
Sabiedrisko pakalpojumu regulēšanas komisijas padomes lēmums Nr.310
Rīgā 2006.gada 20.decembrī (prot.Nr.51(316), p.7)
Par Noteikumiem par elektronisko sakaru pakalpojumu kvalitātes prasībām un kvalitātes pārskatu iesniegšanas kārtību
Saskaņā ar Administratīvā procesa likuma spēkā stāšanās likuma 17.panta pirmo daļu un pamatojoties uz likuma “Par sabiedrisko pakalpojumu regulatoriem” 9.panta otro daļu un Elektronisko sakaru likuma 8.panta otro daļu un 59.panta pirmo daļu,
padome nolemj:
1. Apstiprināt Noteikumus par elektronisko sakaru pakalpojumu kvalitātes prasībām un kvalitātes pārskatu iesniegšanas kārtību (pielikumā).
2. Noteikt, ka šī lēmuma 1.punktā apstiprinātie noteikumi stājas spēkā ar 2007.gada 1.janvāri.
3. Noteikt, ka ar šī lēmuma 1.punktā apstiprināto Noteikumu spēkā stāšanos spēku zaudē ar Sabiedrisko pakalpojumu regulēšanas komisijas padomes 2005.gada 30.novembra lēmumu Nr.283. apstiprinātie Noteikumi par elektronisko sakaru pakalpojumu kvalitātes prasībām un kvalitātes pārskatu iesniegšanas kārtību (Latvijas Vēstnesis, 2005, 199.nr.).
Lēmums stājas spēkā ar tā pieņemšanas brīdi.
Sabiedrisko pakalpojumu regulēšanas komisijas padomes priekšsēdētāja V.Andrējeva
APSTIPRINĀTI
ar Sabiedrisko pakalpojumu regulēšanas komisijas padomes
2006.gada 20.decembra lēmumu Nr.310 (protokola. Nr.51(316), p.7.)
Noteikumi par elektronisko sakaru pakalpojumu kvalitātes prasībām un kvalitātes pārskatu iesniegšanas kārtību
Izdoti saskaņā ar Elektronisko sakaru likuma 59.panta pirmo daļu
1. Vispārīgie jautājumi
1. Šie noteikumi nosaka elektronisko sakaru komersanta (turpmāk tekstā – komersants) sniegto elektronisko sakaru pakalpojumu (turpmāk tekstā – pakalpojumi) kvalitātes prasības un kvalitātes pārskatu iesniegšanas kārtību.
2. Šajos noteikumos ir lietoti šādi termini:
2.1. 20 sekunžu laikā atbildēto izsaukumu skaits – parametrs, kas procentos nosaka izsaukumu skaitu, uz kuriem atbildēts 20 sekunžu laikā, un kas ietver savienojuma laiku un laiku no brīža, kad konstatē izsaukuma kontroles signālu vai paziņojumu par gaidīšanu rindā, līdz bojājumu pieteikumu pieņemšanas dienesta vai visaptveroša telefona uzziņu dienesta darbinieka atbildei;
2.2. atbildes laiks uz izsaukumu – parametrs, kas sekundēs nosaka laika posmu no izsaucamā numura nosūtīšanas brīža līdz bojājumu pieteikumu pieņemšanas dienesta vai visaptveroša telefona uzziņu dienesta darbinieka atbildei;
2.3. attēla nesējfrekvences precizitāte – parametrs, kas kilohercos nosaka attēla nesējfrekvences vērtības novirzi no televīzijas kanālam atbilstošās nominālās attēla nesējfrekvences vērtības;
2.4. bojājumu pieteikumu pieņemšanas dienests – publiskā fiksētā telefonu tīkla operatoru dienests, kas nodrošina abonenta bojājumu pieteikumu pieņemšanu;
2.5. iekšzemes izsaukums – savienojums vai savienojuma mēģinājums starp publisko fiksēto telefonu tīkla lietotājiem, kuru pieslēguma punktu numuri atrodas dažādos nacionālajos numerācijas rajonos;
2.6. īsziņu pakalpojums – datu un elektronisko ziņojumu pārraides pakalpojums, kas nodrošina teksta ziņojuma, kas ietver līdz 160 rakstu zīmēm (burti un cipari), nosūtīšanu publiskajā mobilajā telefonu tīklā;
2.7. īsziņas sūtīšanas laiks – parametrs, kas sekundēs nosaka laika posmu no īsziņas teksta un numura nosūtīšanas brīža līdz brīdim, kad īsziņa piegādāta adresātam;
2.8. klients – fiziska vai juridiska persona, kura publiskā fiksētā telefonu tīkla komersantam ir iesniegusi pieteikumu par abonentlīniju ierīkošanu;
2.9. latentums1 – parametrs, kas milisekundēs raksturo laika aizturi starp pakešu sūtīšanu un saņemšanu posmā no galalietotāja galiekārtas līdz Latvijas interneta apmaiņas punktam abos virzienos.
2.10. nesekmīgo savienojumu koeficients – parametrs, kas procentos nosaka nesekmīgo savienojumu skaita attiecību pret kopējo veikto savienojumu mēģinājumu skaitu;
2.11. nesekmīgi sūtīto īsziņu koeficients – parametrs, kas procentos nosaka nesekmīgi sūtīto īsziņu skaita attiecību pret kopējo sūtīto īsziņu skaitu;
2.12. pakešu zuduma koeficients2 – parametrs, kas procentos nosaka zaudēto pakešu attiecību pret kopējo nosūtīto pakešu skaitu;
2.13. pakete – nedalāms datu bloks, ko pārsūta pa datu pārraides tīklu.
2.14. pieslēguma ātrums – parametrs, kas kilobitos sekundē raksturo informācijas apmaiņas ātrumu (augšupielādes/lejupielādes) datu kanālā, posmā no galalietotāja galiekārtas līdz Latvijas interneta apmaiņas punktam;
2.15. publiskais fiksētais telefonu tīkls – publiskā telefonu tīkla veids, kas paredzēts balss telefonijas pakalpojumu sniegšanai starp fiksētiem elektronisko sakaru tīkla pieslēguma punktiem;
2.16. publiskais mobilais telefonu tīkls – publiskā telefonu tīkla veids, kas paredzēts balss telefonijas pakalpojumu sniegšanai starp mobiliem elektronisko sakaru tīkla pieslēguma punktiem;
2.17. savienojuma laiks – parametrs, kas sekundēs nosaka laika posmu no izsaucamā numura nosūtīšanas brīža līdz brīdim, kad konstatē izsaukuma kontroles signālu, aizņemtības signālu vai atbildi;
2.18. skaņas nesējfrekvences precizitāte – parametrs, kas kilohercos nosaka skaņas nesējfrekvences vērtības novirzi no televīzijas kanālam atbilstošās nominālās skaņas nesējfrekvences vērtības;
2.19. taksofons – publiskajam fiksētajam telefonu tīklam pieslēgta iekārta, kas lietotājam nodrošina iespēju veikt vietējos un iekšzemes izsaukumus publiskajā fiksētajā telefonu tīklā, pie kura tas ir pieslēgts, uz citiem publiskajiem fiksētajiem telefonu tīkliem un publiskajiem mobilajiem telefonu tīkliem, starptautiskajiem izsaukumiem, norēķinoties par sarunu, atkarībā no uzstādītās iekārtas tipa, ar taksofonu karti, monētām vai kredītkarti, bezmaksas savienojumiem ar operatīvajiem dienestiem un savienojumiem ar bezmaksas numuriem;
2.20. trīce3 – parametrs, kas milisekundēs nosaka laika aiztures nevienmērību starp pakešu sūtīšanu un saņemšanu, kas rodas tīkla ierobežotās caurlaides spējas dēļ, piemēram, pārslodze, maršruta maiņa, pakešu zudumi u.c.;
2.21. vidējais atbildes laiks uz izsaukumu – parametrs, kas sekundēs nosaka kopējo atbildes laiku uz izsaukumu summas attiecību pret kopējo veikto izsaukumu skaitu;
2.22. vidējais darbojošos taksofonu skaits – parametrs, kas procentos nosaka darbojošos taksofonu skaita attiecību pret kopējo pārbaudīto taksofonu skaitu;
2.23. vidējais īsziņas sūtīšanas laiks – parametrs, kas sekundēs nosaka kopējo īsziņu sūtīšanas laiku summas attiecību pret kopējo sekmīgi nosūtīto īsziņu skaitu;
2.24. vidējais latentums – parametrs, kas milisekundēs nosaka latentuma vidējo aritmētisko vērtību, katram pakalpojuma veidam, atbilstoši interneta piekļuves pakalpojuma aprakstam, no kopējā mērījumu skaita;
2.25. vidējais pakešu zuduma koeficients – parametrs, kas procentos nosaka pakešu zuduma koeficienta vidējo aritmētisko vērtību, katram pakalpojuma veidam, atbilstoši interneta piekļuves pakalpojuma aprakstam, no kopējā mērījumu skaita;
2.26. vidējais pieslēguma ātrums – parametrs, kas kilobitos sekundē nosaka pieslēguma ātruma vidējo aritmētisko vērtību, katram pakalpojuma veidam, atbilstoši interneta piekļuves pakalpojuma aprakstam, no kopējā mērījumu skaita;
2.27. vidējais savienojuma laiks – parametrs, kas sekundēs nosaka kopējo savienojumu laiku summas attiecību pret kopējo sekmīgo savienojumu skaitu;
2.28. vidējā pakalpojuma pieejamība – parametrs, kas procentos nosaka pakalpojuma pieejamības vidējo aritmētisko vērtību, katram pakalpojuma veidam, atbilstoši interneta piekļuves pakalpojuma aprakstam, no kopējā mērījumu skaita;
2.29. vidējā trīce – parametrs, kas procentos nosaka trīces vidējo aritmētisko vērtību, katram pakalpojuma veidam, atbilstoši interneta piekļuves pakalpojuma aprakstam, no kopējā mērījumu skaita;
2.30. vietējais izsaukums – savienojums vai savienojuma mēģinājums starp publisko fiksēto telefonu tīkla lietotājiem, kuru pieslēguma punktu numuri atrodas vienā nacionālajā numerācijas rajonā.
3. Šajos noteikumos noteiktas kvalitātes prasības šādiem pakalpojumiem:
3.1. publiskajā fiksētajā telefonu tīklā:
3.1.1. vietējais, iekšzemes un starptautiskais balss telefonijas pakalpojums;
3.1.2. taksofonu pakalpojums;
3.1.3. bojājumu pieteikumu pieņemšanas dienesta pakalpojums;
3.1.4. visaptveroša telefona uzziņu dienesta pakalpojums;
3.2. publiskajā mobilajā telefonu tīklā:
3.2.1. balss telefonijas pakalpojums;
3.2.2. īsziņu pakalpojums;
3.3. īsziņu pakalpojums, izmantojot publisko mobilo telefonu tīklu starpsavienojumu;
3.4. balss telefonijas pakalpojums, izmantojot publisko elektronisko sakaru tīklu starpsavienojumu (turpmāk tekstā – starpsavienojuma pakalpojums);
3.5. nomāto līniju pakalpojums;
3.6. televīzijas programmu izplatīšanas pakalpojums publiskajā kabeļtelevīzijas tīklā;
3.7. interneta piekļuves pakalpojums publiskajā fiksētajā elektronisko sakaru tīklā.
4. Komersanta pienākums ir iesniegt Sabiedrisko pakalpojumu regulēšanas komisijai (turpmāk – Komisija) pakalpojumu kvalitātes deklarāciju un kvalitātes pārskatu par šo noteikumu 3.punktā noteikto pakalpojumu kvalitāti šajos noteikumos noteiktajā kārtībā.
2. Pakalpojumu kvalitātes parametru un to vērtību noteikšanas kārtība
5. Komersantam, kuram noteiktas universālā pakalpojuma sniegšanas saistības pakalpojumiem publiskajā fiksētajā telefonu tīklā, Komisija nosaka pakalpojumu kvalitātes parametrus un parametru vērtības.
6. Komersants, kuram Komisija noteikusi universālā pakalpojuma sniegšanas saistības pakalpojumiem publiskajā fiksētajā telefonu tīklā, nosaka un deklarē pakalpojumu kvalitātes parametru vērtības tiem pakalpojumu kvalitātes parametriem, kuriem Komisijas lēmumā par pienākumu sniegt universālo pakalpojumu nav noteiktas pakalpojumu kvalitātes parametru vērtības.
7. Komersants, kuram nav noteiktas universālā pakalpojuma sniegšanas saistības pakalpojumiem publiskajā fiksētajā tīklā, pats nosaka un deklarē pakalpojumu kvalitātes parametru vērtības pakalpojumu kvalitātes deklarācijā Komisijas noteiktajiem pakalpojumu kvalitātes parametriem.
3. Pakalpojumu kvalitātes deklarāciju iesniegšanas kārtība
8. Komersants, kurš sniedz balss telefonijas pakalpojumu publiskajā fiksētajā telefonu tīklā, iesniedz Komisijai pakalpojumu kvalitātes deklarāciju par esošo kalendāro gadu reizi gadā līdz 1.februārim. Ja komersants reģistrācijas paziņojumu nosūtījis Komisijai pēc esošā gada 1.janvāra, tad pakalpojumu kvalitātes deklarāciju tas iesniedz Komisijai divu mēnešu laikā no reģistrācijas paziņojuma nosūtīšanas brīža (1.pielikums).
9. Komersants, kurš sniedz taksofonu pakalpojumu publiskajā fiksētajā telefonu tīklā, iesniedz Komisijai pakalpojumu kvalitātes deklarāciju par esošo kalendāro gadu reizi gadā līdz 1.februārim. Ja komersants reģistrācijas paziņojumu nosūtījis Komisijai pēc esošā gada 1.janvāra, tad pakalpojumu kvalitātes deklarāciju tas iesniedz Komisijai divu mēnešu laikā no reģistrācijas paziņojuma nosūtīšanas brīža (2. pielikums).
10. Komersants, kurš sniedz bojājumu pieteikumu pieņemšanas dienesta pakalpojumu publiskajā fiksētajā telefonu tīklā, iesniedz Komisijai pakalpojumu kvalitātes deklarāciju par esošo kalendāro gadu reizi gadā līdz 1.februārim. Ja komersants reģistrācijas paziņojumu nosūtījis Komisijai pēc esošā gada 1.janvāra, tad pakalpojumu kvalitātes deklarāciju tas iesniedz Komisijai divu mēnešu laikā no reģistrācijas paziņojuma nosūtīšanas brīža (3.pielikums).
11. Komersants, kurš sniedz visaptveroša telefona uzziņu dienesta pakalpojumu publiskajā fiksētajā telefonu tīklā, iesniedz Komisijai pakalpojumu kvalitātes deklarāciju par esošo kalendāro gadu reizi gadā līdz 1.februārim. Ja komersants reģistrācijas paziņojumu nosūtījis Komisijai pēc esošā gada 1.janvāra, tad pakalpojumu kvalitātes deklarāciju tas iesniedz Komisijai divu mēnešu laikā no reģistrācijas paziņojuma nosūtīšanas brīža (4.pielikums).
12. Komersants, kurš sniedz balss telefonijas pakalpojumu publiskajā mobilajā telefonu tīklā, iesniedz Komisijai pakalpojumu kvalitātes deklarāciju par esošo kalendāro gadu reizi gadā līdz 1.februārim. Ja komersants reģistrācijas paziņojumu nosūtījis Komisijai pēc esošā gada 1.janvāra, tad pakalpojumu kvalitātes deklarāciju tas iesniedz Komisijai divu mēnešu laikā no reģistrācijas paziņojuma nosūtīšanas brīža (5.pielikums).
13. Komersants, kurš sniedz īsziņu pakalpojumu publiskajā mobilajā telefonu tīklā, iesniedz Komisijai pakalpojumu kvalitātes deklarāciju par esošo kalendāro gadu reizi gadā līdz 1.februārim. Ja komersants reģistrācijas paziņojumu nosūtījis Komisijai pēc esošā gada 1.janvāra, tad pakalpojumu kvalitātes deklarāciju tas iesniedz Komisijai divu mēnešu laikā no reģistrācijas paziņojuma nosūtīšanas brīža (6.pielikums).
