
Ministru kabineta noteikumi Nr.175
Rīgā 2007.gada 13.martā (prot. Nr.18 6.§)
Noteikumi par Valsts kases pārvaldīšanā esošā fondētās pensijas kapitāla nodošanas konkursa noteikumiem, kapitāla nodošanas kārtību un termiņiem, kā arī kārtību, kādā fondēto pensiju shēmas līdzekļu pārvaldītāji atlīdzina ar kapitāla nodošanu saistītos izdevumus
Izdoti saskaņā ar Valsts fondēto pensiju likuma 16.panta otro daļu
I. Vispārīgie jautājumi
1. Noteikumi nosaka:
1.1. Valsts kases pārvaldīšanā esošā fondētās pensijas kapitāla nodošanas konkursa (turpmāk – konkurss) noteikumus, lai fondēto pensiju shēmas dalībnieku kontos reģistrēto fondētās pensijas kapitālu nodotu citiem līdzekļu pārvaldītājiem;
1.2. fondētās pensijas kapitāla nodošanas kārtību un termiņus;
1.3. kārtību, kādā fondēto pensiju shēmas līdzekļu pārvaldītāji atlīdzina Valsts sociālās apdrošināšanas aģentūrai (turpmāk – aģentūra) ar kapitāla nodošanu saistītos izdevumus.
2. Konkursu organizē Finanšu ministrija.
3. Pretendentu konkursa iesniegumus (turpmāk – iesniegums) izvērtē un lēmumu par konkursa uzvarētāju pieņem Finanšu ministrijas izveidota konkursa komisija. Konkursa komisijā iekļauj pārstāvjus no Finanšu ministrijas, Labklājības ministrijas, Finanšu un kapitāla tirgus komisijas, Konkurences padomes, Latvijas Komercbanku asociācijas un Tieslietu ministrijas.
II. Konkursa izsludināšana un iesniegumu iesniegšana
4. Finanšu ministrija līdz 2007.gada 3.augustam konkursu izsludina laikrakstā “Latvijas Vēstnesis”. Sludinājumā norāda prasības pretendentiem, iesniegumu iesniegšanas vietu un termiņu, kā arī papildu informācijas iegūšanas kārtību.
5. Iesniegumus konkursa komisijai iesniedz līdz 2007.gada 31.augustam plkst.10.00 aizvērtā un aizzīmogotā aploksnē. Uz aploksnes ir norāde “Iesniegums konkursam “Valsts kases pārvaldīšanā esošā fondētās pensijas kapitāla nodošana citiem līdzekļu pārvaldītājiem””, konkursa komisijas adrese, kā arī pretendenta nosaukums un adrese.
6. Konkursa komisijai ir pienākums pēc pieprasījuma pretendenta pilnvarotajam pārstāvim izsniegt apliecinājumu par dokumentu saņemšanu.
7. Iesniegumus, kas saņemti pēc noteiktā termiņa, konkursa komisija neizskata un neatvērtus atdod pretendenta pilnvarotajam pārstāvim vai nosūta pretendentam pa pastu.
8. Pēc iesniegumu iesniegšanas termiņa beigām katrs konkursa komisijas loceklis paraksta apliecinājumu, ka nav tādu apstākļu, kuru dēļ varētu uzskatīt, ka viņš ir ieinteresēts kāda pretendenta izvēlē vai darbībā. Ja šāds apliecinājums nav parakstīts, konkursa komisijas loceklis nedrīkst piedalīties turpmākajā konkursa komisijas darbā.
9. Iesniegumu paraksta pretendenta pārstāvis. Visas iesnieguma lapas cauršuj.
10. Iesniegums sastāv no:
10.1. pretendenta apliecinājuma (1.pielikums);
10.2. visu pretendenta pārvaldījumā esošo valsts fondēto pensiju shēmas līdzekļu ieguldījumu plānu 2006.gada pārskatiem, kuri sagatavoti saskaņā ar Finanšu un kapitāla tirgus komisijas noteikumiem par valsts fondēto pensiju shēmas ieguldījumu plānu gada pārskata sagatavošanu.
III. Prasības pretendentiem
11. Konkursā var piedalīties Latvijā reģistrēta ieguldījumu pārvaldes sabiedrība:
11.1. kura saņēmusi Finanšu un kapitāla tirgus komisijas licenci fondēto pensiju shēmas līdzekļu pārvaldīšanai un kuras licences darbība nav pārtraukta;
11.2. kurai iesnieguma iesniegšanas dienā ir vismaz divu gadu pieredze valsts fondēto pensiju shēmas līdzekļu pārvaldīšanā (skaitot no dienas, kad pretendents ar aģentūru noslēdzis līgumu par valsts fondēto pensiju shēmas līdzekļu pārvaldīšanu);
11.3. kuras pārvaldīšanā esošo valsts fondēto pensiju shēmas līdzekļu ieguldījumu plānu vēsturiskais ienesīgums (turpmāk – privāto pārvaldītāju vēsturiskais ienesīgums) nav mazāks par Valsts kases ieguldījumu plāna vēsturisko ienesīgumu.
