
Valsts veterinārais dienests
Rīkojums Nr.137 2000.gada 23.novembrī
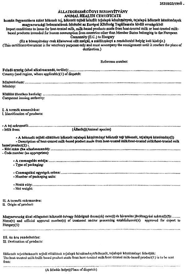
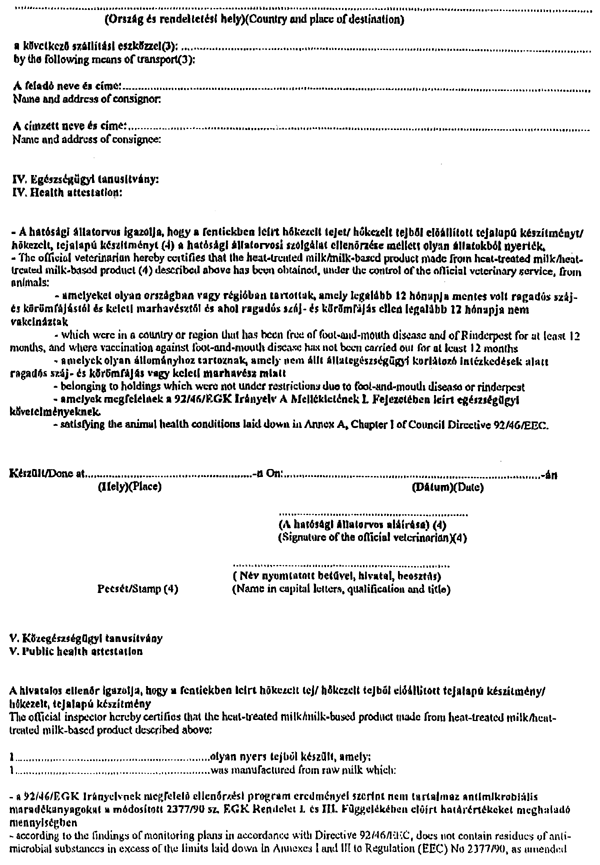
Par dzīvnieku veselības sertifikātu "Cilvēku uzturam paredzēta termiski apstrādāta piena, termiski apstrādāta piena produkta vai uz piena bāzes ražota termiski apstrādāta produkta eksportam, no trešajām valstīm uz Ungāriju"
Pamatojoties uz to, ka Ungārijas veterinārais dienests ir informējis Latvijas Republikas Valsts veterināro dienestu par dzīvnieku veselības sertifikāta "Cilvēku uzturam paredzēta termiski apstrādāta piena, termiski apstrādāta piena produkta vai uz piena bāzes ražota termiski apstrādāta produkta eksportam no trešajām valstīm uz Ungāriju" stāšanos spēkā, nosaku:
1. veterinārārstiem, kas pilnvaroti izsniegt sertifikātu eksportam, izsniegt dzīvnieku veselības sertifikātu (1.pielikums) gadījumos, ja uz Ungāriju tiek eksportēts termiski apstrādāts piens, termiski apstrādāta piena produkti vai uz piena bāzes ražoti termiski apstrādāti produkti;
2. šī rīkojuma pielikumā minēto veselības sertifikātu izsniegt uzņēmumiem (uzņēmējsabiedrībām), kas iekļauti eksportam uz Ungāriju atzītu uzņēmumu (uzņēmējsabiedrību) sarakstā (2.pielikums);
3. ar šo rīkojumu tiek atcelta sertifikāta "Eksport 2" izrakstīšana gadījumos, ja termiski apstrādāts piens, termiski apstrādāta piena produkti vai uz piena bāzes ražoti termiski apstrādāti produkti tiek eksportēti uz Ungāriju;
4. rīkojums stājas spēkā ar tā publicēšanas brīdi laikrakstā "Latvijas Vēstnesis";
5. kontroli pār rīkojuma izpildi uzdot Valsts veterinārā dienesta Importa eksporta daļas vadītājam M.Blauam.
Valsts veterinārā dienesta direktora vietnieks I.Celms
1.pielikums
2. pielikums
Uzņēmumu (uzņēmējsabiedrību) saraksts,
kas iekļauti uz Ungāriju eksportētājuzņēmumu sarakstā
| Nr. | Uzņēmuma | Uzņēmuma | Produktu | Rajons/ |
| p. k. | (uzņēmējsabiedrības) | (uzņēmējsabiedrības) | nosaukums | pilsēta |
| nosaukums | atzīšanas numurs | |||
| 1. | A/s "Rīgas piena kombināts" | LV P 0195001 | Sviests, saldējums, | Rīga |
| jogurts, krējums | ||||
| aseptiskā iesaiņojumā | ||||
| 2. | A/s "Vidzemes piens" | LV P 9601014 | Sviests, siers | Valmiera |
| 3. | A/s "Rīgas piensaimnieks" | LV P 0193002 | Sviests, pārstrādātais | Rīga |
| un mīkstais siers, | ||||
| augļu saldējums | ||||
| 4. | A/s "Preiļu siers" | LV P 7601006 | Siers, sviests | Preiļi |
| 5. | A/s "AGM Agro Eksports" | LV P 8060003 | Kazeīns | Rīga |
| 6. | A/s "Valrit" | LV P 9601015 | Sausais vājpiens | Valmiera |
| 7. | A/s "Tukuma piens" | LV 004 P | Sviests | Tukums |
| 8. | A/s "Pampāļi" | LV 008 P | Kazeīns | Saldus |
| 9. | A/s "Bauskas piens" | LV 020 P | Sviests | Bauska |
| Stelpes pienotava | ||||
| 10. | A/s "Kurzemes piens" | LV 011 P | Sausais vājpiens, | Liepāja |
| Aizputes sausā vājpiena rūpnīca | sviests | |||
| 11. | A/s "Cesvaines piens" | LV 009 P | Siers | Madona |
| 12. | A/s "Limbažu piens" | LV 010 P | Siers, sviests | Limbaži |
| 13. | A/s "Rūjienas | LV 005 P | Saldējums | Rūjiena |
| piensaimnieku biedrība" | ||||
| 14. | A/s "Rēzeknes piena | LV 006 P | Piena konservi | Rēzekne |
| konservu kombināts" |