
Sabiedrisko pakalpojumu regulēšanas komisijas padomes lēmums Nr.555
Rīgā 2007.gada 23.novembrī (prot. Nr.45, 7.p.)
Par dabasgāzes diferencēto tirdzniecības tarifu un mazuta faktisko kotāciju
Sabiedrisko pakalpojumu regulēšanas komisijas (turpmāk – Komisija) uzdevums ir uzraudzīt, lai sabiedrisko pakalpojumu sniegšanā valsts regulējamās nozarēs tiktu ievērots likums “Par sabiedrisko pakalpojumu regulatoriem”, kā arī attiecīgo valsts regulējamo nozaru speciālie normatīvie akti (likuma “Par sabiedrisko pakalpojumu regulatoriem” 7.panta pirmā daļa). Administratīvā procesa likuma 57.pants paredz, ka iestāde, kurai lieta ir piekritīga, pati pēc savas iniciatīvas ierosina administratīvo lietu, ja tai kļūst zināmi fakti, uz kuriem pamatojoties saskaņā ar tiesību normām ir jāizdod vai var tikt izdots attiecīgs administratīvais akts, kā arī tad, ja iestādei ir pamats uzskatīt, ka šādi fakti varētu būt. Tādējādi Komisijai ir tiesības ierosināt administratīvo lietu, ja tai, analizējot dabasgāzes apgādes nozari un ar akciju sabiedrības “Latvijas Gāze”, vienotais reģistrācijas numurs: 40003000642, juridiskā adrese: Aristida Briāna iela 6, Rīga, LV–1001, (turpmāk – AS “Latvijas Gāze”) darbību saistītās ziņas, ir kļuvuši zināmi fakti, uz kuru pamata saskaņā ar tiesību normām jāizdod vai var tikt izdots attiecīgs administratīvais akts.
Ņemot vērā Komisijas rīcībā esošo informāciju, Komisija konstatē:
1. Likuma “Par sabiedrisko pakalpojumu regulatoriem” mērķis ir nodrošināt iespēju saņemt nepārtrauktus, drošus un kvalitatīvus sabiedriskos pakalpojumus, kuru tarifi (cenas) atbilst ekonomiski pamatotām izmaksām (1.pants). Tarifi nosakāmi tādā apmērā, lai lietotāju izdarītie tarifu maksājumi segtu sabiedrisko pakalpojumu izmaksas un nodrošinātu sabiedrisko pakalpojumu rentabilitāti atbilstoši licences nosacījumiem tās termiņā, ja nozares speciālie likumi neparedz citus tarifu noteikšanas principus. Ja mainās rentabilitāti ietekmējošie faktori, regulators var ierosināt tarifu pārskatīšanu (20.pants).
2. Komisija 2005.gada 30.novembrī ar lēmumu Nr.287 ir apstiprinājusi Dabasgāzes tirdzniecības tarifu aprēķināšanas metodiku (turpmāk – Metodika). Metodika paredz, ka:
2.1. nosakot bāzes tarifu, regulators veic peļņas un izmaksu analīzi un novērtēšanu (9.punkts);
2.2. saskaņā ar Metodikas 6.nodaļas “Tirdzniecības gala tarifu noteikšana” vidējo dabasgāzes iepirkuma cenu aprēķina pēc formulas C vid d g iep = Iiept / Qiep , kur
Cvid d g iep – vidējā prognozējamā dabasgāzes iepirkuma cena [Ls/tūkst.n.m3];
Iiep t – dabasgāzes kopējas iepirkšanas izmaksas n gadā [Ls];
Iiep t = ( Clīg.t x qfakt t /qnorm )xQiep x Lt + Iapm t
Clīg t – līgumā noteiktā dabasgāzes iepirkšanas cenas prognoze n gadā [USD/tūkst.n.m3];
qfakt t – prognozētā dabasgāzes faktiskā zemākā siltumspēja n gadā [kcal/n.m3];
qnorm – iepirkšanas līgumā noteiktā dabasgāzes normatīvā zemākā siltumspēja [kcal/n.m3];
Lt – prognozētais Latvijas Bankas viena Amerikas Savienoto Valstu dolāra kurss n gadā;
Iapm t – dabasgāzes iepirkšanas priekšapmaksas papildu izmaksas (kreditēšana) [Ls].