14. Komersants, kurš sniedz īsziņu pakalpojumu, izmantojot publisko mobilo telefonu tīklu starpsavienojumu, iesniedz Komisijai pakalpojumu kvalitātes deklarāciju par esošo kalendāro gadu reizi gadā līdz 1.februārim. Ja komersants reģistrācijas paziņojumu nosūtījis Komisijai pēc esošā gada 1.janvāra, tad pakalpojumu kvalitātes deklarāciju tas iesniedz Komisijai divu mēnešu laikā no reģistrācijas paziņojuma nosūtīšanas brīža (7.pielikums).
15. Komersants, kuram ir noslēgts starpsavienojumu līgums, un kas uz esošā kalendārā gada sākumu sniedz starpsavienojuma pakalpojumu vismaz sešus mēnešus no starpsavienojumu līguma noslēgšanas brīža, iesniedz Komisijai pakalpojumu kvalitātes deklarāciju par esošo kalendāro gadu reizi gadā līdz 1.februārim (8.pielikums).
16. Komersants, kurš sniedz nomāto līniju pakalpojumu, iesniedz Komisijai pakalpojumu kvalitātes deklarāciju par esošo kalendāro gadu reizi gadā līdz 1.februārim. Ja komersants reģistrācijas paziņojumu nosūtījis Komisijai pēc esošā gada 1.janvāra, tad pakalpojumu kvalitātes deklarāciju tas iesniedz Komisijai divu mēnešu laikā no reģistrācijas paziņojuma nosūtīšanas brīža (9. pielikums).
17. Komersants, kurš sniedz televīzijas programmu izplatīšanas pakalpojumu publiskajā kabeļtelevīzijas tīklā, iesniedz Komisijai pakalpojumu kvalitātes deklarāciju par esošo kalendāro gadu reizi gadā līdz 1.februārim. Ja komersants reģistrācijas paziņojumu nosūtījis Komisijai pēc esošā gada 1.janvāra, tad pakalpojumu kvalitātes deklarāciju tas iesniedz Komisijai divu mēnešu laikā no reģistrācijas paziņojuma nosūtīšanas brīža (10.pielikums).
18. Komersants, kurš sniedz interneta piekļuves pakalpojumu publiskajā fiksētajā elektronisko sakaru tīklā, iesniedz Komisijai pakalpojumu kvalitātes deklarāciju par esošo kalendāro gadu reizi gadā līdz 1.februārim. Ja komersants reģistrācijas paziņojumu nosūtījis Komisijai pēc esošā gada 1.janvāra, tad pakalpojumu kvalitātes deklarāciju tas iesniedz Komisijai divu mēnešu laikā no reģistrācijas paziņojuma nosūtīšanas brīža (11.pielikums).
19. Ja komersants ir reģistrējies šo noteikumu 2.punktā noteikto pakalpojumu sniegšanai, bet esošajā kalendārajā gadā tos neplāno sniegt, tad komersants par to informē Komisiju līdz esošā kalendārā gada 1.februārim. Ja komersants iesniedz reģistrācijas paziņojumu šo noteikumu 2. punktā noteikto pakalpojumu sniegšanai pēc esošā kalendārā gada 1.februāra un esošajā kalendārajā gadā neplāno tos sniegt, tad komersants informē Komisiju divu mēnešu laikā no reģistrācijas paziņojuma nosūtīšanas brīža.
20. Komersanta Komisijā iesniegtās pakalpojumu kvalitātes deklarācijas ir publiski pieejamas Komisijas mājas lapā www.sprk.gov.lv.
4. Pakalpojumu kvalitātes mērījumu veikšana
21. Pakalpojumu kvalitātes mērījumus (turpmāk tekstā – mērījumi) veic atsevišķi katram noteiktajam parametram.
22. Mērāmie parametri publiskajā fiksētajā telefonu tīklā noteikti šo noteikumu 1.tabulā.
Mērāmie parametri publiskajā fiksētajā telefonu tīklā
1.tabula
|
Pakalpojums |
Parametrs |
|
|
Vietējais, iekšzemes un starptautiskais balss telefonijas pakalpojums publiskajā fiksētajā telefonu tīklā |
1. Abonentlīniju ierīkošanas laiks balss telefonijas pakalpojuma nodrošināšanai |
1.1. Minimālo kalendāro dienu skaits no pieteikuma saņemšanas dienas līdz ierīkošanas dienai, lai ierīkotu 95% pieprasīto abonentlīniju |
|
1.2. Minimālo kalendāro dienu skaits no pieteikuma saņemšanas dienas līdz ierīkošanas dienai, lai ierīkotu 99% pieprasīto abonentlīniju |
||
|
1.3.Abonentlīniju skaits procentos no visām ierīkotajām abonentlīnijām, kas ierīkotas X* dienu laikā |
||
|
1.4. Abonentlīniju skaits procentos no visām ierīkotajām abonentlīnijām, kas ierīkotas ar klientu norunātajā dienā |
||
|
1.5. Abonentlīniju skaits procentos no visām ierīkotajām abonentlīnijām, kas ierīkotas ar klientu norunātajā dienas pusē |
||
|
2. Bojājumu skaits |
2.1. Pieteikto bojājumu skaits uz vienu abonentlīniju |
|
|
2.2. Pieteikto bojājumu skaits elektronisko sakaru tīklā uz vienu abonentu |
||
|
3. Bojājumu novēršanas laiks |
3.1. Minimālais stundu skaits no bojājuma pieteikuma saņemšanas brīža līdz bojājuma novēršanas brīdim, lai novērstu 80% abonentlīniju bojājumu |
|
|
3.2. Minimālais stundu skaits no bojājuma pieteikuma saņemšanas brīža līdz bojājuma novēršanas brīdim, lai novērstu 80% visu citu bojājumu, izņemot abonentlīniju bojājumus |
||
|
3.3. Minimālais stundu skaits no bojājuma pieteikuma saņemšanas brīža līdz bojājuma novēršanas brīdim, lai novērstu 95% abonentlīniju bojājumu |
||
|
3.4. Minimālais stundu skaits no bojājuma pieteikuma saņemšanas brīža līdz bojājuma novēršanas brīdim, lai novērstu 95% visu citu bojājumu, izņemot abonentlīniju bojājumus |
||
|
3.5. Bojājumu skaits procentos no pieteiktajiem bojājumiem, kas novērsti X* kalendāro dienu laikā |
||
|
3.6. Pieteikto bojājumu skaits procentos no abonentlīniju bojājumiem, kas novērsti ar abonentu norunātajā dienā |
||
|
3.7. Pieteikto bojājumu skaits procentos no visiem citiem bojājumiem, izņemot abonentlīniju bojājumus, kas novērsti ar abonentu norunātajā dienā |
||
|
3.8. Pieteikto bojājumu skaits procentos no abonentlīniju bojājumiem, kas novērsti ar abonentu norunātajā dienas pusē |
||
|
3.9. Pieteikto bojājumu skaits procentos no visiem citiem bojājumiem, izņemot abonentlīniju bojājumus, kas novērsti ar abonentu norunātajā dienas pusē |
||
|
4. Nesekmīgo savienojumu skaits |
4.1. Nesekmīgo savienojumu skaits vietējām sarunām |
|
|
4.2. Nesekmīgo savienojumu skaits iekšzemes sarunām |
||
|
4.3. Nesekmīgo savienojumu skaits starptautiskajām sarunām |
||
|
5. Savienojuma laiks |
5.1. Savienojuma laiks sekundēs vietējām sarunām |
|
|
5.2. Savienojuma laiks sekundēs 95% no sekmīgo savienojumu skaita vietējām sarunām |
||
|
5.3. Savienojumu laiks sekundēs iekšzemes sarunām |
||
|
5.4. Savienojuma laiks sekundēs 95% no sekmīgo savienojumu skaita iekšzemes sarunām |
||
|
5.5. Savienojuma laiks sekundēs starptautiskajām sarunām |
||
|
5.6. Savienojuma laiks sekundēs 95% no sekmīgo savienojumu skaita starptautiskajām sarunām |
||
|
6. Rēķinu precizitāte procentos |
||
|
Taksofonu pakalpojums publiskajā fiksētajā telefonu tīklā |
7. Darbojošos taksofonu skaits procentos |
|
|
Bojājumu pieteikumu pieņemšanas dienesta pakalpojums publiskajā fiksētajā telefonu tīklā |
8. Atbildes laiks uz izsaukumu sekundēs |
|
|
Visaptveroša telefona uzziņu dienesta pakalpojums publiskajā fiksētajā telefonu tīklā |
9. Atbildes laiks uz izsaukumu sekundēs |
|
* X – kalendāro dienu skaits, ko nosaka elektronisko sakaru komersants.
23. Šo noteikumu 1.tabulā noteikto mērāmo parametru mērījumus veic komersants, kas sniedz 1.tabulā minētos pakalpojumus publiskajā fiksētajā telefonu tīklā.
24. Šo noteikumu 1.tabulas 1.punktā noteiktā mērāmā parametra mērījumus komersants neveic, ja balss telefonijas pakalpojuma nodrošināšanai izmanto:
24.1. operatora iepriekšējas izvēles pakalpojumu;
24.2. operatora izvēles pakalpojumu;
24.3. atsaistītu piekļuvi abonentlīnijai.
25. Šo noteikumu 1.tabulas 2.1.punktā noteiktā mērāmā parametra mērījumus komersants veic, ja balss telefonijas pakalpojumu sniedz izmantojot abonentlīnijas (to skaitā atsaistītu piekļuvi abonentlīnijai).
26. Šo noteikumu 1.tabulas 2.2.punktā noteiktā mērāmā parametra mērījumus komersants veic, ja balss telefonijas pakalpojumu sniedz, izmantojot:
26.1. operatora iepriekšējas izvēles pakalpojumu;
26.2. operatora izvēles pakalpojumu.
27. Šo noteikumu 1.tabulas 3.1., 3.3., 3.6. un 3.8.punktā noteikto mērāmo parametru mērījumus komersants neveic, ja balss telefonijas pakalpojuma nodrošināšanai izmanto:
27.1. operatora iepriekšējas izvēles pakalpojumu;
27.2. operatora izvēles pakalpojumu;
27.3. atsaistītu piekļuvi abonentlīnijai;
28. Komersants, veicot starptautiskā balss telefonijas pakalpojuma mērījumus, izvēlas vismaz trīs valstis, uz kurām iepriekšējā kalendārā gada laikā bijusi vislielākā noslodze.
29. Šo noteikumu 1.tabulas 4.1.,4.2., 5.1. – 5.4.un 7. – 9.punktā noteikto mērāmo parametru mērījumus publiskajā fiksētājā telefonu tīklā neveic komersants, kuram noteiktas universālā pakalpojuma sniegšanas saistības pakalpojumiem publiskajā fiksētajā telefonu tīklā.
30. Komisija veic šo noteikumu 1.tabulas 4.1.,4.2., 5.1. – 5.4.un 7. – 9.punktā noteikto mērāmo parametru mērījumus publiskajā fiksētajā telefonu tīklā komersantam, kuram noteiktas universālā pakalpojuma sniegšanas saistības pakalpojumiem publiskajā fiksētajā telefonu tīklā.
31. Šo noteikumu 1.tabulas 4.1., 4.2. un 5.1. – 5.4.punktā noteikto mērāmo parametru mērījumus publiskajā fiksētajā telefonu tīklā neveic operators, kuram ir vairāk kā 20000 galalietotāju uz iepriekšējā kalendārā gada 1.oktobri.
32. Komisija veic šo noteikumu 1.tabulas 4.1., 4.2. un 5.1. – 5.4.punktā noteikto mērāmo parametru mērījumus publiskajā fiksētajā telefonu tīklā, ja operatoram ir ne mazāk kā 20000 galalietotāju uz iepriekšējā kalendārā gada 1.oktobri.
33. Mērījumus publiskajā fiksētajā telefonu tīklā veic, nodrošinot mērījumu rezultātu ticamības pakāpi ne mazāku kā 95% un relatīvo mērījumu precizitāti ne mazāk 10%.
34. Mērāmie parametri publiskajā mobilajā telefonu tīklā noteikti šo noteikumu 2.tabulā.
Mērāmie parametri publiskajā mobilajā telefonu tīklā
2.tabula
|
Pakalpojums |
Parametrs |
|
Balss telefonijas pakalpojums publiskajā mobilajā telefonu tīklā |
1. Nesekmīgo savienojumu skaits |
|
2. Savienojuma laiks sekundēs |
|
|
3. Rēķinu precizitāte procentos |
|
|
Īsziņu pakalpojums publiskajā mobilajā telefonu tīklā |
4. Nesekmīgi sūtīto īsziņu skaits |
|
5. Īsziņas piegādes laiks sekundēs |
35. Šo noteikumu 2.tabulā noteikto mērāmo parametru mērījumus veic komersants, kas sniedz pakalpojumu publiskajā mobilajā telefonu tīklā.
36. Šo noteikumu 2.tabulas 1., 2., 4. un 5.punktā noteikto mērāmo parametru mērījumus publiskajā mobilajā telefonu tīklā neveic operators, kuram ir vairāk 20000 galalietotāju uz iepriekšējā kalendārā gada 1.oktobri.
37. Komisija veic šo noteikumu 2.tabulas 1., 2., 4. un 5.punktā noteikto mērāmo parametru mērījumus publiskajā mobilajā telefonu tīklā, ja operatoram ir ne mazāk kā 20000 galalietotāju uz iepriekšējā kalendārā gada 1.oktobri.
38. Balss telefonijas pakalpojuma mērījumus publiskajā mobilajā telefonu tīklā veic, nodrošinot mērījumu rezultātu ticamības pakāpi ne mazāk kā 95% un relatīvo mērījumu precizitāti ne mazāk kā 10%.
39. Īsziņu pakalpojuma mērījumus publiskajā mobilajā telefonu tīklā veic, nosūtot ne mazāk kā 1000 īsziņu.
40. Īsziņu pakalpojuma kvalitātes, izmantojot publisko mobilo telefonu tīklu starpsavienojumu, mērāmie parametri noteikti šo noteikumu 3.tabulā.
Īsziņu pakalpojuma, izmantojot publisko mobilo telefonu tīklu starpsavienojumu, mērāmie parametri
3.tabula
|
Pakalpojums |
Parametrs |
|
Īsziņu pakalpojums, izmantojot publisko mobilo telefonu tīklu starpsavienojumu |
1. Nesekmīgi sūtīto īsziņu skaits |
|
2. Īsziņas piegādes laiks sekundēs |
41. Šo noteikumu 3.tabulā noteikto mērāmo parametru mērījumus veic komersants, kas sniedz īsziņu pakalpojumu, izmantojot publisko mobilo telefonu tīklu starpsavienojumu, un kuram ir noslēgts starpsavienojumu līgums, un esošā kalendārā gada sākumu sniedz pakalpojumu vismaz sešus mēnešus no starpsavienojumu līguma noslēgšanas brīža.
42. Šo noteikumu 3.tabulā noteikto mērāmo parametru mērījumus neveic operatori, kuriem publiskajā mobilajā telefonu tīklā ir vairāk kā 20000 galalietotāju uz iepriekšējā kalendārā gada 1.oktobri.
43. Komisija veic šo noteikumu 3.tabulā noteikto mērāmo parametru mērījumus ja:
43.1. starp operatoriem ir noslēgts starpsavienojumu līgums, un uz kalendārā gada sākumu sniedz īsziņu pakalpojumu, izmantojot publisko mobilo telefonu tīklu starpsavienojumu, vismaz sešus mēnešus no starpsavienojumu līguma noslēgšanas brīža;
43.2. katram operatoram publiskajā mobilajā tīklā ir ne mazāk kā 20000 galalietotāju uz iepriekšējā kalendārā gada 1.oktobri.
44. Īsziņu pakalpojuma, izmantojot publisko mobilo telefonu tīklu starpsavienojumu, mērījumus publiskajā mobilajā telefonu tīklā veic, nosūtot ne mazāk kā 1000 īsziņu.
45. Starpsavienojumu pakalpojuma kvalitātes mērāmie parametri noteikti šo noteikumu 4.tabulā.
Starpsavienojuma pakalpojuma kvalitātes mērāmie parametri
4.tabula
|
Pakalpojums |
Parametrs |
|
Starpsavienojuma pakalpojums |
1. Nesekmīgo savienojumu skaits |
|
2. Savienojuma laiks sekundēs |
46. Šo noteikumu 4.tabulā noteikto mērāmo parametru mērījumus veic komersants, kas sniedz starpsavienojuma pakalpojumu.
47. Šo noteikumu 4.tabulā noteikto mērāmo parametru mērījumus neveic operatori, kuriem publiskajā telefonu tīklā ir vairāk kā 5000 galalietotāju uz iepriekšējā kalendārā gada 1.oktobri.
