un elektronisko ziņojumu pārraides pakalpojums, kas nodrošina teksta ziņojuma, kas ietver līdz 160 rakstu zīmēm (burti un cipari), nosūtīšanu publiskajā mobilajā telefonu tīklā.
1Nesekmīgi sūtīto īsziņu koeficients – parametrs, kas procentos nosaka nesekmīgi sūtīto īsziņu skaita attiecību pret kopējo sekmīgi nosūtīto īsziņu skaitu.
Nesekmīgi sūtīta īsziņa:
1) īsziņas teksta sūtīšanas mēģinājums uz pareizi sastādītu, abonentam lietošanā piešķirtu numuru, konstatējot paziņojumu, ka īsziņu nosūtīt neizdevās;
2) īsziņas teksta sūtīšanas mēģinājums uz pareizi sastādītu, abonentam lietošanā piešķirtu numuru, adresātam 300 sekunžu laikā nesaņemot īsziņu.
2Vidējais īsziņas sūtīšanas laiks – parametrs, kas sekundēs nosaka kopējo īsziņu sūtīšanas laiku summas attiecību pret kopējo sekmīgi nosūtīto īsziņu skaitu.
Īsziņas sūtīšanas laiks – parametrs, kas sekundēs nosaka laika posmu no īsziņas teksta un numura nosūtīšanas brīža līdz brīdim, kad īsziņa piegādāta adresātam.
Sabiedrisko pakalpojumu regulēšanas komisijas padomes priekšsēdētāja V.Andrējeva
13.pielikums
Noteikumiem par kvalitātes prasībām un kvalitātes pārskatu
iesniegšanas kārtību, kas apstiprināti ar Sabiedrisko pakalpojumu
regulēšanas komisijas padomes
2007.gada 19.decembra lēmumu Nr.613
Kvalitātes pārskats par balss telefonijas pakalpojuma, izmantojot publisko elektronisko sakaru tīklu starpsavienojumu, kvalitātes prasību izpildi ____.gadā
|
Elektronisko sakaru komersanta nosaukums |
_______________________ |
|
Elektronisko sakaru komersanta reģistrācijas numurs komercreģistrā |
_______________________ |
|
Pakalpojumu kvalitātes parametrs |
Pakalpojumu kvalitātes parametru vērtība |
|
1. Nesekmīgi sūtīto īsziņu koeficients procentos1 |
|
|
2. Vidējais īsziņas piegādes laiks sekundēs2 |
1. Starpsavienojuma kombinācijā no vai uz publisko fiksēto telefonu tīklu pakalpojumu kvalitātes parametru vērtības nosaka savienojumu mēģinājumiem no jebkura publiskā fiksētā telefonu tīkla pieslēguma punkta uz jebkuru cita publiskā fiksētā telefonu tīkla pieslēguma punktu.
2. Starpsavienojuma kombinācijā no vai uz publisko mobilo telefonu tīklu pakalpojumu kvalitātes vērtības nosaka savienojuma mēģinājumiem no jebkura publiskā mobilā telefonu tīkla pieslēguma punkta uz jebkuru cita publiskā mobilā telefonu tīkla pieslēguma punktu.
3. Starpsavienojuma kombinācijā no vai uz publisko radiokomunikāciju tīklu pakalpojumu kvalitātes vērtības nosaka savienojuma mēģinājumiem no jebkura publiskā radiokomunikāciju tīkla pieslēguma punkta uz jebkuru cita publiskā radiokomunikāciju tīkla pieslēguma punktu.
1 Nesekmīgo savienojumu koeficients – parametrs, kas procentos nosaka nesekmīgo savienojumu skaita attiecību pret kopējo veikto savienojuma mēģinājumu skaitu.
