
Ministru kabineta noteikumi Nr.525
Rīgā 2007.gada 31.jūlijā (prot. Nr.43 9.§)
Kārtība, kādā atsevišķiem naftas produktiem piemēro samazinātu akcīzes nodokļa likmi vai atbrīvojumu no akcīzes nodokļa
Izdoti saskaņā
ar likuma “Par akcīzes nodokli” 5.panta piekto daļu,
14.panta 2.1 daļu, 18.panta pirmo daļu un
28.panta piekto daļu un
likuma “Par nodokļu piemērošanu brīvostās un speciālajās
ekonomiskajās zonās” 3.panta desmito daļu
I. Vispārīgie jautājumi
1. Noteikumi nosaka:
1.1. kārtību, kādā piemēro samazinātu akcīzes nodokļa (turpmāk – nodoklis) likmi vai atbrīvojumu no nodokļa naftas produktiem, kurus piegādā un izmanto atbilstoši likuma “Par akcīzes nodokli” (turpmāk – likums) 5.panta piektajai daļai, 14.panta 2.1 daļai un 18.panta pirmajai daļai vai likuma “Par nodokļu piemērošanu brīvostās un speciālajās ekonomiskajās zonās” 3.panta septītajai, astotajai un devītajai daļai, kā arī kārtību un gadījumus, kad nepiemēro likumā paredzētos akcīzes preču pārvietošanas un kontroles nosacījumus;
1.2. kārtību, kādā saskaņā ar likuma 28.panta piekto daļu atsevišķus naftas produktus iezīmē (marķē), lai tiem piemērotu likuma 14.panta otro daļu vai 18.panta trešo daļu vai likuma “Par nodokļu piemērošanu brīvostās un speciālajās ekonomiskajās zonās” 3.panta 8.1 un devīto daļu;
1.3. iezīmēto (marķēto) naftas produktu apriti.
2. Saskaņā ar šiem noteikumiem iezīmē (marķē) likuma 14.panta otrajā daļā un 18.panta trešajā daļā un likuma “Par nodokļu piemērošanu brīvostās un speciālajās ekonomiskajās zonās” 3.panta 8.1 un devītajā daļā minētos naftas produktus.
3. Likuma 14.panta otro daļu vai likuma “Par nodokļu piemērošanu brīvostās un speciālajās ekonomiskajās zonās” 3.panta devīto daļu piemēro, ja dīzeļdegviela, petroleja vai degvieleļļa, kuras kolorimetriskais indekss ir mazāks par 2,0 un kinemātiskā viskozitāte 50 °C ir mazāka par 25 mm2/s, vai šo naftas produktu aizstājējprodukti un komponenti ir iezīmēti (marķēti) saskaņā ar šiem noteikumiem un tos piegādā atbilstoši šo noteikumu IV nodaļā minētajām prasībām.
4. Likuma 14.panta 2.1 daļu piemēro, ja eļļas atkritumus, kuri ietilpst Kombinētās nomenklatūras 2710.preču pozīcijā (izņemot likuma 14.panta pirmās daļas 7.punktā minēto produktu), piegādā atbilstoši šo noteikumu IV nodaļā minētajām prasībām.
5. Naftas produktus, kurus piegādā un izmanto likuma 18.panta pirmās daļas 1.punktā minētajiem mērķiem, atbrīvo no nodokļa, ja tos piegādā atbilstoši šo noteikumu V nodaļā minētajām prasībām, arī tad, ja tie nav iezīmēti (marķēti) saskaņā ar šiem noteikumiem.
6. Likuma 18.panta pirmās daļas 2. un 3.punktu piemēro, ja tajā minētajos gadījumos naftas produktus piegādā atbilstoši šo noteikumu VI nodaļā minētajām prasībām.
7. Likuma “Par nodokļu piemērošanu brīvostās un speciālajās ekonomiskajās zonās” 3.panta astotās daļas 1., 2. un 3.punktu piemēro, ja tajā minētajos gadījumos naftas produktus piegādā atbilstoši šo noteikumu VI nodaļā minētajām prasībām.
8. Likuma 18.panta pirmās daļas 4.punktu vai likuma “Par nodokļu piemērošanu brīvostās un speciālajās ekonomiskajās zonās” 3.panta astotās daļas 4.punktu piemēro, ja naftas produktus piegādā atbilstoši šo noteikumu IV nodaļā minētajām prasībām.
9. Likuma 18.panta pirmās daļas 5.punktu piemēro, ja naftas produktus piegādā atbilstoši šo noteikumu VII nodaļā minētajām prasībām.
10. Šajos noteikumos minētos naftas produktus piegādā līdz adresei, kas norādīta saskaņā ar šiem noteikumiem izsniegtajā izziņā, kā arī iepilda izziņā minētajās tvertnēs (ja tādas ir norādītas), ja šajos noteikumos nav noteikts citādi.
11. Persona, kas naftas produktus, kuriem piemēro samazinātu nodokļa likmi vai atbrīvojumu no nodokļa, piegādā (turpmāk – piegādātājs) tādai personai, kas izmanto naftas produktus, kuriem piemēro samazinātu nodokļa likmi vai atbrīvojumu no nodokļa (turpmāk – lietotājs), iesniedz normatīvajos aktos par akcīzes preču apriti noteiktos pārskatus.
12. Piegādātājs darījumiem vai darbībām ar naftas produktiem izraksta pavadzīmi ar Valsts ieņēmumu dienesta piešķirto numuru (turpmāk – degvielas pavadzīme) vai dokumentu, kas minēts Komisijas 1992.gada 17.decembra Regulā (EEK) Nr.3649/92 par vienkāršotiem pavaddokumentiem, Kopienas iekšienē pārvadājot akcīzes ražojumus, kas ir nodoti patēriņam nosūtītāja dalībvalstī (turpmāk – regula Nr.3649/92), vai Komisijas 1992.gada 11.septembra Regulā (EEK) Nr.2719/92 par administratīviem pavaddokumentiem akcīzes precēm, transportējot tās akcīzes nodokļu atlikšanas režīmā (turpmāk – regula Nr.2719/92). Degvielas pavadzīmē papildus rekvizītiem, kas noteikti normatīvajos aktos par akcīzes preču apriti, norāda šādu informāciju:
12.1. ja naftas produktus piegādā, pamatojoties uz izziņu, kas izsniegta saskaņā ar šiem noteikumiem, – lietotājam, kuram piegādā naftas produktus, izsniegtās izziņas veidu, numuru un izsniegšanas datumu;
12.2. ja naftas produktus piegādā likuma 18.panta pirmās daļas 2. un 3.punktā vai likuma “Par nodokļu piemērošanu brīvostās un speciālajās ekonomiskajās zonās” 3.panta astotās daļas 1., 2. un 3.punktā minētajiem mērķiem, – gaisa kuģu (lidmašīnu vai citu gaisa satiksmes transportlīdzekļu) vai kuģu (kuģu vai citu peldlīdzekļu) reģistrācijas numuru un reģistrācijas vietu (izņemot gadījumu, ja naftas produktus piegādā likuma “Par nodokļu piemērošanu brīvostās un speciālajās ekonomiskajās zonās” 3.panta astotās daļas 2.punktā minētajam mērķim) vai šo noteikumu 95.punktā minēto degvielas uzpildes staciju, kas īpaši aprīkota kuģu apgādei;
12.3. vai piegādātie naftas produkti ir iezīmēti (marķēti);
12.4. naftas produktu izmantošanas mērķi;
12.5. ja naftas produktus piegādā likuma 18.panta pirmās daļas 3.punktā vai likuma “Par nodokļu piemērošanu brīvostās un speciālajās ekonomiskajās zonās” 3.panta astotās daļas 1., 2. un 3.punktā minētajiem mērķiem un par transportlīdzekli (ja nepieciešams, arī par otro transportlīdzekli) izmanto kuģi, kas veic kuģu bunkurēšanu vai piegādi, – tā kuģa reģistrācijas numuru un reģistrācijas vietu, kurš veic kuģu bunkurēšanu vai piegādi;
12.6. ja lietotājs pieņem tikai daļu no piegādātā naftas produktu apjoma, – pieņemto naftas produktu daudzumu. Lietotājs to apliecina ar parakstu. Atlikušo naftas produktu daudzumu kopā ar to pašu degvielas pavadzīmi piegādātājs pārvieto atpakaļ uz iekraušanas (iepildīšanas) vietas adresi.
13. Ja no viena kuģa uz otru kuģi tiek pārkrauti (pārsūknēti) viena komersanta naftas produkti, izraksta degvielas pavadzīmi.
14. Ja naftas produkti tiek pārvietoti uz tādas Latvijas Republikas lidostas teritoriju, kurā izveidots robežkontroles punkts (turpmāk – starptautiskā lidosta), un naftas produktu pārvietošana nav iespējama šo noteikumu 12.6.apakšpunktā minētajā kārtībā, piegādātājs degvielas pavadzīmi noformē par attiecīgajā autocisternā esošo naftas produktu daudzumu un norāda:
14.1. sadaļā par naftas produktu saņēmēju – tikai šādas ziņas:
14.1.1. atzīmi “piegāde lidmašīnām starptautiskajā lidostā”;
14.1.2. attiecīgās starptautiskās lidostas nosaukumu un adresi;
14.2. vai piegādātie naftas produkti ir iezīmēti (marķēti);
14.3. vietā, kur paredzēts naftas produktu saņēmēja paraksts un tā atšifrējums, – savu parakstu un tā atšifrējumu.
15. Piegādātājs vai tā pilnvarotā persona degvielas pavadzīmi šo noteikumu 14.3.apakšpunktā norādītajā vietā paraksta (norādot paraksta atšifrējumu) starptautiskajā lidostā tūlīt pēc naftas produktu piegādes lietotājam.
16. Šo noteikumu 14.punktā minētajā gadījumā degvielas pavadzīmes pirmais un trešais eksemplārs paliek naftas produktu piegādātājam (nodošanai grāmatvedībā).
17. Ja naftas produkti tiek pārvietoti šo noteikumu 14.punktā minētajā kārtībā, papildus attiecīgajai degvielas pavadzīmei noformē komersanta iekšējo attaisnojuma dokumentu. Komersanta iekšējo attaisnojuma dokumentu noformē par naftas produktu piegādi katram gaisa kuģim atsevišķi, norādot piegādāto naftas produktu daudzumu un gaisa kuģa reģistrācijas numuru, kā arī citu komersantam nepieciešamo informāciju. Piegādātājs naftas produktu piegādes un iekšējā attaisnojuma dokumenta izmantošanas kārtību rakstiski saskaņo ar Valsts ieņēmumu dienestu.
18. Ja naftas produkti tiek pārvietoti šo noteikumu 14.punktā minētajā kārtībā un lietotājs pieņem tikai daļu no piegādātā naftas produktu apjoma, lietotāja pieņemto naftas produktu daudzumu ar savu parakstu apliecina naftas produktu piegādātājs vai tā pilnvarotā persona. Atlikušo naftas produktu daudzumu kopā ar to pašu degvielas pavadzīmi piegādātājs pārvieto atpakaļ uz iekraušanas (iepildīšanas) vietas adresi.
19. Ja naftas produktus piegādā likuma 18.panta pirmās daļas 3.punktā vai likuma “Par nodokļu piemērošanu brīvostās un speciālajās ekonomiskajās zonās” 3.panta astotās daļas 1. un 3.punktā minētajiem mērķiem no šo noteikumu 95.punktā minētās degvielas uzpildes stacijas, kas ir īpaši aprīkota kuģu apgādei, piegādātājs elektroniskās kases sistēmas čekā papildus rekvizītiem, kas noteikti normatīvajos aktos par elektroniskās kases sistēmas čekiem un to aprites kārtību, norāda:
19.1. lietotāja nosaukumu;
19.2. kuģa reģistrācijas numuru un reģistrācijas vietu;
19.3. vai piegādātie naftas produkti ir iezīmēti (marķēti);
19.4. atzīmi “atbrīvojums kuģiem”.
