
Valsts veterinārais dienests
Rīkojums Nr.140 2000.gada 30.novembrī
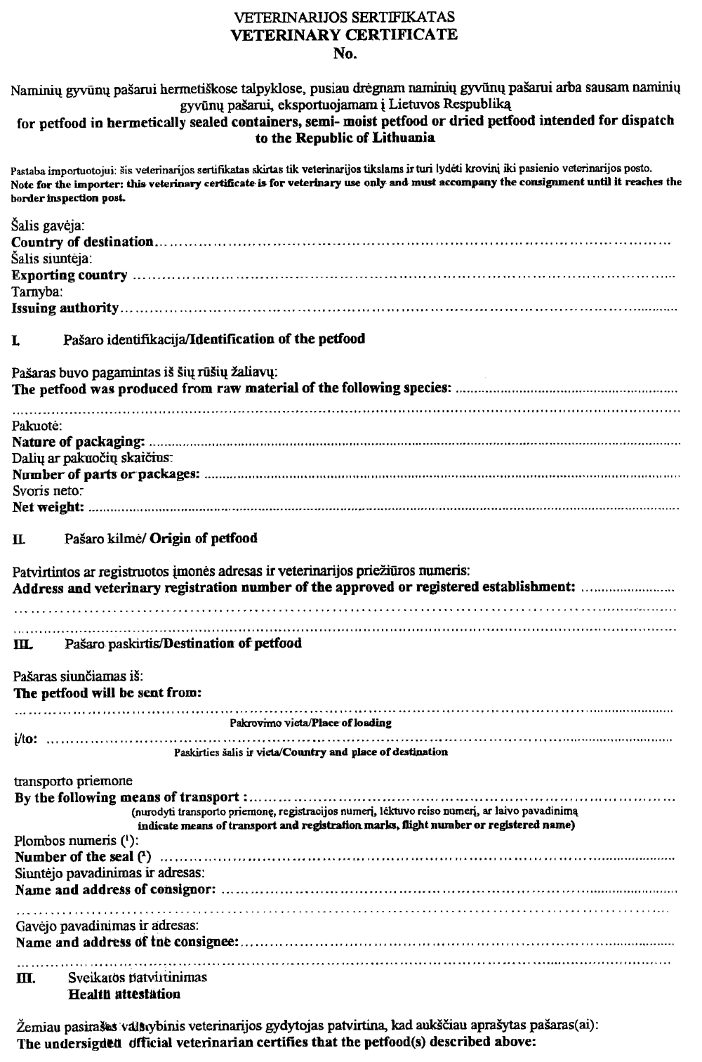
Par veterināro sertifikātu mājas un istabas dzīvnieku barības izvešanai uz Lietuvas Republiku
Pamatojoties uz Lietuvas Republikas veterinārajām prasībām par mājas un istabas dzīvnieku barības ievešanas kārtību Lietuvā, nosaku:
1. Sākot ar 2000.gada 1.decembri mājas un istabas dzīvnieku barības izvešanai uz Lietuvas Republiku izsniegt noteiktas formas veterināro sertifikātu (skatīt pielikumu);
2. Minēto veterināro sertifikātu izsniegt uzņēmumiem, kas iekļauti eksportam uz Lietuvas Republiku atzīto uzņēmumu sarakstā;
3. Atcelt sertifikāta ‘Eksport 2’ izsniegšanu mājas un istabas dzīvnieku barības izvešanai uz Lietuvas Republiku;
4. Rīkojumu publicēt laikrakstā "Latvijas Vēstnesis";
5. Kontroli pār rīkojuma izpildi uzdodu Importa un eksporta daļas vadītājam M.Blauam.
Valsts veterinārā dienesta direktors V.Veldre