3. 2007.gada 28.martā Komisija pieņēma lēmumu Nr.83 “Par AS “Latvijas Gāze” dabasgāzes apgādes tarifiem”, ar kuru apstiprināja dabasgāzes diferencētos tirdzniecības gala tarifus lietotājiem atkarībā no dabasgāzes patēriņa apjoma gadā, mazuta kotācijas grupām biržā (FOB ARA) un pie siltumspējas 7900 kilokalorijas uz normālu dabasgāzes kubikmetru (lēmuma lemjošās daļas 7.punkts).
4. Metodika nosaka, ka, apstiprinot diferencētos gala tarifus, Komisija nosaka, kā piemērot mazuta faktisko vidējo kotāciju pārskata periodā (66.1 punkts).
5. Administratīvā procesa likuma 65.panta trešā daļa paredz, ja piemērojamā tiesību normā noteikts, ka administratīvais akts izdodams, bet nav noteikts tā konkrētais saturs (satura izvēles administratīvais akts), iestāde izdod šo aktu, ievērojot piemērojamā tiesību normā noteiktos ietvarus, un šajos ietvaros, pamatodamās uz lietderības apsvērumiem, nosaka administratīvā akta saturu.
6. Ņemot vērā Metodikas 66.1punktu, Komisija 2007.gada 28.marta lēmuma Nr.83 “Par AS “Latvijas Gāze” dabasgāzes apgādes tarifiem” lemjošās daļas 11.punktā uzdeva AS “Latvijas Gāze” savlaicīgi informēt lietotājus par mazuta faktisko sešu mēnešu vidējo kotāciju un tai atbilstošajiem tarifiem norēķinos par dabasgāzi:
1) lietotājus ar dabasgāzes gada patēriņu līdz 500 n.m3 un no 500 līdz 25 000 n.m3 – 2007.gadā līdz 10.maijam un 10.jūnijam, un turpmāk – reizi pusgadā attiecīgi līdz pusgada pēdējā mēneša 10.datumam;
2) pārējos lietotājus – reizi mēnesī līdz mēneša 10.datumam par iepriekšējo sešu mēnešu mazuta faktisko vidējo kotāciju esošajam mēnesim un prognozēto sešu mēnešu vidējo kotāciju nākošajam mēnesim.
7. Laikrakstā “Latvijas Vēstnesis” publicētās ziņas liecina, ka lietotājiem ar dabasgāzes gada patēriņu no 25 tūkst. n.m3 līdz 100 000 tūkst. n.m3 un vairāk šā gada:
1) maijā dabasgāzes tarifs tika piemērots pie mazuta kotācijas biržā (FOB ARA) līdz 260 USD/t (“Latvijas Vēstnesis” Nr.73, 2007.gada 8.maijs);
2) jūnijā dabasgāzes tarifs tika piemērots pie mazuta kotācijas biržā (FOB ARA) līdz 260 USD/t (“Latvijas Vēstnesis” Nr.91, 2007.gada 7.jūnijs);
3) jūlijā dabasgāzes tarifs tika piemērots pie mazuta kotācijas biržā (FOB ARA) līdz 280 USD/t (“Latvijas Vēstnesis” Nr.108, 2007.gada 6.jūlijs);
4) augustā dabasgāzes tarifs tika piemērots pie mazuta kotācijas biržā (FOB ARA) līdz 290 USD/t (“Latvijas Vēstnesis” Nr.126, 2007.gada 7.augusts);
5) septembrī dabasgāzes tarifs tika piemērots pie mazuta kotācijas biržā (FOB ARA) līdz 320 USD/t (“Latvijas Vēstnesis” Nr.145, 2007.gada 7.septembris);
6) oktobrī dabasgāzes tarifs tika piemērots pie mazuta kotācijas biržā (FOB ARA) līdz 330 USD/t (“Latvijas Vēstnesis” Nr.161, 2007.gada 5.oktobris);
7) novembrī dabasgāzes tarifs tika piemērots pie mazuta kotācijas biržā (FOB ARA) līdz 360 USD/t (“Latvijas Vēstnesis” Nr.180, 2007.gada 8.novembris).
8. Analizējot dabasgāzes apgādes nozari, Komisija no AS “Latvijas Gāze” ir ieguvusi ziņas (2007.gada 23.oktobra vēstule Nr.01-7-3/3019, saņemta Komisijā 2007.gada 25.oktobrī), ka šā gada 3.ceturkšņa beigās Inčukalna pazemes gāzes krātuvē AS “Latvijas Gāze” piederošais dabasgāzes apjoms bija ****1 mlrd.m3, kas aptuveni atbilst dabasgāzes patēriņa apjomam no oktobra līdz aprīlim (salīdzinājumam – patēriņa apjoms no 2006.gada oktobra līdz 2007.gada aprīlim bija **** mlrd.m3, AS “Latvijas Gāze” īpašumā esošie dabasgāzes krājumi 2006.gada 3.ceturkšņa beigās – **** milj.m3).