20. Piegādātājs papildus akcīzes preču apriti reglamentējošajos normatīvajos aktos noteiktajai uzskaitei norāda šādu informāciju:
20.1. ja naftas produktus piegādā, pamatojoties uz izziņu, kas izsniegta saskaņā ar šiem noteikumiem, – lietotājam, kuram piegādā naftas produktus, izsniegtās izziņas veidu, numuru un izsniegšanas datumu;
20.2. ja naftas produktus piegādā likuma 18.panta pirmās daļas 2. un 3.punktā vai likuma “Par nodokļu piemērošanu brīvostās un speciālajās ekonomiskajās zonās” 3.panta astotās daļas 1., 2. un 3.punktā minētajiem mērķiem, – gaisa kuģu vai kuģu reģistrācijas numuru un reģistrācijas vietu (izņemot gadījumu, ja naftas produktus piegādā likuma “Par nodokļu piemērošanu brīvostās un speciālajās ekonomiskajās zonās” 3.panta astotās daļas 2.punktā minētajam mērķim) vai šo noteikumu 95.punktā minēto degvielas uzpildes staciju, kas ir īpaši aprīkota kuģu apgādei;
20.3. naftas produktu daudzumu atbilstoši naftas produktu izmantošanas mērķim, atsevišķi norādot iezīmētos (marķētos) un neiezīmētos (nemarķētos) naftas produktus;
20.4. naftas produktu izmantošanas mērķi.
II. Naftas produktu iezīmēšana (marķēšana)
21. Naftas produktus iezīmēt (marķēt) ir atļauts akcīzes preču noliktavā un tikai akcīzes preču noliktavas turētājam (turpmāk – noliktavas turētājs), kuram ir piešķirtas šādas tiesības.
22. Noliktavas turētājs ne vēlāk kā divas darbdienas pirms naftas produktu iezīmēšanas (marķēšanas) rakstiski informē Valsts ieņēmumu dienestu par iezīmēšanas (marķēšanas) laiku.
23. Naftas produktu iezīmēšanu (marķēšanu) Latvijas Republikā atbilstoši šiem noteikumiem nodrošina un par to ir atbildīgs noliktavas turētājs.
24. Naftas produktus iezīmē (marķē) ar iekārtām (ierīcēm), kuras atbilst ugunsdrošības, vides aizsardzības, ekspluatācijas un tehniskajām normām.
25. Naftas produktus uzskata par iezīmētiem (marķētiem), ja 1000 litriem naftas produktu ir pievienota viena no šo noteikumu 26.punktā minētajām sarkanajām krāsvielām un šo noteikumu 27.punktā minētā ķīmiskā viela attiecīgajā daudzumā (jebkuru no šo noteikumu 26.punktā minētajām vielām var lietot kopā ar šo noteikumu 27.punktā minēto vielu).
26. Par sarkano krāsvielu izmanto vienu no šādām vielām:
26.1. N-etil-1-(4-fenilazofenilazo)naftil-2-amīnu – vismaz 5,0 gramus;
26.2. N-etilheksil-1-(tolilazotolilazo)naftil-2-amīnu – vismaz 6,5 gramus;
26.3. N-tridecil-1-(tolilazotolilazo)naftil-2-amīnu – vismaz 7,4 gramus.
27. Par ķīmisko vielu izmanto
N-etil-N-2-
(1-izobutoksietoksi)etilazobenzol-4-amīnu (Solvent Yellow
124) – vismaz 6 gramus, bet ne vairāk kā
9 gramus.
28. Šo noteikumu 26. un 27.punktā minēto vielu iegādi nodrošina noliktavas turētājs.
29. Noliktavas turētājs iezīmētos (marķētos) naftas produktus uzglabā īpaši tiem paredzētā atsevišķā tvertnē, uz kuras ir uzraksts “Iezīmēti (marķēti) naftas produkti” un par kuru rakstiski ir informēts Valsts ieņēmumu dienests. Minētajā tvertnē aizliegts uzglabāt citus naftas produktus. Tvertni, kurā uzglabā iezīmētos (marķētos) naftas produktus, aprīko ar atbilstošu skaitītāju, kas kalibrēts saskaņā ar normatīvajiem aktiem par metroloģiskajām prasībām konkrētajam mērīšanas līdzeklim un kas nodrošina no attiecīgās tvertnes izsniedzamo iezīmēto (marķēto) naftas produktu summāru un neanulējamu uzskaiti. Ja iezīmētos (marķētos) naftas produktus uzglabā tvertnēs, kas saslēgtas tehnoloģiski vienotā sistēmā, tad ar attiecīgo skaitītāju aprīko stacionāro izsniegšanas ierīci.
30. Noliktavas turētājs nodrošina, lai Valsts ieņēmumu dienesta vai citu kontroles institūciju pilnvarotās amatpersonas varētu brīvi piekļūt tvertnēm, kurās uzglabā iezīmētos (marķētos) naftas produktus.
31. Pirms iezīmēto (marķēto) naftas produktu piegādes lietotājiem akcīzes preču noliktavas turētājs saņem dokumentu (un tā tulkojumu valsts valodā, ja minētais dokuments izsniegts citā Eiropas Savienības dalībvalstī), kuru izsniegusi Valsts ieņēmumu dienesta Galvenās muitas pārvaldes muitas laboratorija vai Latvijas Republikā akreditēta atbilstības novērtēšanas institūcija, par kuru publicēts paziņojums laikrakstā “Latvijas Vēstnesis”, vai Eiropas Savienības dalībvalsts kompetentā institūcija un kurā ir ziņas (informācija), kas apliecina, ka attiecīgie naftas produkti ir iezīmēti (marķēti) saskaņā ar šo noteikumu 25.punktā noteiktajām prasībām (turpmāk – apliecinājuma dokuments).
32. Lai saņemtu apliecinājuma dokumentu, noliktavas turētājs no tvertnes, kurā uzglabā iezīmētos (marķētos) naftas produktus, paņem iezīmēto (marķēto) naftas produktu paraugu (vismaz vienu litru), noplombē parauga iepakojumu un iesniedz to Valsts ieņēmumu dienesta Galvenās muitas pārvaldes muitas laboratorijā vai Latvijas Republikā akreditētā atbilstības novērtēšanas institūcijā, par kuru publicēts paziņojums laikrakstā “Latvijas Vēstnesis”, vai Eiropas Savienības dalībvalsts kompetentajā institūcijā, lai noteiktu, vai naftas produkti ir iezīmēti (marķēti) saskaņā ar šo noteikumu 25.punktā noteiktajām prasībām.
33. Noliktavas turētājs, tehniski aprīkojot tvertni atbilstoši šo noteikumu 29.punktā minētajām prasībām, nodrošina, lai parauga ņemšanas laikā, kā arī laikā, kad attiecīgos iezīmētos (marķētos) naftas produktus piegādā lietotājiem, tvertnē, kurā uzglabā iezīmētos (marķētos) naftas produktus, netiktu iepildīti citi naftas produkti (vai citas vielas). Ja tvertnē no jauna iepilda naftas produktus (vai citas vielas), iepriekš izsniegtais šo noteikumu 31.punktā minētais apliecinājuma dokuments zaudē spēku un noliktavas turētājam nepieciešams saņemt jaunu apliecinājuma dokumentu, lai attiecīgos naftas produktus varētu piegādāt lietotājiem. Pirms tvertnē no jauna iepilda naftas produktus (vai citas vielas), noliktavas turētājs ne vēlāk kā divas darbdienas pirms minētās darbības veikšanas par to rakstiski informē Valsts ieņēmumu dienestu.
34. Lai kontrolētu šo noteikumu 33.punktā minēto prasību izpildi, noliktavas turētājs noplombē tvertni, kurā uzglabā iezīmētos (marķētos) naftas produktus, un tās aprīkojumu (arī pēc parauga paņemšanas). Noliktavas turētājs parauga ņemšanas un tvertnes noplombēšanas kārtību saskaņo ar Valsts ieņēmumu dienestu. Valsts ieņēmumu dienests ir tiesīgs noteikt, ka naftas produktu paraugu paņem, parauga iepakojumu noplombē un tvertni un tās aprīkojumu noplombē Valsts ieņēmumu dienesta atbildīgās amatpersonas klātbūtnē. Pirms tvertnē no jauna iepilda naftas produktus (vai citas vielas), Valsts ieņēmumu dienesta atbildīgā amatpersona ir tiesīga pārbaudīt skaitītāja (kas nodrošina attiecīgajā tvertnē uzglabājamo iezīmēto (marķēto) naftas produktu summāru un neanulējamu uzskaiti) rādījumu atbilstību no akcīzes preču noliktavas izvestajam iezīmēto (marķēto) naftas produktu daudzumam, ko saskaņā ar šo noteikumu 36.punktu uzskaitījis noliktavas turētājs, kā arī pārbaudīt faktiskā iezīmēto (marķēto) naftas produktu daudzuma atlikuma atbilstību grāmatvedības dokumentos norādītajam daudzumam.
35. Noliktavas turētājs apliecinājuma dokumentu vai tā kopiju (uzrādot oriģinālu) iesniedz Valsts ieņēmumu dienestā.
36. Noliktavas turētājs atbilstoši akcīzes preču apriti reglamentējošajiem normatīvajiem aktiem uzskaita iezīmētos (marķētos) naftas produktus un darbības ar tiem un papildus norāda skaitītāja rādījumus pēc katras izsniegšanas reizes.
37. Noliktavas turētājs akcīzes preču apriti reglamentējošajos normatīvajos aktos noteiktajā pārskatā par naftas produktu (degvielas) apriti sniedz arī ziņas par iepriekšējā mēnesī iezīmētajiem (marķētajiem) naftas produktiem un lietotājiem piegādātajiem iezīmētajiem (marķētajiem) naftas produktiem.
III. Kārtība, kādā Latvijas Republikā ieved naftas produktus, kuriem piemēro samazinātu nodokļa likmi vai atbrīvojumu no nodokļa
38. Ievest (importēt) naftas produktus Latvijas Republikā no ārvalsts, kas nav Eiropas Savienības dalībvalsts, lai tiem piemērotu likuma 14.panta otro daļu, 14.panta 2.1 daļu un likuma 18.panta pirmo daļu vai likuma “Par nodokļu piemērošanu brīvostās un speciālajās ekonomiskajās zonās” 3.panta astoto un devīto daļu, drīkst ar nosacījumu, ja tos pārvieto uz akcīzes preču noliktavu, kurā atļauts veikt darbības ar naftas produktiem. Šis nosacījums neattiecas uz produktiem, kuriem piemēro likuma 18.panta pirmās daļas 2. un 3.punktu vai likuma “Par nodokļu piemērošanu brīvostās un speciālajās ekonomiskajās zonās” 3.panta astotās daļas 1., 2. un 3.punktu, ja attiecīgo produktu piegāde notiek saskaņā ar muitas procedūru – izlaišana brīvam apgrozījumam.
39. Šo noteikumu 38.punktā minētie nosacījumi neattiecas uz naftas produktiem, kurus lietotājs ieved saskaņā ar likuma 18.panta pirmās daļas 1.punktu, lai izmantotu citiem mērķiem, nevis par degvielu vai kurināmo, ja attiecīgie produkti:
39.1. atbilst Kombinētās nomenklatūras kodiem 2710 11 21, 2710 11 25 un 2710 19 29 un atbilstoši tehnisko noteikumu vai standartu prasībām ir iepildīti slēgtā iepakojumā, sagatavoti realizācijai un nav paredzēti iekšdedzes dzinēju (ar dzirksteles aizdedzi un ar kompresijas aizdedzi) darbināšanai;
39.2. atbilst Kombinētās nomenklatūras kodam 2905 11 00;
39.3. nav minēti šo noteikumu 41.punktā.
40. Uz šo noteikumu 38.punktā minētajiem iezīmētajiem (marķētajiem) naftas produktiem attiecas šo noteikumu 29., 30., 31., 32., 33., 34., 35., 36. un 37.punkts.
41. Ievērojot likumā noteiktās prasības (arī nosacījumus par nodokļa maksātāju, kā arī likuma 25.pantā noteiktās prasības), Latvijas Republikā no citām Eiropas Savienības dalībvalstīm ir atļauts ievest naftas produktus (arī iezīmētos (marķētos) naftas produktus), kas atbilst šādām Kombinētās nomenklatūras preču pozīcijām un kodiem:
41.1. 1507–1518, ja šos produktus paredzēts izmantot par kurināmo vai degvielu;
41.2. 2707 10, 2707 20, 2707 30 un 2707 50;
41.3. 2710 11–2710 19 69 (ja produkti, kas atbilst Kombinētās nomenklatūras kodiem 2710 11 21, 2710 11 25 un 2710 19 29, atbilstoši tehnisko noteikumu vai standartu prasībām ir iepildīti slēgtā iepakojumā, sagatavoti realizācijai un nav paredzēti iekšdedzes dzinēju (ar dzirksteles aizdedzi un ar kompresijas aizdedzi) darbināšanai, tos var ievest saskaņā ar šo noteikumu 43.punktā minētajiem nosacījumiem);
41.4. 2711 (izņemot 2711 11, 2711 21 un 2711 29);
41.5. 2901 10;
41.6. 2902 20, 2902 30, 2902 41, 2902 42, 2902 43 un 2902 44;
41.7. 2905 11 00, ja tie nav sintētiskas izcelsmes produkti un ja šos produktus paredzēts izmantot par kurināmo vai degvielu;
41.8. 3824 90 98, ja šos produktus paredzēts izmantot par kurināmo vai degvielu.