Nesekmīgs savienojums:
1) savienojuma mēģinājums ar pareizi sastādītu, abonentam lietošanā piešķirtu numuru, 30 sekunžu laikā nekonstatējot izsaukuma kontroles signālu, aizņemtības signālu vai atbildi;
2) savienojuma mēģinājums ar pareizi sastādītu, abonentam lietošanā piešķirtu numuru, konstatējot izsaukuma kontroles signālu nepareiza savienojuma gadījumā, par ko pārliecinās, veicot atkārtotus savienojuma mēģinājumus;
3) savienojuma mēģinājums ar pareizi sastādītu, abonentam lietošanā piešķirtu numuru, konstatējot aizņemtības signālu, ja izsaukto līniju neizmanto citai sarunai, par ko pārliecinās, veicot atkārtotus savienojuma mēģinājumus;
4) savienojuma mēģinājums ar pareizi sastādītu, abonentam lietošanā piešķirtu numuru, konstatējot atbildi nepareiza savienojuma gadījumā;
5) savienojuma mēģinājums no publiskā fiksētā telefonu tīkla ar pareizi sastādītu, abonentam lietošanā piešķirtu numuru, konstatējot nepārtrauktu signālu;
6) savienojuma mēģinājums uz publisko mobilo telefonu tīklu ar pareizi sastādītu, abonentam lietošanā piešķirtu numuru, konstatējot paziņojumu par to, ka izsauktais mobilais tālruņa aparāts izslēgts vai atrodas ārpus uztveršanas zonas, ja izsauktais mobilais tālruņa aparāts ir ieslēgts un atrodas uztveršanas zonā, par ko pārliecinās, veicot atkārtotus savienojuma mēģinājumus;
7) savienojuma mēģinājums no publiskā mobilā telefonu tīkla vai radiokomunikāciju tīkla ar pareizi sastādītu, abonentam lietošanā piešķirtu numuru savienojumam nenotiekot;
8) savienojuma mēģinājums ar pareizi sastādītu, abonentam lietošanā piešķirtu numuru, savienojumam zūdot savienojuma laikā.
2 Vidējais savienošanas laiks – parametrs, kas sekundēs nosaka kopējo savienošanas laiku summas attiecību pret kopējo sekmīgo savienojumu skaitu.
Savienošanas laiks – parametrs, kas sekundēs nosaka laika posmu no izsaucamā numura nosūtīšanas brīža līdz brīdim, kad konstatē izsaukuma kontroles signālu, aizņemtības signālu vai atbildi.
Sabiedrisko pakalpojumu regulēšanas komisijas padomes priekšsēdētāja V.Andrējeva
14.pielikums
Noteikumiem par kvalitātes prasībām un kvalitātes pārskatu
iesniegšanas kārtību, kas apstiprināti ar
Sabiedrisko pakalpojumu
regulēšanas komisijas padomes
2007.gada 19.decembra lēmumu Nr.613
Kvalitātes pārskats par nomāto līniju pakalpojuma kvalitātes prasību izpildi ____.gadā
|
Elektronisko sakaru komersanta nosaukums |
_______________________ |
|
Elektronisko sakaru komersanta reģistrācijas numurs komercreģistrā |
_______________________ |
|
Nomātās līnijas veids |
Vidējais ierīkošanas laiks, kalendārās dienas1 |
Vidējais bojājumu novēršanas laiks, stundas2 |
Bojājumu skaits3 |
Pakalpojuma pieejamība procentos4 |
||||
|
Visām nomātajām līnijām |
Iekšzemes nomātajām līnijām |
Starptautiskajām nomātajām līnijām Eiropas Savienības robežās |
Visām nomātajām līnijām |
Iekšzemes nomātajām līnijām |
Starptautiskajām nomātajām līnijām Eiropas Savienības robežās |
|||
|
Nomātās līnijas veids |
Vidējais ierīkošanas laiks, kalendārās dienas1 |
Vidējais bojājumu novēršanas laiks, stundas2 |
Bojājumu skaits3 |
Pakalpojuma pieejamība procentos4 |
||||
|
Visām nomātajām līnijām |
Iekšzemes nomātajām līnijām |
Starptautiskajām nomātajām līnijām Eiropas Savienības robežās |
Visām nomātajām līnijām |
Iekšzemes nomātajām līnijām |
Starptautiskajām nomātajām līnijām Eiropas Savienības robežās |
|||
|
Parastās kvalitātes balss frekvenču joslas analogā |
||||||||
|
Speciālās kvalitātes balss frekvenču joslas analogā |
||||||||
|
64 kilobiti sekundē ciparu |
||||||||
|
2048 kilobiti sekundē nestrukturēta ciparu |
||||||||
|
2048 kilobiti sekundē strukturēta ciparu |
||||||||
|
34 megabiti sekundē nestrukturēta ciparu |
||||||||
|
34 megabiti sekundē strukturēta ciparu |
||||||||
|
140 megabiti sekundē nestrukturēta ciparu |
||||||||
|
140 megabiti sekundē strukturēta ciparu |
||||||||
|
155 megabiti sekundē ciparu |
||||||||
|
Cits5 |
||||||||
1 Minimālais kalendāro dienu skaits no pieteikuma saņemšanas dienas līdz ierīkošanas dienai, lai ierīkotu 95% no pieprasīto katra veida nomāto līniju skaita.