48. Komisija veic šo noteikumu 4.tabulā noteikto mērāmo parametru mērījumus, ja:
48.1.starp operatoriem ir noslēgts starpsavienojumu līgums, un uz kalendārā gada sākumu sniedz starpsavienojuma pakalpojumu vismaz sešus mēnešus no starpsavienojumu līguma noslēgšanas brīža;
48.2. katram operatoram publiskajā telefonu tīklā ir ne mazāk kā 5000 galalietotāju uz iepriekšējā kalendārā gada 1.oktobri.
49. Starpsavienojuma pakalpojuma mērījumus veic, nodrošinot mērījumu rezultātu ticamības pakāpi ne mazāk kā 60% un relatīvo mērījumu precizitāti ne mazāk kā 10%.
50. Nomāto līniju pakalpojuma mērāmie parametri noteikti šo noteikumu 5.tabulā.
Nomāto līniju pakalpojuma mērāmie parametri
5.tabula
|
Pakalpojums |
Parametrs |
|
|
Nomāto līniju pakalpojums |
1. Ierīkošanas laiks kalendārās dienās |
1.1. Visām nomātajām līnijām |
|
1.2. Iekšzemes nomātajām līnijām |
||
|
1.3. Starptautiskajām nomātajām līnijām Eiropas Savienības robežās |
||
|
2. Bojājumu novēršanas
laiks |
2.1. Visām nomātajām līnijām |
|
|
2.2. Iekšzemes nomātajām līnijām |
||
|
2.3. Starptautiskajām nomātajām līnijām Eiropas Savienības robežās |
||
|
3. Bojājumu skaits |
||
|
4. Pakalpojuma pieejamība procentos |
||
51. Šo noteikumu 5.tabulā noteikto mērāmo parametru mērījumus veic komersants, kas sniedz nomāto līniju pakalpojumu.
52. Televīzijas programmu izplatīšanas pakalpojuma mērāmie parametri publiskajā kabeļtelevīzijas tīklā noteikti šo noteikumu 6.tabulā.
Televīzijas programmu izplatīšanas pakalpojuma mērāmie parametri publiskajā kabeļtelevīzijas tīklā
6.tabula
|
Pakalpojums |
Parametri |
|
Televīzijas programmu
izplatīšanas |
1. Publiskā kabeļtelevīzijas tīkla pieslēguma punkta ierīkošanas laiks, kalendārās dienas |
|
2. Bojājumu novēršanas laiks stundās |
|
|
3. Bojājumus skaits |
|
|
4. Attēla nesējfrekvence kilohercos |
|
|
5. Attēla un skaņas nesējfrekvenču starpība kilohercos |
|
|
6. Attēla nesēja līmenis decibelmikrovoltos |
|
|
7. Attēla un skaņas nesēju līmeņu attiecība decibelmikrovoltos |
|
|
8. Attiecība attēla nesējs/troksnis decibelos |
|
|
9. Vājinājums starp jebkurām divām publiskā kabeļtelevīzijas tīkla sazarotāja izejām radiofrekvenču joslā 48,5MHz – 862,0MHz decibelos |
|
|
10. Attēla kvalitātes subjektīvais vizuālais vērtējums |
53. Šo noteikumu 6.tabulā noteikto mērāmo parametru mērījumus veic komersants, kas sniedz televīzijas programmu izplatīšanas pakalpojumu publiskajā kabeļtelevīzijas tīklā.
54. Komisija veic šo noteikumu 6.tabulas 4. – 10.punktā noteikto mērāmo parametru mērījumus publiskajā kabeļtelevīzijas tīklā, ja pamatoto sūdzību skaits, kas saņemtas Komisijā, iepriekšējā kalendārajā gadā par televīzijas programmu izplatīšanas pakalpojumu komersanta publiskajā kabeļtelevīzijas tīklā ir vairāk kā 1 sūdzība uz 1000 galalietotājiem.
55. Šo noteikumu 6.tabulas 1. – 3.punktā noteikto mērāmo parametru mērījumus veic visiem komersanta publiskajiem kabeļtelevīzijas tīkliem kopā.
56. Šo noteikumu 6.tabulas 4. un 5.punktā noteikto mērāmo parametru mērījumus veic vienu reizi katram televīzijas kanālam vienā brīvi izvēlētā pieslēguma punktā katram komersanta publiskajam kabeļtelevīzijas tīklam.
57. Šo noteikumu 6.tabulas 6. – 10.punktā noteikto mērāmo parametru mērījumus veic katram veic vienu reizi katram televīzijas kanālam ne mazāk kā trīs brīvi izvēlētos pieslēguma punktos katram komersanta publiskajam kabeļtelevīzijas tīklam.
58. Interneta piekļuves pakalpojuma mērāmie parametri publiskajā fiksētājā elektronisko sakaru tīklā noteikti šo noteikumu 7.tabulā.
Interneta piekļuves pakalpojuma mērāmie parametri publiskajā fiksētajā elektronisko sakaru tīklā
7.tabula
|
Pakalpojums |
Parametrs |
|
|
Interneta piekļuves
pakalpojums |
1. Lejupielādes ātrums atbilstoši pakalpojuma aprakstam, kbiti/s |
|
|
2. Augšupielādes ātrums atbilstoši pakalpojuma aprakstam, kbiti/s |
||
|
3. Ierīkošanas laiks kalendārās dienās |
||
|
4. Bojājumu skaits |
||
|
5. Bojājumu |
5.1. Minimālais stundu skaits no bojājumu pieteikuma saņemšanas brīža līdz bojājuma novēršanas brīdim, lai novērstu 80% no bojājumu pieteikumu skaita |
|
|
5.2. Minimālais stundu skaits no bojājumu pieteikuma saņemšanas brīža līdz bojājuma novēršanas brīdim, lai novērstu 95% no bojājumu pieteikumu skaita |
||
|
6. Pakešu zuduma koeficients procentos |
||
|
7. Latentums milisekundēs |
||
|
8. Trīce milisekundēs |
||
|
9. Pakalpojuma pieejamība procentos |
||
59. Šo noteikumu 7.tabulā noteikto mērāmo parametru mērījumus veic komersants, kas sniedz interneta piekļuves pakalpojumu publiskajā fiksētājā elektronisko sakaru tīklā.
60. Komisija veic šo noteikumu 7.tabulas 1., 2. un 6. – 9.punktā noteikto mērāmo parametru mērījumus publiskajā fiksētajā elektronisko sakaru tīklā, ja pamatoto sūdzību skaits, kas saņemtas Komisijā, iepriekšējā kalendārajā gadā par interneta piekļuves pakalpojumu komersanta publiskajā fiksētajā elektronisko sakaru tīklā ir vairāk kā 1sūdzība uz 1000 galalietotājiem.
61. Šo noteikumu 7.tabulas 1., 2., 6. – 9.punktā noteikto mērāmo parametru mērījumus veic posmā no galalietotāja galiekārtas līdz Latvijas interneta apmaiņas punktam.
5. Kvalitātes pārskata iesniegšanas kārtība
62. Komersants, kurš sniedz balss telefonijas pakalpojumu publiskajā fiksētajā telefonu tīklā, un kuram Komisija, atbilstoši šo noteikumu 30. un 32.punktam neveic mērījumus, iesniedz Komisijai kvalitātes pārskatu par pakalpojumu kvalitātes prasību izpildi reizi gadā līdz 1.februārim par iepriekšējo kalendāro gadu (12.pielikums).
63. Komersants, kurš sniedz taksofonu pakalpojumu publiskajā fiksētajā telefonu tīklā, un kuram Komisija, atbilstoši šo noteikumu 30.punktam neveic mērījumus, iesniedz Komisijai kvalitātes pārskatu par pakalpojumu kvalitātes prasību izpildi reizi gadā līdz 1.februārim par iepriekšējo kalendāro gadu (13.pielikums).
64. Komersants, kurš sniedz bojājumu pieteikumu pieņemšanas dienesta pakalpojumu publiskajā fiksētajā telefonu tīklā, un kuram Komisija, atbilstoši šo noteikumu 30.punktam mērījumus iesniedz Komisijai kvalitātes pārskatu par pakalpojumu kvalitātes prasību izpildi reizi gadā līdz 1.februārim par iepriekšējo kalendāro gadu (14.pielikums).
65. Komersants, kurš sniedz visaptveroša telefona uzziņu dienesta pakalpojumu publiskajā fiksētajā telefonu tīklā, un kuram Komisija atbilstoši šo noteikumu 30.punktam neveic mērījumus iesniedz Komisijai kvalitātes pārskatu par pakalpojumu kvalitātes prasību izpildi reizi gadā līdz 1.februārim par iepriekšējo kalendāro gadu (15.pielikums).
66. Komersants, kurš sniedz balss telefonijas pakalpojumu publiskajā mobilajā telefonu tīklā, un kuram Komisija atbilstoši šo noteikumu 37.punktam neveic mērījumus, iesniedz Komisijai kvalitātes pārskatu par pakalpojumu kvalitātes prasību izpildi reizi gadā līdz 1.februārim par iepriekšējo kalendāro gadu (16.pielikums).
67. Komersants, kurš sniedz īsziņu pakalpojumu publiskajā mobilajā telefonu tīklā, un kuram Komisija atbilstoši šo noteikumu 37.punktam neveic mērījumus, iesniedz Komisijai kvalitātes pārskatu par pakalpojumu kvalitātes prasību izpildi reizi gadā līdz 1.februārim par iepriekšējo kalendāro gadu (17.pielikums).
68. Komersants, kurš sniedz īsziņu pakalpojumu, izmantojot publisko mobilo telefonu tīklu starpsavienojumu, un kuram Komisija atbilstoši šo noteikumu 43.punktam neveic mērījumus iesniedz Komisijai kvalitātes pārskatu par pakalpojumu kvalitātes prasību izpildi reizi gadā līdz 1.februārim par iepriekšējo kalendāro gadu (18.pielikums).
69. Komersants, kurš sniedz starpsavienojuma pakalpojumu, un kuram Komisija, atbilstoši šo noteikumu 48.punktam, neveic mērījumus, iesniedz Komisijai kvalitātes pārskatu par pakalpojumu kvalitātes prasību izpildi reizi gadā līdz 1.februārim par iepriekšējo kalendāro gadu (19.pielikums).
70. Komersants, kurš sniedz nomāto līniju pakalpojumu, iesniedz Komisijai kvalitātes pārskatu par pakalpojumu kvalitātes prasību izpildi reizi gadā līdz 1.februārim par iepriekšējo kalendāro gadu (20.pielikums).
71. Komersants, kurš sniedz televīzijas programmu izplatīšanas pakalpojumu publiskajā kabeļtelevīzijas tīklā, un kuram Komisija atbilstoši šo noteikumu 54.punktam neveic mērījumus iesniedz Komisijai kvalitātes pārskatu par pakalpojumu kvalitātes prasību izpildi reizi gadā līdz 1.februārim par iepriekšējo kalendāro gadu (21.pielikums).
72. Komersants, kurš sniedz interneta piekļuves pakalpojumu publiskajā fiksētajā tīklā, un kuram Komisija atbilstoši šo noteikumu 60.punktam neveic mērījumus iesniedz Komisijai kvalitātes pārskatu par pakalpojumu kvalitātes prasību izpildi reizi gadā līdz 1.februārim par iepriekšējo kalendāro gadu (22.pielikums).
6. Noslēguma jautājums
73. Komersants, kurš sniedz interneta piekļuves pakalpojumu publiskajā fiksētajā elektronisko sakaru tīklā, iesniedz Komisijai pakalpojumu kvalitātes deklarāciju par 2007. gadu līdz 2007.gada 1.aprīlim (11.pielikums). Sākot ar 2008.gadu komersants iesniedz Komisijai pakalpojumu kvalitātes deklarāciju saskaņā ar šo noteikumu 18.punktu.
74. Šo noteikumu 66., 67., 68. un 72.punkts stājas spēkā ar 2008.gada 1.janvāri.
75. Par Noteikumos noteikto prasību pārkāpšanu Komisija komersantu sauc pie atbildības likumā noteiktajā kārtībā un apjomā.
Informatīvā atsauce uz Eiropas Savienības direktīvu
Šajos noteikumos ir iekļautas tiesību normas, kas izriet no Eiropas Parlamenta un Padomes 2002.gada 7. marta Direktīvas 2002/22/EK par universālo pakalpojumu un lietotāju tiesībām attiecībā uz elektronisko sakaru tīkliem un pakalpojumiem (universālā pakalpojuma direktīva) (publicēta Oficiālajā Vēstnesī, Īpašais izdevums, 2004., 13/19 sēj., 367.lpp).
1 angl. Latency
2 angl. Packet Loss Ratio
3 angl. Jitter
Sabiedrisko pakalpojumu regulēšanas komisijas padomes priekšsēdētāja V.Andrējeva
1.pielikums
Noteikumiem par kvalitātes prasībām un kvalitātes pārskatu
iesniegšanas kārtību, kas apstiprināti ar Sabiedrisko pakalpojumu
regulēšanas komisijas padomes 2006.gada 20.decembra lēmumu Nr.310
Balss telefonijas pakalpojuma publiskajā fiksētajā telefonu tīklā kvalitātes deklarācija
|
Elektronisko sakaru komersanta nosaukums |
_____________ |
|
Elektronisko sakaru komersanta |
_____________ |
|
Pakalpojumu kvalitātes parametri |
Pakalpojumu kvalitātes parametru vērtība |
|
|
1. Vidējais abonentlīniju ierīkošanas laiks balss telefonijas pakalpojuma nodrošināšanai1 |
1.1. Minimālo kalendāro dienu skaits no pieteikuma saņemšanas dienas līdz ierīkošanas dienai, lai ierīkotu 95% pieprasīto abonentlīniju |
≤ |
|
1.2. Minimālo kalendāro dienu skaits no pieteikuma saņemšanas dienas līdz ierīkošanas dienai, lai ierīkotu 99% pieprasīto abonentlīniju |
≤ |
|
|
1.3.Abonentlīniju skaits procentos no visām ierīkotajām abonentlīnijām, kas ierīkotas X* kalendāro dienu laikā |
≥ |
|
|
1.4. Abonentlīniju skaits procentos no visām ierīkotajām abonentlīnijām, kas ierīkotas ar klientu norunātajā dienā |
≥ |
|
|
1.5. Abonentlīniju skaits procentos no visām ierīkotajām abonentlīnijām, kas ierīkotas ar klientu norunātajā dienas pusē |
≥ |
|
|
2. Bojājumu skaits2 |
2.1. Pieteikto bojājumu skaits uz vienu abonentlīniju3 |
≤ |
|
2.2. Pieteikto bojājumu skaits elektronisko sakaru tīklā uz vienu abonentu4 |
≤ |
|
|
3. Vidējais bojājumu novēršanas laiks 5 |
3.1. Minimālais stundu skaits no bojājuma pieteikuma saņemšanas brīža līdz bojājuma novēršanas brīdim, lai novērstu 80 % abonentlīniju bojājumu6 |
≤ |
|
3.2. Minimālais stundu skaits no bojājuma pieteikuma saņemšanas brīža līdz bojājuma novēršanas brīdim, lai novērstu 80% visu citu bojājumu, izņemot abonentlīniju bojājumus |
≤ |
|
|
3.3. Minimālais stundu skaits no bojājuma pieteikuma saņemšanas brīža līdz bojājuma novēršanas brīdim, lai novērstu 95% abonentlīniju bojājumu7 |
≤ |
|
|
3.4. Minimālais stundu skaits no bojājuma pieteikuma saņemšanas brīža līdz bojājuma novēršanas brīdim, lai novērstu 95% visu citu bojājumu, izņemot abonentlīniju bojājumus |
≤ |
|
|
3.5. Bojājumu skaits procentos no pieteiktajiem bojājumiem, ka novērsti X* kalendāro dienu laikā |
≥ |
|
|
3.6. Pieteikto bojājumu skaits procentos no abonentlīniju bojājumiem, kas novērsti ar abonentu norunātajā dienā |
≥ |
|
|
3.7. Pieteikto bojājumu skaits procentos no visiem citiem bojājumiem, izņemot abonentlīniju bojājumus, kas novērsti ar abonentu norunātajā dienā |
≥ |
|
|
3.8. Pieteikto bojājumu skaits procentos no abonentlīniju bojājumiem, kas novērsti ar abonentu norunātajā dienas pusē |
≥ |
|
|
3.9. Pieteikto bojājumu skaits procentos no visiem citiem bojājumiem, izņemot abonentlīniju bojājumus, kas novērsti ar abonentu norunātajā dienas pusē |
≥ |
|
|
4. Nesekmīgo savienojumu koeficients8 |
4.1. Nesekmīgo savienojumu koeficients procentos vietējām sarunām |
≤ |
|
4.2. Nesekmīgo savienojumu koeficients procentos iekšzemes sarunām |
≤ |
|
|
4.3. Nesekmīgais savienojumu koeficients procentos starptautiskajām sarunām |
≤ |
|
|
5. Vidējais savienojuma laiks9 |
5.1. Savienojuma laiks sekundēs vietējām sarunām |
≤ |
|
5.2. Savienojuma laiks sekundēs 95% no sekmīgo savienojumu skaita vietējām sarunām10 |
≤ |
|
|
5.3. Savienojumu laiks sekundēs iekšzemes sarunām |
≤ |
|
|
5.4. Savienojuma laiks sekundēs 95% no sekmīgo savienojumu skaita iekšzemes sarunām10 |
≤ |
|
|
5.5. Savienojuma laiks sekundēs starptautiskajām sarunām |
≤ |
|
|
5.6. Savienojuma laiks sekundēs 95% no sekmīgo savienojumu skaita starptautiskajām sarunām10 |
≤ |
|
|
6. Rēķinu precizitāte procentos 11 |
≥ |
|
Komersants, nosakot starptautiskā balss telefonijas pakalpojuma kvalitātes parametru vērtības, izvēlas vismaz trīs valstis, uz kurām iepriekšējā kalendārā gada laikā bijusi vislielākā noslodze.