9. AS “Latvijas Gāze” iesniegtās atskaites par iepirkuma apjomiem un izlietotajiem līdzekļiem (2007.gada 24.oktobra vēstule Nr.01-7-3/3042, saņemta Komisijā 2007.gada 29.oktobrī) liecina, ka AS “Latvijas Gāze” ziemas patēriņa nodrošināšanai nepieciešamos dabasgāzes apjomus ir iepirkusi pie vidējās sešu mēnešu mazuta cenas no 260 līdz 320 USD/t.
10. Administratīvā procesa likuma 85.panta otrās daļas 1.punkts paredz, ka adresātam labvēlīgu tiesisku administratīvo aktu var atcelt, ja tiesību norma pieļauj administratīvā akta atcelšanu un tā šajā administratīvajā aktā ir norādīta.
11. Komisijas rīcībā ir informācija, kuru sniedza lielāko dabasgāzes lietotāju pārstāvji: akciju sabiedrība “Latvenergo”, vienotais reģistrācijas numurs: 40003032949, juridiskā adrese: Pulkveža Brieža iela 12, Rīga, LV–1230, norādīja, ka komersantam jau novembrī un decembrī radīsies **** miljons lati zaudējumi, kuru iemesls ir piemērotā mazuta faktiskā vidējā kotācija (2007.gada 21.oktobra vēstule Nr.01VL00-11/5689). Arī akciju sabiedrība “Rīgas siltums”, vienotais reģistrācijas numurs: 40003286750, juridiskā adrese: Cēsu iela 3a, Rīga, LV–1012, 2007.gada 23.oktobra Komisijas padomes sēdē norādīja, ka komersantam radīsies **** miljons lati zaudējumi, kuru iemesls ir piemērotā mazuta faktiskā vidējā kotācija.
12. A/S “Latvijas Gāze” pārstāvji Komisijas 2007.gada 21.novembra un 23.novembra padomes sēdē izteica šaubas par to, ka var atcelt daļu no 2007.gada 28.marta lēmuma Nr.83 “Par AS “Latvijas Gāze” dabasgāzes apgādes tarifiem”, jo ir iespējams atcelt tikai visu administratīvo aktu kopumā. Attiecībā uz jaunas kārtības noteikšanu, kā piemērot mazuta faktisko vidējo kotāciju pārskata periodā, A/S “Latvijas Gāze” pārstāvji norādīja, ka jāņem vērā dabasgāzes iesūknēšanas tehnoloģiskais process, t.i., dabasgāzes iesūknēšana notiek no aprīļa līdz oktobrim un saistības ar atklāto akciju sabiedrību “Gazprom”.
Ņemot vērā Komisijas rīcībā esošo informāciju, Komisija secina:
1. Komisijas rīcībā esošā informācija un no AS “Latvijas Gāze” saņemtās ziņas (2007.gada 23.oktobra vēstule Nr.01-7-3/3019, saņemta Komisijā 2007.gada 25.oktobrī, un 2007.gada 24.oktobra vēstule Nr.01-7-3/3042, saņemta Komisijā 2007.gada 29.oktobrī) ir pietiekamas un dod pamatu, lai Komisija pati pēc savas iniciatīvas ierosinātu administratīvo lietu saskaņā ar Administratīvā procesa likuma 57.pantu.
