
Korupcijas novēršanas un apkarošanas biroja dienesta informācija Nr.1/6291
Rīgā 2005.gada 15.augustā
Par politisko organizāciju priekšvēlēšanu perioda izdevumu deklarācijām, paziņojumiem par plānotajiem vēlēšanu izdevumiem un vēlēšanu ieņēmumu un izdevumu deklarācijām
Saskaņā ar Ministru kabineta 2005.gada 22.marta noteikumiem Nr.196
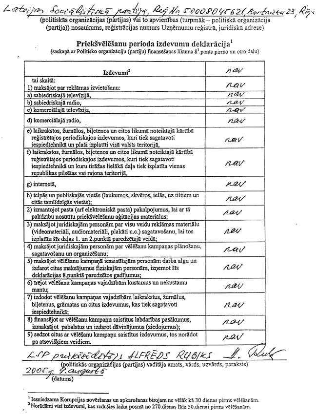
“Latvijas Sociālistiskā partija”
“Latvijas Jaunatnes partija”