1Abonentlīniju uzskaiti attiecina uz publiskā fiksētā telefonu tīkla pieslēguma punktu (turpmāk – pieslēguma punkts) skaitu (to skaitā sapārotās, blīvētās abonentlīnijas, integrēto pakalpojumu ciparu tīkla primārās plūsmas piekļuve (turpmāk– ISDN PRA1), privātās automātiskā atzara centrāles (turpmāk– PABX2) pieslēgumi ar signalizāciju R2-CAS un citi. Integrēto pakalpojumu ciparu tīkla galvenās plūsmas piekļuvi (turpmāk – ISDN BRA3) uzskaita kā vienu abonentlīniju.
Ierīkoto abonentlīniju uzskaitē iekļauj gadījumus, ja:
1) ierīko jaunu abonentlīniju neatkarīgi no izmantojamās tehnoloģijas,
2) veic abonentlīnijas pārvietošanu,
3) pārreģistrē abonentlīniju citam abonentam,
4) abonentam ierīko papildu abonentlīnijas pieslēguma punktu, ieskaitot arī abonentlīniju pārveidošanu uz ISDN.
Ierīkoto abonentlīniju uzskaitē neiekļauj gadījumus, ja balss telefonijas pakalpojuma nodrošināšanai izmanto:
1) operatora iepriekšējas izvēles pakalpojumu;
2) operatora izvēles pakalpojumu;
3) atsaistītu piekļuvi abonentlīnijai.
2 Bojājumu uzskaiti attiecina uz pieslēguma punktu skaitu (to skaitā sapārotās, blīvētās abonentlīnijas, ISDN PRA, PABX pieslēgumi ar signalizāciju R2-CAS un citi). ISDN BRA uzskaita kā vienu abonentlīniju.
3 Bojājumu skaita uzskaiti nodrošina, ja balss telefonijas pakalpojumu sniedz, izmantojot abonentlīnijas (to skaitā atsaistītu piekļuvi abonentlīnijai).
4 Bojājumu skaita uzskaiti nodrošina, ja balss telefonijas pakalpojumu sniedz, izmantojot:
1) operatora iepriekšējas izvēles pakalpojumu;
2) operatora izvēles pakalpojumu.
5 Bojājumu novēršanas laika uzskaiti attiecina uz pieslēguma punktu skaitu (to skaitā sapārotās, blīvētās abonentlīnijas, ISDN PRA, PABX pieslēgumi ar signalizāciju R2-CAS un citi). ISDN BRA uzskaita kā vienu abonentlīniju.
6 Abonentlīniju bojājumu novēršanas laiku neuzskaita, ja balss telefonijas pakalpojuma nodrošināšanai izmanto:
1) operatora iepriekšējas izvēles pakalpojumu;
2) operatora izvēles pakalpojumu;
3) atsaistītu piekļuvi abonentlīnijai.
7 Abonentlīniju bojājumu novēršanas laiku neuzskaita, ja balss telefonijas pakalpojuma nodrošināšanai izmanto:
1) operatora iepriekšējas izvēles pakalpojumu;
2) operatora izvēles pakalpojumu;
3) atsaistītu piekļuvi abonentlīnijai.
3.1. – 3.2. punktā noteikto parametru vērtības norāda šādā formātā: SS:mm (S–stundas, m–minūtes).
8 Nesekmīgo savienojumu koeficients – parametrs, kas procentos nosaka nesekmīgo savienojumu skaita attiecību pret kopējo veikto savienojumu mēģinājumu skaitu.
Nesekmīgs savienojums:
1) savienojuma mēģinājums ar pareizi sastādītu, abonentam lietošanā piešķirtu numuru, 30 sekunžu laikā vietējam vai iekšzemes izsaukumam, nekonstatējot izsaukuma kontroles signālu, aizņemtības signālu vai atbildi;
2) savienojuma mēģinājums ar pareizi sastādītu, abonentam lietošanā piešķirtu numuru, konstatējot izsaukuma kontroles signālu nepareiza savienojuma gadījumā, par ko pārliecinās, veicot atkārtotus savienojuma mēģinājumus;
3) savienojuma mēģinājums ar pareizi sastādītu, abonentam lietošanā piešķirtu numuru, konstatējot aizņemtības signālu, ja izsaukto numuru neizmanto citai sarunai, par ko pārliecinās, veicot atkārtotus savienojuma mēģinājumus;
4) savienojuma mēģinājums ar pareizi sastādītu, abonentam lietošanā piešķirtu numuru, konstatējot atbildi nepareiza savienojuma gadījumā;
5) savienojuma mēģinājums ar pareizi sastādītu, abonentam lietošanā piešķirtu numuru, konstatējot nepārtrauktu signālu;
6) savienojuma mēģinājums ar pareizi sastādītu, abonentam lietošanā piešķirtu numuru, savienojumam izvienojoties savienojuma laikā.
9 Vidējais savienojuma laiks – parametrs, kas sekundēs nosaka kopējo savienojuma laiku summas attiecību pret kopējo sekmīgo savienojumu skaitu.
Savienojuma laiks – parametrs, kas sekundēs nosaka laika posmu no izsaucamā numura nosūtīšanas brīža līdz brīdim, kad konstatē izsaukuma kontroles signālu, aizņemtības signālu vai atbildi.
10 Laika posms, kurā visātrāk notikuši 95% no visiem sekmīgajiem savienojumiem.
11 Rēķinu precizitāti nosaka saskaņā ar formulu:
nS
R = (1 – –––) · 100%,
nR
R – rēķinu precizitāte gadā, procentos;
nS – pamatotu sūdzību (pretenziju) skaits, ko komersants ir saņēmis par nepareiziem rēķiniem gadā;
Piezīme: Sūdzība (pretenzija) uzskatāma par pamatotu, ja to saņēmis komersants par nepareiziem rēķiniem un tā novērtēta kā pamatota.
nR – kopējais komersanta izsūtīto rēķinu skaits gadā.
* X – kalendāro dienu skaits, ko nosaka elektronisko sakaru komersants.
1 angl. Integrated Services Digital Network Primary Rate Access
2 angl. Private Automatic Branch Exchange
3 angl. Integrated Services Digital Network Basic Rate Access
Sabiedrisko pakalpojumu regulēšanas komisijas padomes priekšsēdētāja V.Andrējeva
2.pielikums
Noteikumiem par kvalitātes prasībām un kvalitātes pārskatu
iesniegšanas kārtību, kas apstiprināti ar Sabiedrisko pakalpojumu
regulēšanas komisijas padomes 2006.gada 20.decembra lēmumu Nr.310
Taksofonu pakalpojuma publiskajā fiksētajā telefonu tīklā kvalitātes deklarācija
|
Elektronisko sakaru komersanta nosaukums |
_____________ |
|
Elektronisko sakaru komersanta |
_____________ |
|
Pakalpojumu kvalitātes parametrs |
Pakalpojumu kvalitātes parametru vērtība |
|
Vidējais darbojošos taksofonu skaits procentos 1 |
≥ |
1 Vidējais darbojošos taksofonu skaits – parametrs, kas procentos nosaka darbojošos taksofonu skaita attiecību pret kopējo pārbaudīto taksofonu skaitu.
Taksofons darbojas, ja:
1) paceļot klausuli, piecu sekunžu laikā konstatē centrāles atbildes signālu;
2) ir autorizēta izsaukumam derīga un nebojāta taksofonu karte;
3) sastādot bezmaksas numuru, savienojums notiek, ir iespējama abpusēja saruna un neiekasē maksu par sarunu;
4) sastādot maksas numuru, savienojums notiek, ir iespējama abpusēja saruna un iekasē maksu par sarunu.
Sabiedrisko pakalpojumu regulēšanas komisijas padomes priekšsēdētāja V.Andrējeva
3.pielikums
Noteikumiem par kvalitātes prasībām un kvalitātes pārskatu
iesniegšanas kārtību, kas apstiprināti ar Sabiedrisko pakalpojumu
regulēšanas komisijas padomes 2006.gada 20.decembra lēmumu Nr.310
Bojājumu pieteikumu pieņemšanas dienesta pakalpojuma publiskajā fiksētajā telefonu tīklā kvalitātes deklarācija
|
Elektronisko sakaru komersanta nosaukums |
_____________ |
|
Elektronisko sakaru komersanta |
_____________ |
|
Pakalpojumu kvalitātes parametrs |
Pakalpojumu kvalitātes parametru vērtība |
|
1. 20 sekunžu laikā atbildēto izsaukumu skaits procentos 1 |
≥ |
|
2. Vidējais atbildes laiks uz izsaukumu sekundēs 2 |
≤ |
1 20 sekunžu laikā atbildēto izsaukumu skaits – parametrs, kas procentos nosaka izsaukumu skaitu, uz kuriem atbildēts 20 sekunžu laikā, un kas ietver savienojuma laiku un laiku no brīža, kad konstatē izsaukuma kontroles signālu vai paziņojumu par gaidīšanu rindā līdz bojājumu pieteikumu pieņemšanas dienesta darbinieka atbildei.
2 Vidējais atbildes laiks uz izsaukumu – parametrs, kas sekundēs nosaka kopējo atbildes laiku uz izsaukumu summas attiecību pret kopējo veikto izsaukumu skaitu.
Atbildes laiks uz izsaukumu – parametrs, kas sekundēs nosaka laika posmu no izsaucamā numura nosūtīšanas brīža līdz bojājumu pieteikumu pieņemšanas dienesta darbinieka atbildei.
Sabiedrisko pakalpojumu regulēšanas komisijas padomes priekšsēdētāja V.Andrējeva
4.pielikums
Noteikumiem par kvalitātes prasībām un kvalitātes pārskatu
iesniegšanas kārtību, kas apstiprināti ar Sabiedrisko pakalpojumu
regulēšanas komisijas padomes 2006.gada 20.decembra lēmumu Nr.310
Visaptveroša telefona uzziņu dienesta pakalpojuma publiskajā fiksētajā telefonu tīklā kvalitātes deklarācija
|
Elektronisko sakaru komersanta nosaukums |
_____________ |
|
Elektronisko sakaru komersanta |
_____________ |
|
Pakalpojumu kvalitātes parametrs |
Pakalpojumu kvalitātes parametru vērtība |
|
1. 20 sekunžu laikā atbildēto izsaukumu skaits procentos 1 |
≥ |
|
2. Vidējais atbildes laiks uz izsaukumu sekundēs 2 |
≤ |
1 20 sekunžu laikā atbildēto izsaukumu skaits – parametrs, kas procentos nosaka izsaukumu skaitu, uz kuriem atbildēts 20 sekunžu laikā, un kas ietver savienojuma laiku un laiku no brīža, kad konstatē izsaukuma kontroles signālu vai paziņojumu par gaidīšanu rindā līdz visaptveroša telefona uzziņu dienesta darbinieka atbildei.
2 Vidējais atbildes laiks uz izsaukumu – parametrs, kas sekundēs nosaka kopējo atbildes laiku uz izsaukumu summas attiecību pret kopējo veikto izsaukumu skaitu.
Atbildes laiks uz izsaukumu – parametrs, kas sekundēs nosaka laika posmu no izsaucamā numura nosūtīšanas brīža līdz visaptveroša telefona uzziņu dienesta darbinieka atbildei.
Sabiedrisko pakalpojumu regulēšanas komisijas padomes priekšsēdētāja V.Andrējeva
5.pielikums
Noteikumiem par kvalitātes prasībām un kvalitātes pārskatu
iesniegšanas kārtību, kas apstiprināti ar Sabiedrisko pakalpojumu
regulēšanas komisijas padomes 2006.gada 20.decembra lēmumu Nr.310
Balss telefonijas pakalpojuma publiskajā mobilajā telefonu tīklā kvalitātes deklarācija
|
Elektronisko sakaru komersanta nosaukums |
_____________ |
|
Elektronisko sakaru komersanta |
_____________ |
|
Pakalpojumu kvalitātes parametrs |
Pakalpojumu kvalitātes parametru vērtība |
|
1. Nesekmīgo savienojumu koeficients procentos 1 |
≤ |
|
2. Vidējais savienojuma laiks sekundēs 2 |
≤ |
|
3. Rēķinu precizitāte procentos 3 |
≥ |
1 Nesekmīgo savienojumu koeficients – parametrs, kas procentos nosaka nesekmīgo savienojumu skaita attiecību pret kopējo veikto savienojumu mēģinājumu skaitu.
Nesekmīgs savienojums:
1) savienojuma mēģinājums ar pareizi sastādītu, abonentam lietošanā piešķirtu numuru, 30 sekunžu laikā nekonstatējot izsaukuma kontroles signālu, aizņemtības signālu vai atbildi;
2) savienojuma mēģinājums ar pareizi sastādītu, abonentam lietošanā piešķirtu numuru, konstatējot izsaukuma kontroles signālu nepareiza savienojuma gadījumā, par ko pārliecinās, veicot atkārtotus savienojuma mēģinājumus;
3) savienojuma mēģinājums ar pareizi sastādītu, abonentam lietošanā piešķirtu numuru, konstatējot aizņemtības signālu, ja izsaukto līniju neizmanto citai sarunai, par ko pārliecinās, veicot atkārtotus savienojuma mēģinājumus;
4) savienojuma mēģinājums ar pareizi sastādītu, abonentam lietošanā piešķirtu numuru, konstatējot atbildi nepareiza savienojuma gadījumā;
5) savienojuma mēģinājums ar pareizi sastādītu, abonentam lietošanā piešķirtu numuru, konstatējot paziņojumu par to, ka izsauktais mobilais tālruņa aparāts izslēgts vai atrodas ārpus uztveršanas zonas, ja izsauktais mobilais tālruņa aparāts ir ieslēgts un atrodas uztveršanas zonā, par ko pārliecinās, veicot atkārtotus savienojuma mēģinājumus;
6) savienojuma mēģinājums ar pareizi sastādītu, abonentam lietošanā piešķirtu numuru, savienojumam nenotiekot.
7) savienojuma mēģinājums ar pareizi sastādītu, abonentam lietošanā piešķirtu numuru, savienojumam izvienojoties savienojuma laikā.
2 Vidējais savienojuma laiks – parametrs, kas sekundēs nosaka kopējo savienojuma laiku summas attiecību pret kopējo sekmīgo savienojumu skaitu.
Savienojuma laiks – parametrs, kas sekundēs nosaka laika posmu no izsaucamā numura nosūtīšanas brīža līdz brīdim, kad konstatē izsaukuma kontroles signālu, aizņemtības signālu vai atbildi.
3 Rēķinu precizitāti nosaka saskaņā ar formulu:
nS
R = (1 – –––) · 100%,
nR
R – rēķinu precizitāte gadā, procentos;
nS – pamatotu sūdzību (pretenziju) skaits, ko komersants ir saņēmis par nepareiziem rēķiniem gadā;
Piezīme: Sūdzība (pretenzija) uzskatāma par pamatotu, ja to saņēmis komersants par nepareiziem rēķiniem un tā novērtēta kā pamatota.
nR – kopējais komersanta izsūtīto rēķinu skaits gadā.