42. Ievērojot likumā noteiktās prasības (arī nosacījumus par nodokļa maksātāju, kā arī likuma 25.pantā noteiktās prasības), Latvijas Republikā no citām Eiropas Savienības dalībvalstīm ir atļauts ievest naftas produktus (arī iezīmētos (marķētos) naftas produktus), kas nav minēti šo noteikumu 41.punktā.
43. Lietotājs atbilstoši likuma 18.panta pirmās daļas 1.punktam var ievest Latvijas Republikā no citām Eiropas Savienības dalībvalstīm (neiesniedzot nodokļa nodrošinājumu un neizmantojot regulā Nr.2719/92 noteiktos dokumentus) naftas produktus izmantošanai citiem mērķiem, nevis par degvielu vai kurināmo, kuri:
43.1. atbilst Kombinētās nomenklatūras kodiem 2710 11 21, 2710 11 25 un 2710 19 29, ja tie atbilstoši tehnisko noteikumu vai standartu prasībām ir iepildīti slēgtā iepakojumā, sagatavoti realizācijai un nav paredzēti iekšdedzes dzinēju (ar dzirksteles aizdedzi un ar kompresijas aizdedzi) darbināšanai;
43.2. atbilst Kombinētās nomenklatūras kodam 2905 11 00;
43.3. nav minēti šo noteikumu 41.punktā.
44. Ievest šo noteikumu 41.punktā minētos iezīmētos (marķētos) naftas produktus Latvijas Republikā atļauts, ja ir attiecīgs apliecinājuma dokuments.
45. Uz šo noteikumu 41.punktā minētajiem iezīmētajiem (marķētajiem) naftas produktiem attiecas šo noteikumu 29.punkts. Valsts ieņēmumu dienesta vai citu kontroles institūciju pilnvarotajām amatpersonām nodrošina brīvu piekļuvi tvertnēm, kurās uzglabā iezīmētos (marķētos) naftas produktus.
46. Tvertni, kurā uzglabā šo noteikumu 41.punktā minētos iezīmētos (marķētos) naftas produktus, un aprīkojumu noplombē. Noplombēšanas kārtību saskaņo ar Valsts ieņēmumu dienestu. Valsts ieņēmumu dienests ir tiesīgs noteikt, ka tvertni un tās aprīkojumu noplombē Valsts ieņēmumu dienesta darbinieks vai tā klātbūtnē. Pirms tvertnē no jauna iepilda naftas produktus (vai citas vielas), Valsts ieņēmumu dienesta darbinieks ir tiesīgs pārbaudīt skaitītāja (kas nodrošina attiecīgajā tvertnē uzglabājamo iezīmēto (marķēto) naftas produktu summāru un neanulējamu uzskaiti) rādījumu atbilstību no uzglabāšanas vietas izvestajam iezīmēto (marķēto) naftas produktu daudzumam, kas uzskaitīts saskaņā ar šiem noteikumiem, kā arī faktiskā iezīmēto (marķēto) naftas produktu daudzuma atlikuma atbilstību grāmatvedības dokumentos norādītajam daudzumam.
IV. Iezīmētie (marķētie) naftas produkti vai eļļas atkritumi, kurus piegādā un izmanto brīvostās un speciālajās ekonomiskajās zonās, kā arī izmanto par kurināmo
47. Lai iezīmētos (marķētos) naftas produktus varētu izmantot likuma 14.panta otrajā daļā vai 18.panta pirmās daļas 4.punktā noteiktajam mērķim vai likuma “Par nodokļu piemērošanu brīvostās un speciālajās ekonomiskajās zonās” 3.panta astotās daļas 4.punktā vai 3.panta devītajā daļā noteiktajam mērķim, lietotājs saņem izziņu par tiesībām iegādāties iezīmētos (marķētos) naftas produktus (turpmāk – izziņa iezīmēto (marķēto) naftas produktu iegādei).
48. Lai eļļas atkritumus varētu izmantot likuma 14.panta 2.1 daļā noteiktajam mērķim, lietotājs saņem izziņu par tiesībām iegādāties eļļas atkritumus (turpmāk – izziņa eļļas atkritumu iegādei).
49. Izziņu iezīmēto (marķēto) naftas produktu iegādei vai izziņu eļļas atkritumu iegādei izsniedz uz gadu.
50. Ja lietotājs ir fiziska persona, tad, lai saņemtu izziņu iezīmēto (marķēto) naftas produktu iegādei (izmantošanai par kurināmo), lietotājs iesniedz iesniegumu saskaņā ar šo noteikumu 1.pielikumu, bet, lai saņemtu izziņu eļļas atkritumu iegādei (izmantošanai par kurināmo), lietotājs iesniedz iesniegumu saskaņā ar šo noteikumu 2.pielikumu. Iesniegumu iesniedz Valsts ieņēmumu dienesta iestādē pēc lietotāja deklarētās dzīvesvietas (Latvijas Republikas nerezidenti pēc to valdījumā esošo šo noteikumu 50.1.apakšpunktā minēto iekārtu atrašanās vietas). Iesniegumam pievieno šādus dokumentus:
50.1. attiecīgās sadedzināšanas iekārtas, elektroenerģijas ražošanas iekārtas vai kombinētās iekārtas, kas ražo elektroenerģiju un siltumu (turpmāk – sadedzināšanas iekārta), tehniskās pases kopiju ar norādi par iekārtas jaudu;
50.2. dokumentus, kuri apliecina valdījuma tiesības uz attiecīgo ēku, ar norādi uz ēkas apkurināmo platību (m2) vai tilpumu pēc ārējiem izmēriem (m3), vai siltumapgādes projektu, kurā norādīts siltuma patēriņš;
50.3. ziņas par zemāko sadegšanas siltumu (kJ/kg) un blīvumu (kg/l), ja iesniegumu iesniedz, lai saņemtu izziņu eļļas atkritumu iegādei;
50.4. nepieciešamā iezīmēto (marķēto) naftas produktu veida vai eļļas atkritumu daudzuma aprēķinu, kurš veikts, izmantojot šo noteikumu 55.punktā minētās metodes un 50.1. un 50.2.apakšpunktā minētajos dokumentos norādītās ziņas;
50.5. ja patērējamo iezīmēto (marķēto) naftas produktu vai eļļas atkritumu daudzums pārsniedz 7000 litru gadā:
50.5.1. dokumentus, kuri apliecina, ka attiecīgā sadedzināšanas iekārta vai iezīmēto (marķēto) naftas produktu vai eļļas atkritumu uzglabāšanas tvertne, kura savienota ar attiecīgo sadedzināšanas iekārtu, ir aprīkota ar skaitītāju, kas nodrošina izmantojamā kurināmā patēriņa summāru un neanulējamu uzskaiti;
50.5.2. un iezīmētos (marķētos) naftas produktus vai eļļas atkritumus uzglabā tvertnēs, kas saslēgtas tehnoloģiski vienotā sistēmā, – dokumentus, kas apliecina, ka tā tehnoloģiski vienotās sistēmas tvertne, kura savienota ar attiecīgo sadedzināšanas iekārtu, ir aprīkota ar skaitītāju, kas nodrošina izmantojamā kurināmā patēriņa summāru un neanulējamu uzskaiti;
50.5.3. un skaitītājs nav oriģināla attiecīgās sadedzināšanas iekārtas vai iezīmēto (marķēto) naftas produktu vai eļļas atkritumu uzglabāšanas tvertnes daļa vai tehnoloģiski vienotās sistēmas tvertnes daļa, kura savienota ar attiecīgo sadedzināšanas iekārtu, bet ir uzstādīts atsevišķi, – skaitītāja tehniskās pases kopiju.
51. Ja lietotājs nav fiziska persona, tad, lai saņemtu izziņu iezīmēto (marķēto) naftas produktu iegādei (izmantošanai par kurināmo), lietotājs iesniedz iesniegumu saskaņā ar šo noteikumu 3.pielikumu, bet, lai saņemtu izziņu eļļas atkritumu iegādei (izmantošanai par kurināmo), lietotājs iesniedz iesniegumu saskaņā ar šo noteikumu 4.pielikumu. Iesniegumu iesniedz Valsts ieņēmumu dienesta iestādē, kurā lietotājs reģistrējies kā nodokļu maksātājs (Latvijas Republikas nerezidenti pēc to valdījumā esošo šo noteikumu 51.1.apakšpunktā minēto iekārtu atrašanās vietas). Iesniegumam pievieno šādus dokumentus:
51.1. attiecīgās sadedzināšanas iekārtas tehniskās pases kopiju ar norādi par iekārtas jaudu;
51.2. informāciju par izmantojamo iezīmēto (marķēto) naftas produktu veidu un maksimālo patēriņu attiecīgajā sadedzināšanas iekārtā vai eļļas atkritumu maksimālo patēriņu attiecīgajā sadedzināšanas iekārtā:
51.2.1. sadedzināšanas iekārtu veidus un skaitu;
51.2.2. nominālo sadedzināšanas iekārtas jaudu (MW);
51.2.3. plānoto darbināšanas laiku pārskata periodā (h);
51.2.4. plānoto saražotās enerģijas apjomu pārskata periodā (MWh);
51.2.5. iezīmēto (marķēto) naftas produktu veidu, ja iesniegumu iesniedz, lai saņemtu izziņu iezīmēto (marķēto) naftas produktu iegādei;
51.2.6. iezīmēto (marķēto) naftas produktu vai eļļas atkritumu zemāko sadegšanas siltumu (kJ/kg) un blīvumu (kg/l);
51.2.7. iekārtas lietderības koeficientu saskaņā ar attiecīgās sadedzināšanas iekārtas tehniskās pases datiem;
51.2.8. maksimālo iezīmēto (marķēto) naftas produktu vai eļļas atkritumu (litros) patēriņu, kas aprēķināts saskaņā ar attiecīgās sadedzināšanas iekārtas tehniskās pases datiem, un tās maksimālo darbināšanas laiku gadā;
51.2.9. iepriekšējā laikposmā izlietoto iezīmēto (marķēto) naftas produktu vai eļļas atkritumu daudzumu (litros);
51.2.10. jaudas izmantošanas koeficientu;
51.3. attiecīgajā sadedzināšanas iekārtā noteiktā laikposmā (piemēram, mēnesī, gadā) izmantojamo iezīmēto (marķēto) naftas produktu vai eļļas atkritumu kopējo daudzumu (litros), kurš aprēķināts, izmantojot šo noteikumu 51.1., 51.2. un 51.4.apakšpunktā minētajos dokumentos norādītās ziņas;
51.4. ja iezīmētos (marķētos) naftas produktus vai eļļas atkritumus paredzēts izmantot siltuma ieguvei apkurē, – dokumentus, kuri apliecina valdījuma tiesības uz attiecīgo ēku, ar norādi uz ēkas apkurināmo platību (m2) vai tilpumu pēc ārējiem izmēriem (m3), vai siltumapgādes projektu, kurā norādīts siltuma patēriņš;
51.5. ja iezīmētos (marķētos) naftas produktus vai eļļas atkritumus paredzēts izmantot siltuma enerģijas ieguvei produkcijas ražošanas (pārstrādes) tehnoloģiskajā procesā:
51.5.1. dokumentus, kuri apliecina valdījuma tiesības uz vietu, kurā notiks ražošanas (pārstrādes) process;
51.5.2. nepieciešamo iezīmēto (marķēto) naftas produktu vai eļļas atkritumu daudzumu, kas aprēķināts, izmantojot šo noteikumu 56.punktā minētās metodes;
51.6. ja patērējamo iezīmēto (marķēto) naftas produktu vai eļļas atkritumu daudzums pārsniedz 7000 litru gadā:
51.6.1. dokumentus, kuri apliecina, ka attiecīgā sadedzināšanas iekārta vai iezīmēto (marķēto) naftas produktu vai eļļas atkritumu uzglabāšanas tvertne, kura savienota ar attiecīgo sadedzināšanas iekārtu, ir aprīkota ar skaitītāju, kas nodrošina patēriņa summāru un neanulējamu uzskaiti;
51.6.2. un iezīmētos (marķētos) naftas produktus vai eļļas atkritumus uzglabā tvertnēs, kas saslēgtas tehnoloģiski vienotā sistēmā, – dokumentus, kas apliecina, ka tā tehnoloģiski vienotās sistēmas tvertne, kura savienota ar attiecīgo sadedzināšanas iekārtu, ir aprīkota ar skaitītāju, kas nodrošina izmantojamā kurināmā patēriņa summāru un neanulējamu uzskaiti;
51.6.3. un skaitītājs nav oriģināla attiecīgās sadedzināšanas iekārtas vai iezīmēto (marķēto) naftas produktu vai eļļas atkritumu uzglabāšanas tvertnes daļa vai tehnoloģiski vienotās sistēmas tvertnes daļa, kura savienota ar attiecīgo sadedzināšanas iekārtu, bet ir uzstādīts atsevišķi, – skaitītāja tehniskās pases kopiju.