2. Komisijas ar 2007.gada 28.marta lēmumu Nr.83 “Par AS “Latvijas Gāze” dabasgāzes apgādes tarifiem” apstiprinātie tarifi aprēķināti tādā apmērā, lai dabasgāzes lietotāju izdarītie tarifu maksājumi segtu AS “Latvijas Gāze” izmaksas un nodrošinātu sabiedrisko pakalpojumu rentabilitāti, kā to paredz likuma “Par sabiedrisko pakalpojumu regulatoriem” 20.pants, tomēr situācija kopš pieņemtā lēmuma ir būtiski mainījusies:
2.1. Metodika un ar Komisijas 2007.gada 28.marta lēmumu Nr.83 “Par AS “Latvijas Gāze” dabasgāzes apgādes tarifiem” noteiktie mazuta kotācijas pielietošanas principi (lēmuma lemjošās daļas 11.punkts) balstījās uz vēsturisko praksi – dabasgāze tiek iepirkta visas apkures sezonas gaitā par mazuta kotācijai atbilstošu cenu un tiek pārnesta uz gala tarifiem lietotājiem. 2007.gadā šī prakse ir mainījusies un praktiski visa apkures sezonai nepieciešamā dabasgāze ir iepirkta iesūknēšanas sezonas laikā no aprīļa līdz oktobrim pie salīdzinoši zemas 6 mēnešu vidējās mazuta kotācijas biržā (FOB ARA). Tādējādi iespējamie papildus iepērkamie dabasgāzes apjomi apkures sezonas nodrošināšanai 2008.gadā varētu būt nelieli un, pat pie pašreizējās mazuta kotācijas biržā (FOB ARA), to momentcenas (~480 USD/t) maz ietekmēs krājumu vidējo cenu;
2.2. sakarā ar zemo ASV dolāra kursu, strauji kāpjošajām mazuta cenām pasaules tirgū, par ko liecina vidējā mazuta tirgus cena Amsterdamas, Roterdamas un Antverpenes reģiona ostās (publicē informācijas aģentūra “Platt’s”) un atbilstoši Komisijas 2007.gada 28.marta lēmuma Nr.83 “Par AS “Latvijas Gāze” dabasgāzes apgādes tarifiem” 11.punktā noteiktajai mazuta kotācijas pielietošanas kārtībai, papildu ieņēmumi no dabasgāzes pārdošanas pēc augstākas mazuta kotācijas nekā iepirkuma brīdī 2007.gadā pārsniedza dabasgāzes iepirkšanas izmaksu segšanai nepieciešamos līdzekļus.
3. Saskaņā ar Administratīvā procesa likuma 65.panta trešo daļu, ja piemērojamā tiesību normā noteikts, ka administratīvais akts izdodams, bet nav noteikts tā konkrētais saturs (satura izvēles administratīvais akts), iestāde izdod šo aktu, ievērojot piemērojamā tiesību normā noteiktos ietvarus, un šajos ietvaros, pamatodamās uz lietderības apsvērumiem, nosaka administratīvā akta saturu. No minētā iziet, ka, ievērojot Metodikas 66.1 punktā noteiktos ietvarus un pamatodamās uz lietderības apsvērumiem, Komisija var noteikt administratīvā akta saturu daļā, kas attiecas uz veidu, kā piemērot mazuta faktisko vidējo kotāciju pārskata periodā. Komisija vērtē administratīvā akta lietderību, analizējot AS “Latvijas Gāze” tiesību aizskārumu un sabiedrības interešu ieguvumu. Likuma “Par sabiedrisko pakalpojumu regulatoriem” 9.panta pirmās daļas 1.punkts nosaka, ka Komisijas uzdevums ir “aizstāvēt lietotāju intereses un veicināt sabiedrisko pakalpojumu sniedzēja attīstību”. Komisija ir analizējusi dabasgāzes lietotāju sniegtās ziņas, piem., lielāko dabasgāzes lietotāju pārstāvji – akciju sabiedrība “Latvenergo” un akciju sabiedrība “Rīgas siltums” – ir snieguši informāciju par zaudējumiem, kuru iemesls ir piemērotā mazuta faktiskā vidējā kotācija. Komisija uzskata par būtisku lietotāju interešu aizstāvību, ierobežojot nesamērīgu ieņēmumu pieaugumu, kas pārsniedz ekonomiski pamatotas izmaksas.
4. Līdzšinējā mazuta faktiskās vidējās kotācijas piemērošana pārskata periodā (Metodikas 66.1 punkts) ir noteikta Komisijas 2007.gada 28.marta lēmuma Nr.83 “Par AS “Latvijas Gāze” dabasgāzes apgādes tarifiem” lemjošās daļas 11.punktā, tomēr šī kārtība pēc izmaiņām energoresursu tirgū neatbilst ne dabasgāzes apgādes regulēšanas uzdevumam – iespējai saņemt nepārtrauktus, drošus un kvalitatīvus sabiedriskos pakalpojumus, kuru tarifi (cenas) atbilst ekonomiski pamatotām izmaksām (likuma “Par sabiedrisko pakalpojumu regulatoriem” 1.pants) un tam, ka tarifi nosakāmi tādā apmērā, lai lietotāju izdarītie tarifu maksājumi segtu sabiedrisko pakalpojumu izmaksas un nodrošinātu sabiedrisko pakalpojumu rentabilitāti atbilstoši licences nosacījumiem tās termiņā, ja nozares speciālie likumi neparedz citus tarifu noteikšanas principus (20.pants).