2 Minimālais stundu skaits no bojājuma pieteikuma saņemšanas brīža līdz bojājuma novēršanas brīdim, lai novērstu 80% no pieteikto katra veida nomāto līniju bojājumu skaita.
3 Katra veida nomāto līniju bojājumu skaits uz vienu nomāto līniju.
4 Pakalpojuma pieejamību (iespēju saņemt pakalpojumu) nomātajām līnijām nosaka saskaņā ar formulu:
TNI
pNI = ———— · 100%,
tK · nNI
pNl – pakalpojumu pieejamība procentos katra veida nomātajām līnijām;
TNl – kopējais pakalpojuma pieejamības laiks stundās visām viena veida nomātajām līnijām;
tK – novērtēšanas laiks stundās;
nNl – viena veida nomāto līniju skaits.
5 Jānorāda jebkura cita veida nomātās līnijas.
Sabiedrisko pakalpojumu regulēšanas komisijas padomes priekšsēdētāja V.Andrējeva
15.pielikums
Noteikumiem par kvalitātes prasībām un kvalitātes pārskatu
iesniegšanas kārtību, kas apstiprināti ar Sabiedrisko pakalpojumu
regulēšanas komisijas padomes
2007.gada 19.decembra lēmumu Nr.613
Kvalitātes pārskats par televīzijas programmu izplatīšanas pakalpojuma publiskajā kabeļtelevīzijas tīklā kvalitātes prasību izpildi ____.gadā
|
Elektronisko sakaru komersanta nosaukums |
_______________________ |
|
Elektronisko sakaru komersanta reģistrācijas numurs komercreģistrā |
_______________________ |
|
Pakalpojumu kvalitātes parametrs |
Pakalpojumu kvalitātes parametru vērtība |
|
1. Vidējais publiskā kabeļtelevīzijas tīkla pieslēguma punkta ierīkošanas laiks, kalendārās dienas1 |
|
|
2. Vidējais bojājumu novēršanas laiks, stundas2 |
|
|
3. Bojājumu skaits3 |
|
Publiskā kabeļtelevīzijas tīkla adrese |
__________________________ |
|
Publiskā kabeļtelevīzijas tīkla identifikācijas numurs |
__________________________ |
|
Pakalpojumu kvalitātes parametrs |
Pakalpojumu kvalitātes parametru vērtība |
|
4. Attēla nesējfrekvences precizitāte, kHz* |
|
|
5. Skaņas nesējfrekvences precizitāte, kHz* |
|
|
6. Vidējais attēla nesēja līmenis, dBμV* |
|
|
7. Vidējā attēla un skaņas nesēju līmeņu attiecība, dBμV* |
|
|
8. Vidējā attiecība attēla nesējs/troksnis, dB* |
|
|
9. Vidējais vājinājums starp jebkurām divām publiskā kabeļtelevīzijas tīkla sazarotāja izejām radiofrekvenču joslā 48,5MHz – 862MHz, dB* |
|
|
10. Vidējais attēla kvalitātes subjektīvais vizuālais vērtējums4* |
Televīzijas programmu izplatīšanas pakalpojuma kvalitātes parametrus nosaka arī komersanti, kuri sniedz televīzijas programmu izplatīšanas pakalpojumu, izmantojot daudzpunktu daudzkanālu sadales sistēmas (MMDS1).