52. Lai saņemtu izziņu iezīmēto (marķēto) naftas produktu iegādei (izmantošanai brīvostās un speciālajās ekonomiskajās zonās saskaņā ar likuma “Par nodokļu piemērošanu brīvostās un speciālajās ekonomiskajās zonās” 3.panta devīto daļu), lietotājs iesniedz Valsts ieņēmumu dienesta iestādē, kurā reģistrējies kā nodokļu maksātājs, iesniegumu saskaņā ar šo noteikumu 5.pielikumu. Iesniegumam pievieno šādus dokumentus:
52.1. teritorijas (kur notiek darbība) plānu, kuru apstiprinājusi brīvostas pārvalde vai zonas pārvalde;
52.2. apliecinājumu par stacionāro iekārtu, celtni un tamlīdzīgu objektu, iekārtu, kura tiek izmantota celtniecības darbos tikai brīvās zonas teritorijā, tehniku, kas pēc konstrukcijas nav paredzēta satiksmei pa koplietošanas ceļiem un tiek izmantota tikai brīvās zonas teritorijā (turpmāk – iekārta un (vai) tehnika), kurā tiks izmantoti iezīmētie (marķētie) naftas produkti, norādot šādu informāciju:
52.2.1. izmantojamās iekārtas vai tehnikas nosaukumu, tipu, marku, identifikācijas numuru, apzīmējumu, pēc kura iekārta vai tehnikas vienība ir identificējama;
52.2.2. iezīmēto (marķēto) naftas produktu patēriņu (litri motorstundā), kurš apstiprināts ar lietotāja rīkojumu un pamatots ar iekārtas vai tehnikas tehnisko dokumentāciju;
52.2.3. plānoto vidējo motorstundu skaitu mēnesī;
52.2.4. plānoto iezīmēto (marķēto) naftas produktu vidējo patēriņu mēnesī;
52.2.5. maksimālo iezīmēto (marķēto) naftas produktu patēriņu (litros), kas aprēķināts saskaņā ar attiecīgās iekārtas vai tehnikas tehniskās dokumentācijas datiem un tās maksimālo darbināšanas laiku gadā;
52.3. izmantojamās iekārtas vai tehnikas tehnisko dokumentāciju, kas pamato šo noteikumu 52.2.apakšpunktā minēto ziņu patiesumu;
52.4. attiecīgajā iekārtā vai tehnikā izmantojamo iezīmēto (marķēto) naftas produktu kopējo daudzumu (litros), kas aprēķināts, izmantojot šo noteikumu 52.2.apakšpunktā minētās ziņas;
52.5. ja patērējamo iezīmēto (marķēto) naftas produktu daudzums pārsniedz 7000 litru gadā:
52.5.1. dokumentus, kuri apliecina, ka iesniegumā minētās tvertnes ir aprīkotas ar skaitītāju, kas nodrošina izmantojamo iezīmēto (marķēto) naftas produktu patēriņa summāru un neanulējamu uzskaiti;
52.5.2. un iezīmētos (marķētos) naftas produktus uzglabā tvertnēs, kas saslēgtas tehnoloģiski vienotā sistēmā, – dokumentus, kas apliecina, ka tā tehnoloģiski vienotās sistēmas tvertne, kura savienota ar attiecīgo sadedzināšanas iekārtu, ir aprīkota ar skaitītāju, kas nodrošina izmantojamo iezīmēto (marķēto) naftas produktu patēriņa summāru un neanulējamu uzskaiti;
52.5.3. un skaitītājs nav oriģināla attiecīgās sadedzināšanas iekārtas vai iezīmēto (marķēto) naftas produktu uzglabāšanas tvertnes daļa vai tehnoloģiski vienotās sistēmas tvertnes daļa, kura savienota ar attiecīgo sadedzināšanas iekārtu, bet ir uzstādīts atsevišķi, – skaitītāja tehniskās pases kopiju;
52.6. dokumentu, kas apliecina iesniegumā minēto tvertņu tilpumu.
53. Lietotājs iezīmētos (marķētos) naftas produktus vai eļļas atkritumus uzglabā tikai izziņā norādītajās vietās un tvertnēs.
54. Iesniedzot iesniegumu, lai saņemtu vai pārreģistrētu izziņu iezīmēto (marķēto) naftas produktu iegādei vai izziņu eļļas atkritumu iegādei, un tam pievienotos dokumentus, lietotājs uzrāda personu apliecinošu dokumentu.
55. Apkurei nepieciešamo iezīmēto (marķēto) naftas produktu vai eļļas atkritumu daudzumu fiziskās personas aprēķina, izmantojot vienu no šādām metodēm:
55.1. pirmā metode:
55.1.1. aprēķina iezīmēto (marķēto) naftas produktu vai eļļas atkritumu daudzumu apkurei (B1), izmantojot šādu formulu:
q – projektā paredzētais siltumenerģijas patēriņš (kWh/m2 gadā) ēkām, kurām ir siltumapgādes projekts, vai 192 kWh/m2 gadā ēkām, kurām nav siltumapgādes projekta (pieņemtā siltumenerģijas patēriņa norma gadā);
F – apkurināmo telpu platība (m2);
Qzd – iezīmēto (marķēto) naftas produktu zemākais sadegšanas siltums 41160–42840 kJ/kg (eļļas atkritumiem atbilstoši iesniegumā norādītajam zemākajam sadegšanas siltumam kJ/kg);
– apkures iekārtas lietderības
koeficients;
p – iezīmēto (marķēto) naftas produktu blīvums 0,85 kg/l (eļļas atkritumiem – atbilstoši iesniegumā norādītajam blīvumam kg/l);
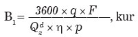
55.1.2. aprēķina iezīmēto (marķēto) naftas produktu vai eļļas atkritumu daudzumu karstā ūdens apgādei (B2), izmantojot šādu formulu:
n – karstā ūdens izmantotāju skaits;
qn – 0,1 m3 ūdens diennaktī vienam iedzīvotājam;
cv – siltuma daudzums, kas nepieciešams, lai uzsildītu 1 m3 ūdens par 1°C, 4200 kJ/(m3 x °C);
tk – karstā ūdens normatīvā temperatūra 50 °C;
ta.vid. – aukstā ūdens gada vidējā normatīvā temperatūra 10 °C;
Qzd – iezīmēto (marķēto) naftas produktu zemākais sadegšanas siltums 41160–42840 kJ/kg (eļļas atkritumiem – atbilstoši iesniegumā norādītajam zemākajam sadegšanas siltumam kJ/kg);
– apkures iekārtas lietderības
koeficients;
p – iezīmēto (marķēto) naftas produktu blīvums 0,85 kg/l (eļļas atkritumiem – atbilstoši iesniegumā norādītajam blīvumam kg/l);
55.1.3. aprēķina kopējo iezīmēto (marķēto) naftas produktu vai eļļas atkritumu daudzumu, izmantojot šādu formulu:
B = B1 + B2;
55.2. otrā metode:
55.2.1. aprēķina iezīmēto (marķēto) naftas produktu vai eļļas atkritumu daudzumu apkurei (Bapk.), izmantojot šādu formulu:
Vā – ēkas apsildāmās daļas ārējais tilpums (m3);
qa – īpatnējā siltuma patēriņa skaitlis apkurei 1,764 kJ/m3 °C;
a – korekcijas koeficients 1,1–1,25;
tiekš .– telpu vidējā iekšējā aprēķina temperatūra – plus 20 °C;
tārg. – ārgaisa aprēķina temperatūra – mīnus 20 °C;
kt – vidējās temperatūras koeficients apkures sezonā 0,51;
N – apkures sezonas dienu skaits (210 dienu);
n – apkures ilgums diennaktī (stundas);
Qzd – iezīmēto (marķēto) naftas produktu zemākais sadegšanas siltums 41160–42840 kJ/kg (eļļas atkritumiem – atbilstoši iesniegumā norādītajam zemākajam sadegšanas siltumam kJ/kg);
– apkures iekārtas lietderības
koeficients;
p – iezīmēto (marķēto) naftas produktu blīvums 0,85 kg/l (eļļas atkritumiem – atbilstoši iesniegumā norādītajam blīvumam kg/l);
55.2.2. aprēķina iezīmēto (marķēto) naftas produktu vai eļļas atkritumu daudzumu karstā ūdens apgādei (Bk.ūd.), izmantojot šādu formulu:
n – karstā ūdens izmantotāju skaits;
qn – 0,1 m3 ūdens diennaktī vienam iedzīvotājam;
cv – siltuma daudzums, kas nepieciešams, lai uzsildītu 1 m3 ūdens par 1 °C, 4200 kJ/(m3 x °C);
tk – karstā ūdens normatīvā temperatūra 50 °C;
ta.vid .– aukstā ūdens gada vidējā normatīvā temperatūra 10 °C;
Qzd – iezīmēto (marķēto) naftas produktu zemākais sadegšanas siltums 41160–42840 kJ/kg (eļļas atkritumiem – atbilstoši iesniegumā norādītajam zemākajam sadegšanas siltumam kJ/kg);
– apkures iekārtas lietderības
koeficients;
p – iezīmēto (marķēto) naftas produktu blīvums 0,85 kg/l (eļļas atkritumiem – atbilstoši iesniegumā norādītajam blīvumam kg/l);
55.2.3. aprēķina kopējo iezīmēto (marķēto) naftas produktu vai eļļas atkritumu daudzumu, izmantojot šādu formulu:
B = Bapk. +B k.ūd.
56. Ja lietotājs nav fiziskā persona, siltuma enerģijas ieguvei produkcijas ražošanas (pārstrādes) tehnoloģiskajā procesā nepieciešamos iezīmētos (marķētos) naftas produktus vai eļļas atkritumus aprēķina, izmantojot vienu no šādām metodēm:
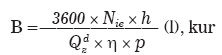
56.1. pēc iekārtas nominālās jaudas:
Nie – iekārtas nominālā jauda (kW);
h – plānotais iekārtu darbības laiks (stundās);
Qzd – iezīmēto (marķēto) naftas produktu zemākais sadegšanas siltums 41160–42840 kJ/kg (eļļas atkritumiem – atbilstoši iesniegumā norādītajam zemākajam sadegšanas siltumam kJ/kg);
– apkures iekārtas lietderības
koeficients;
p – iezīmēto (marķēto) naftas produktu blīvums 0,85 kg/l (eļļas atkritumiem – atbilstoši iesniegumā norādītajam blīvumam kg/l);
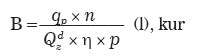
56.2. pēc nepieciešamā siltuma uz saražotā produkta vienību:
qp – siltuma daudzums, kas nepieciešams produkta vienības saražošanai pēc tehnoloģiskajā procesā norādītajiem tehniskajiem datiem (kJ);
n – plānotais saražotās produkcijas vienību daudzums;
Qzd – iezīmēto (marķēto) naftas produktu zemākais sadegšanas siltums 41160–42840 kJ/kg (eļļas atkritumiem – atbilstoši iesniegumā norādītajam zemākajam sadegšanas siltumam kJ/kg);
– apkures iekārtas lietderības
koeficients;
p – iezīmēto (marķēto) naftas produktu blīvums 0,85 kg/l (eļļas atkritumiem – atbilstoši iesniegumā norādītajam blīvumam kg/l).
57. Izziņu iezīmēto (marķēto) naftas produktu iegādei vai izziņu eļļas atkritumu iegādei izsniedz par katru adresi, kurā iezīmētie (marķētie) naftas produkti vai eļļas atkritumi tiks uzglabāti un izmantoti.