5. Administratīvā procesa likums nosaka, ka adresātam labvēlīgu tiesisku administratīvo aktu var atcelt, ja tiesību norma pieļauj administratīvā akta atcelšanu un tā šajā administratīvajā aktā ir norādīta (85.panta otrās daļas 1.punkts). Likums “Par sabiedrisko pakalpojumu regulatoriem” paredz Komisijas tiesības ierosināt tarifu pārskatīšanu, ja mainās rentabilitāti ietekmējošie faktori (20.pants). Arī Komisijas 2007.gada 28.marta lēmumā Nr.83 “Par AS “Latvijas Gāze” dabasgāzes apgādes tarifiem” ir norādīts – ja mainās rentabilitāti ietekmējošie faktori, Komisija var ierosināt tarifu pārskatīšanu un atcelt šo lēmumu. Izvērtējot administratīvā akta lietderību un samērīgumu, ir nepieciešams atcelt Komisijas 2007.gada 28.marta lēmumu Nr.83 “Par AS “Latvijas Gāze” dabasgāzes apgādes tarifiem” daļā, ar kuru ir noteikts veids, kā piemērot mazuta faktisko vidējo kotāciju pārskata periodā (lemjošās daļas 11.punkts) un noteikt jaunu kārtību.
Saskaņā ar 2005.gada 30.novembra Komisijas lēmumu Nr.287 apstiprinātās Dabasgāzes tirdzniecības tarifu aprēķināšanas metodikas 66.1 un pamatojoties uz likuma “Par sabiedrisko pakalpojumu regulatoriem” 1., 7.panta pirmo daļu, 9.panta pirmās daļas 1. un 3.punktu, otro daļu, 20.pantu un 21.panta septīto daļu, Administratīvā procesa likuma 13.pantu, 57.pantu un 85.panta otrās daļas 1.punktu,
padome nolemj:
1. Atcelt Komisijas 2007.gada 28.marta lēmuma Nr.83 “Par AS “Latvijas Gāze” dabasgāzes apgādes tarifiem (publicēts 2007.gada 30.marta laikrakstā “Latvijas Vēstnesis” 54(3630)) lemjošās daļas 11.punktu.
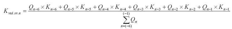
2. Noteikt, ka:
AS “Latvijas Gāze” faktisko mazuta vidējo svērto kotāciju kārtējam mēnesim nosaka saskaņā ar šādu formulu:
,
kur
Kvid.sv.n – n mēnesī piemērojamā iepriekšējo sešu kalendāro mēnešu vidējā svērtā mazuta kotācija, USD/t;
Qn-6...n-1 – faktiskais dabasgāzes iepirkuma apjoms n-6 līdz n-1 mēnesī, tūkst.m3;
Kn-6...n-1 – faktiskā sešu mēnešu vidējā mazuta kotācija n-6 līdz n-1 mēnesī, USD/t.
un atbilstoši aprēķinātajai kotācijai piemēro Komisijas 2007.gada 28.marta lēmuma Nr.83 “Par AS “Latvijas Gāze” dabasgāzes apgādes tarifiem (publicēts 2007.gada 30.marta laikrakstā “Latvijas Vēstnesis” 54(3630)) 7.punktā noteiktos tarifus. AS “Latvijas Gāze” savlaicīgi informē lietotājus par piemērojamo mazuta kotāciju un tai atbilstošajiem tarifiem norēķinos par dabasgāzi:
1) lietotājus ar dabasgāzes gada patēriņu līdz 500 n.m3 un no 500 līdz 25 000 n.m3 – reizi pusgadā attiecīgi līdz pusgada pēdējā mēneša 10.datumam;
2) pārējos lietotājus – reizi mēnesī līdz mēneša 10.datumam par piemērojamo mazuta vidējo kotāciju esošajam mēnesim un prognozēto vidējo kotāciju nākošajam mēnesim.
3. Noteikt, ka šī lēmuma 1.un 2.punkts stājas spēkā no 2008.gada 1.janvāra.
Lēmums stājas spēkā ar tā pieņemšanas brīdi.
Šo lēmumu var pārsūdzēt Administratīvajā rajona tiesā viena mēneša laikā no dienas, kad ieinteresētā persona uzzina vai tai vajadzēja uzzināt par pieņemto lēmumu.
1 **** – Ierobežotas pieejamības informācija
Sabiedrisko pakalpojumu regulēšanas komisijas padomes priekšsēdētāja V.Andrējeva