1. – 3.punktā noteikto pakalpojumu kvalitātes parametru vērtības nosaka visiem komersanta publiskajiem kabeļtelevīzijas tīkliem kopā.
4. un 5.punktā noteikto pakalpojumu kvalitātes parametru vērtības nosaka vienu reizi katram televīzijas kanālam vienā brīvi izvēlētā pieslēguma punktā katram komersanta publiskajam kabeļtelevīzijas tīklam.
6.– 10. punktā noteikto pakalpojumu kvalitātes parametru vērtības nosaka vienu reizi katram televīzijas kanālam ne mazāk kā trīs brīvi izvēlētos pieslēguma punktos katram komersanta publiskajam kabeļtelevīzijas tīklam.
1 Minimālo kalendāro dienu skaits no pieteikuma saņemšanas dienas līdz ierīkošanas dienai, lai ierīkotu 95% no pieprasīto pieslēgumu punktu skaita.
2 Minimālais stundu skaits no bojājuma pieteikuma saņemšanas brīža līdz bojājuma novēršanas brīdim, lai novērstu 80% no publiskā kabeļtelevīzijas tīkla bojājumu skaita.
Parametra vērtību norāda šādā formātā: SS:mm (S–stundas, m–minūtes).
3 Bojājumu skaits uz 100 pieslēguma punktiem.
4 Vidējais attēla kvalitātes subjektīvais vizuālais vērtējums – parametrs, kas nosaka vidējo svērto attēla kvalitātes novērtējumu no kopējā novērtējumu skaita.
Attēla kvalitāti nosaka kā kvantitatīvu vērtību, ko iegūst subjektīvi vizuāli novērtējot attēlu saskaņā ar šādu tabulu:
|
Vērtība balles |
Novērtējums |
Novērtējuma paskaidrojums |
|
5 |
Teicama kvalitāte |
Traucējumi un kropļojumi nav redzami |
|
4 |
Laba kvalitāte |
Traucējumi un kropļojumi ir redzami, bet netraucē |
|
3 |
Apmierinoša kvalitāte |
Traucējumi un kropļojumi mazliet traucē |
|
2 |
Vāja kvalitāte |
Traucējumi un kropļojumi traucē |
|
1 |
Slikta kvalitāte |
Traucējumi un kropļojumi ļoti traucē |
* Parametru vērtību attiecina uz jebkuru komersanta publiskā kabeļtelevīzijas tīklā raidīto televīzijas kanālu.
1 angl. Multipoint Multichanel Distribution System
Sabiedrisko pakalpojumu regulēšanas komisijas padomes priekšsēdētāja V.Andrējeva
16.pielikums
Noteikumiem par kvalitātes prasībām un kvalitātes pārskatu
iesniegšanas kārtību, kas apstiprināti ar
Sabiedrisko pakalpojumu
regulēšanas komisijas padomes
2007.gada 19.decembra lēmumu Nr.613
Kvalitātes pārskats par interneta piekļuves pakalpojuma publiskajā fiksētajā tīklā prasību izpildi ____.gadā
|
Elektronisko sakaru komersanta nosaukums |
_______________________________ |
|
Elektronisko sakaru komersanta reģistrācijas numurs komercreģistrā |
_______________________________ |
|
Pieslēguma ātrums atbilstoši pakalpojuma aprakstam |
Vidējais pieslēguma |
Vidējais ierīkošanas laiks kalendārās dienās2 |
Bojājumu skaits3 |
Vidējais bojājumu |
Vidējais pakešu zuduma koeficients procentos5 |
Vidējais latentums milisekundēs6 |
Vidējā trīce milisekundēs7 |
Pakalpojuma pieejamība procentos8 |
||
|
Lejupielādes ātrums kilobiti sekundē |
Augšupielādes ātrums kilobiti sekundē |
Minimālais stundu skaits no bojājuma pieteikuma saņemšanas brīža līdz bojājuma novēršanas brīdim, lai novērstu 80 % no bojājumu pieteikumu skaita |
Minimālais stundu skaits no bojājuma pieteikuma saņemšanas brīža līdz bojājuma novēršanas brīdim, lai novērstu 95 % no bojājumu pieteikumu skaita |
|||||||
1 Vidējais pieslēguma ātrums – parametrs, kas kilobitos sekundē nosaka pieslēguma ātruma vidējo aritmētisko vērtību, no kopējā mērījumu skaita.