58. Izziņā iezīmēto (marķēto) naftas produktu iegādei vai izziņā eļļas atkritumu iegādei norāda informāciju saskaņā ar šo noteikumu 6., 7., 8., 9. vai 10.pielikumu.
59. Šo noteikumu 58.punktā minētajos pielikumos norādīto saņemto iezīmēto (marķēto) naftas produktu vai eļļas atkritumu uzskaites tabulu aizpilda piegādātājs. Ja lietotājs iezīmētos (marķētos) naftas produktus vai eļļas atkritumus ieved Latvijas Republikā atbilstoši šo noteikumu 85.punktam vai saņem no lietotāja, kas pārvieto vai realizē naftas produktu atlikumus saskaņā ar Valsts ieņēmumu dienesta iestādes izsniegto atļauju naftas produktu atlikumu pārvietošanai vai realizācijai, saņemto iezīmēto (marķēto) naftas produktu vai eļļas atkritumu uzskaites tabulu aizpilda lietotājs.
60. Ja mainās izziņā iezīmēto (marķēto) naftas produktu iegādei vai izziņā eļļas atkritumu iegādei norādītie rekvizīti, 10 darbdienu laikā pēc attiecīgo nosacījumu iestāšanās lietotājs Valsts ieņēmumu dienesta iestādē iesniedz pārreģistrācijas iesniegumu, izziņu iezīmēto (marķēto) naftas produktu iegādei (oriģinālu) vai izziņu eļļas atkritumu iegādei (oriģinālu) un dokumentus, kas apliecina attiecīgās izmaiņas. Pārreģistrācijas iesniegumā norāda šādas ziņas:
60.1. izziņas iezīmēto (marķēto) naftas produktu iegādei vai izziņas eļļas atkritumu iegādei sērija un numurs;
60.2. lietotāja vārds, uzvārds un personas kods vai nosaukums un nodokļu maksātāja reģistrācijas kods;
60.3. izmaiņas izziņā iezīmēto (marķēto) naftas produktu iegādei vai izziņā eļļas atkritumu iegādei norādītajos rekvizītos un dokumentos, kas pievienoti iesniegumam izziņas iezīmēto (marķēto) naftas produktu iegādei vai izziņas eļļas atkritumu iegādei saņemšanai vai pārreģistrācijai, vai to derīguma laikā pievienotajos dokumentos;
60.4. pievienoto dokumentu saraksts;
60.5. iesnieguma iesniegšanas datums;
60.6. lietotāja vai atbildīgās personas paraksts un tā atšifrējums.
61. Ja mainās informācija, kas norādīta iesniegumā izziņas saņemšanai iezīmēto (marķēto) naftas produktu iegādei vai izziņas saņemšanai eļļas atkritumu iegādei vai tam pievienotajos dokumentos, lietotājs 10 darbdienu laikā pēc attiecīgo nosacījumu iestāšanās par to informē Valsts ieņēmumu dienesta iestādi un iesniedz izmaiņas apliecinoša dokumenta kopiju.
62. Lai atkārtoti saņemtu izziņu iezīmēto (marķēto) naftas produktu iegādei vai izziņu eļļas atkritumu iegādei, lietotājs iesniedz iesniegumu saskaņā ar šo noteikumu 1., 2., 3., 4. vai 5.pielikumu, iepriekš izsniegto izziņu iezīmēto (marķēto) naftas produktu iegādei vai izziņu eļļas atkritumu iegādei, kā arī informāciju par skaitītāja rādījumu un iezīmēto (marķēto) naftas produktu vai eļļas atkritumu atlikumu tvertnēs. Ja lietotājs nav fiziska persona, papildus iesniedz šo noteikumu 51.2. un 52.2.apakšpunktā minēto informāciju un informāciju par iepriekšējā laikposmā izlietoto iezīmēto (marķēto) naftas produktu vai eļļas atkritumu daudzumu litros. Ja mainījušies nosacījumi, kas minēti iepriekš izsniegtās izziņas saņemšanai iesniegtajā iesniegumā vai tam pievienotajos dokumentos, pievieno dokumentus, kas apstiprina jaunos nosacījumus.
63. Valsts ieņēmumu dienesta iestāde ir tiesīga neizsniegt vai nepārreģistrēt izziņu iezīmēto (marķēto) naftas produktu iegādei vai izziņu eļļas atkritumu iegādei, ja:
63.1. lietotājs pēc Valsts ieņēmumu dienesta rakstiska pieprasījuma iesniegumā nav norādījis visas šo noteikumu 50., 51. un 52.punktā minētās ziņas vai nav iesniedzis visus 50., 51. un 52.punktā minētos dokumentus;
63.2. lietotājs iesniegumā vai tam pievienotajos dokumentos ir sniedzis nepatiesas ziņas vai pievienotie dokumenti ir viltoti;
63.3. lietotājs gada laikā pirms iesnieguma iesniegšanas ir pārkāpis normatīvajos aktos par naftas produktu aprites kārtību vai šajos noteikumos noteiktās prasības.
64. Valsts ieņēmumu dienesta iestāde ir tiesīga anulēt izziņu iezīmēto (marķēto) naftas produktu iegādei vai izziņu eļļas atkritumu iegādei, ja:
64.1. saņemtais iezīmēto (marķēto) naftas produktu vai eļļas atkritumu daudzums pārsniedz attiecīgajā izziņā norādīto daudzumu;
64.2. lietotājs pēc Valsts ieņēmumu dienesta vai citas kontroles institūcijas amatpersonas atkārtota pieprasījuma nenodrošina iespēju veikt pārbaudi;
64.3. lietotājs iesniegumā vai tam pievienotajos dokumentos ir sniedzis nepatiesas ziņas vai pievienotie dokumenti ir viltoti;
64.4. lietotājs ir pārkāpis normatīvajos aktos par naftas produktu aprites kārtību vai šajos noteikumos noteiktās prasības.
65. Valsts ieņēmumu dienesta iestāde Administratīvā procesa likumā noteiktajā kārtībā izskata iesniegtos dokumentus un 10 darbdienu laikā pēc to saņemšanas izsniedz vai pārreģistrē izziņu iezīmēto (marķēto) naftas produktu iegādei vai izziņu eļļas atkritumu iegādei vai pieņem motivētu lēmumu atteikt tās izsniegšanu vai pārreģistrāciju.
66. Lēmumu neizsniegt, nepārreģistrēt vai anulēt izziņu iezīmēto (marķēto) naftas produktu iegādei vai izziņu eļļas atkritumu iegādei nosūta iesniedzējam 10 darbdienu laikā pēc lēmuma pieņemšanas.
67. Izziņas iezīmēto (marķēto) naftas produktu iegādei vai izziņas eļļas atkritumu iegādei oriģinālu glabā lietotājs iezīmēto (marķēto) naftas produktu vai eļļas atkritumu uzglabāšanas un izmantošanas vietā, un to uzrāda pēc Valsts ieņēmumu dienesta vai citu kontroles institūciju pieprasījuma.
68. Izziņas iezīmēto (marķēto) naftas produktu iegādei vai izziņas eļļas atkritumu iegādei oriģinālu aizliegts nodot trešo personu rīcībā.
69. Izziņu iezīmēto (marķēto) naftas produktu iegādei vai izziņu eļļas atkritumu iegādei 10 darbdienu laikā pēc tās derīguma termiņa beigām lietotājs iesniedz Valsts ieņēmumu dienesta iestādē (izņemot šo noteikumu 62.punktā minēto gadījumu).
70. Ja attiecīgajā izziņā norādītais iezīmēto (marķēto) naftas produktu vai eļļas atkritumu daudzums pārsniedz 7000 litru gadā, lietotājs informāciju par iezīmēto (marķēto) naftas produktu vai eļļas atkritumu daudzumu reģistrē iezīmēto (marķēto) naftas produktu vai attiecīgi eļļas atkritumu reģistrācijas žurnālā. Minētajā žurnālā norāda šādu informāciju:
70.1. saņemtais iezīmēto (marķēto) naftas produktu vai eļļas atkritumu daudzums (norāda iegādes datumu un degvielas pavadzīmes numuru vai regulā Nr.2719/92 vai regulā Nr.3649/92 minēto dokumentu numuru);
70.2. skaitītāja rādījumi par katru diennakti, ja attiecīgajā izziņā norādītais iezīmēto (marķēto) naftas produktu vai eļļas atkritumu daudzums pārsniedz 20000 litru gadā;
70.3. iezīmēto (marķēto) naftas produktu vai eļļas atkritumu patēriņš diennaktī, ja attiecīgajā izziņā norādītais iezīmēto (marķēto) naftas produktu vai eļļas atkritumu daudzums pārsniedz 20000 litru gadā;
70.4. summārais iezīmēto (marķēto) naftas produktu vai eļļas atkritumu patēriņš attiecīgās izziņas derīguma laikā.
71. Lietotājs veic uzskaiti, kas nodrošina Valsts ieņēmumu dienesta vai citu kontroles institūciju pilnvarotajām amatpersonām iespēju pārliecināties par iezīmēto (marķēto) naftas produktu vai eļļas atkritumu izlietojumu un atlikumu, tai skaitā par iezīmēto (marķēto) naftas produktu vai eļļas atkritumu patēriņu katrai iekārtas vai tehnikas vienībai, un veikt uzraudzību un kontroli atbilstoši kompetencei.
72. Iekārtas un tehniku, kuru tvertnēs atrodas iezīmētie (marķētie) naftas produkti, ko lietotājs iegādājies saskaņā ar likuma “Par nodokļu piemērošanu brīvostās un speciālajās ekonomiskajās zonās” 3.panta devīto daļu un kas nodrošina minēto iekārtu un tehnikas darbību, atļauts novietot un pārvietot tikai šo noteikumu 52.1.apakšpunktā deklarētajā teritorijā.
V. Naftas produkti, kurus piegādā un izmanto citiem mērķiem, nevis par degvielu vai kurināmo
73. Lai varētu piemērot likuma 18.panta pirmās daļas 1.punktā paredzēto nodokļa atbrīvojumu, par naftas produktiem, kurus izmanto citiem mērķiem, nevis par degvielu vai kurināmo, nepieciešams saņemt izziņu par tiesībām izmantot naftas produktus citiem mērķiem (turpmāk – izziņa naftas produktu izmantošanai citiem mērķiem).
74. Naftas produkti, kurus izmanto citiem mērķiem, nevis par degvielu vai kurināmo, ir tādi naftas produkti, kurus izmanto par izejvielu produkcijas ražošanas (pārstrādes) tehnoloģiskajā procesā, pievienojot (iestrādājot) citām precēm vai produktiem (izņemot naftas produktus), vai arī tādi fasēti naftas produkti, kas ir laku un krāsu šķīdinātāji, virsmas attaukošanas, mazgāšanas un tamlīdzīgi līdzekļi un kas nav paredzēti iekšdedzes dzinēju (ar dzirksteles aizdedzi un ar kompresijas aizdedzi) darbināšanai. Ja naftas produktus produkcijas ražošanas (pārstrādes) tehnoloģiskajā procesā saskaņā ar likumu izmanto par kurināmo, naftas produkti nav uzskatāmi par tādiem, kurus izmanto citiem mērķiem.
75. Naftas produktus, kurus paredzēts izmantot citiem mērķiem, nevis par degvielu vai kurināmo, attiecīgo naftas produktu piegādātājam un lietotājam ir atļauts uzglabāt tvertnēs, konteineros, slēgtās tilpnēs, cisternās, mucās vai tamlīdzīgā fasētā iepakojumā, kurā produkta daudzums nepārsniedz 1000 litru un kurš atbilst iepakojumu reglamentējošo normatīvo aktu, tehnisko noteikumu vai standartu prasībām.
76. Lietotājam, kurš neizmanto citu preču ražošanā, bet gan citiem mērķiem (izņemot par degvielu vai kurināmo) naftas produktus, kas atbilstoši iepakojumu reglamentējošo normatīvo aktu, tehnisko noteikumu vai standartu prasībām ir iepildīti slēgtā iepakojumā, sagatavoti realizācijai un nav paredzēti iekšdedzes dzinēju (ar dzirksteles aizdedzi un ar kompresijas aizdedzi) darbināšanai (piemēram, laku un krāsu šķīdinātājus, virsmas attaukošanas, mazgāšanas līdzekļus), un neatbilst Kombinētās nomenklatūras kodiem 2710 11 41, 2710 11 45, 2710 11 49, 2710 11 51, 2710 11 59, 2710 19 25, 2710 19 41, 2710 19 45 un 2710 19 61, ir tiesības veikt arī citas nepieciešamās darbības ar minētajiem naftas produktiem (piemēram, nosūtīt, realizēt), ja tas ir norādīts izziņā naftas produktu izmantošanai citiem mērķiem.