Sabiedrisko pakalpojumu regulēšanas komisijas padomes priekšsēdētāja V.Andrējeva
6.pielikums
Noteikumiem par kvalitātes prasībām un kvalitātes pārskatu
iesniegšanas kārtību, kas apstiprināti ar Sabiedrisko pakalpojumu
regulēšanas komisijas padomes 2006.gada 20.decembra lēmumu Nr.310
Īsziņu pakalpojuma publiskajā mobilajā telefonu tīklā kvalitātes deklarācija
|
Elektronisko sakaru komersanta nosaukums |
_____________ |
|
Elektronisko sakaru komersanta |
_____________ |
|
Pakalpojumu kvalitātes parametrs |
Pakalpojumu kvalitātes parametru vērtība |
|
1. Nesekmīgi sūtīto īsziņu koeficients procentos1 |
≤ |
|
2. Vidējais īsziņas piegādes laiks sekundēs2 |
≤ |
Īsziņu pakalpojums – datu un elektronisko ziņojumu pārraides pakalpojums, kas nodrošina teksta ziņojuma, kas ietver līdz 160 rakstu zīmēm (burti un cipari), nosūtīšanu publiskajā mobilajā telefonu tīklā.
1 Nesekmīgi sūtīto īsziņu koeficients – parametrs, kas procentos nosaka nesekmīgi sūtīto īsziņu skaita attiecību pret kopējo sūtīto īsziņu skaitu.
Nesekmīgi sūtīta īsziņa:
1) īsziņas teksta sūtīšanas mēģinājums uz pareizi sastādītu, abonentam lietošanā piešķirtu numuru, konstatējot paziņojumu, ka īsziņu nosūtīt neizdevās;
2) īsziņas teksta sūtīšanas mēģinājums uz pareizi sastādītu, abonentam lietošanā piešķirtu numuru, adresātam 300 sekunžu laikā nesaņemot īsziņu.
2 Vidējais īsziņas sūtīšanas laiks – parametrs, kas sekundēs nosaka kopējo īsziņu sūtīšanas laiku summas attiecību pret kopējo sekmīgi nosūtīto īsziņu skaitu.
Īsziņas sūtīšanas laiks – parametrs, kas sekundēs nosaka laika posmu no īsziņas teksta un numura nosūtīšanas brīža līdz brīdim, kad īsziņa piegādāta adresātam.
Sabiedrisko pakalpojumu regulēšanas komisijas padomes priekšsēdētāja V.Andrējeva
7.pielikums
Noteikumiem par kvalitātes prasībām un kvalitātes pārskatu
iesniegšanas kārtību, kas apstiprināti ar Sabiedrisko pakalpojumu
regulēšanas komisijas padomes 2006.gada 20.decembra lēmumu Nr.310
Īsziņu pakalpojuma, izmantojot publisko mobilo telefonu tīklu starpsavienojumu, kvalitātes deklarācija
|
Elektronisko sakaru komersanta nosaukums |
_____________ |
|
Elektronisko sakaru komersanta |
_____________ |
|
Pakalpojumu kvalitātes parametrs |
Pakalpojumu kvalitātes parametru vērtība |
|
1. Nesekmīgi sūtīto īsziņu koeficients procentos1 |
≤ |
|
2. Vidējais īsziņas piegādes laiks sekundēs2 |
≤ |
Pakalpojumu kvalitātes parametrus nosaka īsziņu sūtīšanas mēģinājumiem no jebkura publiskā mobilā telefonu tīkla pieslēguma punkta uz jebkuru cita publiskā mobilā telefonu tīkla pieslēguma punktu.
Īsziņu pakalpojums – datu un elektronisko ziņojumu pārraides pakalpojums, kas nodrošina teksta ziņojuma, kas ietver līdz 160 rakstu zīmēm (burti un cipari), nosūtīšanu publiskajā mobilajā telefonu tīklā.
1 Nesekmīgi sūtīto īsziņu koeficients – parametrs, kas procentos nosaka nesekmīgi sūtīto īsziņu skaita attiecību pret kopējo sūtīto īsziņu skaitu.
Nesekmīgi sūtīta īsziņa:
1) īsziņas teksta sūtīšanas mēģinājums uz pareizi sastādītu, abonentam lietošanā piešķirtu numuru, konstatējot paziņojumu, ka īsziņu nosūtīt neizdevās;
2) īsziņas teksta sūtīšanas mēģinājums uz pareizi sastādītu, abonentam lietošanā piešķirtu numuru, adresātam 300 sekunžu laikā nesaņemot īsziņu.
2 Vidējais īsziņas sūtīšanas laiks – parametrs, kas sekundēs nosaka kopējo īsziņu sūtīšanas laiku summas attiecību pret kopējo sekmīgi nosūtīto īsziņu skaitu.
Īsziņas sūtīšanas laiks – parametrs, kas sekundēs nosaka laika posmu no īsziņas teksta un numura nosūtīšanas brīža līdz brīdim, kad īsziņa piegādāta adresātam.
Sabiedrisko pakalpojumu regulēšanas komisijas padomes priekšsēdētāja V.Andrējeva
8.pielikums
Noteikumiem par kvalitātes prasībām un kvalitātes pārskatu
iesniegšanas kārtību, kas apstiprināti ar Sabiedrisko pakalpojumu
regulēšanas komisijas padomes 2006.gada 20.decembra lēmumu Nr.310
Balss telefonijas pakalpojuma, izmantojot publisko elektronisko sakaru tīklu starpsavienojumu, kvalitātes deklarācija
|
Elektronisko sakaru komersanta nosaukums |
_____________ |
|
Elektronisko sakaru komersanta |
_____________ |
|
Pakalpojumu kvalitātes parametrs |
Pakalpojumu kvalitātes parametru vērtība |
|
1. Nesekmīgo savienojumu koeficients procentos1 |
≤ |
|
2. Vidējais savienojuma laiks sekundēs2 |
≤ |
1. Starpsavienojuma kombinācijā no vai uz publisko fiksēto telefonu tīklu pakalpojumu kvalitātes parametru vērtības nosaka savienojumu mēģinājumiem no jebkura publiskā fiksētā telefonu tīkla pieslēguma punkta uz jebkuru cita publiskā fiksētā telefonu tīkla pieslēguma punktu.
2. Starpsavienojuma kombinācijā no vai uz publisko mobilo telefonu tīklu pakalpojumu kvalitātes vērtības nosaka savienojuma mēģinājumiem no jebkura publiskā mobilā telefonu tīkla pieslēguma punkta uz jebkuru cita publiskā mobilā telefonu tīkla pieslēguma punktu.
3. Starpsavienojuma kombinācijā no vai uz publisko radiokomunikāciju tīklu pakalpojumu kvalitātes vērtības nosaka savienojuma mēģinājumiem no jebkura publiskā radiokomunikāciju tīkla pieslēguma punkta uz jebkuru cita publiskā radiokomunikāciju tīkla pieslēguma punktu.
1 Nesekmīgo savienojumu koeficients – parametrs, kas procentos nosaka nesekmīgo savienojumu skaita attiecību pret kopējo veikto savienojumu mēģinājumu skaitu.
Nesekmīgs savienojums:
1) savienojuma mēģinājums ar pareizi sastādītu, abonentam lietošanā piešķirtu numuru, 30 sekunžu laikā nekonstatējot izsaukuma kontroles signālu, aizņemtības signālu vai atbildi;
2) savienojuma mēģinājums ar pareizi sastādītu, abonentam lietošanā piešķirtu numuru, konstatējot izsaukuma kontroles signālu nepareiza savienojuma gadījumā, par ko pārliecinās, veicot atkārtotus savienojuma mēģinājumus;
3) savienojuma mēģinājums ar pareizi sastādītu, abonentam lietošanā piešķirtu numuru, konstatējot aizņemtības signālu, ja izsaukto līniju neizmanto citai sarunai, par ko pārliecinās, veicot atkārtotus savienojuma mēģinājumus;
4) savienojuma mēģinājums ar pareizi sastādītu, abonentam lietošanā piešķirtu numuru, konstatējot atbildi nepareiza savienojuma gadījumā;
5) savienojuma mēģinājums no publiskā fiksētā telefonu tīkla ar pareizi sastādītu, abonentam lietošanā piešķirtu numuru, konstatējot nepārtrauktu signālu;
6) savienojuma mēģinājums uz publisko mobilo telefonu tīklu ar pareizi sastādītu, abonentam lietošanā piešķirtu numuru, konstatējot paziņojumu par to, ka izsauktais mobilais tālruņa aparāts izslēgts vai atrodas ārpus uztveršanas zonas, ja izsauktais mobilais tālruņa aparāts ir ieslēgts un atrodas uztveršanas zonā, par ko pārliecinās, veicot atkārtotus savienojuma mēģinājumus;
7) savienojuma mēģinājums no publiskā mobilā telefonu tīkla vai radiokomunikāciju tīkla ar pareizi sastādītu, abonentam lietošanā piešķirtu numuru savienojumam nenotiekot.
8) savienojuma mēģinājums ar pareizi sastādītu, abonentam lietošanā piešķirtu numuru, savienojumam izvienojoties savienojuma laikā.
2 Vidējais savienojuma laiks – parametrs, kas sekundēs nosaka kopējo savienojuma laiku summas attiecību pret kopējo sekmīgo savienojumu skaitu.
Savienojuma laiks – parametrs, kas sekundēs nosaka laika posmu no izsaucamā numura nosūtīšanas brīža līdz brīdim, kad konstatē izsaukuma kontroles signālu, aizņemtības signālu vai atbildi.
Sabiedrisko pakalpojumu regulēšanas komisijas padomes priekšsēdētāja V.Andrējeva
9.pielikums
Noteikumiem par kvalitātes prasībām un kvalitātes pārskatu
iesniegšanas kārtību, kas apstiprināti ar Sabiedrisko pakalpojumu
regulēšanas komisijas padomes 2006.gada 20.decembra lēmumu Nr.310
Nomāto līniju pakalpojuma kvalitātes deklarācija
|
Elektronisko sakaru komersanta nosaukums |
_____________ |
|
Elektronisko sakaru komersanta |
_____________ |
|
Nomātās līnijas veids |
Vidējais ierīkošanas laiks, kalendārās dienas1 |
Vidējais bojājumu novēršanas laiks, stundas2 |
Bojājumu skaits3 |
Pakalpojuma pieejamība procentos4 |
||||
|
Visām nomātajām |
Iekšzemes |
Starptautiskajām |
Visām nomātajām |
Iekšzemes |
Starptautiskajām |
|||
|
Parastās kvalitātes balss frekvenču joslas analogā |
≤ |
≤ |
≤ |
≤ |
≤ |
≤ |
≤ |
≥ |
|
Speciālās kvalitātes balss frekvenču joslas analogā |
≤ |
≤ |
≤ |
≤ |
≤ |
≤ |
≤ |
≥ |
|
64 kilobiti sekundē ciparu |
≤ |
≤ |
≤ |
≤ |
≤ |
≤ |
≤ |
≥ |
|
2048 kilobiti sekundē nestrukturēta ciparu |
≤ |
≤ |
≤ |
≤ |
≤ |
≤ |
≤ |
≥ |
|
2048 kilobiti sekundē strukturēta ciparu |
≤ |
≤ |
≤ |
≤ |
≤ |
≤ |
≤ |
≥ |
|
34 megabiti sekundē nestrukturēta ciparu |
≤ |
≤ |
≤ |
≤ |
≤ |
≤ |
≤ |
≥ |
|
34 megabiti sekundē strukturēta ciparu |
≤ |
≤ |
≤ |
≤ |
≤ |
≤ |
≤ |
≥ |
|
140 megabiti sekundē nestrukturēta ciparu |
≤ |
≤ |
≤ |
≤ |
≤ |
≤ |
≤ |
≥ |
|
140 megabiti sekundē strukturēta ciparu |
≤ |
≤ |
≤ |
≤ |
≤ |
≤ |
≤ |
≥ |
|
155 megabiti sekundē ciparu |
≤ |
≤ |
≤ |
≤ |
≤ |
≤ |
≤ |
≥ |
|
Cits5 |
≤ |
≤ |
≤ |
≤ |
≤ |
≤ |
≤ |
≥ |
1 Minimālo kalendāro dienu skaits no pieteikuma saņemšanas dienas līdz ierīkošanas dienai, lai ierīkotu 95% no pieprasīto katra veida nomāto līniju skaita.
2 Minimālais stundu skaits no bojājuma pieteikuma saņemšanas brīža līdz bojājuma novēršanas brīdim, lai novērstu 80% no pieteikto katra veida nomāto līniju bojājumu skaita.
3 Katra veida nomāto līniju bojājumu skaits uz vienu nomāto līniju.
4 Pakalpojuma pieejamību (iespēju saņemt pakalpojumu) nomātajām līnijām nosaka saskaņā ar formulu:
TNl
PNl = –––––– · 100%,
tK · nNl
pNl – pakalpojumu pieejamība procentos katra veida nomātajām līnijām;
TNl – kopējais pakalpojuma pieejamības laiks stundās visām viena veida nomātajām līnijām;
tK – mērījumu laiks stundās;
nNl – viena veida nomāto līniju skaits.
5 Jānorāda jebkura cita veida nomātās līnijas.
Sabiedrisko pakalpojumu regulēšanas komisijas padomes priekšsēdētāja V.Andrējeva
10.pielikums
Noteikumiem par kvalitātes prasībām un kvalitātes pārskatu
iesniegšanas kārtību, kas apstiprināti ar Sabiedrisko pakalpojumu
regulēšanas komisijas padomes 2006.gada 20.decembra lēmumu Nr.310
Televīzijas programmu izplatīšanas pakalpojuma publiskajā kabeļtelevīzijas tīklā kvalitātes deklarācija
|
Elektronisko sakaru komersanta nosaukums |
_____________ |
|
Elektronisko sakaru komersanta |
_____________ |
|
Pakalpojumu kvalitātes parametrs |
Pakalpojumu kvalitātes parametru vērtība |
|
1. Vidējais publiskā kabeļtelevīzijas tīkla pieslēguma punkta ierīkošanas laiks, kalendārās dienas1 |
≤ |
|
2. Vidējais bojājumu novēršanas laiks, stundas2 |
≤ |
|
3. Bojājumu skaits3 |
≤ |
|
Publiskā kabeļtelevīzijas tīkla adrese |
___________ |
|
Publiskā kabeļtelevīzijas tīkla identifikācijas numurs |
___________ |
|
Pakalpojumu kvalitātes parametrs |
Pakalpojumu kvalitātes parametru vērtība |
|
4. Attēla nesējfrekvences precizitāte, kHz* |
≤ |
|
5. Skaņas nesējfrekvences precizitāte, kHz* |
≤ |
|
6. Vidējais attēla nesēja līmenis, dBµV4* |
|
|
7. Vidējā attēla un skaņas nesēju līmeņu attiecība, dBµV 5* |
|
|
8. Vidējā attiecība attēla nesējs/ troksnis, dB* |
≥ |
|
9. Vidējais vājinājums starp jebkurām divām publiskā kabeļtelevīzijas tīkla sazarotāja izejām radiofrekvenču joslā 48,5MHz – 862,0MHz, dB* |
≥ |
|
10. Vidējais attēla kvalitātes subjektīvais vizuālais vērtējums6* |
≥ |
Televīzijas programmu izplatīšanas pakalpojuma kvalitātes parametrus nosaka arī komersanti, kuri sniedz televīzijas programmu izplatīšanas pakalpojumu, izmantojot daudzpunktu daudzkanālu sadales sistēmas (MMDS1).
1. – 3.punktā noteikto pakalpojumu kvalitātes parametru vērtības nosaka visiem komersanta publiskajiem kabeļtelevīzijas tīkliem kopā.
4. un 5.punktā noteikto pakalpojumu kvalitātes parametru vērtības nosaka vienu reizi katram televīzijas kanālam vienā brīvi izvēlētā pieslēguma punktā katram komersanta publiskajam kabeļtelevīzijas tīklam.
6.– 10. punktā noteikto pakalpojumu kvalitātes parametru vērtības nosaka vienu reizi katram televīzijas kanālam katram ne mazāk kā trīs brīvi izvēlētos pieslēguma punktos katram komersanta publiskajam kabeļtelevīzijas tīklam.