Pieslēguma ātrums – parametrs, kas kilobitos sekundē raksturo informācijas apmaiņas ātrumu (augšupielādes/lejupielādes) datu kanālā, posmā no galalietotāja galiekārtas līdz Latvijas interneta apmaiņas punktam.
Pieslēguma ātrumu nosaka saskaņā ar formulu:
d · 8
S = ———,
t
S – pieslēguma ātrums kilobiti sekundē;
d – pakešu apjoms baitos, kas nosūtīts mērījumu veikšanas laikā;
t – pakešu sūtīšanas laiks milisekundēs.
2 Minimālo kalendāro dienu skaits no pieteikuma saņemšanas dienas līdz ierīkošanas dienai, lai ierīkotu 95% no pieprasīto pieslēguma punktu skaita.
3 Bojājumu skaits uz 100 pieslēguma punktiem.
4 Vidējo bojājumu novēršanas laiku norāda šādā formātā: SS:mm (S–stundas, m–minūtes).
5 Vidējais pakešu zuduma koeficients – parametrs, kas procentos nosaka pakešu zuduma koeficienta vidējo aritmētisko vērtību, katram pakalpojuma veidam, atbilstoši interneta piekļuves pakalpojuma aprakstam, no kopējā mērījumu skaita.
Pakešu zuduma koeficients1 – parametrs, kas procentos nosaka zaudēto pakešu attiecību pret kopējo nosūtīto pakešu skaitu.
Pakešu zuduma koeficientu nosaka saskaņā ar formulu:
D
Z = —— · 100,
M
Z – pakešu zuduma koeficients procentos;
M– kopējais nosūtīto pakešu skaits mērījumu laikā;
D – zaudēto pakešu skaits mērījumu laikā.
6 Vidējais latentums – parametrs, kas milisekundēs nosaka latentuma vidējo aritmētisko vērtību, katram pakalpojuma veidam, atbilstoši interneta piekļuves pakalpojuma aprakstam, no kopējā mērījumu skaita.
Latentums2 – parametrs, kas milisekundēs raksturo laika aizturi starp pakešu sūtīšanu un saņemšanu posmā no galalietotāja galiekārtas līdz Latvijas interneta apmaiņas punktam abos virzienos.
Latentumu nosaka saskaņā ar formulu:
Σ (t1 – t2)
L = ————— ,
N
L – latentums milisekundēs;
t1 – paketes saņemšanas laiks milisekundēs;
t2 – paketes nosūtīšanas laiks milisekundēs;
N – kopējais pakešu skaits.
7 Vidējā trīce – parametrs, kas milisekundēs nosaka trīces vidējo aritmētisko vērtību, katram pakalpojuma veidam, atbilstoši interneta piekļuves pakalpojuma aprakstam, no kopējā mērījumu skaita.
Trīce3 – parametrs, kas milisekundēs nosaka laika aiztures nevienmērību starp pakešu sūtīšanu un saņemšanu, kas rodas tīkla ierobežotās caurlaides spējas dēļ, piemēram, pārslodze, maršruta maiņa, pakešu zudumi un citi.
Trīci aprēķina saskaņā ar formulu:
J – trīce milisekundēs;
__
L – aritmētiskais vidējais latentums milisekundēs;
n – latentuma mērījumu ciklu skaits;
Li – i-tā mērījumu cikla latentums milisekundēs.