77. Izziņa naftas produktu izmantošanai citiem mērķiem nav nepieciešama par tiem naftas produktiem, kuri atbilst Kombinētās nomenklatūras kodiem 2710 11 21, 2710 11 25, 2710 19 29 vai kuri nav minēti šo noteikumu 41.punktā, ja tos piegādā un izmanto citiem mērķiem, nevis par degvielu vai kurināmo un ja tie atbilstoši tehnisko noteikumu vai standartu prasībām ir iepildīti slēgtā iepakojumā, kurā produkta daudzums nepārsniedz 250 litru, sagatavoti realizācijai un nav paredzēti iekšdedzes dzinēju (ar dzirksteles aizdedzi un ar kompresijas aizdedzi) darbināšanai.
78. Izziņu naftas produktu izmantošanai citiem mērķiem izsniedz uz gadu Valsts ieņēmumu dienesta iestāde, kurā lietotājs reģistrējies kā nodokļu maksātājs.
79. Lai saņemtu izziņu naftas produktu izmantošanai citiem mērķiem, lietotājs iesniedz Valsts ieņēmumu dienesta iestādē, kurā reģistrējies kā nodokļu maksātājs, iesniegumu saskaņā ar šo noteikumu 11.pielikumu. Iesniegumam pievieno šādus dokumentus:
79.1. tehnisko dokumentāciju, kas reglamentē tehnoloģiskā procesa norisi, kā arī norāda naftas produktu daudzumu, kas atbilstoši dokumentācijai ir nepieciešams, lai saražotu vienu gatavās produkcijas vienību;
79.2. ziņas par produkcijas veidu un daudzumu, kura ražošanai tiks izmantoti naftas produkti;
79.3. kopējā naftas produktu daudzuma aprēķinu noteiktā laikposmā (piemēram, mēnesī, gadā) saskaņā ar šo noteikumu 79.1. un 79.2.apakšpunktu;
79.4. produkcijas ražošanas un naftas produktu uzglabāšanas vietas lietošanas tiesības apliecinošos dokumentus;
79.5. teritorijas un telpu plānu;
79.6. dokumentu kopijas, kas apliecina tvertnes reģistrācijas datumu un numuru Valsts darba inspekcijā, tehniskās pārbaudes protokola (kas apliecina tvertnes lietošanu atbilstoši normatīvo aktu prasībām par uzliesmojošu, sprādzienbīstamu un kaitīgu vielu uzglabāšanas rezervuāru atbilstības novērtēšanu un tehnisko uzraudzību) numuru un derīguma termiņu, ja stacionārās tvertnes tilpums ir 1000 litru vai lielāks un ja naftas produktus uzglabā stacionārās tvertnēs;
79.7. iepriekš izsniegto izziņu naftas produktu izmantošanai citiem mērķiem, ja iesniegumu iesniedz atkārtoti.
80. Izziņu naftas produktu izmantošanai citiem mērķiem izsniedz par katru naftas produkta veidu. Izziņā norāda informāciju saskaņā ar šo noteikumu 12.pielikumu.
81. Šo noteikumu 12.pielikumā norādīto naftas produktu (arī iezīmēto (marķēto) naftas produktu) uzskaites tabulu aizpilda piegādātājs. Ja lietotājs naftas produktus ieved Latvijas Republikā atbilstoši šo noteikumu 85.punktam vai saņem no lietotāja, kas pārvieto vai realizē naftas produktu atlikumus saskaņā ar Valsts ieņēmumu dienesta iestādes izsniegto atļauju naftas produktu atlikumu pārvietošanai vai realizācijai, tabulu aizpilda lietotājs.
82. Ja mainās rekvizīti, kas norādīti izziņā naftas produktu izmantošanai citiem mērķiem, lietotājs 10 darbdienu laikā pēc attiecīgo nosacījumu iestāšanās iesniedz pārreģistrācijas iesniegumu, izziņu naftas produktu izmantošanai citiem mērķiem (oriģinālu) un dokumentus, kas apliecina attiecīgās izmaiņas. Pārreģistrācijas iesniegumā norāda:
82.1. izziņas naftas produktu izmantošanai citiem mērķiem sēriju un numuru;
82.2. lietotāja nosaukumu un nodokļu maksātāja reģistrācijas kodu;
82.3. izmaiņas izziņā naftas produktu izmantošanai citiem mērķiem norādītajos rekvizītos un dokumentos, kas pievienoti iesniegumam izziņas saņemšanai vai pārreģistrācijai, vai izziņas derīguma laikā pievienotajos dokumentos;
82.4. pievienoto dokumentu sarakstu;
82.5. iesnieguma iesniegšanas datumu;
82.6. lietotāja vai tā atbildīgās personas parakstu un tā atšifrējumu.
83. Ja mainās informācija, kas norādīta iesniegumā izziņas saņemšanai naftas produktu izmantošanai citiem mērķiem vai tam pievienotajos dokumentos, lietotājs 10 darbdienu laikā pēc attiecīgo nosacījumu iestāšanās par to informē Valsts ieņēmumu dienesta iestādi, kurā reģistrējies kā nodokļu maksātājs, un iesniedz izmaiņas apliecinoša dokumenta kopiju.
84. Iesniedzot iesniegumu, lai saņemtu vai pārreģistrētu izziņu naftas produktu izmantošanai citiem mērķiem, un tam pievienotos dokumentus, lietotājs uzrāda personu apliecinošu dokumentu.
85. Izziņas naftas produktu izmantošanai citiem mērķiem derīguma termiņa laikā lietotājs, nemaksājot nodokli, atbilstoši likumam drīkst ievest naftas produktus saskaņā ar šo noteikumu 39. un 43.punktu vai tos iegādāties (saņemt) tikai izziņā naftas produktu izmantošanai citiem mērķiem norādītajā daudzumā.
86. Valsts ieņēmumu dienesta iestāde, kurā lietotājs reģistrējies kā nodokļu maksātājs, ir tiesīga neizsniegt, nepārreģistrēt vai anulēt izziņu naftas produktu izmantošanai citiem mērķiem, ja:
86.1. lietotājs pēc Valsts ieņēmumu dienesta rakstiska pieprasījuma iesniegumā nav norādījis visu nepieciešamo informāciju vai nav iesniedzis visus šo noteikumu 79. vai 82.punktā minētos dokumentus;
86.2. lietotājs iesniegumā vai tam pievienotajos dokumentos ir sniedzis nepatiesas ziņas vai pievienotie dokumenti ir viltoti;
86.3. lietotājs nav ievērojis šo noteikumu 83.punktā minētās prasības;
86.4. lietotājs gada laikā pirms iesnieguma iesniegšanas ir pārkāpis normatīvajos aktos par naftas produktu aprites kārtību vai šajos noteikumos noteiktās prasības;
86.5. lietotājs pēc Valsts ieņēmumu dienesta vai citas kontroles institūcijas amatpersonas atkārtota pieprasījuma nenodrošina iespēju veikt pārbaudi;
86.6. saņemtais naftas produktu daudzums pārsniedz izziņā naftas produktu izmantošanai citiem mērķiem norādīto daudzumu.
87. Valsts ieņēmumu dienesta iestāde, kurā lietotājs reģistrējies kā nodokļu maksātājs, Administratīvā procesa likumā noteiktajā kārtībā izskata iesniegtos dokumentus un 10 darbdienu laikā pēc to saņemšanas izsniedz vai pārreģistrē izziņu naftas produktu izmantošanai citiem mērķiem vai pieņem motivētu lēmumu atteikt tās izsniegšanu vai pārreģistrāciju.
88. Lēmumu neizsniegt, nepārreģistrēt vai anulēt izziņu naftas produktu izmantošanai citiem mērķiem nosūta iesniedzējam 10 darbdienu laikā pēc lēmuma pieņemšanas.
89. Izziņas naftas produktu izmantošanai citiem mērķiem oriģinālu glabā lietotājs. Izziņā norādītajā naftas produktu izmantošanas un uzglabāšanas vietā (vietās) glabā komersanta apliecinātu izziņas kopiju. Izziņas naftas produktu izmantošanai citiem mērķiem oriģinālu vai komersanta apliecinātu kopiju uzrāda pēc kontroles institūciju pieprasījuma.
90. Izziņas naftas produktu iegādei oriģinālu aizliegts nodot trešo personu rīcībā.
91. Lietotājs izziņu naftas produktu izmantošanai citiem mērķiem 10 darbdienu laikā pēc tās derīguma termiņa beigām iesniedz Valsts ieņēmumu dienesta iestādē, kurā reģistrējies kā nodokļu maksātājs (izņemot šo noteikumu 79.7.apakšpunktā minēto gadījumu).
VI. Naftas produkti, kurus piegādā un izmanto kuģos un gaisa kuģos
92. Naftas produktus (arī likuma 18.panta trešajā daļā vai likuma “Par nodokļu piemērošanu brīvostās un speciālajās ekonomiskajās zonās” 3.panta 8.1 daļā minētos iezīmētos (marķētos) naftas produktus), kas paredzēti izmantošanai likuma 18.panta pirmās daļas 2. un 3.punktā vai likuma “Par nodokļu piemērošanu brīvostās un speciālajās ekonomiskajās zonās” 3.panta astotās daļas 1., 2. un 3.punktā minētajiem mērķiem, atbrīvo no nodokļa, ja tos izmanto tādos kuģos un gaisa kuģos, kurus izmanto nevis privātai atpūtai un izklaidei, bet komerciāliem nolūkiem vai citiem mērķiem (piemēram, starptautiskiem pasažieru vai preču pārvadājumiem, glābšanas dienestu darbībai, zivsaimniecības nodrošināšanai, kuģu būvēšanai, izmēģināšanai un uzturēšanai, kā arī kuģos un citos peldlīdzekļos, kurus izmanto ūdensceļu padziļināšanā un paplašināšanā).
93. Lai varētu saņemt naftas produktus (arī likuma 18.panta trešajā daļā vai likuma “Par nodokļu piemērošanu brīvostās un speciālajās ekonomiskajās zonās” 3.panta 8.1 daļā minētos iezīmētos (marķētos) naftas produktus) un izmantot tos likuma 18.panta pirmās daļas 2. un 3.punktā vai likuma “Par nodokļu piemērošanu brīvostās un speciālajās ekonomiskajās zonās” 3.panta astotās daļas 1., 2. un 3.punktā minētajiem mērķiem, naftas produktu lietotājs (saņēmējs) iesniedz piegādātājam (arī šo noteikumu 95.punktā minētajā gadījumā) rakstisku apliecinājumu, ka iegādātos naftas produktus izmantos kuģos un gaisa kuģos tikai likuma 18.panta pirmās daļas 2. vai 3.punktā vai likuma “Par nodokļu piemērošanu brīvostās un speciālajās ekonomiskajās zonās” 3.panta astotās daļas 1., 2. un 3.punktā minētajam mērķim. Ja lietotājs regulāri iegādājas naftas produktus no viena piegādātāja, rakstisku apliecinājumu iesniedz par paredzamo naftas produktu iegādes laikposmu, kas nav ilgāks par trim mēnešiem. Ja lietotāja valdījumā ir vairāki gaisa kuģi vai kuģi, iesniedz vienu rakstisku apliecinājumu, kurā tie norādīti. Rakstiskajam apliecinājumam nav atpakaļejoša spēka. Rakstisku apliecinājumu neiesniedz par tiem naftas produktiem, kurus izmanto kuģos un gaisa kuģos, kas veic starptautiskus pārvadājumus (arī starp dalībvalstīm).
94. Rakstiskajā apliecinājumā norāda vismaz šādas ziņas:
94.1. lietotāja pilns nosaukums;
94.2. lietotāja nodokļu maksātāja reģistrācijas kods;
94.3. lietotāja adrese, pasta indekss, tālruņa numurs;
94.4. gaisa kuģa vai kuģa, kurā tiks izmantoti naftas produkti, reģistrācijas numurs un vieta;
94.5. izmantošanas mērķi, ja iezīmētie (marķētie) naftas produkti tiks izmantoti saskaņā ar likuma “Par nodokļu piemērošanu brīvostās un speciālajās ekonomiskajās zonās” 3.panta astotās daļas 2.punktu;
94.6. naftas produktu iegādes datums vai laikposms (kas nav ilgāks par trim mēnešiem), par kādu iesniedz rakstisku apliecinājumu, ja naftas produktus iegādājas regulāri no konkrēta piegādātāja;
94.7. rakstiskā apliecinājuma izrakstīšanas datums;
94.8. atbildīgā persona (paraksts un tā atšifrējums), zīmogs.