1 Minimālo kalendāro dienu skaits no pieteikuma saņemšanas dienas līdz ierīkošanas dienai, lai ierīkotu 95% no pieprasīto pieslēguma punktu skaita.
2 Minimālais stundu skaits no bojājuma pieteikuma saņemšanas brīža līdz bojājuma novēršanas brīdim, lai novērstu 80% no publiskā kabeļtelevīzijas tīkla bojājumu skaita.
Parametra vērtību norāda šādā formātā: SS:mm (S–stundas, m–minūtes)
3 Bojājumu skaits uz 100 pieslēguma punktiem.
4 Attēla nesēja līmenim norāda vērtību robežas.
5 Attēla un skaņas nesēju līmeņu attiecībai norāda vērtību robežas.
6 Vidējais attēla kvalitātes subjektīvais vizuālais vērtējums – parametrs, kas nosaka vidējo svērto attēla kvalitātes novērtējumu no kopējā novērtējumu skaita.
Attēla kvalitāti nosaka kā kvantitatīvu vērtību, ko iegūst subjektīvi vizuāli novērtējot attēlu saskaņā ar šādu tabulu:
|
Vērtība, balles |
Novērtējums |
Novērtējuma paskaidrojums |
|
5 |
Teicama kvalitāte |
Traucējumi un kropļojumi nav redzami. |
|
4 |
Laba kvalitāte |
Traucējumi un kropļojumi ir redzami, bet netraucē. |
|
3 |
Apmierinoša kvalitāte |
Traucējumi un kropļojumi mazliet traucē. |
|
2 |
Vāja kvalitāte |
Traucējumi un kropļojumi traucē. |
|
1 |
Slikta kvalitāte |
Traucējumi un kropļojumi ļoti traucē. |
*Parametru vērtību attiecina uz jebkuru komersanta publiskā kabeļtelevīzijas tīklā raidīto televīzijas kanālu
1 angl. Multipoint Multichanel Distribution System
Sabiedrisko pakalpojumu regulēšanas komisijas padomes priekšsēdētāja V.Andrējeva
11.pielikums
Noteikumiem par kvalitātes prasībām un kvalitātes pārskatu
iesniegšanas kārtību, kas apstiprināti ar Sabiedrisko pakalpojumu
regulēšanas komisijas padomes 2006.gada 20.decembra lēmumu Nr.310
Interneta piekļuves pakalpojuma publiskajā fiksētajā tīklā kvalitātes deklarācija
|
Elektronisko sakaru komersanta nosaukums |
_____________ |
|
Elektronisko sakaru komersanta |
_____________ |
1 Vidējais pieslēguma ātrums – parametrs, kas kilobitos sekundē nosaka pieslēguma ātruma vidējo aritmētisko vērtību, katram pakalpojuma veidam, atbilstoši interneta piekļuves pakalpojuma aprakstam, no kopējā mērījumu skaita;
Pieslēguma ātrums – parametrs, kas kilobitos sekundē raksturo informācijas apmaiņas ātrumu (augšupielādes/lejupielādes) datu kanālā, posmā no galalietotāja galiekārtas līdz Latvijas interneta apmaiņas punktam;
Pieslēguma ātrumu nosaka saskaņā ar formulu:
d · 8
S = –––––,
t
S – pieslēguma ātrums kilobiti sekundē;
d – pakešu apjoms baitos, kas nosūtīts mērījumu veikšanas laikā;
t – pakešu sūtīšanas laiks milisekundēs.
2 Minimālo kalendāro dienu skaits no pieteikuma saņemšanas dienas līdz ierīkošanas dienai, lai ierīkotu 95% no pieprasīto pieslēguma punktu skaita.
3 Bojājumu skaits uz 100 pieslēguma punktiem
4 Vidējo bojājumu novēršanas laiku norāda šādā formātā: SS:mm (S–stundas, m–minūtes).
5 Vidējais pakešu zuduma koeficients – parametrs, kas procentos nosaka pakešu zuduma koeficienta vidējo aritmētisko vērtību, katram pakalpojuma veidam, atbilstoši interneta piekļuves pakalpojuma aprakstam, no kopējā mērījumu skaita;
Pakešu zuduma koeficients1 – parametrs, kas procentos nosaka zaudēto pakešu attiecību pret kopējo nosūtīto pakešu skaitu.
Pakešu zuduma koeficientu nosaka saskaņā ar formulu:
Tk – T
P = –––––– · 100,
Tk
P – pakalpojuma pieejamība procentos;
T– laiks minūtēs, kurā pakalpojums netiek saņemts;
Tk – kopējais pakalpojuma sniegšanas laiks minūtēs;
6 Vidējais latentums – parametrs, kas milisekundēs nosaka latentuma vidējo aritmētisko vērtību, katram pakalpojuma veidam, atbilstoši interneta piekļuves pakalpojuma aprakstam, no kopējā mērījumu skaita;
Latentums2 – parametrs, kas milisekundēs raksturo laika aizturi starp pakešu sūtīšanu un saņemšanu posmā no galalietotāja galiekārtas līdz Latvijas interneta apmaiņas punktam abos virzienos.
Latentumu nosaka saskaņā ar formulu:
Σ(t1
– t2)
L = ––––––––,
N
L – latentums milisekundēs;
t1 – paketes saņemšanas laiks milisekundēs;
t2 – paketes nosūtīšanas laiks milisekundēs;
N – kopējais pakešu skaits.
7 Vidējā trīce – parametrs, kas procentos nosaka trīces vidējo aritmētisko vērtību, katram pakalpojuma veidam, atbilstoši interneta piekļuves pakalpojuma aprakstam, no kopējā mērījumu skaita;
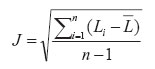
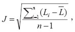
Trīce3 – parametrs, kas milisekundēs nosaka laika aiztures nevienmērību starp pakešu sūtīšanu un saņemšanu, kas rodas tīkla ierobežotās caurlaides spējas dēļ, piemēram, pārslodze, maršruta maiņa, pakešu zudumi u.c.
Trīci aprēķina saskaņa ar formulu:
J – trīce milisekundēs;
– aritmētiskais vidējais latentums milisekundēs;
n – latentuma mērījumu ciklu skaits;
Li – i-tā mērījumu cikla latentums milisekundēs.
8 Vidējā pakalpojuma pieejamība – parametrs, kas procentos nosaka pakalpojuma pieejamības vidējo aritmētisko vērtību, katram pakalpojuma veidam, atbilstoši interneta piekļuves pakalpojuma aprakstam, no kopējā mērījumu skaita;
Pakalpojuma pieejamību (iespēju saņemt pakalpojumu) nosaka saskaņā ar formulu:
T
p = ––––– · 100%,
tk · n
p – pakalpojumu pieejamība procentos,
T – kopējais pakalpojuma pieejamības laiks stundās visiem viena pakalpojuma veida pieslēguma punktiem;
tk – mērījumu laiks stundās;
n – kopējais viena pakalpojuma veida pieslēgumu punktu skaits.
1 angl. Packet Loss Ratio
2 angl. Latency
3 angl. Jitter
Sabiedrisko pakalpojumu regulēšanas komisijas padomes priekšsēdētāja V.Andrējeva
12.pielikums
Noteikumiem par kvalitātes prasībām un kvalitātes pārskatu
iesniegšanas kārtību, kas apstiprināti ar Sabiedrisko pakalpojumu
regulēšanas komisijas padomes 2006.gada 20.decembra lēmumu Nr.310
Kvalitātes pārskats par balss telefonijas pakalpojuma publiskajā fiksētajā telefonu tīklā kvalitātes prasību izpildi
|
Elektronisko sakaru komersanta nosaukums |
_____________ |
|
Elektronisko sakaru komersanta |
_____________ |
|
Pakalpojumu kvalitātes parametri |
Pakalpojumu kvalitātes parametru vērtība |
|
|
1. Vidējais abonentlīniju ierīkošanas laiks balss telefonijas pakalpojuma nodrošināšanai1 |
1.1. Minimālo kalendāro dienu skaits no pieteikuma saņemšanas dienas līdz ierīkošanas dienai, lai ierīkotu 95% pieprasīto abonentlīniju |
|
|
1.2. Minimālo kalendāro dienu skaits no pieteikuma saņemšanas dienas līdz ierīkošanas dienai, lai ierīkotu 99% pieprasīto abonentlīniju |
||
|
1.3.Abonentlīniju skaits procentos no visām ierīkotajām abonentlīnijām, kas ierīkotas X* kalendāro dienu laikā |
||
|
1.4. Abonentlīniju skaits procentos no visām ierīkotajām abonentlīnijām, kas ierīkotas ar klientu norunātajā dienā |
||
|
1.5. Abonentlīniju skaits procentos no visām ierīkotajām abonentlīnijām, kas ierīkotas ar klientu norunātajā dienas pusē |
||
|
2. Bojājumu skaits2 |
2.1. Pieteikto bojājumu skaits uz vienu abonentlīniju3 |
|
|
2.2. Pieteikto bojājumu skaits elektronisko sakaru tīklā uz vienu abonentu4 |
||
|
3. Vidējais bojājumu novēršanas laiks 5 |
3.1. Minimālais stundu skaits no bojājuma pieteikuma saņemšanas brīža līdz bojājuma novēršanas brīdim, lai novērstu 80 % abonentlīniju bojājumu6 |
|
|
3.2. Minimālais stundu skaits no bojājuma pieteikuma saņemšanas brīža līdz bojājuma novēršanas brīdim, lai novērstu 80% visu citu bojājumu, izņemot abonentlīniju bojājumus |
||
|
3.3. Minimālais stundu skaits no bojājuma pieteikuma saņemšanas brīža līdz bojājuma novēršanas brīdim, lai novērstu 95% abonentlīniju bojājumu7 |
||
|
3.4. Minimālais stundu skaits no bojājuma pieteikuma saņemšanas brīža līdz bojājuma novēršanas brīdim, lai novērstu 95% visu citu bojājumu, izņemot abonentlīniju bojājumus |
||
|
3.5. Bojājumu skaits procentos no pieteiktajiem bojājumiem, kas novērsti X* kalendāro dienu laikā |
||
|
3.6. Pieteikto bojājumu skaits procentos no abonentlīniju bojājumiem, kas novērsti ar abonentu norunātajā dienā |
||
|
3.7. Pieteikto bojājumu skaits procentos no visiem citiem bojājumiem, izņemot abonentlīniju bojājumus, kas novērsti ar abonentu norunātajā dienā |
||
|
3.8. Pieteikto bojājumu skaits procentos no abonentlīniju bojājumiem, kas novērsti ar abonentu norunātajā dienas pusē |
||
|
3.9. Pieteikto bojājumu skaits procentos no visiem citiem bojājumiem, izņemot abonentlīniju bojājumus, kas novērsti ar abonentu norunātajā dienas pusē |
||
|
4. Nesekmīgo savienojumu koeficients8 |
4.1. Nesekmīgo savienojumu koeficients procentos vietējām sarunām |
|
|
4.2. Nesekmīgo savienojumu koeficients procentos iekšzemes sarunām |
||
|
4.3. Nesekmīgais savienojumu koeficients procentos starptautiskajām sarunām |
||
|
5. Vidējais savienojuma laiks9 |
5.1. Savienojuma laiks sekundēs vietējām sarunām |
|
|
5.2. Savienojuma laiks sekundēs 95% no sekmīgo savienojumu skaita vietējām sarunām10 |
||
|
5.3. Savienojumu laiks sekundēs iekšzemes sarunām |
||
|
5.4. Savienojuma laiks sekundēs 95% no sekmīgo savienojumu skaita iekšzemes sarunām10 |
||
|
5.5. Savienojuma laiks sekundēs starptautiskajām sarunām |
||
|
5.6. Savienojuma laiks sekundēs 95% no sekmīgo savienojumu skaita starptautiskajām sarunām10 |
||
|
6. Rēķinu precizitāte procentos11 |
||
1. Komersants nodrošina uzskaiti tikai katra pakalpojuma kvalitātes parametra standarta līmenim. Neieskaita gadījumus, kad abonents izvēlas maksāt vairāk par paaugstinātu pakalpojumu kvalitātes līmeni vai mazāk par pazeminātu pakalpojumu kvalitātes līmeni.
2. Komersants nosakot starptautiskā balss telefonijas pakalpojuma kvalitātes parametru vērtības, izvēlas vismaz trīs valstis, uz kurām iepriekšējā kalendārā gada laikā bijusi vislielākā noslodze.
1Abonentlīniju uzskaiti attiecina uz publiskā fiksētā telefonu tīkla pieslēguma punktu (turpmāk – pieslēguma punkts) skaitu (to skaitā sapārotās, blīvētās abonentlīnijas, ISDN PRA, PABX pieslēgumi ar signalizāciju R2-CAS un citi). ISDN BRA uzskaita kā vienu abonentlīniju.
Ierīkoto abonentlīniju uzskaitē iekļauj gadījumus, ja:
1) ierīko jaunu abonentlīniju neatkarīgi no izmantojamās tehnoloģijas,
2) veic abonentlīnijas pārvietošanu,
3) pārreģistrē abonentlīniju citam abonentam,
4) abonentam ierīko papildu abonentlīnijas pieslēguma punktu, ieskaitot arī abonentlīniju pārveidošanu uz ISDN.
Ierīkoto abonentlīniju uzskaitē neiekļauj gadījumus, ja balss telefonijas pakalpojuma nodrošināšanai izmanto:
1) operatora iepriekšējas izvēles pakalpojumu;
2) operatora izvēles pakalpojumu;
3) atsaistītu piekļuvi abonentlīnijai.
2 Bojājumu uzskaiti attiecina uz pieslēguma punktu skaitu (to skaitā sapārotās, blīvētās abonentlīnijas, ISDN PRA, PABX pieslēgumi ar signalizāciju R2-CAS un citi). ISDN BRA uzskaita kā vienu abonentlīniju.
3 Bojājumu skaita uzskaiti nodrošina, ja balss telefonijas pakalpojumu sniedz, izmantojot abonentlīnijas (to skaitā atsaistītu piekļuvi abonentlīnijai).
4 Bojājumu skaita uzskaiti nodrošina, ja balss telefonijas pakalpojumu sniedz, izmantojot:
1) operatora iepriekšējas izvēles pakalpojumu;
2) operatora izvēles pakalpojumu.
5 Bojājumu novēršanas laika uzskaiti attiecina uz pieslēguma punktu skaitu (to skaitā sapārotās, blīvētās abonentlīnijas, ISDN PRA, PABX pieslēgumi ar signalizāciju R2-CAS un citi). ISDN BRA uzskaita kā vienu abonentlīniju.
6 Abonentlīniju bojājumu novēršanas laiku neuzskaita, ja balss telefonijas pakalpojuma nodrošināšanai izmanto:
1) operatora iepriekšējas izvēles pakalpojumu;
2) operatora izvēles pakalpojumu;
3) atsaistītu piekļuvi abonentlīnijai.
7 Abonentlīniju bojājumu novēršanas laiku neuzskaita, ja balss telefonijas pakalpojuma nodrošināšanai izmanto:
1) operatora iepriekšējas izvēles pakalpojumu;
2) operatora izvēles pakalpojumu;
3) atsaistītu piekļuvi abonentlīnijai.
3.1. – 3.2. punktā noteikto parametru vērtības norāda šādā formātā: SS:mm (S–stundas, m–minūtes).
8 Nesekmīgo savienojumu koeficients – parametrs, kas procentos nosaka nesekmīgo savienojuma skaita attiecību pret kopējo veikto savienojuma mēģinājumu skaitu.
Nesekmīgs savienojums:
1) savienojuma mēģinājums ar pareizi sastādītu, abonentam lietošanā piešķirtu numuru, 30 sekunžu laikā vietējam vai iekšzemes izsaukumam nekonstatējot izsaukuma kontroles signālu, aizņemtības signālu vai atbildi;
2) savienojuma mēģinājums ar pareizi sastādītu, abonentam lietošanā piešķirtu numuru, konstatējot izsaukuma kontroles signālu nepareiza savienojuma gadījumā, par ko pārliecinās, veicot atkārtotus savienojuma mēģinājumus;
3) savienojuma mēģinājums ar pareizi sastādītu, abonentam lietošanā piešķirtu numuru, konstatējot aizņemtības signālu, ja izsaukto numuru neizmanto citai sarunai, par ko pārliecinās, veicot atkārtotus savienojuma mēģinājumus;
4) savienojuma mēģinājums ar pareizi sastādītu, abonentam lietošanā piešķirtu numuru, konstatējot atbildi nepareiza savienojuma gadījumā;
5) savienojuma mēģinājums ar pareizi sastādītu, abonentam lietošanā piešķirtu numuru, konstatējot nepārtrauktu signālu;
6) savienojuma mēģinājums ar pareizi sastādītu, abonentam lietošanā piešķirtu numuru, savienojumam izvienojoties savienojuma laikā.