8 Pakalpojuma pieejamību (iespēju saņemt pakalpojumu) nosaka saskaņā ar formulu:
T
p = ——— · 100%,
tk · n
p – pakalpojumu pieejamība procentos;
T – kopējais pakalpojuma pieejamības laiks stundās visiem viena pakalpojuma veida pieslēguma punktiem;
tk – mērījumu laiks stundās;
n – kopējais viena pakalpojuma veida pieslēgumu punktu skaits.
1 angl. Packet Loss Ratio
2 angl. Latency
3 angl. Jitter
Sabiedrisko pakalpojumu regulēšanas komisijas padomes priekšsēdētāja V.Andrējeva
17.pielikums
Noteikumiem par kvalitātes prasībām un kvalitātes pārskatu
iesniegšanas kārtību, kas apstiprināti ar Sabiedrisko pakalpojumu
regulēšanas komisijas padomes
2007.gada 19.decembra lēmumu Nr.613
Kvalitātes pārskats par balss telefonijas pakalpojuma publiskajā fiksētajā telefonu tīklā kvalitātes prasību izpildi 2007.gadā
|
Elektronisko sakaru komersanta nosaukums |
_______________________ |
|
Elektronisko sakaru komersanta reģistrācijas numurs komercreģistrā |
_______________________ |
|
Pakalpojumu kvalitātes parametri |
Pakalpojumu kvalitātes parametru vērtība |
|
|
1. Vidējais abonentlīniju ierīkošanas laiks balss telefonijas pakalpojuma nodrošināšanai1 |
1.1. Minimālo kalendāro dienu skaits no pieteikuma saņemšanas dienas līdz ierīkošanas dienai, lai ierīkotu 95% pieprasīto abonentlīniju |
|
|
1.2. Minimālo kalendāro dienu skaits no pieteikuma saņemšanas dienas līdz ierīkošanas dienai, lai ierīkotu 99% pieprasīto abonentlīniju |
||
|
1.3.Abonentlīniju skaits procentos no visām ierīkotajām abonentlīnijām, kas ierīkotas X* kalendāro dienu laikā |
||
|
1.4. Abonentlīniju skaits procentos no visām ierīkotajām abonentlīnijām, kas ierīkotas ar klientu norunātajā dienā |
||
|
1.5. Abonentlīniju skaits procentos no visām ierīkotajām abonentlīnijām, kas ierīkotas ar klientu norunātajā dienas pusē |
||
|
2. Bojājumu skaits2 |
2.1. Pieteikto bojājumu skaits uz vienu abonentlīniju3 |
|
|
2.2. Pieteikto bojājumu skaits elektronisko sakaru tīklā uz vienu abonentu4 |
||
|
3. Vidējais bojājumu novēršanas laiks5 |
3.1. Minimālais stundu skaits no bojājuma pieteikuma saņemšanas brīža līdz bojājuma novēršanas brīdim, lai novērstu 80 % abonentlīniju bojājumu6 |
|
|
3.2. Minimālais stundu skaits no bojājuma pieteikuma saņemšanas brīža līdz bojājuma novēršanas brīdim, lai novērstu 80% visu citu bojājumu, izņemot abonentlīniju bojājumus |
||
|
3.3. Minimālais stundu skaits no bojājuma pieteikuma saņemšanas brīža līdz bojājuma novēršanas brīdim, lai novērstu 95% abonentlīniju bojājumu7 |
||
|
3.4. Minimālais stundu skaits no bojājuma pieteikuma saņemšanas brīža līdz bojājuma novēršanas brīdim, lai novērstu 95% visu citu bojājumu, izņemot abonentlīniju bojājumus |
||
|
3.5. Bojājumu skaits procentos no pieteiktajiem bojājumiem, kas novērsti X* kalendāro dienu laikā |
||
|
3.6. Pieteikto bojājumu skaits procentos no abonentlīniju bojājumiem, kas novērsti ar abonentu norunātajā dienā |
||
|
3.7. Pieteikto bojājumu skaits procentos no visiem citiem bojājumiem, izņemot abonentlīniju bojājumus, kas novērsti ar abonentu norunātajā dienā |