12. Šo noteikumu izpratnē privāto pārvaldītāju vēsturiskais ienesīgums ir pretendenta pārvaldīšanā esošo valsts fondēto pensiju shēmas ieguldījumu plānu vidējais svērtais ienesīgums 2006.gadā (vai no plānu darbības sākuma līdz 2006.gada beigām, ja plāna darbība uzsākta vēlāk par 2006.gada 1.janvāri).
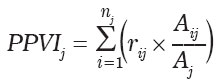
13. Privāto pārvaldītāju vēsturisko ienesīgumu aprēķina, izmantojot šādu formulu:
| , kur |
PPVIj – ieguldījumu pārvaldes sabiedrības j vidējais svērtais ienesīgums;
rij – ieguldījumu pārvaldes sabiedrības j ieguldījumu plāna i vēsturiskais ienesīgums (12 mēnešos vai no darbības sākuma);
nj – ieguldījumu pārvaldes sabiedrības j pārvaldīto plānu skaits;
Aij – ieguldījumu pārvaldes sabiedrības j ieguldījumu plāna i aktīvi (latos) uz novērtēšanas brīdi;
Aj – ieguldījumu pārvaldes sabiedrības j kopējie pārvaldītie aktīvi (latos) uz novērtēšanas brīdi.
14. Valsts kases ieguldījumu plāna vēsturiskais ienesīgums šo noteikumu izpratnē ir Valsts kases ieguldījumu plāna ienesīgums 2006.gadā.
15. Informācija par katra atsevišķa ieguldījumu plāna ienesīgumu tiek iegūta no šo noteikumu 10.2.apakšpunktā minētajiem pārskatiem.
16. Pretendents var piedalīties konkursā tikai ar tādu viņa pārvaldīšanā esošu valsts fondēto pensiju shēmas līdzekļu ieguldījumu plānu, kura ieguldījumu politika ir identiska Valsts kases ieguldījumu plāna ieguldījumu politikai. Šo noteikumu izpratnē ieguldījumu politikas tiek uzskatītas par identiskām, ja valsts fondēto pensiju shēmas līdzekļu ieguldījumu plāna prospektā nav paredzēti ieguldījumi komercsabiedrību akcijās, citos kapitāla vērtspapīros un tiem pielīdzināmos vērtspapīros.
17. Pretendents var piedalīties konkursā tikai ar vienu viņa pārvaldīšanā esošu valsts fondēto pensiju shēmas līdzekļu ieguldījumu plānu.
IV. Konkursa iesniegumu atvēršana
18. Iesniegumus atver tūlīt pēc iesniegšanas termiņa beigām iesniegumu iesniegšanas vietā.
19. Iesniegumu atvēršanā var piedalīties pretendenta pilnvarotie pārstāvji.
20. Pretendenta pilnvarotie pārstāvji, kas piedalās iesniegumu atvēršanā, tiek reģistrēti konkursa komisijas sagatavotā reģistrācijas lapā.
21. Konkursa komisija atver iesniegumus to iesniegšanas secībā, nosaucot pretendentu, iesnieguma iesniegšanas datumu un laiku. Konkursa komisijas locekļi ar parakstu apliecina šo noteikumu 10.1.apakšpunktā minētā apliecinājuma saņemšanu.
22. Iesniegumu atvēršanas norisi un nosauktās ziņas konkursa komisija ieraksta iesniegumu atvēršanas sanāksmes protokolā un sanāksmi slēdz.
V. Konkursa iesniegumu izvērtēšana, rezultātu apstiprināšana un paziņošana
23. Pēc konkursa iesniegumu atvēršanas konkursa komisija izvērtē pretendentu atbilstību šo noteikumu III nodaļā noteiktajām prasībām un 20 darbdienu laikā pieņem lēmumu par konkursa rezultātiem, nosakot uzvarētājus.
24. Konkursa komisija izvērtē:
24.1. komersanta reģistrācijas apliecību;
24.2. Valsts ieņēmumu dienesta teritoriālās iestādes izziņu, kas apliecina, ka pretendentam nav nodokļu parādu;
24.3. Uzņēmumu reģistra izziņu, ka pretendents likumā noteiktajā kārtībā nav pasludināts par maksātnespējīgu, neatrodas likvidācijas stadijā, tā saimnieciskā darbība nav apturēta vai pārtraukta;
24.4. Finanšu un kapitāla tirgus komisijas izziņu, kas apliecina, ka fondēto pensiju shēmas līdzekļu pārvaldīšanas licences darbība nav apturēta.
25. Lēmumus komisija pieņem ar balsu vairākumu, klātesošajiem komisijas locekļiem atklāti balsojot.
26. Pēc tam kad pieņemts lēmums par konkursa rezultātiem, Finanšu ministrija triju darbdienu laikā rakstiski paziņo tos konkursa dalībniekiem un aģentūrai.