9 Vidējais savienojuma laiks – parametrs, kas sekundēs nosaka kopējo savienojuma laiku summas attiecību pret kopējo sekmīgo savienojumu skaitu.
Savienojuma laiks – parametrs, kas sekundēs nosaka laika posmu no izsaucamā numura nosūtīšanas brīža līdz brīdim, kad konstatē izsaukuma kontroles signālu, aizņemtības signālu vai atbildi.
10 Laika posms, kurā visātrāk notikuši 95% no visiem sekmīgajiem savienojumiem
11 Rēķinu precizitāti nosaka saskaņā ar formulu:
nS
R = (1 – –––) · 100%,
nR
R – rēķinu precizitāte gadā, procentos;
nS – pamatotu sūdzību (pretenziju) skaits, ko komersants ir saņēmis par nepareiziem rēķiniem gadā;
Piezīme: Sūdzība (pretenzija) uzskatāma par pamatotu, ja to saņēmis komersants par nepareiziem rēķiniem un tā novērtēta kā pamatota.
nR – kopējais komersanta izsūtīto rēķinu skaits gadā.
* X – kalendāro dienu skaits, ko nosaka elektronisko sakaru komersants.
Sabiedrisko pakalpojumu regulēšanas komisijas padomes priekšsēdētāja V.Andrējeva
13.pielikums
Noteikumiem par kvalitātes prasībām un kvalitātes pārskatu
iesniegšanas kārtību, kas apstiprināti ar Sabiedrisko pakalpojumu
regulēšanas komisijas padomes 2006.gada 20.decembra lēmumu Nr.310
Kvalitātes pārskats par taksofonu pakalpojuma publiskajā fiksētajā telefonu tīklā kvalitātes prasību izpildi
|
Elektronisko sakaru komersanta nosaukums |
_____________ |
|
Elektronisko sakaru komersanta |
_____________ |
|
Pakalpojumu kvalitātes parametrs |
Pakalpojumu kvalitātes parametru vērtība |
|
Vidējais darbojošos taksofonu skaits procentos1 |
1 Vidējais darbojošos taksofonu skaits – parametrs, kas procentos nosaka darbojošos taksofonu skaita attiecību pret kopējo pārbaudīto taksofonu skaitu.
Taksofons darbojas, ja:
1) paceļot klausuli, piecu sekunžu laikā konstatē centrāles atbildes signālu;
2) ir autorizēta izsaukumam derīga un nebojāta taksofonu karte;
3) sastādot bezmaksas numuru, savienojums notiek, ir iespējama abpusēja saruna un neiekasē maksu par sarunu;
4) sastādot maksas numuru, savienojums notiek, ir iespējama abpusēja saruna un iekasē maksu par sarunu.
Sabiedrisko pakalpojumu regulēšanas komisijas padomes priekšsēdētāja V.Andrējeva
14.pielikums
Noteikumiem par kvalitātes prasībām un kvalitātes pārskatu
iesniegšanas kārtību, kas apstiprināti ar Sabiedrisko pakalpojumu
regulēšanas komisijas padomes 2006.gada 20.decembra lēmumu Nr.310
Kvalitātes pārskats par bojājumu pieteikumu pieņemšanas dienesta pakalpojuma publiskajā fiksētajā telefonu tīklā kvalitātes prasību izpildi
|
Elektronisko sakaru komersanta nosaukums |
_____________ |
|
Elektronisko sakaru komersanta |
_____________ |
|
Pakalpojumu kvalitātes parametrs |
Pakalpojumu kvalitātes parametru vērtība |
|
1. 20 sekunžu laikā atbildēto izsaukumu skaits procentos 1 |
|
|
2. Vidējais atbildes laiks uz izsaukumu sekundēs 2 |
1 20 sekunžu laikā atbildēto izsaukumu skaits – parametrs, kas procentos nosaka izsaukumu skaitu, uz kuriem atbildēts 20 sekunžu laikā, un kas ietver savienojuma laiku un laiku no brīža, kad konstatē izsaukuma kontroles signālu vai paziņojumu par gaidīšanu rindā līdz bojājumu pieteikumu pieņemšanas dienesta darbinieka atbildei.
2 Vidējais atbildes laiks uz izsaukumu – parametrs, kas sekundēs nosaka kopējo atbildes laiku uz izsaukumu summas attiecību pret kopējo veikto izsaukumu skaitu.
Atbildes laiks uz izsaukumu – parametrs, kas sekundēs nosaka laika posmu no izsaucamā numura nosūtīšanas brīža līdz bojājumu pieteikumu pieņemšanas dienesta darbinieka atbildei.
Sabiedrisko pakalpojumu regulēšanas komisijas padomes priekšsēdētāja V.Andrējeva
15.pielikums
Noteikumiem par kvalitātes prasībām un kvalitātes pārskatu
iesniegšanas kārtību, kas apstiprināti ar Sabiedrisko pakalpojumu
regulēšanas komisijas padomes 2006.gada 20.decembra lēmumu Nr.310
Kvalitātes pārskats par visaptveroša telefona uzziņu dienesta pakalpojuma publiskajā fiksētajā telefonu tīklā kvalitātes prasību izpildi
|
Elektronisko sakaru komersanta nosaukums |
_____________ |
|
Elektronisko sakaru komersanta |
_____________ |
|
Pakalpojumu kvalitātes parametrs |
Pakalpojumu kvalitātes parametru vērtība |
|
1. 20 sekunžu laikā atbildēto izsaukumu skaits procentos 1 |
|
|
2. Vidējais atbildes laiks uz izsaukumu sekundēs 2 |
1 20 sekunžu laikā atbildēto izsaukumu skaits – parametrs, kas procentos nosaka izsaukumu skaitu, uz kuriem atbildēts 20 sekunžu laikā, un kas ietver savienojuma laiku un laiku no brīža, kad konstatē izsaukuma kontroles signālu vai paziņojumu par gaidīšanu rindā līdz visaptveroša telefona uzziņu dienesta darbinieka atbildei.
2 Vidējais atbildes laiks uz izsaukumu – parametrs, kas sekundēs nosaka kopējo atbildes laiku uz izsaukumu summas attiecību pret kopējo veikto izsaukumu skaitu.
Atbildes laiks uz izsaukumu – parametrs, kas sekundēs nosaka laika posmu no izsaucamā numura nosūtīšanas brīža līdz visaptveroša telefona uzziņu dienesta darbinieka atbildei.
Sabiedrisko pakalpojumu regulēšanas komisijas padomes priekšsēdētāja V.Andrējeva
16.pielikums
Noteikumiem par kvalitātes prasībām un kvalitātes pārskatu
iesniegšanas kārtību, kas apstiprināti ar Sabiedrisko pakalpojumu
regulēšanas komisijas padomes 2006.gada 20.decembra lēmumu Nr.310
Kvalitātes pārskats par balss telefonijas pakalpojuma publiskajā mobilajā telefonu tīklā kvalitātes prasību izpildi
|
Elektronisko sakaru komersanta nosaukums |
_____________ |
|
Elektronisko sakaru komersanta |
_____________ |
|
Pakalpojumu kvalitātes parametrs |
Pakalpojumu kvalitātes parametru vērtība |
|
1. Nesekmīgo savienojumu koeficients procentos 1 |
|
|
2. Vidējais savienojuma laiks sekundēs 2 |
|
|
3. Rēķinu precizitāte procentos3 |
1 Nesekmīgo savienojumu koeficients – parametrs, kas procentos nosaka nesekmīgo savienojumu skaita attiecību pret kopējo veikto savienojumu mēģinājumu skaitu.
Nesekmīgs savienojums:
1) savienojuma mēģinājums ar pareizi sastādītu, abonentam lietošanā piešķirtu numuru, 30 sekunžu laikā nekonstatējot izsaukuma kontroles signālu, aizņemtības signālu vai atbildi;
2) savienojuma mēģinājums ar pareizi sastādītu, abonentam lietošanā piešķirtu numuru, konstatējot izsaukuma kontroles signālu nepareiza savienojuma gadījumā, par ko pārliecinās, veicot atkārtotus savienojuma mēģinājumus;
3) savienojuma mēģinājums ar pareizi sastādītu, abonentam lietošanā piešķirtu numuru, konstatējot aizņemtības signālu, ja izsaukto līniju neizmanto citai sarunai, par ko pārliecinās, veicot atkārtotus savienojuma mēģinājumus;
4) savienojuma mēģinājums ar pareizi sastādītu, abonentam lietošanā piešķirtu numuru, konstatējot atbildi nepareiza savienojuma gadījumā;
5) savienojuma mēģinājums ar pareizi sastādītu, abonentam lietošanā piešķirtu numuru, konstatējot paziņojumu par to, ka izsauktais mobilais tālruņa aparāts izslēgts vai atrodas ārpus uztveršanas zonas, ja izsauktais mobilais tālruņa aparāts ir ieslēgts un atrodas uztveršanas zonā, par ko pārliecinās, veicot atkārtotus savienojuma mēģinājumus;
6) savienojuma mēģinājums ar pareizi sastādītu, abonentam lietošanā piešķirtu numuru, savienojumam nenotiekot;
7) savienojuma mēģinājums ar pareizi sastādītu, abonentam lietošanā piešķirtu numuru, savienojumam izvienojoties savienojuma laikā.
2 Vidējais savienojuma laiks – parametrs, kas sekundēs nosaka kopējo savienojuma laiku summas attiecību pret kopējo sekmīgo savienojumu skaitu.
Savienojuma laiks – parametrs, kas sekundēs nosaka laika posmu no izsaucamā numura nosūtīšanas brīža līdz brīdim, kad konstatē izsaukuma kontroles signālu, aizņemtības signālu vai atbildi.
3 Rēķinu precizitāti nosaka saskaņā ar formulu:
nS
R = (1 – –––) · 100%,
nR
R – rēķinu precizitāte gadā, procentos;
nS – pamatotu sūdzību (pretenziju) skaits, ko komersants ir saņēmis par nepareiziem rēķiniem gadā;
Piezīme: Sūdzība (pretenzija) uzskatāma par pamatotu, ja to saņēmis komersants par nepareiziem rēķiniem un tā novērtēta kā pamatota.
nR – kopējais komersanta izsūtīto rēķinu skaits gadā.
Sabiedrisko pakalpojumu regulēšanas komisijas padomes priekšsēdētāja V.Andrējeva
17.pielikums
Noteikumiem par kvalitātes prasībām un kvalitātes pārskatu
iesniegšanas kārtību, kas apstiprināti ar Sabiedrisko pakalpojumu
regulēšanas komisijas padomes 2006.gada 20.decembra lēmumu Nr.310
Kvalitātes pārskats par īsziņu pakalpojuma publiskajā mobilajā telefonu tīklā kvalitātes prasību izpildi
|
Elektronisko sakaru komersanta nosaukums |
_____________ |
|
Elektronisko sakaru komersanta |
_____________ |
|
Pakalpojumu kvalitātes parametrs |
Pakalpojumu kvalitātes parametru vērtība |
|
1. Nesekmīgi sūtīto īsziņu koeficients procentos1 |
|
|
2. Vidējais īsziņas piegādes laiks sekundēs2 |
Īsziņu pakalpojums – datu un elektronisko ziņojumu pārraides pakalpojums, kas nodrošina teksta ziņojuma, kas ietver līdz 160 rakstu zīmēm (burti un cipari), nosūtīšanu publiskajā mobilajā telefonu tīklā.
1Nesekmīgi sūtīto īsziņu koeficients – parametrs, kas procentos nosaka nesekmīgi sūtīto īsziņu skaita attiecību pret kopējo sekmīgi nosūtīto īsziņu skaitu.
Nesekmīgi sūtīta īsziņa:
3) īsziņas teksta sūtīšanas mēģinājums uz pareizi sastādītu, abonentam lietošanā piešķirtu numuru, konstatējot paziņojumu, ka īsziņu nosūtīt neizdevās;
4) īsziņas teksta sūtīšanas mēģinājums uz pareizi sastādītu, abonentam lietošanā piešķirtu numuru, adresātam 300 sekunžu laikā nesaņemot īsziņu.
2Vidējais īsziņas sūtīšanas laiks – parametrs, kas sekundēs nosaka kopējo īsziņu sūtīšanas laiku summas attiecību pret kopējo sekmīgi nosūtīto īsziņu skaitu.
Īsziņas sūtīšanas laiks – parametrs, kas sekundēs nosaka laika posmu no īsziņas teksta un numura nosūtīšanas brīža līdz brīdim, kad īsziņa piegādāta adresātam.
Sabiedrisko pakalpojumu regulēšanas komisijas padomes priekšsēdētāja V.Andrējeva
18.pielikums
Noteikumiem par kvalitātes prasībām un kvalitātes pārskatu
iesniegšanas kārtību, kas apstiprināti ar Sabiedrisko pakalpojumu
regulēšanas komisijas padomes 2006.gada 20.decembra lēmumu Nr.310
Kvalitātes pārskats par īsziņu pakalpojuma, izmantojot publisko mobilo telefonu tīklu starpsavienojumu, kvalitātes prasību izpildi
|
Elektronisko sakaru komersanta nosaukums |
_____________ |
|
Elektronisko sakaru komersanta |
_____________ |
|
Pakalpojumu kvalitātes parametrs |
Pakalpojumu kvalitātes parametru vērtība |
|
1. Nesekmīgi sūtīto īsziņu koeficients procentos1 |
|
|
2. Vidējais īsziņas piegādes laiks sekundēs2 |
Pakalpojumu kvalitātes parametrus nosaka īsziņu sūtīšanas mēģinājumiem no jebkura publiskā mobilā telefonu tīkla pieslēguma punkta uz jebkuru cita publiskā mobilā telefonu tīkla pieslēguma punktu.
Īsziņu pakalpojums – datu un elektronisko ziņojumu pārraides pakalpojums, kas nodrošina teksta ziņojuma, kas ietver līdz 160 rakstu zīmēm (burti un cipari), nosūtīšanu publiskajā mobilajā telefonu tīklā.
1Nesekmīgi sūtīto īsziņu koeficients – parametrs, kas procentos nosaka nesekmīgi sūtīto īsziņu skaita attiecību pret kopējo sekmīgi nosūtīto īsziņu skaitu.
Nesekmīgi sūtīta īsziņa:
3) īsziņas teksta sūtīšanas mēģinājums uz pareizi sastādītu, abonentam lietošanā piešķirtu numuru, konstatējot paziņojumu, ka īsziņu nosūtīt neizdevās;
4) īsziņas teksta sūtīšanas mēģinājums uz pareizi sastādītu, abonentam lietošanā piešķirtu numuru, adresātam 300 sekunžu laikā nesaņemot īsziņu.
2Vidējais īsziņas sūtīšanas laiks – parametrs, kas sekundēs nosaka kopējo īsziņu sūtīšanas laiku summas attiecību pret kopējo sekmīgi nosūtīto īsziņu skaitu.
Īsziņas sūtīšanas laiks – parametrs, kas sekundēs nosaka laika posmu no īsziņas teksta un numura nosūtīšanas brīža līdz brīdim, kad īsziņa piegādāta adresātam.
Sabiedrisko pakalpojumu regulēšanas komisijas padomes priekšsēdētāja V.Andrējeva
19.pielikums
Noteikumiem par kvalitātes prasībām un kvalitātes pārskatu
iesniegšanas kārtību, kas apstiprināti ar Sabiedrisko pakalpojumu
regulēšanas komisijas padomes 2006.gada 20.decembra lēmumu Nr.310
Kvalitātes pārskats par balss telefonijas pakalpojuma, izmantojot publisko elektronisko sakaru tīklu starpsavienojumu, kvalitātes prasību izpildi
|
Elektronisko sakaru komersanta nosaukums |
_____________ |
|
Elektronisko sakaru komersanta |
_____________ |
|
Pakalpojumu kvalitātes parametrs |
Pakalpojumu kvalitātes parametru vērtība |
|
1. Nesekmīgo savienojumu koeficients procentos 1 |
|
|
2. Vidējais savienojuma laiks sekundēs 2 |
1. Starpsavienojuma kombinācijā no vai uz publisko fiksēto telefonu tīklu pakalpojumu kvalitātes parametru vērtības nosaka savienojumu mēģinājumiem no jebkura publiskā fiksētā telefonu tīkla pieslēguma punkta uz jebkuru cita publiskā fiksētā telefonu tīkla pieslēguma punktu.