||
|
3.8. Pieteikto bojājumu skaits procentos no abonentlīniju bojājumiem, kas novērsti ar abonentu norunātajā dienas pusē |
||
|
3.9. Pieteikto bojājumu skaits procentos no visiem citiem bojājumiem, izņemot abonentlīniju bojājumus, kas novērsti ar abonentu norunātajā dienas pusē |
||
|
4. Nesekmīgo savienojumu koeficients8 |
4.1. Nesekmīgo savienojumu koeficients procentos vietējām sarunām |
|
|
4.2. Nesekmīgo savienojumu koeficients procentos iekšzemes sarunām |
||
|
4.3. Nesekmīgais savienojumu koeficients procentos starptautiskajām sarunām |
||
|
5. Savienošanas laiks9 |
5.1. Vidējais savienošanas laiks sekundēs vietējām sarunām |
|
|
5.2. Savienošanas laiks sekundēs 95% no sekmīgo savienojumu skaita vietējām sarunām10 |
||
|
5.3. Vidējais savienošanas laiks sekundēs iekšzemes sarunām |
||
|
5.4. Savienošanas laiks sekundēs 95% no sekmīgo savienojumu skaita iekšzemes sarunām10 |
||
|
5.5. Vidējais savienošanas laiks sekundēs starptautiskajām sarunām |
||
|
5.6. Savienošanas laiks sekundēs 95% no sekmīgo savienojumu skaita starptautiskajām sarunām10 |
||
|
6. Rēķinu precizitāte procentos11 |
||
1. Komersants nodrošina uzskaiti tikai katra pakalpojuma kvalitātes parametra standarta līmenim. Neieskaita gadījumus, kad abonents izvēlas maksāt vairāk par paaugstinātu pakalpojumu kvalitātes līmeni vai mazāk par pazeminātu pakalpojumu kvalitātes līmeni.
2. Komersants nosakot starptautiskā balss telefonijas pakalpojuma kvalitātes parametru vērtības, izvēlas vismaz trīs valstis, uz kurām iepriekšējā kalendārā gada laikā bijusi vislielākā noslodze.
1Abonentlīniju uzskaiti attiecina uz publiskā fiksētā telefonu tīkla pieslēguma punktu (turpmāk – pieslēguma punkts) skaitu (to skaitā sapārotās, blīvētās abonentlīnijas, ISDN PRA, PABX pieslēgumi ar signalizāciju R2-CAS un citi). ISDN BRA uzskaita kā vienu abonentlīniju.
Ierīkoto abonentlīniju uzskaitē iekļauj gadījumus, ja:
1) ierīko jaunu abonentlīniju neatkarīgi no izmantojamās tehnoloģijas;
2) veic abonentlīnijas pārvietošanu;
3) pārreģistrē abonentlīniju citam abonentam;
4) abonentam ierīko papildu abonentlīnijas pieslēguma punktu, ieskaitot arī abonentlīniju pārveidošanu uz ISDN.
Ierīkoto abonentlīniju uzskaitē neiekļauj gadījumus, ja balss telefonijas pakalpojuma nodrošināšanai izmanto:
1) operatora iepriekšējas izvēles pakalpojumu;
2) operatora izvēles pakalpojumu;
3) atsaistītu piekļuvi abonentlīnijai.
2 Bojājumu uzskaiti attiecina uz pieslēguma punktu skaitu (to skaitā sapārotās, blīvētās abonentlīnijas, ISDN PRA, PABX pieslēgumi ar signalizāciju R2-CAS un citi). ISDN BRA uzskaita kā vienu abonentlīniju.
3 Bojājumu skaita uzskaiti nodrošina, ja balss telefonijas pakalpojumu sniedz, izmantojot abonentlīnijas (to skaitā atsaistītu piekļuvi abonentlīnijai).
4 Bojājumu skaita uzskaiti nodrošina, ja balss telefonijas pakalpojumu sniedz, izmantojot:
1) operatora iepriekšējas izvēles pakalpojumu;
2) operatora izvēles pakalpojumu.