95. Iezīmētos (marķētos) naftas produktus kuģiem atļauts piegādāt no tādām degvielas uzpildes stacijām, kuras ir īpaši aprīkotas kuģu apgādei.
96. Degvielas uzpildes stacija, kas ir īpaši aprīkota kuģu apgādei un piegādā naftas produktus atbilstoši likuma 18.panta pirmās daļas 3.punktā vai likuma “Par nodokļu piemērošanu brīvostās un speciālajās ekonomiskajās zonās” 3.panta astotās daļas 1. un 3.punktā minētajam mērķim, nodrošina iezīmētu (marķētu) naftas produktu atsevišķu uzskaiti, uzglabāšanu un realizāciju.
97. Komersants, kurš naftas produktus kuģiem piegādā no degvielas uzpildes stacijām, kas ir īpaši aprīkotas kuģu apgādei, ievēro kārtību, kāda noteikta normatīvajos aktos, kas regulē naftas produktu (degvielas) apriti, ja šajos noteikumos nav noteikts citādi.
98. Degvielas uzpildes stacija, kas ir īpaši aprīkota kuģu apgādei un piegādā naftas produktus atbilstoši likuma 18.panta pirmās daļas 3.punktā vai likuma “Par nodokļu piemērošanu brīvostās un speciālajās ekonomiskajās zonās” 3.panta astotās daļas 1. un 3.punktā minētajam mērķim, par naftas produktiem uzskaites dokumentos norāda šādas ziņas:
98.1. saņemto un piegādāto naftas produktu daudzums;
98.2. kuģu reģistrācijas numurs un reģistrācijas vieta;
98.3. vai naftas produkti ir iezīmēti (marķēti);
98.4. naftas produktu izmantošanas mērķis;
98.5. naftas produktu piegādes (realizācijas) datums.
99. Komersants, kas piegādā naftas produktus kuģiem no degvielas uzpildes stacijām, kas ir īpaši aprīkotas kuģu apgādei, papildus normatīvajos aktos noteiktajam pārskatam par naftas produktu (degvielas) apriti Valsts ieņēmumu dienestā rakstiski iesniedz informāciju par iepriekšējā mēnesī piegādātajiem (realizētajiem) naftas produktiem atbilstoši likuma 18.panta pirmās daļas 3.punktā vai likuma “Par nodokļu piemērošanu brīvostās un speciālajās ekonomiskajās zonās” 3.panta astotās daļas 1. un 3.punktā minētajam mērķim, norādot:
99.1. saņemto un piegādāto naftas produktu daudzumu;
99.2. kuģu reģistrācijas numuru un reģistrācijas vietu;
99.3. vai naftas produkti ir iezīmēti (marķēti);
99.4. naftas produktu izmantošanas mērķi.
VII. Naftas produkti, kurus piegādā un izmanto koksa ķīmiskajai apstrādei
100. Lai naftas produktus (arī likuma 18.panta trešajā daļā minētos iezīmētos (marķētos) naftas produktus) varētu izmantot likuma 18.panta pirmās daļas 5.punktā noteiktajam mērķim – ķīmiskās apstrādes procesā pievienot koksam, ko izmanto par kurināmo, lietotājs saņem izziņu par atļauju iegādāties naftas produktus (turpmāk – izziņa naftas produktu izmantošanai koksa ķīmiskajai apstrādei).
101. Izziņu naftas produktu izmantošanai koksa ķīmiskajai apstrādei uz gadu izsniedz Valsts ieņēmumu dienesta iestāde, kurā lietotājs reģistrējies kā nodokļu maksātājs.
102. Lai saņemtu izziņu naftas produktu izmantošanai koksa ķīmiskajai apstrādei, lietotājs iesniedz Valsts ieņēmumu dienesta iestādē, kurā reģistrējies kā nodokļu maksātājs, iesniegumu saskaņā ar šo noteikumu 13.pielikumu. Iesniegumam pievieno šādus dokumentus:
102.1. tās tehnoloģiskās iekārtas tehniskās pases kopiju, kura ķīmiskās apstrādes procesā nodrošina naftas produktu pievienošanu koksam;
102.2. informāciju par tehnoloģisko iekārtu, kura ķīmiskās apstrādes procesā nodrošina naftas produktu pievienošanu koksam:
102.2.1. iekārtas veids;
102.2.2. iekārtas jauda;
102.2.3. maksimālais darbināšanas laiks pārskata periodā (stundās);
102.2.4. iepriekšējā laikposmā izlietoto naftas produktu daudzums (litros);
102.3. ķīmiskās apstrādes procesa tehnoloģisko aprakstu, ietverot ziņas par nepieciešamo naftas produktu daudzumu vienas vienības saražošanai;
102.4. naftas produktu kopējā daudzuma (litros) aprēķinu noteiktā laikposmā (piemēram, mēnesī, gadā), bet ne vairāk par gadā patērējamo daudzumu;
102.5. dokumentus, kuri apliecina valdījuma tiesības uz vietu, kur notiks ķīmiskās apstrādes process, kurā naftas produktus pievieno koksam, ko izmanto par kurināmo;
102.6. dokumentus, kas apliecina iesniegumā minēto tvertņu tilpumu;
102.7. ja skaitītājs, kas nodrošina naftas produktu summāru un neanulējamu uzskaiti, nav oriģināla attiecīgās naftas produktu uzglabāšanas tvertnes daļa vai tehnoloģiski vienotās sistēmas tvertnes daļa, bet ir uzstādīts atsevišķi, – skaitītāja tehniskās pases kopiju.
103. Lietotājs naftas produktus (arī iezīmētos (marķētos) naftas produktus) uzglabā tikai tajās vietās un tvertnēs, kas norādītas izziņā naftas produktu izmantošanai koksa ķīmiskajai apstrādei. Tvertne vai viena no tehnoloģiski vienotās sistēmas tvertnēm ir aprīkota ar kalibrētu skaitītāju, kas nodrošina izmantojamo naftas produktu patēriņa summāru un neanulējamu uzskaiti.
104. Izziņu naftas produktu izmantošanai koksa ķīmiskajai apstrādei izsniedz par katru tās vietas adresi, kur notiks ķīmiskās apstrādes process, kurā naftas produktus pievieno koksam, ko izmanto par kurināmo, un kur atrodas normatīvajiem aktiem atbilstošās tvertnes, kurās uzglabā naftas produktus un kuras ir savienotas ar attiecīgo tehnoloģisko iekārtu, kas nodrošina ķīmiskās apstrādes procesā naftas produktu pievienošanu koksam. Izziņā naftas produktu izmantošanai koksa ķīmiskajai apstrādei norāda informāciju saskaņā ar šo noteikumu 14.pielikumu.
105. Ja mainās rekvizīti, kas norādīti izziņā naftas produktu izmantošanai koksa ķīmiskajai apstrādei, lietotājs 10 darbdienu laikā pēc attiecīgo nosacījumu iestāšanās iesniedz pārreģistrācijas iesniegumu, izziņu naftas produktu izmantošanai koksa ķīmiskajai apstrādei (oriģinālu) un dokumentus, kas apliecina attiecīgās izmaiņas. Pārreģistrācijas iesniegumā norāda:
105.1. izziņas naftas produktu izmantošanai koksa ķīmiskajai apstrādei sēriju un numuru;
105.2. lietotāja nosaukumu un nodokļu maksātāja reģistrācijas kodu;
105.3. izmaiņas izziņā naftas produktu izmantošanai koksa ķīmiskajai apstrādei norādītajos rekvizītos un dokumentos, kas pievienoti iesniegumam izziņas saņemšanai vai pārreģistrācijai, vai izziņas derīguma laikā pievienotajos dokumentos;
105.4. pievienoto dokumentu sarakstu;
105.5. iesnieguma iesniegšanas datumu;
105.6. lietotāja vai tā atbildīgās personas parakstu un tā atšifrējumu.
106. Ja mainās informācija, kas norādīta iesniegumā izziņas saņemšanai naftas produktu izmantošanai koksa ķīmiskajai apstrādei vai tam pievienotajos dokumentos, lietotājs 10 darbdienu laikā pēc attiecīgo nosacījumu iestāšanās par to informē Valsts ieņēmumu dienesta iestādi, kurā reģistrējies kā nodokļu maksātājs, un iesniedz izmaiņas apliecinoša dokumenta kopiju.
107. Lai atkārtoti saņemtu izziņu naftas produktu izmantošanai koksa ķīmiskajai apstrādei, lietotājs iesniedz šo noteikumu 102.punktā minēto iesniegumu, iepriekš izsniegto izziņu naftas produktu izmantošanai koksa ķīmiskajai apstrādei, informāciju par kalibrēta skaitītāja rādījumu un naftas produktu atlikumu tvertnē, kā arī šo noteikumu 102.2.apakšpunktā minēto informāciju. Ja mainījušies nosacījumi, kas minēti iepriekš izsniegtās izziņas saņemšanai iesniegtajā iesniegumā vai tam pievienotajos dokumentos, pievieno dokumentus, kas apstiprina jaunos nosacījumus.
108. Iesniedzot iesniegumu, lai saņemtu vai pārreģistrētu izziņu naftas produktu izmantošanai koksa ķīmiskajai apstrādei, un tam pievienotos dokumentus, lietotājs uzrāda personu apliecinošu dokumentu.
109. Valsts ieņēmumu dienesta iestāde, kurā lietotājs reģistrējies kā nodokļu maksātājs, ir tiesīga neizsniegt, nepārreģistrēt vai anulēt izziņu naftas produktu izmantošanai koksa ķīmiskajai apstrādei, ja:
109.1. lietotājs pēc Valsts ieņēmumu dienesta rakstiska pieprasījuma iesniegumā nav norādījis visas šo noteikumu 102. vai 107.punktā minētās ziņas vai nav iesniedzis visus šo noteikumu 102. vai 107.punktā minētos dokumentus;
109.2. lietotājs iesniegumā vai tam pievienotajos dokumentos ir sniedzis nepatiesas ziņas vai pievienotie dokumenti ir viltoti;
109.3. lietotājs nav ievērojis šo noteikumu 106.punktā minētās prasības;
109.4. lietotājs gada laikā pirms iesnieguma iesniegšanas ir pārkāpis normatīvajos aktos par naftas produktu aprites kārtību vai šajos noteikumos noteiktās prasības;
109.5. lietotājs pēc Valsts ieņēmumu dienesta vai citas kontroles institūcijas amatpersonas atkārtota pieprasījuma nenodrošina iespēju veikt pārbaudi;
109.6. saņemtais naftas produktu daudzums pārsniedz izziņā naftas produktu izmantošanai koksa ķīmiskajai apstrādei norādīto daudzumu.
110. Valsts ieņēmumu dienesta iestāde, kurā lietotājs reģistrējies kā nodokļu maksātājs, Administratīvā procesa likumā noteiktajā kārtībā izskata iesniegtos dokumentus un 10 darbdienu laikā pēc to saņemšanas izsniedz vai pārreģistrē izziņu naftas produktu izmantošanai koksa ķīmiskajai apstrādei vai pieņem motivētu lēmumu atteikt tās izsniegšanu vai pārreģistrāciju.
111. Lēmumu neizsniegt, nepārreģistrēt vai anulēt izziņu naftas produktu izmantošanai koksa ķīmiskajai apstrādei nosūta iesniedzējam 10 darbdienu laikā pēc lēmuma pieņemšanas.
112. Šo noteikumu 14.pielikumā norādīto naftas produktu (arī iezīmēto (marķēto) naftas produktu) uzskaites tabulu aizpilda piegādātājs. Ja lietotājs naftas produktus ieved Latvijas Republikā atbilstoši šo noteikumu 85.punktam vai saņem no lietotāja, kas pārvieto vai realizē naftas produktu atlikumus saskaņā ar Valsts ieņēmumu dienesta iestādes izsniegto atļauju naftas produktu atlikumu pārvietošanai vai realizācijai, tabulu aizpilda lietotājs.