2. Starpsavienojuma kombinācijā no vai uz publisko mobilo telefonu tīklu pakalpojumu kvalitātes vērtības nosaka savienojuma mēģinājumiem no jebkura publiskā mobilā telefonu tīkla pieslēguma punkta uz jebkuru cita publiskā mobilā telefonu tīkla pieslēguma punktu.
3. Starpsavienojuma kombinācijā no vai uz publisko radiokomunikāciju tīklu pakalpojumu kvalitātes vērtības nosaka savienojuma mēģinājumiem no jebkura publiskā radiokomunikāciju tīkla pieslēguma punkta uz jebkuru cita publiskā radiokomunikāciju tīkla pieslēguma punktu.
1 Nesekmīgo savienojumu koeficients – parametrs, kas procentos nosaka nesekmīgo savienojumu skaita attiecību pret kopējo veikto savienojuma mēģinājumu skaitu.
Nesekmīgs savienojums:
1) savienojuma mēģinājums ar pareizi sastādītu, abonentam lietošanā piešķirtu numuru, 30 sekunžu laikā nekonstatējot izsaukuma kontroles signālu, aizņemtības signālu vai atbildi;
2) savienojuma mēģinājums ar pareizi sastādītu, abonentam lietošanā piešķirtu numuru, konstatējot izsaukuma kontroles signālu nepareiza savienojuma gadījumā, par ko pārliecinās, veicot atkārtotus savienojuma mēģinājumus;
3) savienojuma mēģinājums ar pareizi sastādītu, abonentam lietošanā piešķirtu numuru, konstatējot aizņemtības signālu, ja izsaukto līniju neizmanto citai sarunai, par ko pārliecinās, veicot atkārtotus savienojuma mēģinājumus;
4) savienojuma mēģinājums ar pareizi sastādītu, abonentam lietošanā piešķirtu numuru, konstatējot atbildi nepareiza savienojuma gadījumā;
5) savienojuma mēģinājums no publiskā fiksētā telefonu tīkla ar pareizi sastādītu, abonentam lietošanā piešķirtu numuru, konstatējot nepārtrauktu signālu;
6) savienojuma mēģinājums uz publisko mobilo telefonu tīklu ar pareizi sastādītu, abonentam lietošanā piešķirtu numuru, konstatējot paziņojumu par to, ka izsauktais mobilais tālruņa aparāts izslēgts vai atrodas ārpus uztveršanas zonas, ja izsauktais mobilais tālruņa aparāts ir ieslēgts un atrodas uztveršanas zonā, par ko pārliecinās, veicot atkārtotus savienojuma mēģinājumus;
7) savienojuma mēģinājums no publiskā mobilā telefonu tīkla vai radiokomunikāciju tīkla ar pareizi sastādītu, abonentam lietošanā piešķirtu numuru savienojumam nenotiekot.
8) savienojuma mēģinājums ar pareizi sastādītu, abonentam lietošanā piešķirtu numuru, savienojumam izvienojoties savienojuma laikā.
2 Vidējais savienojuma laiks – parametrs, kas sekundēs nosaka kopējo savienojuma laiku summas attiecību pret kopējo sekmīgo savienojumu skaitu.
Savienojuma laiks – parametrs, kas sekundēs nosaka laika posmu no izsaucamā numura nosūtīšanas brīža līdz brīdim, kad konstatē izsaukuma kontroles signālu, aizņemtības signālu vai atbildi.
Sabiedrisko pakalpojumu regulēšanas komisijas padomes priekšsēdētāja V.Andrējeva
20.pielikums
Noteikumiem par kvalitātes prasībām un kvalitātes pārskatu
iesniegšanas kārtību, kas apstiprināti ar Sabiedrisko pakalpojumu
regulēšanas komisijas padomes 2006.gada 20.decembra lēmumu Nr.310
Kvalitātes pārskats par nomāto līniju pakalpojuma kvalitātes prasību izpildi
|
Elektronisko sakaru komersanta nosaukums |
_____________ |
|
Elektronisko sakaru komersanta |
_____________ |
|
Nomātās līnijas veids |
Vidējais ierīkošanas laiks, kalendārās dienas1 |
Vidējais bojājumu novēršanas laiks, stundas2 |
Bojājumu skaits3 |
Pakalpojuma pieejamība4 procentos |
||||
|
Visām nomātajām |
Iekšzemes |
Starptautiskajām |
Visām nomātajām |
Iekšzemes |
Starptautiskajām |
|||
|
Parastās kvalitātes balss frekvenču joslas analogā |
||||||||
|
Speciālās kvalitātes balss frekvenču joslas analogā |
||||||||
|
64 kilobiti sekundē ciparu |
||||||||
|
2048 kilobiti sekundē nestrukturēta ciparu |
||||||||
|
2048 kilobiti sekundē strukturēta ciparu |
||||||||
|
34 megabiti sekundē nestrukturēta ciparu |
||||||||
|
34 megabiti sekundē strukturēta ciparu |
||||||||
|
140 megabiti sekundē nestrukturēta ciparu |
||||||||
|
140 megabiti sekundē strukturēta ciparu |
||||||||
|
155 megabiti sekundē ciparu |
||||||||
|
Cits5 |
||||||||
1 Minimālais kalendāro dienu skaits no pieteikuma saņemšanas dienas līdz ierīkošanas dienai, lai ierīkotu 95% no pieprasīto katra veida nomāto līniju skaita.
2 Minimālais stundu skaits no bojājuma pieteikuma saņemšanas brīža līdz bojājuma novēršanas brīdim, lai novērstu 80% no pieteikto katra veida nomāto līniju bojājumu skaita.
3 Katra veida nomāto līniju bojājumu skaits uz vienu nomāto līniju.
4 Pakalpojuma pieejamību (iespēju saņemt pakalpojumu) nomātajām līnijām nosaka saskaņā ar formulu:
TNl
pNl = –––––– · 100%,
tK · nNl
pNl – pakalpojumu pieejamība procentos katra veida nomātajām līnijām,
TNl – kopējais pakalpojuma pieejamības laiks stundās visām viena veida nomātajām līnijām;
tK – novērtēšanas laiks stundās;
nNl – viena veida nomāto līniju skaits.
5 Jānorāda jebkura cita veida nomātās līnijas.
Sabiedrisko pakalpojumu regulēšanas komisijas padomes priekšsēdētāja V.Andrējeva
21.pielikums
Noteikumiem par kvalitātes prasībām un kvalitātes pārskatu
iesniegšanas kārtību, kas apstiprināti ar Sabiedrisko pakalpojumu
regulēšanas komisijas padomes 2006.gada 20.decembra lēmumu Nr.310
Kvalitātes pārskats par televīzijas programmu izplatīšanas pakalpojuma publiskajā kabeļtelevīzijas tīklā kvalitātes prasību izpildi
|
Elektronisko sakaru komersanta nosaukums |
_____________ |
|
Elektronisko sakaru komersanta |
_____________ |
|
Pakalpojumu kvalitātes parametrs |
Pakalpojumu kvalitātes parametru vērtība |
|
1. Vidējais publiskā kabeļtelevīzijas tīkla pieslēguma punkta ierīkošanas laiks, kalendārās dienas1 |
|
|
2. Vidējais bojājumu novēršanas laiks, stundas2 |
|
|
3. Bojājumu skaits3 |
|
Publiskā kabeļtelevīzijas tīkla adrese |
____________ |
|
Publiskā kabeļtelevīzijas tīkla identifikācijas numurs |
___________ |
|
Pakalpojumu kvalitātes parametrs |
Pakalpojumu kvalitā tes parametru vērtība |
|
4. Attēla nesējfrekvences precizitāte, kHz* |
|
|
5. Skaņas nesējfrekvences precizitāte, kHz* |
|
|
6. Vidējais attēla nesēja līmenis, dBµV * |
|
|
7. Vidējā attēla un skaņas nesēju līmeņu attiecība, dBµV * |
|
|
8. Vidējā attiecība attēla nesējs/ troksnis, dB* |
|
|
9. Vidējais vājinājums starp jebkurām divām publiskā kabeļtelevīzijas tīkla sazarotāja izejām radiofrekvenču joslā 48,5MHz – 862MHz, dB* |
|
|
10. Vidējais attēla kvalitātes subjektīvais vizuālais vērtējums4* |
Televīzijas programmu izplatīšanas pakalpojuma kvalitātes parametrus nosaka arī komersanti, kuri sniedz televīzijas programmu izplatīšanas pakalpojumu, izmantojot daudzpunktu daudzkanālu sadales sistēmas (MMDS1).
1. – 3.punktā noteikto pakalpojumu kvalitātes parametru vērtības nosaka visiem komersanta publiskajiem kabeļtelevīzijas tīkliem kopā.
4. un 5.punktā noteikto pakalpojumu kvalitātes parametru vērtības nosaka vienu reizi katram televīzijas kanālam vienā brīvi izvēlētā pieslēguma punktā katram komersanta publiskajam kabeļtelevīzijas tīklam.
6.– 10. punktā noteikto pakalpojumu kvalitātes parametru vērtības nosaka vienu reizi katram televīzijas kanālam katram ne mazāk kā trīs brīvi izvēlētos pieslēguma punktos katram komersanta publiskajam kabeļtelevīzijas tīklam.
1 Minimālo kalendāro dienu skaits no pieteikuma saņemšanas dienas līdz ierīkošanas dienai, lai ierīkotu 95% no pieprasīto pieslēgumu punktu skaita.
2 Minimālais stundu skaits no bojājuma pieteikuma saņemšanas brīža līdz bojājuma novēršanas brīdim, lai novērstu 80% no publiskā kabeļtelevīzijas tīkla bojājumu skaita.
Parametra vērtību norāda šādā formātā: SS:mm (S–stundas, m–minūtes)
3 Bojājumu skaits uz 100 pieslēguma punktiem.
4 Vidējais attēla kvalitātes subjektīvais vizuālais vērtējums – parametrs, kas nosaka vidējo svērto attēla kvalitātes novērtējumu no kopējā novērtējumu skaita.
Attēla kvalitāti nosaka kā kvantitatīvu vērtību, ko iegūst subjektīvi vizuāli novērtējot attēlu saskaņā ar šādu tabulu:
|
Vērtība, balles |
Novērtējums |
Novērtējuma paskaidrojums |
|
5 |
Teicama kvalitāte |
Traucējumi un kropļojumi nav redzami. |
|
4 |
Laba kvalitāte |
Traucējumi un kropļojumi ir redzami, bet netraucē. |
|
3 |
Apmierinoša kvalitāte |
Traucējumi un kropļojumi mazliet traucē. |
|
2 |
Vāja kvalitāte |
Traucējumi un kropļojumi traucē. |
|
1 |
Slikta kvalitāte |
Traucējumi un kropļojumi ļoti traucē. |
* Parametru vērtību attiecina uz jebkuru komersanta publiskā kabeļtelevīzijas tīklā raidīto televīzijas kanālu.
1 angl. Multipoint Multichanel Distribution System
Sabiedrisko pakalpojumu regulēšanas komisijas padomes priekšsēdētāja V.Andrējeva
22.pielikums
Noteikumiem par kvalitātes prasībām un kvalitātes pārskatu
iesniegšanas kārtību, kas apstiprināti ar Sabiedrisko pakalpojumu
regulēšanas komisijas padomes 2006.gada 20.decembra lēmumu Nr.310
Kvalitātes pārskats par interneta piekļuves pakalpojuma publiskajā fiksētajā tīklā prasību izpildi
|
Elektronisko sakaru komersanta nosaukums |
_____________ |
|
Elektronisko sakaru komersanta |
_____________ |
1 Vidējais pieslēguma ātrums – parametrs, kas kilobitos sekundē nosaka pieslēguma ātruma vidējo aritmētisko vērtību, katram pakalpojuma veidam, atbilstoši interneta piekļuves pakalpojuma aprakstam, no kopējā mērījumu skaita;
Pieslēguma ātrums – parametrs, kas kilobitos sekundē raksturo informācijas apmaiņas ātrumu (augšupielādes/lejupielādes) datu kanālā, posmā no galalietotāja galiekārtas līdz Latvijas interneta apmaiņas punktam.
Pieslēguma ātrumu nosaka saskaņā ar formulu:
d · 8
S = –––––,
t
S – pieslēguma ātrums kilobiti sekundē;
d – pakešu apjoms baitos, kas nosūtīts mērījumu veikšanas laikā;
t – pakešu sūtīšanas laiks milisekundēs.
2 Minimālo kalendāro dienu skaits no pieteikuma saņemšanas dienas līdz ierīkošanas dienai, lai ierīkotu 95% no pieprasīto pieslēguma punktu skaita.
3 Bojājumu skaits uz 100 pieslēguma punktiem
4 Vidējo bojājumu novēršanas laiku norāda šādā formātā: SS:mm (S–stundas, m–minūtes).
5 Vidējais pakešu zuduma koeficients – parametrs, kas procentos nosaka pakešu zuduma koeficienta vidējo aritmētisko vērtību, katram pakalpojuma veidam, atbilstoši interneta piekļuves pakalpojuma aprakstam, no kopējā mērījumu skaita;
Pakešu zuduma koeficients1 – parametrs, kas procentos nosaka zaudēto pakešu attiecību pret kopējo nosūtīto pakešu skaitu.
Pakešu zuduma koeficientu nosaka saskaņā ar formulu:
Tk – T
P = –––––– · 100,
Tk
P – pakalpojuma pieejamība procentos;
T– laiks minūtēs, kurā pakalpojums netiek saņemts;
Tk – kopējais pakalpojuma sniegšanas laiks minūtēs;
6 Vidējais latentums – parametrs, kas milisekundēs nosaka latentuma vidējo aritmētisko vērtību, katram pakalpojuma veidam, atbilstoši interneta piekļuves pakalpojuma aprakstam, no kopējā mērījumu skaita;
Latentums2 – parametrs, kas milisekundēs raksturo laika aizturi starp pakešu sūtīšanu un saņemšanu posmā no galalietotāja galiekārtas līdz Latvijas interneta apmaiņas punktam abos virzienos.
Latentumu nosaka saskaņā ar formulu:
Σ(t1
– t2)
L = ––––––––,
N
L – latentums milisekundēs;
t1 – paketes saņemšanas laiks milisekundēs;
t2 – paketes nosūtīšanas laiks milisekundēs;
N – kopējais pakešu skaits.
7 Vidējā trīce – parametrs, kas procentos nosaka trīces vidējo aritmētisko vērtību, katram pakalpojuma veidam, atbilstoši interneta piekļuves pakalpojuma aprakstam, no kopējā mērījumu skaita;
Trīce3 – parametrs, kas milisekundēs nosaka laika aiztures nevienmērību starp pakešu sūtīšanu un saņemšanu, kas rodas tīkla ierobežotās caurlaides spējas dēļ, piemēram, pārslodze, maršruta maiņa, pakešu zudumi u.c.
Trīci aprēķina saskaņā ar formulu:
J – trīce milisekundēs;
– aritmētiskais vidējais latentums milisekundēs;
n – latentuma mērījumu ciklu skaits;
Li – i-tā mērījumu cikla latentums milisekundēs.
8 Vidējā pakalpojuma pieejamība – parametrs, kas procentos nosaka pakalpojuma pieejamības vidējo aritmētisko vērtību, katram pakalpojuma veidam, atbilstoši interneta piekļuves pakalpojuma aprakstam, no kopējā mērījumu skaita;
Pakalpojuma pieejamību (iespēju saņemt pakalpojumu) nosaka saskaņā ar formulu:
T
p = ––––– · 100%,
tk · n
p – pakalpojumu pieejamība procentos,
T – kopējais pakalpojuma pieejamības laiks stundās visiem viena pakalpojuma veida pieslēguma punktiem;
tk – mērījumu laiks stundās;
n – kopējais viena pakalpojuma veida pieslēgumu punktu skaits.
1 angl. Packet Loss Ratio
2 angl. Latency
3 angl. Jitter
Sabiedrisko pakalpojumu regulēšanas komisijas padomes priekšsēdētāja V.Andrējeva