27. Konkursa komisija pieņem lēmumu par pretendenta izslēgšanu no konkursa, ja pretendents iesniedzis nepatiesu vai maldinošu informāciju vai pārkāpis šo noteikumu prasības.
VI. Valsts kases ieguldījumu plāna portfeļa un tā korespondējošo saistību sadalīšana un ar fondēto pensiju kapitāla nodošanu saistīto izdevumu atlīdzināšana
28. Piecu darbdienu laikā pēc konkursa izsludināšanas aģentūra nosūta visiem Valsts kases ieguldījumu plāna dalībniekiem paziņojumu par Valsts kases ieguldījumu plāna slēgšanu, informāciju par iespēju izvēlēties citu līdzekļu pārvaldnieku (iesniedzot aģentūrai attiecīgu iesniegumu līdz 2007.gada 28.septembrim) un norādi, ka tad, ja iesniegums netiks iesniegts, Valsts kases ieguldījumu plāna dalībnieki tiks piesaistīti citam ieguldījumu plānam atbilstoši šo noteikumu 31.punktā noteiktajai kārtībai.
29. Aģentūra 2007.gada 10.oktobrī fiksē Valsts kases ieguldījumu plāna vērtību, plāna dalībniekus, kā arī kopējo un katra Valsts kases ieguldījumu plāna dalībnieka ieguldījumu plāna daļu skaitu.
30. Valsts kase 2007.gada 10.oktobrī fiksē Valsts kases ieguldījumu plāna vērtību, kā arī kopējo ieguldījumu plāna daļu skaitu un salīdzina tos ar aģentūras datiem.
31. Aģentūra 2007.gada 10.oktobrī veic Valsts kases ieguldījumu plāna dalībnieku sadali starp konkursa uzvarētājiem. Valsts kases ieguldījumu plāna dalībnieku sadali īsteno, plāna dalībniekus sarindojot pēc tiem piederošā ieguldījumu plāna daļu skaita dilstošā secībā un katram dalībniekam norādot ieguldījumu plānu to reģistrācijas kārtībā Finanšu un kapitāla tirgus komisijā, sākot ar agrāko datumu. Ja ieguldījumu plānu ir mazāk nekā plāna dalībnieku, nākamajiem dalībniekiem norāda tos pašus ieguldījumu plānus, tikai apgrieztā kārtībā. Ja plāna dalībnieku joprojām ir vairāk nekā ieguldījumu plānu, nākamajiem plāna dalībniekiem norāda tos pašus ieguldījumu plānus to reģistrācijas kārtībā Finanšu un kapitāla tirgus komisijā, sākot ar agrāko datumu. Plāna dalībnieku sadali turpina, līdz visi ieguldījumu plāna dalībnieki ir piesaistīti citam ieguldījumu plānam.
32. Pēc konkursa rezultātu paziņošanas 15 darbdienu laikā konkursa uzvarētājs noslēdz vienošanos (2.pielikums) ar aģentūru. Vienošanās un tās pielikumi ir aģentūras un līdzekļu pārvaldītāja noslēgtā līguma par līdzekļu pārvaldīšanu neatņemama sastāvdaļa.
33. Valsts kase un aģentūra nodrošina ieguldījumu plāna maiņu līdz 2007.gada 30.oktobrim.
34. Pēc ieguldījumu plāna maiņas pabeigšanas aģentūra 20 darbdienu laikā nosūta shēmas dalībniekiem paziņojumus par ieguldījumu plāna maiņu.
35. Aģentūra ar katru līdzekļu pārvaldītāju, kurš uzvarējis konkursā, slēdz vienošanos par to papildu izdevumu segšanu, kas saistīti ar fondēto pensiju kapitāla nodošanu. Līdzekļu pārvaldītājs par katru shēmas dalībnieku, kurš piesaistīts līdzekļu pārvaldītāja ieguldījumu plānam atbilstoši šo noteikumu 31.punktā noteiktajai kārtībai, maksā aģentūrai saskaņā ar vienošanos noteiktu maksu. Šis maksas aprēķins ir neatņemama vienošanās sastāvdaļa. Maksas aprēķinā aģentūra iekļauj šo noteikumu 28. un 34.punktā noteikto paziņojumu sagatavošanas un izsūtīšanas izmaksas.
Ministru prezidents A.Kalvītis
Finanšu ministrs O.Spurdziņš
Redakcijas piebilde: noteikumi stājas spēkā ar 2007.gada 21.martu.
1.pielikums
Ministru kabineta
2007.gada 13.marta noteikumiem Nr.175
Pretendenta apliecinājums konkursam “Valsts kases pārvaldīšanā esošā fondētās pensijas kapitāla nodošana citiem līdzekļu pārvaldītājiem”
Finanšu ministrs O.Spurdziņš
2.pielikums
Ministru kabineta
2007.gada 13.marta noteikumiem Nr.175
Vienošanās par valsts fondēto pensiju shēmas līdzekļu pārvaldīšanas atlīdzības apjomu un Valsts sociālās apdrošināšanas aģentūrai paredzētās maksas aprēķinu
Finanšu ministrs O.Spurdziņš