113. Izziņu naftas produktu izmantošanai koksa ķīmiskajai apstrādei glabā lietotājs izziņā norādītajā naftas produktu uzglabāšanas un izmantošanas vietā, un to uzrāda pēc kontroles institūciju pieprasījuma.
114. Izziņas naftas produktu izmantošanai koksa ķīmiskajai apstrādei oriģinālu aizliegts nodot trešo personu rīcībā.
115. Lietotājs izziņu naftas produktu izmantošanai koksa ķīmiskajai apstrādei 10 darbdienu laikā pēc tās derīguma termiņa beigām iesniedz Valsts ieņēmumu dienesta iestādē, kurā reģistrējies kā nodokļu maksātājs (izņemot šo noteikumu 107.punktā minēto gadījumu).
VIII. Naftas produktu aprites papildu nosacījumi
116. Piegādātājs ir atbildīgs par nodokļa samaksu par naftas produktiem un šo noteikumu prasību izpildi attiecībā uz naftas produktu piegādi.
117. Personām, kuras veic darbības (komercdarbību) ar šajos noteikumos minētajiem naftas produktiem (arī ar iezīmētajiem (marķētajiem) naftas produktiem), ir saistoši akcīzes preču apriti un akcīzes nodokļa piemērošanu reglamentējošie normatīvie akti.
118. Iezīmēto (marķēto) naftas produktu realizācijas vietās par attiecīgo naftas produktu atbilstību šo noteikumu 25.punktā noteiktajām prasībām nepieciešams apliecinājuma dokuments vai tā notariāli apliecināta kopija.
119. Valsts ieņēmumu dienests un citas kontroles institūcijas atbilstoši kompetencei ir tiesīgas pārbaudīt, vai lietotāja valdījumā esošās šajos noteikumos minētās iekārtas atbilst lietotāja iesniegtajiem dokumentiem, kā arī pārbaudīt lietotāja valdījumā esošās tvertnes, kurās uzglabā naftas produktus (arī iezīmētos (marķētos) naftas produktus), un šajos noteikumos minētos skaitītājus, kas nodrošina izmantojamo naftas produktu patēriņa summāru un neanulējamu uzskaiti.
120. Šajos noteikumos minēto naftas produktu (arī iezīmēto (marķēto) naftas produktu) apriti (arī to ievešanu Latvijas Republikā), kā arī naftas produktu iezīmēšanu (marķēšanu) kontrolē Valsts ieņēmumu dienests.
121. Valsts ieņēmumu dienests un citas kontroles institūcijas atbilstoši kompetencei organizē mehānisko transportlīdzekļu pārbaudi. No attiecīgo mehānisko transportlīdzekļu degvielas sistēmas (arī no degvielas tvertnes) paņem degvielas paraugus un pārbauda, vai transportlīdzekļu dzinējos par degvielu neizmanto iezīmētos (marķētos) naftas produktus. Šajā gadījumā par iezīmētajiem (marķētajiem) naftas produktiem ir uzskatāmi arī tādi naftas produkti, kas neatbilst šo noteikumu 25.punktam, bet šajos naftas produktos ir konstatēta šo noteikumu 25.punktā minēto vielu klātbūtne.
122. Naftas produktus, kuri neatbilst šo noteikumu 25.punkta prasībām, bet satur šo noteikumu 26. un 27.punktā minētās vielas, aizliegts realizēt šādiem mērķiem:
122.1. tālākai realizācijai;
122.2. izmantošanai par degvielu.
123. Ja izziņa iezīmēto (marķēto) naftas produktu iegādei (izmantošanai par kurināmo), izziņa eļļas atkritumu iegādei (izmantošanai par kurināmo), izziņa par tiesībām iegādāties iezīmētos (marķētos) naftas produktus (izmantošanai brīvostās un speciālajās ekonomiskajās zonās), izziņa naftas produktu izmantošanai citiem mērķiem vai izziņa naftas produktu iegādei izmantošanai koksa ķīmiskajai apstrādei (turpmāk – izziņa) ir zaudējusi spēku vai ir anulēta, naftas produktu atlikumus drīkst realizēt vai pārvietot no izziņā norādītās naftas produktu uzglabāšanas vietas tikai ar Valsts ieņēmumu dienesta iestādes (kas izsniegusi izziņu) atļauju naftas produktu atlikumu pārvietošanai vai realizācijai. Atļauju izsniedz, pamatojoties uz iesniegumu, kurā norādīta šāda informācija:
123.1. lietotāja nosaukums (fiziskām personām – vārds, uzvārds);
123.2. nodokļu maksātāja reģistrācijas kods (fiziskām personām – personas kods);
123.3. izziņas veids un numurs;
123.4. naftas produktu veids un Kombinētās nomenklatūras kods;
123.5. naftas produktu daudzums;
123.6. naftas produktu uzglabāšanas vietas adrese;
123.7. informācija par naftas produktu saņēmēju (nosaukums (fiziskām personām – vārds, uzvārds), nodokļu maksātāja reģistrācijas kods (fiziskām personām – personas kods), izziņas veids, numurs un derīguma termiņš);
123.8. iesnieguma iesniegšanas datums;
123.9. atbildīgās personas paraksts un tā atšifrējums.
124. Šo noteikumu 123.punktā minētajam iesniegumam pievieno naftas produktu iegādi apliecinoša dokumenta kopiju, kuru apliecinājis lietotājs, uzrādot oriģinālu, un dokumentus, kas pamato plānotās darbības ar naftas produktiem (piemēram, līgums par naftas produktu realizāciju).
125. Valsts ieņēmumu dienesta iestāde, kas izsniegusi izziņu, Administratīvā procesa likumā noteiktajā kārtībā izskata iesniegtos dokumentus un 10 darbdienu laikā pēc to saņemšanas izsniedz atļauju naftas produktu atlikumu pārvietošanai vai realizācijai vai pieņem motivētu lēmumu atteikt tās izsniegšanu. Lēmumu par atteikumu izsniegt atļauju naftas produktu atlikumu pārvietošanai vai realizācijai nosūta iesniedzējam 10 darbdienu laikā pēc lēmuma pieņemšanas.
126. Atļaujā naftas produktu atlikumu pārvietošanai vai realizācijai norāda šo noteikumu 15.pielikumā minēto informāciju. Atļauju izsniedz divos eksemplāros. Pirmais eksemplārs paredzēts lietotājam, kuram izsniegta atļauja naftas produktu atlikumu pārvietošanai vai realizācijai, otro eksemplāru lietotājs, kuram izsniegta atļauja naftas produktu atlikumu pārvietošanai vai realizācijai, nodod lietotājam, kas saņem naftas produktus.
127. Valsts ieņēmumu dienesta iestāde ir tiesīga neizsniegt atļauju naftas produktu atlikumu pārvietošanai vai realizācijai, ja:
127.1. iesniegumā vai tam pievienotajos dokumentos ir sniegtas nepatiesas ziņas vai pievienotie dokumenti ir viltoti;
127.2. pēc Valsts ieņēmumu dienesta iestādes pieprasījuma nav iesniegta visa šajos noteikumos noteiktā iesniegumā norādāmā informācija un tam pievienojamie dokumenti;
127.3. naftas produktu saņēmējs nav tiesīgs iegādāties vai saņemt iesniegumā atļaujas saņemšanai norādīto attiecīgo naftas produktu veidu vai daudzumu.
128. Ja šo noteikumu 123.punktā minētajā gadījumā naftas produktus pārvieto:
128.1. fiziska persona, kas nav komersants, par naftas produktu pārvietošanas dokumentu izmanto atļauju naftas produktu atlikumu pārvietošanai vai realizācijai;
128.2. lietotājs, kas nav fiziska persona, degvielas pavadzīmē papildus norāda Valsts ieņēmumu dienesta iestādi, kas izsniegusi atļauju naftas produktu atlikumu pārvietošanai vai realizācijai, atļaujas numuru un izdošanas datumu.
129. Lietotājs, kas saņēmis naftas produktus saskaņā ar atļauju naftas produktu atlikumu pārvietošanai vai realizācijai, uz atļaujas abiem eksemplāriem apliecina naftas produktu saņemšanu saskaņā ar šo noteikumu 15.pielikumu.
IX. Noslēguma jautājumi
130. Šo noteikumu 12., 13., 14., 15., 16., 17., 18. un 70.punkta nosacījumi piemērojami arī, ja līdz likumā “Par nodokļiem un nodevām” noteiktajam termiņam izmanto stingrās uzskaites preču pavadzīmes-rēķinus naftas produktiem (degvielai).
131. Izziņas, kas izsniegtas saskaņā ar Ministru kabineta 2005.gada 28.jūnija noteikumiem Nr.485 “Kārtība, kādā atsevišķiem naftas produktiem piemēro samazinātu akcīzes nodokļa likmi vai atbrīvojumu no akcīzes nodokļa”, ir spēkā līdz tajās norādītā derīguma termiņa beigām.
Informatīva atsauce uz Eiropas Savienības direktīvu
Noteikumos iekļautas tiesību normas, kas izriet no Padomes 2003.gada 27.oktobra Direktīvas 2003/96/EK, kas pārkārto Kopienas noteikumus par nodokļu uzlikšanu energoproduktiem un elektroenerģijai.
Ministru prezidents A.Kalvītis
Finanšu ministra vietā – reģionālās attīstības un pašvaldību lietu ministrs A. Štokenbergs
Redakcijas piebilde: noteikumi stājas spēkā ar 2007.gada 17.augustu.
1.pielikums
Ministru kabineta
2007.gada 31.jūlija noteikumiem Nr.525
Finanšu ministra vietā – reģionālās attīstības un pašvaldību lietu ministrs A. Štokenbergs
2.pielikums
Ministru kabineta
2007.gada 31.jūlija noteikumiem Nr.525
Finanšu ministra vietā – reģionālās attīstības un pašvaldību lietu ministrs A. Štokenbergs
3.pielikums
Ministru kabineta
2007.gada 31.jūlija noteikumiem Nr.525
Finanšu ministra vietā – reģionālās attīstības un pašvaldību lietu ministrs A. Štokenbergs
4.pielikums
Ministru kabineta
2007.gada 31.jūlija noteikumiem Nr.525
Finanšu ministra vietā – reģionālās attīstības un pašvaldību lietu ministrs A. Štokenbergs
5.pielikums
Ministru kabineta
2007.gada 31.jūlija noteikumiem Nr.525
Finanšu ministra vietā – reģionālās attīstības un pašvaldību lietu ministrs A. Štokenbergs
6.pielikums
Ministru kabineta
2007.gada 31.jūlija noteikumiem Nr.525
Finanšu ministra vietā – reģionālās attīstības un pašvaldību lietu ministrs A. Štokenbergs
7.pielikums
Ministru kabineta
2007.gada 31.jūlija noteikumiem Nr.525
Finanšu ministra vietā – reģionālās attīstības un pašvaldību lietu ministrs A. Štokenbergs
8.pielikums
Ministru kabineta
2007.gada 31.jūlija noteikumiem Nr.525
Finanšu ministra vietā – reģionālās attīstības un pašvaldību lietu ministrs A. Štokenbergs
9.pielikums
Ministru kabineta
2007.gada 31.jūlija noteikumiem Nr.525
Finanšu ministra vietā – reģionālās attīstības un pašvaldību lietu ministrs A. Štokenbergs
10.pielikums
Ministru kabineta
2007.gada 31.jūlija noteikumiem Nr.525
Finanšu ministra vietā – reģionālās attīstības un pašvaldību lietu ministrs A. Štokenbergs
11.pielikums
Ministru kabineta
2007.gada 31.jūlija noteikumiem Nr.525
Finanšu ministra vietā – reģionālās attīstības un pašvaldību lietu ministrs A. Štokenbergs
12.pielikums
Ministru kabineta
2007.gada 31.jūlija noteikumiem Nr.525
Finanšu ministra vietā – reģionālās attīstības un pašvaldību lietu ministrs A. Štokenbergs
13.pielikums
Ministru kabineta
2007.gada 31.jūlija noteikumiem Nr.525
Finanšu ministra vietā – reģionālās attīstības un pašvaldību lietu ministrs A. Štokenbergs
14.pielikums
Ministru kabineta
2007.gada 31.jūlija noteikumiem Nr.525
Finanšu ministra vietā – reģionālās attīstības un pašvaldību lietu ministrs A. Štokenbergs
15.pielikums
Ministru kabineta
2007.gada 31.jūlija noteikumiem Nr.525
Finanšu ministra vietā – reģionālās attīstības un pašvaldību lietu ministrs A. Štokenbergs