5 Bojājumu novēršanas laika uzskaiti attiecina uz pieslēguma punktu skaitu (to skaitā sapārotās, blīvētās abonentlīnijas, ISDN PRA, PABX pieslēgumi ar signalizāciju R2-CAS un citi). ISDN BRA uzskaita kā vienu abonentlīniju.
6 Abonentlīniju bojājumu novēršanas laiku neuzskaita, ja balss telefonijas pakalpojuma nodrošināšanai izmanto:
1) operatora iepriekšējas izvēles pakalpojumu;
2) operatora izvēles pakalpojumu;
3) atsaistītu piekļuvi abonentlīnijai.
7 Abonentlīniju bojājumu novēršanas laiku neuzskaita, ja balss telefonijas pakalpojuma nodrošināšanai izmanto:
1) operatora iepriekšējas izvēles pakalpojumu;
2) operatora izvēles pakalpojumu;
3) atsaistītu piekļuvi abonentlīnijai.
3.1. – 3.2. punktā noteikto parametru vērtības norāda šādā formātā: SS:mm (S–stundas, m–minūtes).
8 Nesekmīgo savienojumu koeficients – parametrs, kas procentos nosaka nesekmīgo savienojuma skaita attiecību pret kopējo veikto savienojuma mēģinājumu skaitu.
Nesekmīgs savienojums:
1) savienojuma mēģinājums ar pareizi sastādītu, abonentam lietošanā piešķirtu numuru, 30 sekunžu laikā vietējam vai iekšzemes izsaukumam nekonstatējot izsaukuma kontroles signālu, aizņemtības signālu vai atbildi;
2) savienojuma mēģinājums ar pareizi sastādītu, abonentam lietošanā piešķirtu numuru, konstatējot izsaukuma kontroles signālu nepareiza savienojuma gadījumā, par ko pārliecinās, veicot atkārtotus savienojuma mēģinājumus;
3) savienojuma mēģinājums ar pareizi sastādītu, abonentam lietošanā piešķirtu numuru, konstatējot aizņemtības signālu, ja izsaukto numuru neizmanto citai sarunai, par ko pārliecinās, veicot atkārtotus savienojuma mēģinājumus;
4) savienojuma mēģinājums ar pareizi sastādītu, abonentam lietošanā piešķirtu numuru, konstatējot atbildi nepareiza savienojuma gadījumā;
5) savienojuma mēģinājums ar pareizi sastādītu, abonentam lietošanā piešķirtu numuru, konstatējot nepārtrauktu signālu;
6) savienojuma mēģinājums ar pareizi sastādītu, abonentam lietošanā piešķirtu numuru, savienojumam zūdot savienojuma laikā.
9 Vidējais savienošanas laiks – parametrs, kas sekundēs nosaka kopējo savienošanas laiku summas attiecību pret kopējo sekmīgo savienojumu skaitu.
Savienošanas laiks – parametrs, kas sekundēs nosaka laika posmu no izsaucamā numura nosūtīšanas brīža līdz brīdim, kad konstatē izsaukuma kontroles signālu, aizņemtības signālu vai atbildi.
10 Laika posms, kurā visātrāk notikuši 95% no visiem sekmīgajiem savienojumiem.
11 Rēķinu precizitāti nosaka saskaņā ar formulu:
nS
R = (1 –
——) · 100%,
nR
R – rēķinu precizitāte gadā, procentos;
nS – pamatotu sūdzību (pretenziju) skaits, ko komersants ir saņēmis par nepareiziem rēķiniem gadā;
Piezīme: Sūdzība (pretenzija) uzskatāma par pamatotu, ja to saņēmis komersants par nepareiziem rēķiniem un tā novērtēta kā pamatota.
nR – kopējais komersanta izsūtīto rēķinu skaits gadā.
*X – kalendāro dienu skaits, ko nosaka elektronisko sakaru komersants.
Sabiedrisko pakalpojumu regulēšanas komisijas padomes priekšsēdētāja V.Andrējeva